Maize/Peanut Intercropping Affects Legume Nodulation in Semi-Arid Conditions
Abstract
1. Introduction
2. Materials and Methods
2.1. Experimental Site
2.2. Experimental Design
2.2.1. Micro-Plot Experiment
2.2.2. Field Experiment
2.3. Measurements
2.4. Statistical Analysis
3. Results
3.1. Micro-Plot Experiment
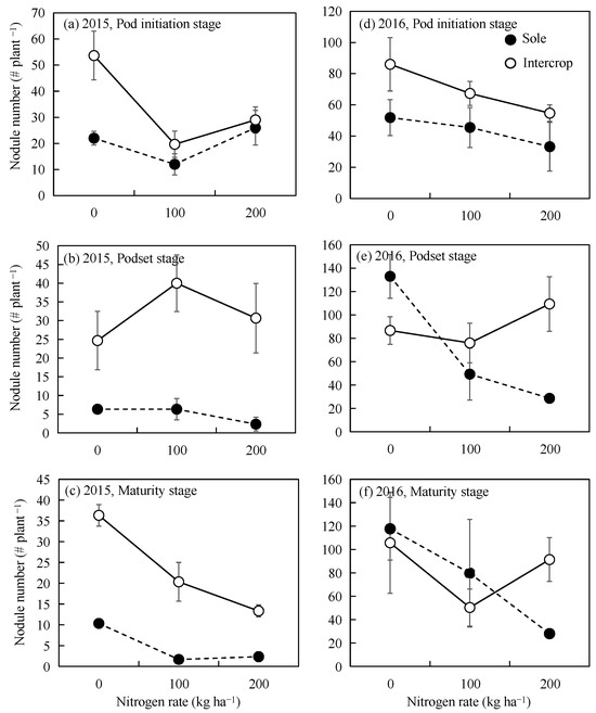
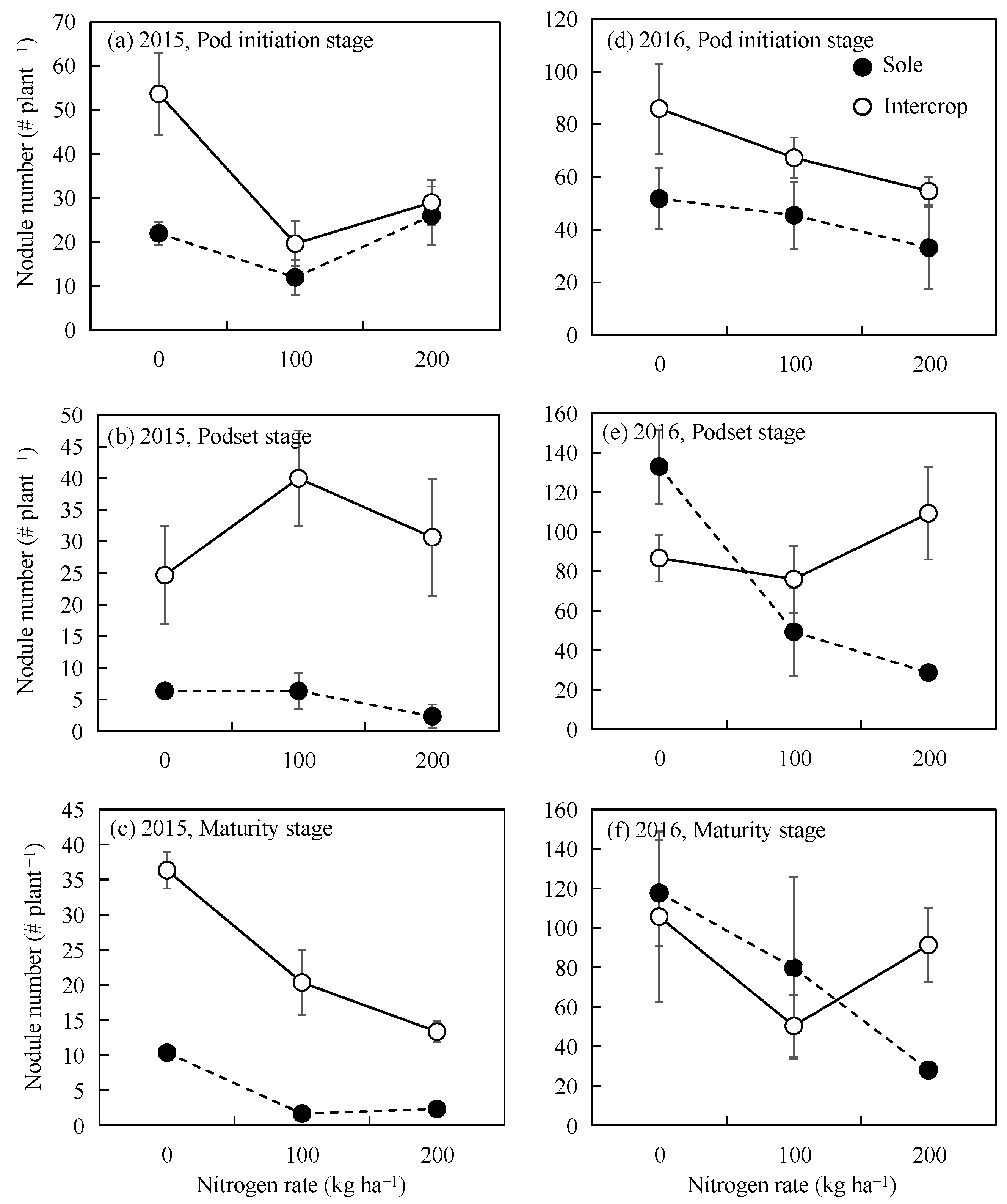
3.1.1. Nodule Number
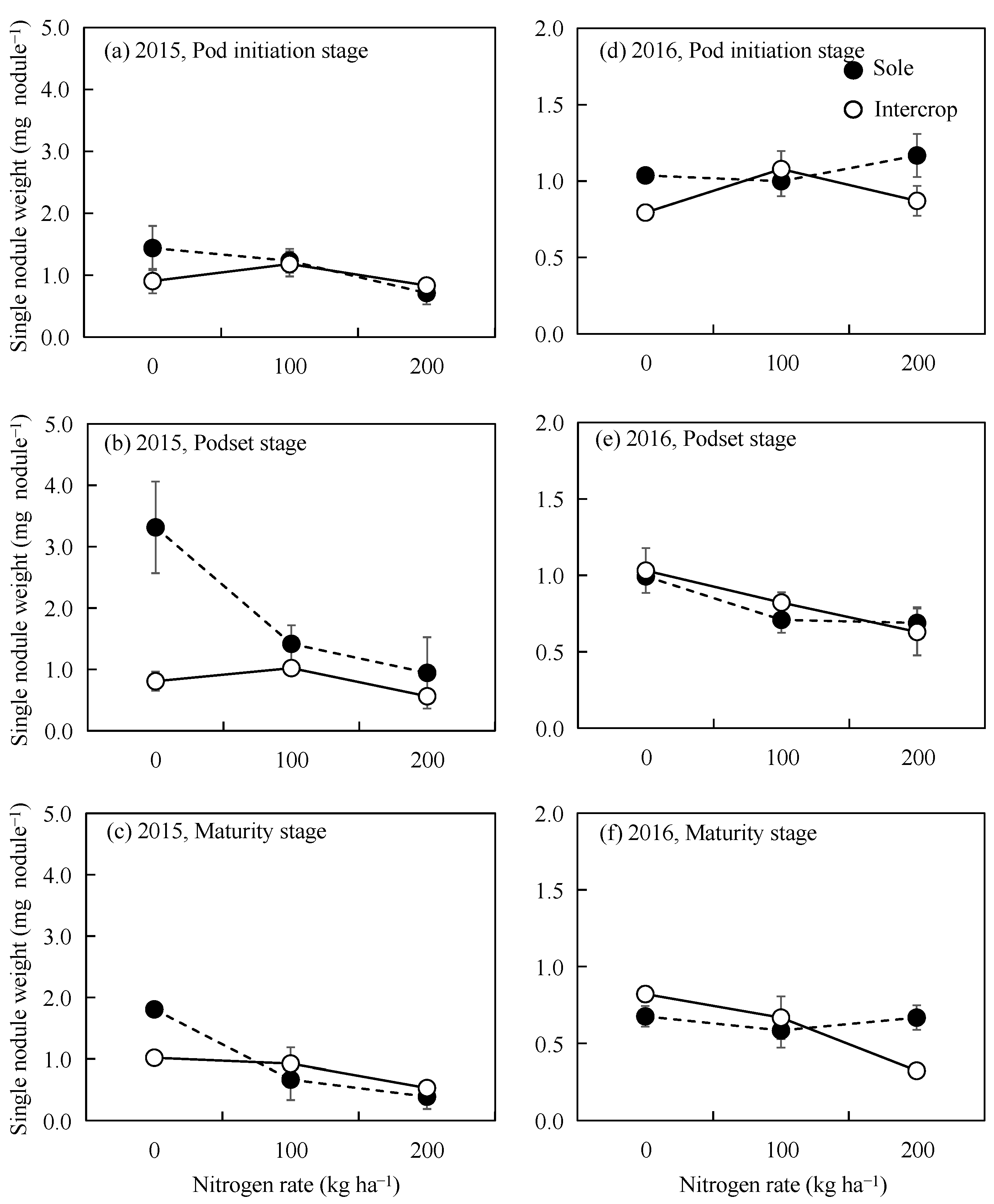
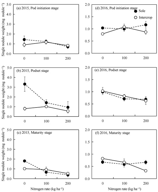
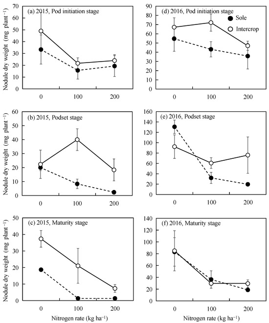
3.1.2. Nodule Weight
3.2. Field Experiment
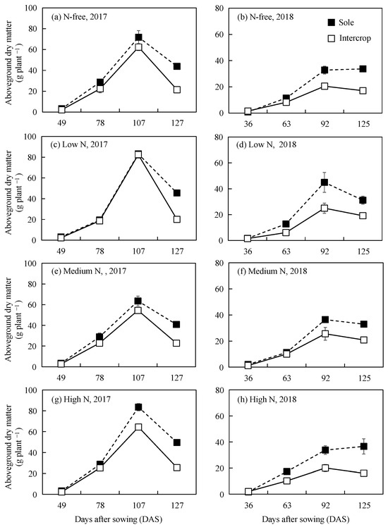
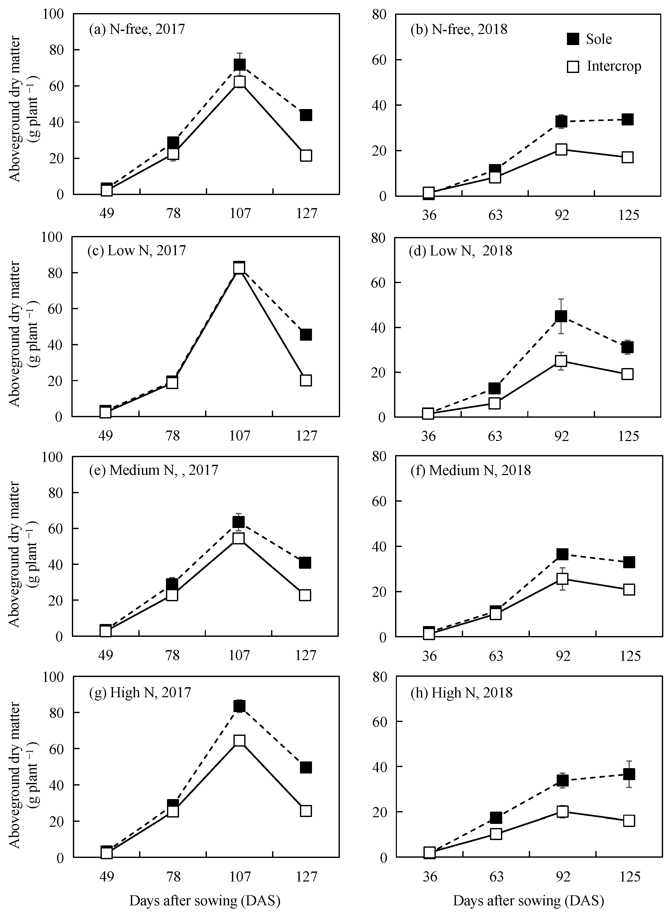
3.2.1. Aboveground Dry Matter
3.2.2. Nodule Number
3.2.3. Nodule Weight
4. Discussion
5. Conclusions
Author Contributions
Funding
Data Availability Statement
Acknowledgments
Conflicts of Interest
References
- Hauggaard-Nielsen, H.; Ambus, P.; Jensen, E.S. The comparison of nitrogen use and leaching in sole cropped versus intercropped pea and barley. Nutr. Cycl. Agroecosyst. 2003, 65, 289–300. [Google Scholar] [CrossRef]
- Yu, Y.; Stomph, T.J.; Makowski, D.; van der Werf, W. Temporal niche differentiation increases the land equivalent ratio of annual intercrops: A meta-analysis. Field Crops Res. 2015, 184, 133–144. [Google Scholar] [CrossRef]
- Martin-Guay, M.O.; Paquette, A.; Dupras, J.; Rivest, D. The new green revolution: Sustainable intensification of agriculture by intercropping. Sci. Total Environ. 2018, 615, 767–772. [Google Scholar] [CrossRef] [PubMed]
- Vandermeer, J.H. The Ecology of Intercropping; Cambridge University Press: Cambridge, UK, 1989. [Google Scholar]
- Willey, R. Resource use in intercropping systems. Agric. Water Manag. 1990, 17, 215–231. [Google Scholar] [CrossRef]
- Mao, L.L.; Zhang, L.Z.; Li, W.Q.; van der Werf, W.; Sun, J.H.; Spiertz, H.; Li, L. Yield advantage and water saving in maize/pea intercrop. Field Crops Res. 2012, 138, 11–20. [Google Scholar] [CrossRef]
- Zhu, J.Q.; van der Werf, W.; Anten, N.P.R.; Vos, J.; Evers, J.B. The contribution of phenotypic plasticity to complementary light capture in plant mixtures. New Phytol. 2015, 207, 1213–1222. [Google Scholar] [CrossRef] [PubMed]
- Zhang, F.; Li, L. Using competitive and facilitative interactions in intercropping systems enhances crop productivity and nutrient-use efficiency. Plant Soil 2003, 248, 305–312. [Google Scholar] [CrossRef]
- Chen, G.D.; Chai, Q.; Huang, G.B.; Yu, A.Z.; Feng, F.X.; Mu, Y.P.; Kong, X.F.; Huang, P. Belowground interspecies interaction enhances productivity and water use efficiency in maize-pea intercropping systems. Crop Sci. 2015, 55, 420–428. [Google Scholar] [CrossRef]
- Zuo, Y.; Zhang, F. Iron and zinc biofortification strategies in dicot plants by intercropping with gramineous species. A review. Agron. Sustain. Dev. 2009, 29, 63–71. [Google Scholar] [CrossRef]
- Li, Q.S.; Chen, J.; Wu, L.K.; Luo, X.M.; Li, N.; Arafat, Y.; Lin, S.; Lin, W.X. Belowground interactions impact the soil bacterial community, soil fertility, and crop yield in maize/peanut intercropping systems. Int. J. Mol. Sci. 2018, 19, 622. [Google Scholar] [CrossRef]
- Feng, C.; Sun, Z.X.; Zhang, L.Z.; Feng, L.S.; Zheng, J.M.; Bai, W.; Gu, C.F.; Wang, Q.; Xu, Z.; van der Werf, W. Maize/peanut intercropping increases land productivity: A meta-analysis. Field Crop Res. 2021, 270, 108208. [Google Scholar] [CrossRef]
- Wang, Q.; Sun, Z.; Bai, W.; Zhang, D.; Zhang, Y.; Wang, R.; van der Werf, W.; Evers, J.B.; Stomph, T.J.; Guo, J. Light perception and use efficiency differ with maize plant density in maize-peanut intercropping. Front. Agric. Sci. Eng. 2021, 8, 432–446. [Google Scholar]
- Inal, A.; Gunes, A.; Zhang, F.; Cakmak, I. Peanut/maize intercropping induced changes in rhizosphere and nutrient concentrations in shoots. Plant Physiol. Biochem. 2007, 45, 350–356. [Google Scholar] [CrossRef] [PubMed]
- Fan, F.L.; Zhang, F.S.; Song, Y.N.; Sun, J.H.; Bao, X.G.; Guo, T.W.; Li, L. Nitrogen fixation of faba bean (Vicia faba L.) interacting with a non-legume in two contrasting intercropping systems. Plant Soil 2006, 283, 275–286. [Google Scholar] [CrossRef]
- Li, L.; Li, S.M.; Sun, J.H.; Zhou, L.L.; Bao, X.G.; Zhang, H.G.; Zhang, F.S. Diversity enhances agricultural productivity via rhizosphere phosphorus facilitation on phosphorus-deficient soils. Proc. Natl. Acad. Sci. USA 2007, 104, 11192–11196. [Google Scholar] [CrossRef] [PubMed]
- Li, Y.Y.; Yu, C.B.; Cheng, X.; Li, C.J.; Sun, J.H.; Zhang, F.S.; Lambers, H.; Li, L. Intercropping alleviates the inhibitory effect of n fertilization on nodulation and symbiotic N2 fixation of faba bean. Plant Soil 2009, 323, 295–308. [Google Scholar] [CrossRef]
- Wahua, T.; Miller, D. Effects of intercropping on soybean n2-fixation and plant composition on associated sorghum and soybeans 1. Agron. J. 1978, 70, 292–295. [Google Scholar] [CrossRef]
- Li, Y.F.; Ran, W.; Zhang, R.P.; Sun, S.B.; Xu, G.H. Facilitated legume nodulation, phosphate uptake and nitrogen transfer by arbuscular inoculation in an upland rice and mung bean intercropping system. Plant Soil 2009, 315, 285–296. [Google Scholar] [CrossRef]
- Santalla, M.; Amurrio, J.M.; Rodiño, A.P.; de Ron, A.M. Variation in traits affecting nodulation of common bean under intercropping with maize and sole cropping. Euphytica 2001, 122, 243–255. [Google Scholar] [CrossRef]
- Li, B.; Li, Y.Y.; Wu, H.M.; Zhang, F.F.; Li, C.J.; Li, X.X.; Lambers, H.; Li, L. Root exudates drive interspecific facilitation by enhancing nodulation and N2 fixation. Proc. Natl. Acad. Sci. USA 2016, 113, 6496–6501. [Google Scholar] [CrossRef]
- Clement, A.; Chalifour, F.P.; Bharati, M.P.; Gendron, G. Nitrogen and light partitioning in a maize soybean intercropping system under a humid subtropical climate. Can. J. Plant Sci. 1992, 72, 69–82. [Google Scholar] [CrossRef]
- Nambiar, P.; Rao, M.; Reddy, M.; Floyd, C.; Dart, P.; Willey, R. Effect of intercropping on nodulation and n2-fixation by groundnut. Exp. Agric. 1983, 19, 79–86. [Google Scholar] [CrossRef]
- Ghosh, P.K. Growth, yield, competition and economics of groundnut/cereal fodder intercropping systems in the semi-arid tropics of India. Field Crop Res. 2004, 88, 227–237. [Google Scholar] [CrossRef]
- Callaway, R.M.; Walker, L.R. Competition and facilitation: A synthetic approach to interactions in plant communities. Ecology 1997, 78, 1958–1965. [Google Scholar] [CrossRef]
- Brooker, R.W.; Maestre, F.T.; Callaway, R.M.; Lortie, C.L.; Cavieres, L.A.; Kunstler, G.; Liancourt, P.; Tielbörger, K.; Travis, J.M.J.; Anthelme, F.; et al. Facilitation in plant communities: The past, the present, and the future. J. Ecol. 2008, 96, 18–34. [Google Scholar] [CrossRef]
- Zuo, Y.M.; Liu, Y.X.; Zhang, F.S.; Christie, P. A study on the improvement iron nutrition of peanut intercropping with maize on nitrogen fixation at early stages of growth of peanut on a calcareous soil. Soil. Sci. Plant Nutr. 2004, 50, 1071–1078. [Google Scholar] [CrossRef]
- Chu, G.-x.; Shen, Q.-r.; Zhang, J.; Xiao, L.-y.; Mao, Z.-s. Comparision of two methods used to study the biological nitrogen fixation and nitrogen transfer from peanut to rice in aerobic soil of intercropping system. Plant Nutr. Fertil. Sci. 2003, 9, 385–389. [Google Scholar]
- Cardoso, E.; Nogueira, M.A.; Ferraz, S.M.G. Biological N2 fixation and mineral n in common bean-maize intercropping or sole cropping in southeastern Brazil. Exp. Agric. 2007, 43, 319–330. [Google Scholar] [CrossRef]
- Li, L.; Yang, S.C.; Li, X.L.; Zhang, F.S.; Christie, P. Interspecific complementary and competitive interactions between intercropped maize and faba bean. Plant Soil 1999, 212, 105–114. [Google Scholar] [CrossRef]
- Li, L.; Sun, J.H.; Zhang, F.S.; Li, X.L.; Yang, S.C.; Rengel, Z. Wheat/maize or wheat/soybean strip intercropping I. Yield advantage and interspecific interactions on nutrients. Field Crops Res. 2001, 71, 123–137. [Google Scholar] [CrossRef]
- Li, H.; Shen, J.; Zhang, F.; Clairotte, M.; Drevon, J.J.; Le Cadre, E.; Hinsinger, P. Dynamics of phosphorus fractions in the rhizosphere of common bean (Phaseolus vulgaris L.) and durum wheat (Triticum turgidum durum L.) grown in monocropping and intercropping systems. Plant Soil 2008, 312, 139–150. [Google Scholar] [CrossRef]
- Mei, P.P.; Gui, L.G.; Wang, P.; Huang, J.C.; Long, H.Y.; Christie, P.; Li, L. Maize/faba bean intercropping with rhizobia inoculation enhances productivity and recovery of fertilizer P in a reclaimed desert soil. Field Crops Res. 2012, 130, 19–27. [Google Scholar] [CrossRef]
- Rao, M.; Rego, T.; Willey, R. Response of cereals to nitrogen in sole cropping and intercropping with different legumes. Plant Soil 1987, 101, 167–177. [Google Scholar] [CrossRef]
- Corre-Hellou, G.; Fustec, J.; Crozat, Y. Interspecific competition for soil n and its interaction with N2 fixation, leaf expansion and crop growth in pea-barley intercrops. Plant Soil 2006, 282, 195–208. [Google Scholar] [CrossRef]
- Mandimba, G.R.; Galandzou, C.; Guenguie, N. Effect of plant-population densities on the growth of Zea mays L. and Arachis hypogaea L. in intercropping systems. Biol. Agric. Hortic. 1993, 10, 141–154. [Google Scholar] [CrossRef]
- Konlan, S.; Sarkodie-Addo, J.; Kombiok, M.; Asare, E.; Bawah, I. Effect of intercropping on nitrogen fixation of three groundnut (Arachis hypogaea L.) genotypes in the guinea savanna zone of Ghana. Int. J. Plant Soil Sci. 2015, 5, 1–9. [Google Scholar] [CrossRef] [PubMed]
- Calavan, K.M.; Weil, R.R. Peanut-corn intercrop performance as affected by within-row corn spacing at a constant row spacing. Agron. J. 1988, 80, 635–642. [Google Scholar] [CrossRef]
- Wang, R.N.; Sun, Z.X.; Bai, W.; Wang, E.L.; Wang, Q.; Zhang, D.S.; Zhang, Y.; Yang, N.; Liu, Y.; Nie, J.Y.; et al. Canopy heterogeneity with border-row proportion affects light interception and use efficiency in maize/peanut strip intercropping. Field Crops Res. 2021, 271, 108239. [Google Scholar] [CrossRef]
- Zhang, D.S.; Zhang, L.Z.; Liu, J.G.; Han, S.; Wang, Q.; Evers, J.C.; Liu, J.; van der Werf, W.; Li, L. Plant density affects light interception and yield in cotton grown as companion crop in young jujube plantations. Field Crops Res. 2014, 169, 132–139. [Google Scholar] [CrossRef]
- Jensen, E.S.; Peoples, M.B.; Hauggaard-Nielsen, H. Faba bean in cropping systems. Field Crops Res. 2010, 115, 203–216. [Google Scholar] [CrossRef]









| Experiment | Bulk Density | Organic Matter | pH | Cation Exchange Capacity | Total N | Available N | Olsen-P | Available K |
|---|---|---|---|---|---|---|---|---|
| g cm−3 | g kg−1 | mmol kg−1 | % | mg kg−1 | mg kg−1 | mg kg−1 | ||
| Micro-plot | 1.35 | 13.8 | 6.2 | 191 | 0.18 | 29.4 | 26.6 | 112 |
| Field | 1.48 | 14.1 | 5.3 | 311 | 0.08 | 87.5 | 6.9 | 69 |
| Micro-Plot Experiment (2015–2016) | Pod Initiation Stage | Pod Setting Stage | Maturity Stage | |||||||
|---|---|---|---|---|---|---|---|---|---|---|
| Nodule Number | Nodule Dry Weight | Single Nodule Weight | Nodule Number | Nodule Dry Weight | Single Nodule Weight | Nodule Number | Nodule Dry Weight | Single Nodule Weight | ||
| plant−1 | mg plant−1 | mg nodule−1 | plant−1 | mg plant−1 | mg nodule−1 | plant−1 | mg plant−1 | mg nodule−1 | ||
| Factor | System | 0.002 | 0.039 | 0.152 | 0.000 | 0.041 | 0.006 | 0.265 | 0.223 | 0.290 |
| N | 0.033 | 0.043 | 0.217 | 0.008 | 0.001 | 0.003 | 0.049 | 0.000 | 0.000 | |
| Year | 0.003 | 0.009 | 0.402 | 0.011 | 0.011 | 0.042 | 0.015 | 0.051 | 0.116 | |
| System * N | 0.301 | 0.803 | 0.278 | 0.000 | 0.013 | 0.032 | 0.308 | 0.973 | 0.055 | |
| System * N * Year | 0.519 | 0.603 | 0.292 | 0.000 | 0.009 | 0.005 | 0.309 | 0.201 | 0.001 | |
| Field Experiment (2017–2018) | Pod Initiation Stage | ||||
|---|---|---|---|---|---|
| Nodule Number | Nodule Dry Weight | Single Nodule Weight | Nodule Weight Per Aboveground Dry Matter | ||
| plant−1 | mg plant−1 | mg nodule−1 | mg g−1 | ||
| Factor | System | 0.044 | 0.004 | 0.011 | 0.228 |
| N | 0.001 | 0.000 | 0.178 | 0.000 | |
| Year | 0.029 | 0.757 | 0.013 | 0.070 | |
| System * N | 0.020 | 0.048 | 0.558 | 0.257 | |
| System * N * Year | 0.308 | 0.388 | 0.107 | 0.328 | |
Disclaimer/Publisher’s Note: The statements, opinions and data contained in all publications are solely those of the individual author(s) and contributor(s) and not of MDPI and/or the editor(s). MDPI and/or the editor(s) disclaim responsibility for any injury to people or property resulting from any ideas, methods, instructions or products referred to in the content. |
© 2024 by the authors. Licensee MDPI, Basel, Switzerland. This article is an open access article distributed under the terms and conditions of the Creative Commons Attribution (CC BY) license (https://creativecommons.org/licenses/by/4.0/).
Share and Cite
Feng, C.; Du, G.; Zhang, Y.; Feng, L.; Zhang, L.; Wang, Q.; Xiang, W.; Bai, W.; Cai, Q.; Sun, T.; et al. Maize/Peanut Intercropping Affects Legume Nodulation in Semi-Arid Conditions. Agronomy 2024, 14, 951. https://doi.org/10.3390/agronomy14050951
Feng C, Du G, Zhang Y, Feng L, Zhang L, Wang Q, Xiang W, Bai W, Cai Q, Sun T, et al. Maize/Peanut Intercropping Affects Legume Nodulation in Semi-Arid Conditions. Agronomy. 2024; 14(5):951. https://doi.org/10.3390/agronomy14050951
Chicago/Turabian StyleFeng, Chen, Guijuan Du, Yue Zhang, Liangshan Feng, Lili Zhang, Qi Wang, Wuyan Xiang, Wei Bai, Qian Cai, Tianran Sun, and et al. 2024. "Maize/Peanut Intercropping Affects Legume Nodulation in Semi-Arid Conditions" Agronomy 14, no. 5: 951. https://doi.org/10.3390/agronomy14050951
APA StyleFeng, C., Du, G., Zhang, Y., Feng, L., Zhang, L., Wang, Q., Xiang, W., Bai, W., Cai, Q., Sun, T., Sun, Z., & Zhang, L. (2024). Maize/Peanut Intercropping Affects Legume Nodulation in Semi-Arid Conditions. Agronomy, 14(5), 951. https://doi.org/10.3390/agronomy14050951

