The Spatial Coupling Mechanism of Soil Moisture and Salinity after the Erosive Rainfall in the Loess Hilly Region
Abstract
1. Introduction
2. Materials and Methods
2.1. Information of Study Area
2.2. Design of Experiment and Samples Collection
2.3. Sample Measurement
2.4. The Fractal Methods
2.4.1. The Multifractal Methods
2.4.2. Joint Multifractal Method
2.5. Statistical Analysis
3. Results
3.1. Soil Moisture and Salinity Conditions after the Rainstorm
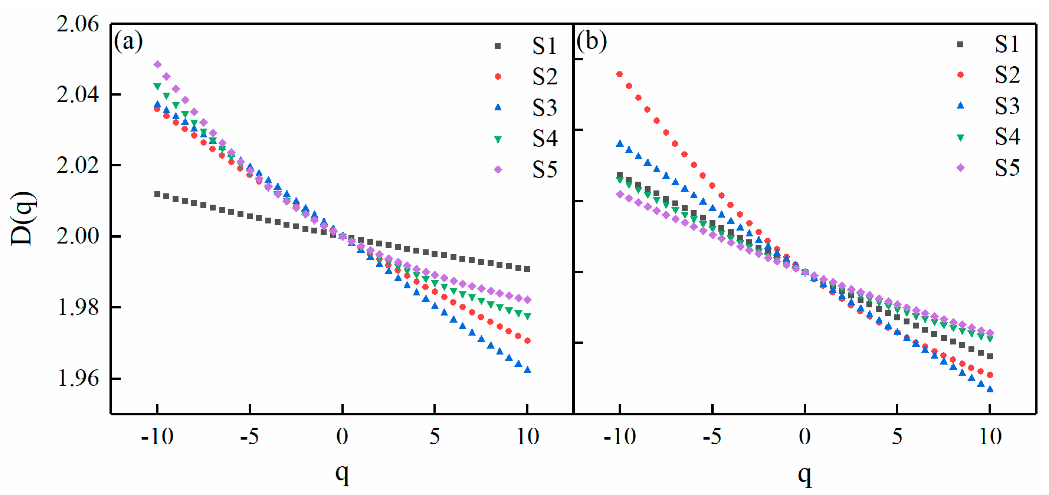
3.2. Spatial Variability in the Soil Moisture and Salinity
3.3. Spatial Distribution Correlations between Soil Moisture and Salinity
4. Discussion
5. Conclusions
Author Contributions
Funding
Institutional Review Board Statement
Data Availability Statement
Conflicts of Interest
References
- Wang, Q.; Jin, H.; Yuan, Z.; Yang, C. Synergetic variations of active layer soil moisture and salinity in a permafrost-affected meadow in the headmoisture area of the Yellow River, northeastern Qinghai–Tibet plateau. Int. Soil Moisture Conserv. 2021, 10, 284–292. [Google Scholar]
- Theve, M. Development of soil halinity classes for Connecticut tidal marshes. Estuar. Coast. Shelf Sci. 2014, 149, 313–319. [Google Scholar] [CrossRef]
- Qiu, Y.; Wang, Y.; Fan, Y.; Hao, X.; Li, S.; Kang, S. Root, Yield, and Quality of Alfalfa Affected by Soil salinity in Northwest China. Agriculture 2023, 13, 750. [Google Scholar] [CrossRef]
- Heng, T.; Ma, Y.; Ai, P.; Liu, Z.; Wu, M.; Liu, C. The Effects of Soil salinity Stress on the Nitrogen Uptake, Yield Response and Nitrogen Use Efficiency of Cotton in Arid Areas. Agronomy 2024, 14, 229. [Google Scholar] [CrossRef]
- Yu, C.; Shi, H.; Miao, Q.; Gonçalves, J.M.; Yan, Y.; Hu, Z.; Hou, C.; Zhao, Y. moisture–salinity Migration Patterns among Cropland–Wasteland–Fishponds in the River-Loop Irrigation Area. Agronomy 2024, 14, 107. [Google Scholar] [CrossRef]
- Ghassemi, F.; Close, A.; Kellett, J.R. Numerical models for the management of land and moisture resources salinisation. Math. Comput. Simul. 1997, 43, 323–329. [Google Scholar] [CrossRef]
- Rengasamy, P. World salinization with emphasis on Australia. J. Exp. Bot. 2006, 57, 1017–1023. [Google Scholar] [CrossRef]
- Ren, D.; Wei, B.; Xu, X.; Engel, B.; Li, G.; Huang, Q.; Xiong, Y.; Huang, G. Analyzing spatiotemporal characteristics of soil salinity in arid irrigated agro-ecosystems using integrated approaches. Geoderma 2019, 356, 113935. [Google Scholar] [CrossRef]
- Gorji, T.; Yildirim, A.; Hamzehpour, N.; Tanik, A.; Sertel, E. Soil salinity analysis of Urmia Lake Basin using Landsat-8 OLI and Sentinel-2A based spectral indices and electrical conductivity measurements. Ecol. Indic. 2020, 112, 106173. [Google Scholar] [CrossRef]
- Ke, Z.; Liu, X.; Ma, L.; Feng, Z.; Tu, W.; Dong, Q.g.; Jiao, F.; Wang, Z. Rainstorm events increase risk of soil salinization in a loess hilly region of China. Agric. Moisture Manag. 2021, 256, 107081. [Google Scholar] [CrossRef]
- Mastrocicco, M.; Colombani, N.; Soana, E.; Vincenzi, F.; Castaldelli, G. Intense rainfalls trigger nitrite leaching in agricultural soils depleted in organic matter. Sci. Total Environ. 2019, 665, 80–90. [Google Scholar] [CrossRef] [PubMed]
- Wen, W.; Lai, Y.; You, Z. Numerical modeling of moisture–heat–vapor–salinity transport in unsaturated soil under evaporation. Int. J. Heat Mass Transf. 2020, 159, 120114. [Google Scholar] [CrossRef]
- Walter, J.; Lück, E.; Bauriegel, A.; Facklam, M.; Zeitz, J. Seasonal dynamics of soil salinity in peatlands: A geophysical approach. Geoderma 2018, 310, 1–11. [Google Scholar] [CrossRef]
- Cao, Q.; Yang, B.; Li, J.; Wang, R.; Liu, T.; Xiao, H. Characteristics of soil moisture and salinity associated with Tamarix ramosissima communities during normal and dry periods in a semi-arid saline environment. Catena 2020, 193, 104661. [Google Scholar] [CrossRef]
- Yuan, C.; Feng, S.; Huo, Z.; Ji, Q. Effects of deficit irrigation with saline moisture on soil moisture-salinity distribution and moisture use efficiency of maize for seed production in arid Northwest China. Agric. Moisture Manag. 2019, 212, 424–432. [Google Scholar]
- Dong, Q.; Yang, Y.; Zhang, T.; Zhou, L.; He, J.; Chau, H.W.; Zou, Y.; Feng, H. Impacts of ridge with plastic mulch-furrow irrigation on soil salinity, spring maize yield and moisture use efficiency in an arid saline area. Agric. Moisture Manag. 2018, 201, 268–277. [Google Scholar]
- Ke, Z.; Ma, L.; Jiao, F.; Liu, X.; Liu, Z.; Wang, Z. Multifractal parameters of soil particle size as key indicators of the soil moisture distribution. J. Hydrol. 2021, 595, 125988. [Google Scholar] [CrossRef]
- Wang, F.; Wang, J.; Wang, Y. Using multi-fractal and joint multi-fractal methods to characterize spatial variability of reconstructed soil properties in an opencast coal-mine dump in the Loess area of China. Catena 2019, 182, 104111. [Google Scholar] [CrossRef]
- Wang, J.; Zhang, C.; Wu, Z.; Wharton, J.; Ren, L. Numerical study on reduction of aerodynamic noise around an airfoil with biomimetic structures. J. Sound Vib. 2017, 394, 46–58. [Google Scholar] [CrossRef]
- Teng, M.; Zeng, L.; Xiao, W.; Huang, Z.; Zhou, Z.; Yan, Z.; Wang, P. Spatial variability of soil organic carbon in Three Gorges Reservoir area, China. Sci. Total Environ. 2017, 599–600, 1308–1316. [Google Scholar] [CrossRef]
- Wang, T.; Kang, F.; Cheng, X.; Han, H.; Bai, Y.; Ma, J. Spatial variability of organic carbon and total nitrogen in the soils of a subalpine forested catchment at Mt. Taiyue, China. Catena 2017, 155, 41–52. [Google Scholar] [CrossRef]
- Vidana Gamage, D.N.; Biswas, A.; Strachan, I.B. Spatial variability of soil thermal properties and their relationships with physical properties at field scale. Soil Tillage Res. 2019, 193, 50–58. [Google Scholar] [CrossRef]
- Zeleke, T.B.; Si, B.C. Characterizing scale-dependent spatial relationships between soil properties using multifractal techniques. Geoderma 2006, 134, 440–452. [Google Scholar] [CrossRef]
- Qi, F.; Zhang, R.; Liu, X.; Niu, Y.; Zhang, H.; Li, H.; Li, J.; Wang, B.; Zhang, G. Soil particle size distribution characteristics of different land-use types in the Funiu mountainous region. Soil Tillage Res. 2018, 184, 45–51. [Google Scholar] [CrossRef]
- Jing, Z.; Wang, J.; Wang, R.; Wang, P. Using multi-fractal analysis to characterize the variability of soil physical properties in subsided land in coal-mined area. Geoderma 2020, 361, 114054. [Google Scholar] [CrossRef]
- Bertol, I.; Schick, J.; Bandeira, D.H.; Paz-Ferreiro, J.; Vázquez, E.V. Multifractal and joint multifractal analysis of moisture and soil losses from erosion plots: A case study under subtropical conditions in Santa Catarina highlands, Brazil. Geoderma 2017, 287, 116–125. [Google Scholar] [CrossRef]
- Jin, Z.; Guo, L.; Wang, Y.; Yu, Y.; Lin, H.; Chen, Y.; Chu, G.; Zhang, J.; Zhang, N. Valley reshaping and damming induce moisture table rise and soil salinization on the Chinese Loess Plateau. Geoderma 2019, 339, 115–125. [Google Scholar] [CrossRef]
- Yu, Y.; Lin, H.; Zhao, J.; Guangchen, C.; Jin, Z. Ammonia dynamics in reservoirs in response to rainfall events in a gully-filled loess catchment in Yan’an City, Shaanxi Province. Quatern. Sci. 2017, 37, 1204–1218. [Google Scholar]
- Allen, R.G.; Pereira, L.S.; Raes, D.; Smith, M. Crop evapotranspiration—Guidelines for computing crop moisture requirements—FAO Irrigation and drainage paper 56. FAO Rome 1998, 300, D05109. [Google Scholar]
- Li, Y.Y.; Shao, M.A. Change of soil physical properties under long-term natural vegetation restoration in the Loess Plateau of China. J. Arid Environ. 2006, 64, 77–96. [Google Scholar] [CrossRef]
- Bao, S.D. Soil Analysis in Agricultural Chemistry (In Chinese); China Agricultural Press: Beijing, China, 2005. [Google Scholar]
- Evertsz, C.J.G.; Mandelbrot, B.B. Multifractal measures. In Chaos & Fractals New Frontiers of Science; Springer: Berlin/Heidelberg, Germany, 1992; p. 984. [Google Scholar]
- Zhou, H.; Li, B.; Lv, Y.; Liu, W. Multifractal characteristics of soil porestructure under different tillage systems. Acta Pedol. Sin. 2010, 47, 1094–1100. [Google Scholar] [CrossRef]
- Jiménez-Hornero, F.J.; Gutiérrez de Ravé, E.; Ariza-Villarverde, A.B.; Giráldez, J.V. Description of the seasonal pattern in ozone concentration time series by using the strange attractor multifractal formalism. Environ. Monit. Assess. 2010, 160, 229–236. [Google Scholar] [CrossRef] [PubMed]
- Si, B.C.; Kachanoski, R.G. Estimating Soil Hydraulic Properties During Constant Flux Infiltration: Inverse Procedures. Soil Sci. Soc. Am. J. 2000, 64, 439–449. [Google Scholar] [CrossRef]
- Vázquez, E.V.; Miranda, J.G.V.; Paz-Ferreiro, J. A multifractal approach to characterize cumulative rainfall and tillage effects on soil surface micro-topography and to predict depression storage. Biogeosciences 2010, 7, 2989–3004. [Google Scholar] [CrossRef]
- Akça, E.; Aydin, M.; Kapur, S.; Kume, T.; Nagano, T.; Watanabe, T.; Çilek, A.; Zorlu, K. Long-term monitoring of soil salinity in a semi-arid environment of Turkey. Catena 2020, 193, 104614. [Google Scholar] [CrossRef]
- Benslama, A.; Khanchoul, K.; Benbrahim, F.; Boubehziz, S.; Chikhi, F.; Navarro-Pedreno, J. Monitoring the Variations of Soil salinity in a Palm Grove in Southern Algeria. Sustainability 2020, 12, 6117. [Google Scholar] [CrossRef]
- Han, J.; Mammadov, Z.; Kim, M.; Mammadov, E.; Lee, S.; Park, J.; Mammadov, G.; Elovsat, G.; Ro, H.M. Spatial distribution of salinity and heavy metals in surface soils on the Mugan Plain, the Republic of Azerbaijan. Environ. Monit. Assess. 2021, 193, 20. [Google Scholar] [CrossRef] [PubMed]
- Zhu, Q.; Lin, H. Influences of soil, terrain, and crop growth on soil moisture variation from transect to farm scales. Geoderma 2011, 163, 45–54. [Google Scholar] [CrossRef]
- Pollacco, J.A.P.; Fernández-Gálvez, J.; Carrick, S. Improved prediction of moisture retention curves for fine texture soils using an intergranular mixing particle size distribution model. J. Hydrol. 2020, 584, 124597. [Google Scholar] [CrossRef]
- Suh, H.S.; Kang, D.H.; Jang, J.; Kim, K.Y.; Yun, T.S. Capillary pressure at irregularly shaped pore throats: Implications for moisture retention characteristics. Adv. Moisture Resour. 2017, 110, 51–58. [Google Scholar] [CrossRef]
- Zhang, C.; Wang, H. A brief review of advances in soil moisture research. Agricul. Res. Arid Areas 2003, 8, 13–18. [Google Scholar]
- Zhang, T.; Dong, Q.G.; Zhan, X.; He, J.; Feng, H. Moving salinitys in an impermeable saline-sodic soil with drip irrigation to permit wolfberry production. Agric. Moisture Manag. 2019, 213, 636–645. [Google Scholar]







| Mean Annual Rainfall (mm) | Average Altitude (m) | Mean Annual Potential Evaporation (°C) | Mean Annual Temperature (°C) | Mean Annual Sunshine Duration (h) | Mean Annual Total Radiation (kJ cm−2) |
|---|---|---|---|---|---|
| 505.3 | 1371.9 | 1463 | 8.6 | 2395.6 | 493 |
| Soil Depths (cm) | BD (g cm−3) | FC (%) | Ks (cm min−1) | Clay (%) | Silt (%) | Sand (%) | Soil Texture Classification |
|---|---|---|---|---|---|---|---|
| 0–20 | 1.17 | 24.80 | 0.57 | 9.85 | 39.20 | 50.96 | Loam |
| 20–40 | 1.26 | 25.00 | 0.36 | 9.99 | 40.04 | 49.97 | Loam |
| Soil Properties | Soil Layer (cm) | S1 (Mean ± SD) | S2 (Mean ± SD) | S3 (Mean ± SD) | S4 (Mean ± SD) | S5 (Mean ± SD) |
|---|---|---|---|---|---|---|
| Soil moisture content (%) | 0–20 | 22.56 ± 1.37 Aa | 19.57 ± 1.36 Bb | 16.23 ± 1.26 Bc | 13.92 ± 1.07 Bd | 12.02 ± 0.85 Be |
| 20–40 | 22.31 ± 1.64 Aa | 21.05 ± 1.66 Ab | 17.70 ± 1.49 Ac | 15.08 ± 1.01 Ad | 13.43 ± 1.03 Ae | |
| Mean | 22.44 ± 1.49 | 20.31 ± 1.67 | 16.97 ± 1.55 | 14.50 ± 1.18 | 12.73 ± 1.17 | |
| Soil salinity content (g kg−1) | 0–20 | 0.64 ± 0.09 Be | 0.79 ± 0.10 Bd | 0.98 ± 0.10 Ac | 1.25 ± 0.08 Ab | 1.38 ± 0.03 Aa |
| 20–40 | 0.79 ± 0.11 Ac | 0.89 ± 0.12 Ab | 0.94 ± 0.13 Aab | 0.97 ± 0.09 Ba | 0.97 ± 0.03 Ba | |
| Mean | 0.71 ± 0.12 | 0.84 ± 0.12 | 0.96 ± 0.12 | 1.11 ± 0.16 | 1.18 ± 0.21 |
| Soil Properties | Soil Layers (cm) | S1 | S2 | S3 | S4 | S5 | |||||
|---|---|---|---|---|---|---|---|---|---|---|---|
| D1 | ∆D | D1 | ∆D | D1 | ∆D | D1 | ∆D | D1 | ∆D | ||
| Soil moisture | 0–20 | 1.9990 | 0.0211 | 1.9967 | 0.0651 | 1.9960 | 0.0748 | 1.9971 | 0.0649 | 1.9974 | 0.0665 |
| 20–40 | 1.9973 | 0.0509 | 1.9961 | 0.0848 | 1.9965 | 0.0692 | 1.9978 | 0.0448 | 1.9981 | 0.0391 | |
| Mean | 1.9982 | 0.0360 | 1.9964 | 0.0750 | 1.9963 | 0.0720 | 1.9975 | 0.0549 | 1.9978 | 0.0528 | |
| Soil salinity | 0–20 | 1.9896 | 0.2139 | 1.9902 | 0.1826 | 1.9927 | 0.1331 | 1.9976 | 0.0482 | 1.9998 | 0.0046 |
| 20–40 | 1.9874 | 0.2264 | 1.9892 | 0.1824 | 1.9908 | 0.1654 | 1.9951 | 0.0900 | 1.9996 | 0.0085 | |
| Mean | 1.9885 | 0.2202 | 1.9897 | 0.1825 | 1.9918 | 0.1493 | 1.9964 | 0.0691 | 1.9997 | 0.0066 |
Disclaimer/Publisher’s Note: The statements, opinions and data contained in all publications are solely those of the individual author(s) and contributor(s) and not of MDPI and/or the editor(s). MDPI and/or the editor(s) disclaim responsibility for any injury to people or property resulting from any ideas, methods, instructions or products referred to in the content. |
© 2024 by the authors. Licensee MDPI, Basel, Switzerland. This article is an open access article distributed under the terms and conditions of the Creative Commons Attribution (CC BY) license (https://creativecommons.org/licenses/by/4.0/).
Share and Cite
Ke, Z.; Ma, L.; Shen, N. The Spatial Coupling Mechanism of Soil Moisture and Salinity after the Erosive Rainfall in the Loess Hilly Region. Agronomy 2024, 14, 1138. https://doi.org/10.3390/agronomy14061138
Ke Z, Ma L, Shen N. The Spatial Coupling Mechanism of Soil Moisture and Salinity after the Erosive Rainfall in the Loess Hilly Region. Agronomy. 2024; 14(6):1138. https://doi.org/10.3390/agronomy14061138
Chicago/Turabian StyleKe, Zengming, Lihui Ma, and Nan Shen. 2024. "The Spatial Coupling Mechanism of Soil Moisture and Salinity after the Erosive Rainfall in the Loess Hilly Region" Agronomy 14, no. 6: 1138. https://doi.org/10.3390/agronomy14061138
APA StyleKe, Z., Ma, L., & Shen, N. (2024). The Spatial Coupling Mechanism of Soil Moisture and Salinity after the Erosive Rainfall in the Loess Hilly Region. Agronomy, 14(6), 1138. https://doi.org/10.3390/agronomy14061138
