Impact of Photosynthetic Efficiency on Watermelon Cultivation in the Face of Drought
Abstract
1. Introduction
2. Materials and Methods
2.1. Experimental Conditions
2.2. Agricultural Management
2.3. Relative Chlorophyll Content
2.4. Relative Leaf Water Content (RWC)
2.5. Electrolyte Leakage (EL)
2.6. Gas Exchange Parameters
2.7. Production Components
2.8. Statistical Analysis
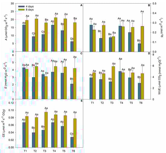
3. Results
3.1. Physiological Parameters
3.2. Production Components
4. Discussion
5. Conclusions
- (1)
- Water deficiency reduced the photosynthetic efficiency of watermelon plants after 4 days of drought.
- (2)
- The suspension of irrigation for four and eight days was not sufficient to influence watermelon yield.
- (3)
- The “Crimpson Sweet” variety of watermelon cultivated in the soil conditions of Arapiraca shows signs of adaptation and tolerance to water deficiency.
Author Contributions
Funding
Data Availability Statement
Conflicts of Interest
References
- Dal Mora, M.R.; Rocha, R.R.; Diamante, M.S.; Guedes, S.F.; Seabra, S., Jr. Atributos físico-químicos e bioquímicos de melancia vermelha e amarela minimamente processada, durante o armazenamento. Sci. Electron. Arch. 2021, 14, 13–21. [Google Scholar] [CrossRef]
- Instituto Brasileiro de Geografia e Estatística-IBGE. Produção Agrícola Nacional de Melancia 2022. Available online: https://www.ibge.gov.br/explica/producao-agropecuaria/melancia/br (accessed on 20 January 2024).
- Dantas, M.V.; Lacerda, C.N.; Roque, I.A.; Silva, F.A.; Lima, G.S.; Chaves, L.H.G.; Soares, L.A.A.; Gheyi, H.R.; Nóbrega, J.S.; Silva, L.A. Morphophysiology and production components of mini-watermelon under water replenishment and nitrogen fertilization levels. Semin. Ciênc. Agrár. 2023, 44, 1235–1264. [Google Scholar] [CrossRef]
- Azevedo, B.M.; Bastos, F.G.C.; Viana, T.V.A.; Rêgo, J.L.; D’ávila, J.H. Efeitos de níveis de irrigação na cultura da melancia. Rev. Ciênc. Agron. 2005, 36, 9–15. [Google Scholar]
- Keller, J.; Karmeli, D. Trickle Irrigation Design; Rain Bird: Glendora, CA, USA, 1975; 133p. [Google Scholar]
- Barros, A.C.; Silva, R.B.; Santos Neto, A.L.; Vellame, L.M.; Santos, M.D.S.; Aguiar Netto, A.O. Thermal, hydric, and physiological effects on watermelon due to wetted area variation. Rev. Ceres 2024, 71, e71002. [Google Scholar] [CrossRef]
- Casali, V.W.D.; Sonnemberg, P.E.; Pedrosa, J.F. Melancia: Cultivares e métodos culturais. Inf. Agropecuário 1982, 8, 29–32. [Google Scholar]
- Silva, D.M.R.; Santos, J.C.C.; Rosa, V.R.; Santos, A.L.F.; Silva, M.A. Tolerance to water defciency in safower (Carthamus tinctorius L.) modulated by potassium fertilization. Acta Physiol. Plant. 2022, 44, 99. [Google Scholar] [CrossRef]
- Silva, S.S.; Lima, G.S.; Lima, V.L.A.; Soares, L.A.A.; Gheyi, H.R.; Fernandes, P.D. Quantum yield, photosynthetic pigments and biomass of mini watermelon under irrigation strategies and potassium. Rev. Caatinga 2021, 34, 659–669. [Google Scholar] [CrossRef]
- Melo, R.E.; Silva, A.E.B.; Silva, J.R. Turnos de rega e polímero hidro retentor na qualidade de frutos de melancia em condições de semiárido. Rev. Eletrônica Científica Inovação E Tecnol. 2022, v12, 22–33. [Google Scholar] [CrossRef]
- Pereira, W.B.; Possídio, C.E.F.; Sousa, J.S.C.; Simões, W.L.; Santos, C.M.G. Produção e qualidade de melões sob diferentes arranjos do sistema de irrigação e coberturas do solo. Rev. Brasil. Meteorol. 2021, 36, 285–294. [Google Scholar] [CrossRef]
- Barros, A.H.C.; Araújo Filho, J.C.; Silva, A.B.; Santiago, G.A.C.F. Climatologia do Estado de Alagoas. In Boletim de Pesquisa e Desenvolvimento; Dados eletrônicos; Embrapa Solos: Recife, Brazil, 2012; 32p, Available online: https://ainfo.cnptia.embrapa.br/digital/bitstream/item/103956/1/BPD-211-ClimatologiaAlagoas.pdf (accessed on 15 February 2024).
- Santos, H.G.; Jacomine, P.K.T.; Anjos, L.H.C.; Oliveira, V.A.; Lumbreras, J.F.; Coelho, M.R.; Almeida, J.A.; Araújo Filho, J.C.; Oliveira, J.B.; Cunha, T.J.F. Sistema Brasileiro de Classificação de Solos; Embrapa: Brasília, Brazil, 2018. [Google Scholar]
- Ribeiro, A.C.; Guimarães, P.T.G.; Alvarez, V.V.H. (Eds.) Recomendações Para o Uso de Corretivos e Fertilizantes em Minas Gerais: 5a Aproximação; Comissão de Fertilidade do Solo do Estado de Minas Gerais: Viçosa, Brazil, 1999; Volume 1, 359p. [Google Scholar]
- Hargreaves, G.H.; Samani, Z.A. Referência Crop Evapotranspiration from Temperature. Appl. Eng. Agric. 1985, 1, 96–99. [Google Scholar] [CrossRef]
- Ferreira, V.M.; Klar, A.E.; Andrade, A.S.; Bastos, E.A.; Oliveira, S.R.M. Evapotranspiração e coeficiente de cultura da melancia na microrregião de Teresina, PI, Brasil. Comun. Sci. 2015, 4, 488–494. [Google Scholar] [CrossRef]
- Barrs, H.D.; Weatherley, P.E. A re-examination of the relative turgidity technique for estimating water deficit in leaves. Aust. J. Biol. 1962, 15, 413–428. [Google Scholar] [CrossRef]
- Campos, P.S.; THI, A.T.P. Effect of abscisic acid pretreatment on membrane leakage and lipid composition of Vigna unguiculata leaf discs subjected to osmotic stress. Plant Sci. 1997, 130, 11–18. [Google Scholar] [CrossRef]
- Ferreira, D.F. Sisvar: A guide for its bootstrap procedures in multiple comparisons. Ciênc. Agrotec. 2014, 38, 109–112. [Google Scholar] [CrossRef]
- Abdelkhalik, A.; Pascual-Seva, N.; Nájera, I.; Giner, A.; Baixauli, C.; Pascual, B. Yield response of seedless watermelon to different drip irrigation strategies under Mediterranean conditions. Agric. Water Manag. 2019, 212, 99–110. [Google Scholar] [CrossRef]
- Yavuz, D.; Seymen, M.; Suheri, S.; Yavuz, N.; Turcomeno, O.; Kurtar, E.S. How do rootstocks of citron watermelon (Citrullus lanatus var. citroides) affect the yield and quality of watermelon under déficit irrigation? Agric. Water Manag. 2020, 241, 106351. [Google Scholar] [CrossRef]
- Zhang, S.B.; Mei Sun, M.; Cao, K.F.; Hu, H.; Zhang, J.L. Leaf photosynthetic rate of tropical ferns is evolutionarily linked to water transport capacity. PLoS ONE 2014, 9, e84682. [Google Scholar] [CrossRef]
- Ribeiro, I.A.; Voltolini, T.V.; Simões, W.L.; Ferreira, M.A.J.F.; Sobreira, A.M.; Gois, G.C. Responses of forage watermelon genotypes submitted to different water supply. Biol. Rhythm Res. 2021, 52, 293–306. [Google Scholar] [CrossRef]
- Melo, A.S.; Suassuna, J.F.; Fernandes, P.D.; Brito, M.E.B.; Suassuna, A.F.; Aguiar Netto, A.O. Crescimento vegetativo, resistência estomática, eficiência fotossintética e rendimento do fruto da melancieira em diferentes níveis de água. Acta Sci. Agron. 2010, 32, 73–79. [Google Scholar] [CrossRef]
- Flexas, J. Genetic improvement of leaf photosynthesis and intrinsic water use efficiency in C3 plants: Why so much little success? Front. Plant Sci. 2016, 251, 155–161. [Google Scholar] [CrossRef]
- Lim, C.W.; Baek, W.; Jung, J.; Kim, J.H.; Lee, S.C. Function of ABA in stomatal defense against biotic and drought stresses. Int. J. Mol. Sci. 2015, 16, 15251–15270. [Google Scholar] [CrossRef] [PubMed]
- Pereira, L.; Flores-Borges, D.N.A.; Bittencourt, P.R.L.; Mayer, J.L.S.; Kiyota, E.; Araújo, P.; Jansen, S.; Freitas, R.O.; Oliveira, R.S.; Mazzafera, P. Infrared nanospectroscopy reveals the chemical nature of pit membranes in water-conducting cells of the plant xylem. Plant Physiol. 2018, 177, 1629–1638. [Google Scholar] [CrossRef]
- Xie, J.; Chen, J.; Sun, G.; Zha, T.; Yang, B.; Chu, H.; Liu, J.; Wan, S.; Zhou, C.; Ma, H.; et al. Ten-year variability in ecosystem water use efficiency in an oak-dominated temperate forest under a warming climate. Agric. Meteorol. 2016, 218–219, 209–217. [Google Scholar] [CrossRef]
- Hatfield, J.; Dold, C. Water-use efficiency: Advances and challenges in a changing climate. Front. Plant Sci. 2019, 10, 103. [Google Scholar] [CrossRef] [PubMed]
- Santaniello, A.; Scartazza, A.; Gresta, F.; Loreti, E.; Biasone, A.; Di Tommaso, D.; Piaggesi, A.; Perata, P. Ascophyllum nodosum seaweed extract alleviates drought stress in Arabidopsis by affecting photosynthetic performance and related gene expression. Front. Plant Sci. 2017, 8, 1362. [Google Scholar] [CrossRef] [PubMed]
- Mathobo, R.; Marais, D.; Steyn, J.M. The effect of drought stress on yield; leaf gaseous exchange andchlorophyll fluorescence of dry beans (Phaseolus vulgaris L.). Agric. Water Manag. 2017, 80, 118–125. [Google Scholar] [CrossRef]
- Kawasaki, S.; Miyake, C.; Kohoci, T.; Fujii, S.; Uchida, M.; Yokota, A. Responses to wild watermelon to drought stress: Accumulation of an ArgE homologue and citrulline in leaves during ware deficit. Plant Cell Physiol. 2000, 41, 864–873. Available online: https://www.ncbi.nlm.nih.gov/pubmed/10965943 (accessed on 2 March 2024). [CrossRef] [PubMed]
- Akashi, K.; Yoshida, K.; Kuwano, M.; Kajikawa, M.; Yoshimura, K.; Hoshiyasu, S.; Inagaki, N.; Yokota, A. Dynamic changes inthe leaf proteome of a C3 xerophyte, Citrullus lanatus (wild watermelon), in reponse to water déficit. Planta 2011, 233, 947–960. [Google Scholar] [CrossRef] [PubMed]
- Mandizvo, T.; Odino, A.O.; Mashilo, J.; Magwaza, L.S. Drought tolerance assessment of citron watermelon (Citullus lanatus var. citroides (L.H. bailey) Mansf. Ex Greb.) accessions based on morphological and physiological traits. Plant Physiol. Biochem. 2022, 180, 106–123. [Google Scholar] [CrossRef]
- Taiz, L.; Zeiger, E. Fisiologia Vegetal, 6th ed.; Artmed: Porto Alegre, Brazil, 2017; 888p. [Google Scholar]
- Baslam, M.; Mitsui, T.; Hodges, M.; Priesack, E.; Herritt, M.T.; Aranjuelo, I.; Sanz-Sáez, A. Photosynthesis in a changing global climage: Scaling up and scaling down in crops. Front. Plant Sci. 2020, 11, 882. [Google Scholar] [CrossRef]
- Rouen, A.; Baghizadeh, A.; Roghami, M.; Mousavi, A. Physiological and Biochemical Responses of watermelon landraces to water deficit stress. Russ. J. Plant Physiol. 2023, 70, 134. [Google Scholar] [CrossRef]



| Physical-Hydric Properties | Unit | Soil Layers (m) | ||
|---|---|---|---|---|
| 0–0.2 | 0.2–0.4 | 0.4–0.6 | ||
| Sand | g kg−1 | 70.35 | 62.30 | 58.24 |
| Silt | g kg−1 | 11.71 | 26.80 | 30.85 |
| Clay | g kg−1 | 17.94 | 10.90 | 10.91 |
| Soil Density (g cm3) | g cm3 | 1.29 | 1.43 | 1.31 |
| Particle Density (g/cm3) | g cm3 | 2.68 | 2.68 | 2.71 |
| Porosity (%) | % | 51.86 | 46.64 | 51.66 |
| θS | m3 m−3 | 0.518 | 0.466 | 0.516 |
| θR | m3 m−3 | 0.077 | 0.070 | 0.083 |
| a | - | 0.371 | 0.313 | 0.271 |
| n | - | 1.542 | 1.523 | 1.627 |
| m | - | 0.351 | 0.343 | 0.385 |
| Chemical properties | Unit | Soil Layers (cm) | ||
| 0–20 | 20–40 | |||
| pH | - | 6.05 | 5.74 | |
| Calcium + Magnesium | cmolc dm3 | 2.70 | 2.11 | |
| Calcium | cmolc dm3 | 1.94 | 1.54 | |
| Aluminum | cmolc dm3 | <0.08 | <0.08 | |
| Sodium | mg dm3 | 47.9 | 73.0 | |
| Potassium | mg dm3 | 80.0 | 116.0 | |
| Phosphor | mg dm3 | 29.4 | 28.9 | |
| SB | cmol dm3 | 3.12 | 2.73 | |
| CTC | cmol dm3 | 4.36 | 4.16 | |
| V | % | 71.60 | 65.60 | |
| Stadiums | Intervals (Days) | KC | KR |
|---|---|---|---|
| Emergence and growth | 0–20 | 0.39 | 0.39 |
| Flowering | 21–35 | 0.80 | 0.53 |
| Fructification | 36–56 | 1.14 | 0.69 |
| Fruit ripening | 56–70 | 0.59 | 0.89 |
| Source of Variation | D.F. | Medium Squares | ||||
|---|---|---|---|---|---|---|
| A | gs | Ci | E | TLEAF | ||
| Treatments (T) | 5 | 50.380 * | 0.015 * | 1266.521 NS | 1.574 * | 4.040 NS |
| Periods (P) | 1 | 679.589 * | 0.034 * | 239.2718 NS | 7.181 * | 3.379 NS |
| T × P | 5 | 24.558 * | 0.015 * | 1005.808 NS | 1.742 * | 4.186 NS |
| Blocks | 3 | 4.435 NS | 0.011 * | 792.825 NS | 2.431 * | 11.540 * |
| Residue | 33 | 2.574 | 0.003 | 510.6970 | 0.578 | 1.932 |
| C.V. (%) | 10.12 | 25.33 | 9.56 | 20.37 | 4.45 | |
| WUE | CE | SPAD | RWC | EL | ||
| Treatments (T) | 5 | 1.193 NS | 0.001 * | 32.169 NS | 403.623 NS | 43.264 NS |
| Periods (P) | 1 | 16.548 * | 0.014 * | 60.077 NS | 6.106 NS | 1.527 NS |
| T × P | 5 | 1.939 * | 0.000 * | 24.198 NS | 121.831 NS | 103.042 NS |
| Blocks | 3 | 2.976 * | 0.000 NS | 29.793 NS | 43.028 NS | 214.080 NS |
| Residue | 33 | 0.575 | 0.000 | 32.170 | 175.753 | 124.983 NS |
| C.V. (%) | 17.58 | 11.17 | 12.05 | 22.46 | 15.91 | |
| Source of Variation | D.F. | Medium Squares | ||||
|---|---|---|---|---|---|---|
| Yield (kg ha−1) | Thickness (mm) | Diameter (cm) | Length (mm) | Brix (°) | ||
| Treatment | 5 | 3.120 NS | 24.547 NS | 1.953 NS | 7.208 NS | 0.720 NS |
| Blocks | 4 | 1.787 NS | 6.980 NS | 3.822 NS | 1.924 NS | 0.377 NS |
| Residue | 31 | 1.896 | 11.682 | 3.318 | 9.506 | 1.174 |
| C.V. (%) | 10.12 | 15.77 | 6.54 | 6.52 | 10.17 | |
Disclaimer/Publisher’s Note: The statements, opinions and data contained in all publications are solely those of the individual author(s) and contributor(s) and not of MDPI and/or the editor(s). MDPI and/or the editor(s) disclaim responsibility for any injury to people or property resulting from any ideas, methods, instructions or products referred to in the content. |
© 2024 by the authors. Licensee MDPI, Basel, Switzerland. This article is an open access article distributed under the terms and conditions of the Creative Commons Attribution (CC BY) license (https://creativecommons.org/licenses/by/4.0/).
Share and Cite
Silva, D.M.R.; Barros, A.C.; Silva, R.B.; Galdino, W.d.O.; Souza, J.W.G.d.; Marques, I.C.d.S.; Sousa, J.I.d.; Lira, V.d.S.; Melo, A.F.; Abreu, L.d.S.d.; et al. Impact of Photosynthetic Efficiency on Watermelon Cultivation in the Face of Drought. Agronomy 2024, 14, 950. https://doi.org/10.3390/agronomy14050950
Silva DMR, Barros AC, Silva RB, Galdino WdO, Souza JWGd, Marques ICdS, Sousa JId, Lira VdS, Melo AF, Abreu LdSd, et al. Impact of Photosynthetic Efficiency on Watermelon Cultivation in the Face of Drought. Agronomy. 2024; 14(5):950. https://doi.org/10.3390/agronomy14050950
Chicago/Turabian StyleSilva, Dayane Mércia Ribeiro, Allan Cunha Barros, Ricardo Barros Silva, Wesley de Oliveira Galdino, José Wilker Germano de Souza, Isabelly Cristina da Silva Marques, Jadielson Inácio de Sousa, Viviane da Silva Lira, Alan Fontes Melo, Lucas da Silva de Abreu, and et al. 2024. "Impact of Photosynthetic Efficiency on Watermelon Cultivation in the Face of Drought" Agronomy 14, no. 5: 950. https://doi.org/10.3390/agronomy14050950
APA StyleSilva, D. M. R., Barros, A. C., Silva, R. B., Galdino, W. d. O., Souza, J. W. G. d., Marques, I. C. d. S., Sousa, J. I. d., Lira, V. d. S., Melo, A. F., Abreu, L. d. S. d., Albuquerque Júnior, E. d. O., Barbosa, L. d. N. S., Santos Neto, A. L. d., Santos, V. R. d., Freitas Júnior, F. G. B. F., Vargens, F. N., Luz, J. H. S. d., Ono, E. O., & Rodrigues, J. D. (2024). Impact of Photosynthetic Efficiency on Watermelon Cultivation in the Face of Drought. Agronomy, 14(5), 950. https://doi.org/10.3390/agronomy14050950

