Abstract
Quinoa (Chenopodium quinoa Willd.) is gaining recognition as a pseudocereal due to its nutritional attributes and adaptability to challenging conditions and marginal soils. However, understanding the optimal fertilization for quinoa growth remains a challenge. This study investigates the effects of nitrogen fertilization (0, 90, 120, and 150 kg using urea) on quinoa phenology, growth, and photosynthesis in the Loess Plateau region of China, a critical area facing soil erosion and ecological degradation. The results showed that nitrogen fertilization significantly influenced quinoa phenology, prompting early flowering and shorter growth at an optimum rate of 120 kg ha−1. Nitrogen application enhanced growth traits such as plant height, stem diameter, and chlorophyll content, particularly at the heading and flowering stages. Photosynthesis-related parameters, including net photosynthesis rate, transpiration rate, stomatal conductance, and intercellular CO2 concentration, were affected by nitrogen application, with higher values observed at 120 kg ha−1. Non-photochemical quenching was significantly increased by nitrogen application, indicating the efficient dissipation of excess energy. The study demonstrated a positive correlation between grain yield and growth traits, photosynthesis-related traits, and chlorophyll content. In conclusion, quinoa yield could be significantly improved at the Loess Plateau region under rainfed conditions by an optimal nitrogen fertilizer rate of 120 kg ha−1, which reduces the growth duration while increasing photosynthesis traits.
1. Introduction
Quinoa (Chenopodium quinoa Willd.) has gained recognition as a pseudocereal, owing to its exceptional nutritional profile, high protein content, and well-balanced amino acid composition [1,2]. Quinoa was initially cultivated around 5000 years ago by indigenous peoples in the Andean region of South America, particularly in present-day Peru, Bolivia, Ecuador, and Colombia. The designation of 2013 as the International Year of Quinoa by the United Nations brought global attention to this crop, emphasizing its nutritional value, diversity, and resilience to adverse environmental conditions [3]. Today, quinoa cultivation extends to China, Europe, and North America [4].
Quinoa’s potential as an alternative to conventional crops under climate change is evident, attributed to its ability to flourish in adverse conditions [5]. The plant has shown a remarkable ability to thrive in marginal soils and shown resistance to various stresses such as salt, droughts, and frost resistance [6,7,8]. In Andean regions, quinoa cope with harsh environmental factors like salinity, drought, frost, wind, flooding, and heat stress. Nevertheless, quinoa has shown the ability to tolerate salt levels up to 40 dS m−1 and can thrive in regions with as little as 200 mm of annual rainfall [6]. Given its adaptability, quinoa is increasingly recognized as a potential crop for enhancing global food security, particularly in regions facing protein scarcity or environmental constraints. Consequently, ongoing research endeavours focus on improving quinoa varieties and cultivation techniques to facilitate its expansion to new regions.
The expansive Loess Plateau region in China, extending from central areas to the north, grapples with severe soil erosion, promoting a shift towards resilient crop cultivation to bolster both food production and soil conservation efforts [9,10]. Nearly 17% of the Loess Plateau’s land remains uncultivated, offering opportunities for ecological restoration through crop plantation, particularly for resilient species like quinoa [9,11]. Despite being low-maintenance and drought-tolerant [12], quinoa faces challenges in the plateau’s soil which is characterized by low organic matter and nitrogen content, hindering optimal plant growth [11,13]. Consequently, the average yield of quinoa on the Loess Plateau (3000 kg ha−1) falls below China’s overall average (3000–7000 kg ha−1) [12,14,15]. To address this, the addition of nitrogen fertilizer has been explored to improve quinoa yields, particularly in areas with rainfed conditions [16].
A systematic review by Cárdenas-Castillo et al. [16] supported the hypothesis that quinoa can thrive and produce grains, even in soils with lower nitrogen content in the Bolivian Altiplano. The study observed a positive response to fertilization, with higher yields achieved under irrigated conditions, and a grain yield of 3600 kg ha−1 was obtained with 240 kg ha−1 of nitrogen. Bahrami et al. [17] observed variable optimal nitrogen levels depending on irrigation conditions in the Mediterranean region. While full irrigation allowed for increased yields with nitrogen levels up to 375 kg ha−1, water deficit conditions showed no significant yield increase beyond 250 kg ha−1 of nitrogen.
Quinoa possesses a moderate protein content, higher than that of cereals but lower than that of legumes. The protein content in quinoa grains varies depending on varietal distinctions and soil compositions, reaching up to 23%. This substantial protein concentration underscores the importance of adequate nitrogen supply, essential not only for optimal grain development but also for overall plant growth [16].
Among fertilizers, nitrogen is the most extensively used due to its ample requirement. In agricultural ecosystems, accessible nitrogen reservoirs become gradually depleted as crops and soil microbes absorb ammonium and nitrate ions, necessitating fertilizer applications [11]. Insufficient nitrogen leads to reduced chlorophyll levels, resulting in pale leaves and slow, stunted growth [12,18]. However, their excessive or inefficient use can decrease nitrogen utilization efficiency [19], induce lodging [15,20], and contribute to environmental issues like nutrient runoff, groundwater contamination, and greenhouse gas emissions [21,22]. Wang et al. [23] reported that applying 80–160 kg ha−1 of nitrogen fertilizer reduced the risk of lodging in quinoa without compromising yield. Thus, judicious nitrogen fertilizer application becomes imperative, considering crop demands, soil conditions, and sustainable farming practices.
Phenology encompasses the periodic events in plant lifecycles, such as the onset and duration of growth stages [24]. Influenced by environmental factors, particularly nutrient availability and temperature, phenology serves as an indicator of ecological changes [25,26]. Nitrogen fertilizers exert diverse effects on crop phenology, stimulating the development of leaves, stems, and roots, thereby promoting vegetative growth. Consequently, crops may undergo accelerated phenological stages like early emergence, expanded leaf area, and rapid canopy closure [27]. However, excessive nitrogen levels can delay flowering in certain crops and disrupt hormonal balance, favouring vegetative growth over reproductive development. This delay in flowering reverberates across the phenological cycle, elongating both vegetative and growth periods, including the interval from planting to maturity [28]. An adequate nitrogen supply extends photosynthesis and biomass accumulation periods, delaying senescence and maturation, thereby extending the phenological cycle. The timing of sowing can further modulate quinoa’s phenological development [29]. Notably, the influence of nitrogen variations on quinoa’s phenological stages remains inadequately studied. Despite its appealing nutritional and agronomic traits, quinoa’s study remains fragmented, with isolated efforts to determine optimal conditions and fertilization strategies across diverse environments, lacking global consensus [30].
Differences in nitrogen requirements may arise due to variations in irrigation, soil types, and climate conditions [17,31]. Excessive fertilization represents a significant cause of low fertilizer use efficiency and associated problems in the Loess Plateau and other regions of China [32]. The soils of the Loess Plateau exhibit a low nutrient retention capacity, rendering them more susceptible to nutrient leaching, including nitrogen [33,34,35]. However, studies indicate that reducing fertilization rates by 30–60% can enhance nitrogen use efficiency without compromising yields [36,37]. Furthermore, quinoa’s resilience enables it to thrive under varying nutrient conditions, soil types, and environmental circumstances, including low-nitrogen soils [11]. Applying less nitrogen fertilizer due to the sandy-type loess soil and quinoa’s resilience represents a prudent strategy for mitigating nitrogen leaching and ensuring sustainable crop production. This approach could lead to reduced nutrient loss through leaching while promoting more efficient nutrient utilization by the quinoa crop. By optimizing nitrogen fertilizer application to meet the crop’s specific needs without overapplication, resources are conserved, and nutrient uptake efficiency by quinoa plants is maximized.
Based on these studies, we postulated that nitrogen management could enhance quinoa yield on the Loess Plateau, exerting influence over different phenological stages (emergence, branching stage, heading, flowering, and maturity stage) of quinoa and photosynthesis traits during these stages. Furthermore, we aimed to screen and select low nitrogen doses that could enhance yield without yield reduction. Consequently, a two-year field experiment was conducted in the Loess Plateau region, employing various fertilizer rates to assess phenology, growth, physiology, and yield dynamics.
2. Materials and Methods
2.1. Experimental Area and Soil Condition
The experiment was conducted in a field at the experimental site in Jingle County, Xinzhou City, Shanxi Province, China. The area is a basically Loess Plateau region located at an altitude of over 2000 m and has a temperate monsoon climate with little rainfall in spring, warm and hot summers with large daily temperature differences, and cold winters, with an average annual rainfall of 415.8 mm, an average annual temperature of 7.2 °C, an annual sunshine duration of more than 2500 h, and an average frost-free season of 120–135 days. Figure 1 shows the minimum and maximum temperature at the site during the quinoa growth period in 2020 and 2021.
Figure 1.
Maximum and minimum temperature data at the experimental site during quinoa growth period in (a) 2020 and (b) 2021.
The soil in the test site is yellow clay. On 28 May 2020, the 0–20 cm soil was taken to measure the basic nutrients. The soil organic matter content was 7.5 g kg−1, the total nitrogen content was 89 mg kg−1, the available phosphorus content was 20.1 mg kg−1, the available potassium content was 132.0 mg kg−1, and the pH value was 8.18.
2.2. Application of Fertilizers and Seed Sowing
Urea containing 46% nitrogen content was used as a fertilizer. The four N fertilizer levels, N0 (0 kg ha−1), N1 (90 kg ha−1), N2 (120 kg ha−1), and N3 (150 kg ha−1) were applied in a randomized complete block design, and each N level was replicated thrice. The above fertilizer rates were selected based on previous studies [17,23]. Nitrogen fertilizers were applied as base fertilizers before seed sowing. The seeds of the Huaqing No. 1 variety of quinoa (Chenopodium quinoa Willd.) were sown on 3 June 2020, and 3 June 2021, with 3–5 seeds per hole. The row spacings were 50 cm, and plant-to-plant spacings were 29.6 cm, with a plating density of 67,500 plants ha−1. At the 4–6 leaf stage of seedlings, one seedling per hole was left. Other field management was carried out according to the local high-yielding fields, including timely weeding, pest control, etc. There were twelve plots, and the area of each plot was 60 m2.
2.3. Measurements
2.3.1. Observation of Growth Period
The specific dates of quinoa’s growth, i.e., emergence stage (BBCH 0), branching stage (BBCH 2), heading stage (inflorescence emergence, BBCH 5), flowering stage (50% flowering, BBCH 6), and harvest maturity stage (ripened grains, when it becomes difficult to put a dent in by a fingernail, BBCH 8), were recorded according to the BBCH scale [30]. Twenty plants were used for each replicate, and a specific growth stage was considered when 50% of the plants (at least 10 plants) reached the growth process of that specific period.
2.3.2. Plant Height and Stem Thickness
To record plant height and stem diameters, three plants were randomly selected from each plot (each replicate) at the branching, heading, flowering, and harvest maturity stages. Plant height was measured from the ground to the top growth point with a tape measure. The diameter of the second internode aboveground was measured with vernier callipers.
2.3.3. Photosynthesis
The net photosynthetic rate (A), transpiration rate (E), stomatal conductance (Gs), and intercellular CO2 concentration (Ci) of leaves were measured with a CIRAS-3 photosynthesis system (PP-Systems, Amesbury, MA, USA) between 8:00 am and 12:00 pm on a clear day at the branching, heading, flowering, and maturity stages.
2.3.4. SPAD Measurements (Chlorophyll Content)
The same selected plants were used to measure the SPAD at the branching, heading, flowering, and maturity stages. The SPAD value of the fourth fully expanded leaf from the top [38] was determined using a Japanese-made SPAD-502 chlorophyll meter (Konica Minolta, Tokyo, Japan).
2.3.5. Chlorophyll Fluorescence Parameters
At the flowering stage of quinoa, chlorophyll fluorescence parameters were determined by a chlorophyll fluorometer (Handy PEA chlorophyll fluorometer, Hansatech Instruments Ltd., Norfolk, UK). The initial fluorescence (F0) was taken after the dark adaptation of leaves for 20 min. Maximum fluorescence (Fm) value was taken after 3 s of light pulse saturation, and the maximum and photochemical efficiency of PSII (Fv/Fm) and the potential activity of PSII (Fv/F0) were measured.
Fv/Fm = (Fm − F0)/Fm
The variable fluorescence (Fv) and non-photochemical quenching (NPQ) of the saturated light-adapted leaf were measured as follows:
where Fm′ is the maximum fluorescence of the saturated light-adapted leaf.
Fv = Fm − F0
NPQ = Fm − Fm′/Fm′
2.3.6. Yield Traits
The yield was measured at maturity when 80% of the quinoa leaves were yellowed. Five plants were taken from each plot to determine the number of branches. The panicles were threshed, and the weight of a thousand grains was taken from each plot. The remaining plants were harvested and threshed, and grain yield was taken and converted to yield per hectare.
2.3.7. Economic Gain
The economic gain was calculated by the formula suggested by He et al. [39].
Gross gain was calculated by multiplying grain yield with the commercial price of yield. The total cost was calculated by summing up the fertilizer cost and other management costs including seeds, labor, fuel, etc.
2.4. Statistical Analysis
Analysis of variance was applied to the collected data using Statistix 8. The difference among the N rates was determined by Tukey’s HSD test. A correlation was graphed using the PerformanceAnalytics package of RStudio (Version: 2023.03.1+446).
3. Results
3.1. Phenology and Growth Rate of Quinoa
The effect of different nitrogen fertilizer rates was observed on the number of days taken to reach a specific stage (emergence, branching, heading, flowering, and maturity) and the duration of that stage in 2021 and 2022. Nitrogen fertilizer rates affected the onset of different phenological stages of quinoa by 1–3 d (Table 1). The seedling, branching, flowering, and maturity stages of plants fertilized with nitrogen were shortened by 1–3 days compared to unfertilized plants, reducing the total duration of quinoa growth time by 5 d. The minimum crop growth duration of 112 d was recorded for plants treated with 120 kg N ha−1 in both years, which was significantly less than under the control and 90 kg N ha−1, while the maximum duration (117 and 118 d) was recorded for unfertilized plants. Increasing the N fertilizer rate from 120 to 150 kg ha−1 increased the total crop duration by 2 days. These results showed that the application of N fertilizer shortened the crop growth time by 5–6 days, and the effect on different phenological stages was not very prominent and similar in both years.
Table 1.
Phenological stages of quinoa under different N levels.
3.2. Plant Height and Diameter at Branching, Heading, Flowering, and Maturity Stages
Plant height and stem diameter were measured at various growth stages of quinoa throughout 2021 and 2022. It was observed that plant height exhibited significant variations across different growth stages and N levels, while their interaction did not show significant effects in either year (Table S1). During the first year (2020), plant height at the branching stage remained unaffected by N levels. However, in the subsequent year (2021), there was a notable increase of 21% in plant height at N3 compared to N0 (Figure 2). At the heading stage, plant height showed a 5.2 and 9.3% increase at N3 in 2020 and 2021, respectively, compared to N0. Plant height at the flowering stage did not exhibit any significant variations across the nitrogen levels. At maturity, plant height was not affected by nitrogen in 2020, while in 2021, there was a 4% increase observed at N3 compared to N0.
Figure 2.
Plant height in 2021 (a) and 2022 (b) and stem diameter in 2021 (c) and 2022 (d) of quinoa under different N fertilizer levels. N0: 0 kg ha−1; N1: 90 kg ha−1; N2: 120 kg ha−1; and N3: 150 kg ha−1. The branching, heading, flowering, and maturity stages were BBCH 2, BBCH 5, BBCH6, and BBCH 8, respectively, according to the BBCH scale of quinoa [30]. Error bars indicate standard deviations (n = 3). Different letters indicate significant differences among N levels within a growth stage calculated using Tukey’s HSD test (p ≤ 0.05).
Stem diameter exhibited variations solely in response to the progression of the growth stage, with no significant impact from nitrogen levels or their interactions across the stages and nitrogen observed. However, a noteworthy effect of nitrogen was identified at the heading stage in 2020, as well as at the branching and heading stages in 2021 at N3. The stem diameter was increased by 13% at the branching stage in 2020 and by 18 and 9% at the branching and heading stages, respectively, in 2021 at N3 compared to N0.
3.3. SPAD Value at Branching, Heading, Flowering, and Maturity Stages
The chlorophyll content was estimated using a SPAD meter at the branching, heading, flowering, and maturity stages of quinoa in both 2021 and 2022. The SPAD value was found to be significantly influenced by both the growth stages and nitrogen levels (Table S1). In 2021, the application of N3 had a discernible impact only at the heading stage, resulting in a noteworthy 22.6% increase in SPAD value compared to N0 (Figure 3). Additionally, in the same year, the application of N2 and N3 led to increases of 19 and 27.5% at the heading stage and 13 and 12% at the flowering stage, respectively, in comparison to N0.
Figure 3.
SPAD values of quinoa in 2021 (a) and 2022 (b) under different N fertilizer levels. N0: 0 kg ha−1; N1: 90 kg ha−1; N2: 120 kg ha−1; and N3: 150 kg ha−1. The branching, heading, flowering, and maturity stages were BBCH 2, BBCH 5, BBCH6, and BBCH 8, respectively, according to the BBCH scale of quinoa [30]. Error bars indicate standard deviations (n = 3). Different letters indicate significant differences among N levels within a growth stage calculated using Tukey’s HSD test (p ≤ 0.05).
3.4. Photosynthesis and Related Traits at Branching, Heading, Flowering, and Maturity Stages
The impact of different nitrogen fertilizer rates on net photosynthesis (Pn), transpiration (Tr) rate, and intercellular CO2 concentration (Ci) were assessed at the branching, heading, flowering, and maturity stages during the years 2021 and 2022. It was observed that all these traits were significantly influenced by both the growth stages and nitrogen rates, while their interactions did not show significant effects (Table S1). Across the stages, the highest Pn was recorded at the flowering stage in both years, whereas the lowest was observed at maturity (Figure 4a,b). Pn at the heading and maturity stages remained unaffected by nitrogen rates. However, Pn at the heading stage showed a significant enhancement of 16% at N2 in 2020 and 13% at N3 in 2021, compared to N0. At the flowering stage, there was a notable increase of 24% at N2 and 19.2% at N3 in 2020 and an 18% increase at N2 in 2021 compared to N0.

Figure 4.
Photosynthesis rate (a,b), transpiration rate (c,d), stomatal conductance (e,f), and intercellular CO2 concentration (g,h) of quinoa genotypes in 2021 (a,c,e,g) and 2022 (b,d,f,h) under different N fertilizer levels. N0: 0 kg ha−1; N1: 90 kg ha−1; N2: 120 kg ha−1; and N3: 150 kg ha−1. The branching, heading, flowering, and maturity stages were BBCH 2, BBCH 5, BBCH 6, and BBCH 8, respectively, according to the BBCH scale of quinoa [30]. Error bars indicate standard deviations (n = 3). Different letters indicate significant differences among N levels within a growth stage calculated using Tukey’s HSD test (p ≤ 0.05).
The E was significantly influenced by both the growth stages and nitrogen rates (Figure 4c,d). The highest E was consistently observed at the flowering stage, while the lowest was recorded at maturity. At the branching stage, there were no significant differences in E among the nitrogen rates. However, at both the heading and maturity stages, E was significantly higher at N2 compared to N0 in both years. At the flowering stage, E at N2 was 15% higher in 2020, and N1, N2, and N3 exhibited 9.4, 16.5, and 9.5% higher E, respectively, compared to N0 in 2021.
The gs was significantly affected by nitrogen levels in 2021 but not in 2020 (Figure 4e,f). At the branching stage in 2020, the gs remained unaffected by nitrogen rates, whereas it increased by 6.1% in 2021. At the heading stage, the N2 application resulted in a 5.8% and 3.5% increase in 2020 and 2021, respectively. At the flowering stage, both N2 and N3 significantly increased gs in both years, with a greater increase observed at N2.
The Ci exhibited a decrease with the application of nitrogen fertilizer (Figure 4g,h). In 2020, Ci decreased by 9.4%, 8.7%, and 9.7% at the branching, heading, and flowering stages, respectively, compared to N0. Similarly, in 2021, Ci decreased by 8.7%, 7.6%, and 11.1% at the same stages compared to N0. Notably, N3 application significantly decreased Ci at the flowering stage by 6.1% in 2020 and at the branching and flowering stage by 7.5% and 5.9% in 2021, respectively, compared to N0.
3.5. Chlorophyll Fluorescence at the Flowering Stage
The effect of different nitrogen fertilizer rates on chlorophyll fluorescence parameters at the flowering stage of quinoa was assessed. Minimum ground fluorescence (F0), maximum fluorescence (Fm), the Fv/Fm ratio, and the non-photochemical quenching (NPQ) values of quinoa leaves exhibited an increase with the nitrogen fertilizer rate, with maximum values recorded at N2, followed by a decrease at N3 (Table 2). Conversely, the minimum values of these traits were observed at N0.
Table 2.
Chlorophyll fluorescence traits at the flowering stage of quinoa plants grown under different N fertilizer rates.
The maximum photosynthetic efficiency (Fv/Fm) showed a linear increase with the nitrogen fertilizer rate. However, differences among the treatments in all traits except NPQ were found to be non-significant. Notably, at N2 and N3, there were a 2.6-fold and 2.3-fold increase in NPQ, respectively, compared to N0.
3.6. Number of Branches and Yield Traits at Maturity
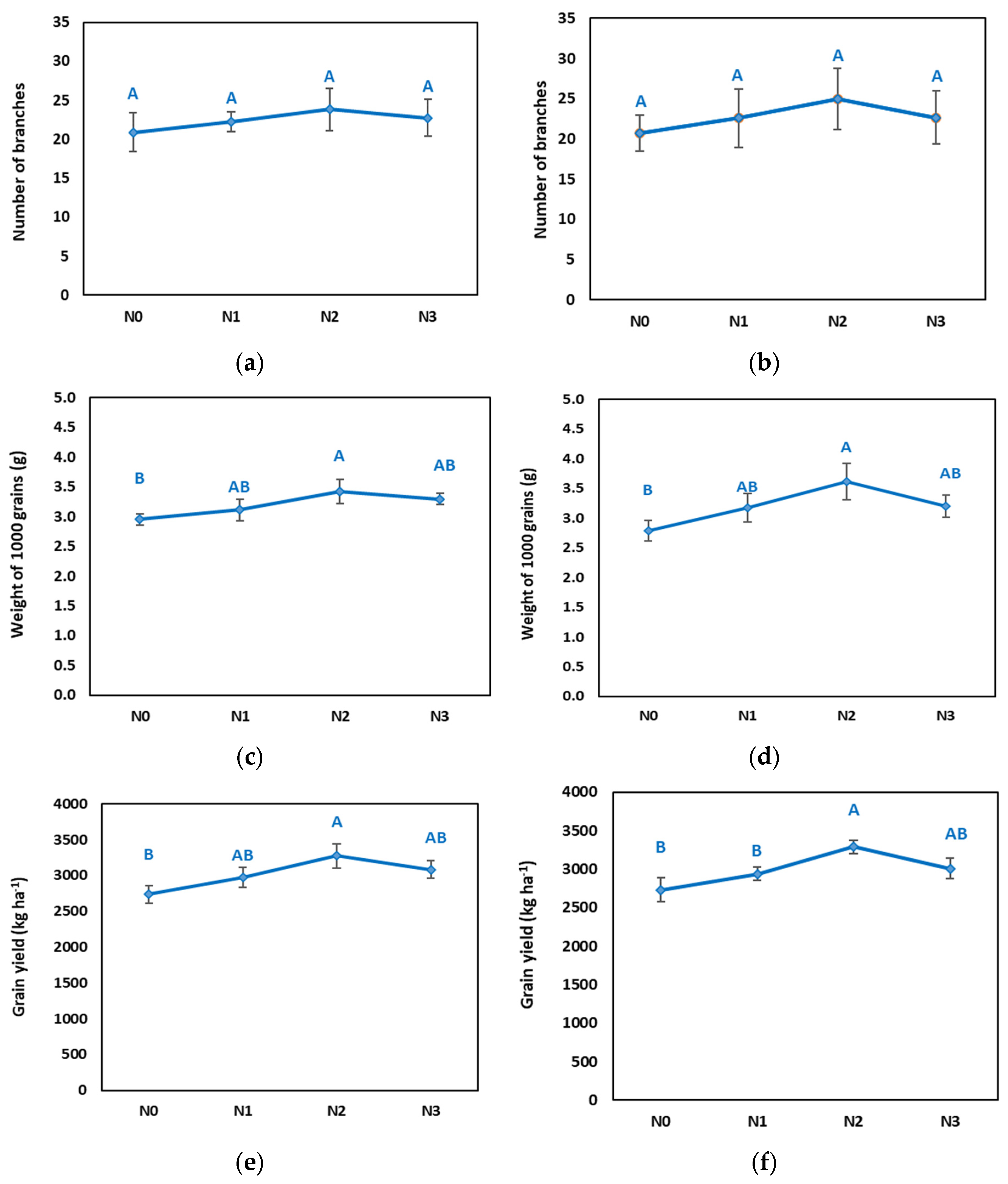
At maturity, the data on the number of branches, weight of 1000 grains, and grain yield were recorded for the years 2021 and 2022. The average number of branches increased from 21 at N0 to 23 at N2 and further to 24 at N3 (Figure 5a,b). However, the impact of nitrogen fertilizer was found to be statistically non-significant. The 1000-grain weight (Figure 5c,d) and grain yield (Figure 5e,f) were significantly influenced by nitrogen fertilizer rates. At N1, the 1000-grain weight and grain yield showed a slight increase compared to N0, although this difference was not statistically significant. At N2, there was a significant increase of 16 and 30% in the 1000-grain weight and a 19.7 and 20.5% increase in grain yield in 2020 and 2021, respectively, compared to N0. At N3, the 1000-grain weight and grain yield were found to be statistically similar to those at N1.
Figure 5.
Number of branches (a,b), the weight of 1000 grains (c,d), and grain weight (e,f) of quinoa genotypes in 2021 (a,c,e) and 2022 (b,d,f), under different N fertilizer levels. N0: 0 kg ha−1; N1: 90 kg ha−1; N2: 120 kg ha−1; and N3: 150 kg ha−1. Different letters indicate significant differences among N levels calculated using Tukey’s HSD test (p ≤ 0.05).
3.7. Economic Benefit of Quinoa Yield
The impact of different nitrogen fertilizer rates was assessed on the economic benefit of quinoa production (Table 3). When no nitrogen fertilizer was applied, the total cost was 3500 CNY per hectare after considering other costs such as pesticide, machinery, and seeds, with an economic benefit of 50,088.4 CNY per hectare. The application of nitrogen fertilizers has increased the economic benefit compared to no fertilizer. After deducting the fertilizer cost and other costs, the economic benefit was 3810.8, 10,062.7, and 5264.1 CNY higher than using no fertilizer and was 7.6, 20.1, and 10.5% increased at N1, N2, and N3. Overall, the highest economic benefits were attained at N2.
Table 3.
Economic benefit of quinoa production per hectare under different N fertilizer rates.
3.8. Correlation of Biomass, Photosynthesis-Related, Chlorophyll Fluorescence, and Yield Traits of Quinoa
The correlation matrix indicates that the grain yield of quinoa was significantly positively related to stem diameter, SPAD value, Pn, E, gs, Ci, Fv/Fm, Fv/F0, and 1000-grain weight, while negatively related to Ci (Figure 6). The plant height was the only trait with most of non-significant relations with yield, grain weight, E, and Ci, while Ci was significant negatively related with all traits (except plant height).
Figure 6.
Correlation of biomass, photosynthesis-related, chlorophyll fluorescence, and yield traits of quinoa. PH: plant height; SD: stem diameter; Pn: photosynthesis rate; E: transpiration rate; gs: stomatal conductance; Ci: intercellular CO2 concentration; F0: initial fluorescence; Fm: maximum fluorescence; Fv/Fm: maximum photosynthetic efficiency; GW: weight of 1000 grains; GY: grain yield. *, **, and *** indicate significance at 0.05, 0.01, and 0.001 probability levels using Pearson correlation.
4. Discussion
Nitrogen, an indispensable nutrient for plant growth, can be supplied through fertilizers to enhance crop development. It stimulates the growth of leaves, stems, and roots, fostering increased vegetative growth [19]. Consequently, crops can experience accelerated phenological stages, manifesting in earlier emergence, expanded leaf area, and quicker canopy closure [26,27,28,40]. In our study, nitrogen fertilization induced changes in quinoa’s growth duration, notably shortening it. Specifically, at a rate of 120 kg ha−1, nitrogen fertilizers shortened the overall growth duration by 6–7 days compared to unfertilized plants. This reduction primarily stemmed from earlier branching, flowering, and maturity stages in nitrogen-fertilized quinoa, advancing by 1–3 days. Despite a 2–4 day elongation in maturity duration due to fertilizer application, the earlier onset of vegetative stages had a more pronounced impact. This consistent effect of nitrogen fertilizer was observed in both experimental years.
Examining quinoa’s phenology elucidates the influence of nitrogen fertilization on specific growth and developmental stages across the annual cycle, yielding insights crucial for optimizing fertilizer rates. The existing literature indicates that nitrogen fertilizers can impact the overall duration of the crop cycle [26,28]. The period from sowing or planting to harvest can either shrink or extend, contingent on factors like crop species, timing, nitrogen form, and amount [40]. This underscores the necessity of fine-tuning nitrogen application to attain the desired crop duration and maximize yields. In the Loess Plateau context, the quinoa growth duration was optimally reduced at a nitrogen fertilizer rate of 120 kg ha−1. This finding signifies that this dose fosters optimal growth, whereas the extended growth period at the higher dose (150 kg ha−1) is attributed to substantial vegetative growth support.
In contrast to some studies on crops indicating delayed flowering, our study’s optimal nitrogen dose triggered early flowering. This may be attributed to quinoa’s short-day nature [41], aiding in light competition avoidance during peak growing periods [40]. Lin and Tsay [42] reported a U-shaped curve response of flowering by increasing nitrogen (nitrate) availability, suggesting that both limited and excessive nitrogen supply can delay flowering. Similarly, other studies using ammonium nitrogen showed that while high ammonium inhibited flowering, low ammonium caused earlier flowering in Arabidopsis [43], and ammonium was more effective in promoting flowering than ammonium. This concept implies that an optimal range of nitrogen concentration promotes flowering, while both nitrogen deficiency and excess can disrupt the flowering process. This finding underscores the importance of a balanced nitrogen supply in plant nutrition management to ensure optimal flowering performance.
This early flowering response could be a beneficial mechanism for quinoa, offering mitigation against intensified light competition and affording an extended grain-filling period before maturity. As quinoa seed growth commences with flowering [24], earlier flowering and a prolonged flowering-to-maturity duration could enhance yields [44]. Ebrahimika et al. [27] also observed an extended grain-filling period with a 150 kg ha−1 nitrogen application. Additionally, the longer growth duration of unfertilized quinoa might be attributed to a slower growth rate due to deficient nitrogen, causing pale leaves and slow, stunted growth [12,13,18].
Nitrogen stands as a pivotal nutrient for attaining high crop yields, and its application through fertilizers can significantly amplify crop productivity. Previous studies have used a higher concentration of nitrogen fertilizers (≥200 kg ha−1). The excessive use of nitrogen fertilizer, especially in soluble nitrate form, can lead to environmental issues such as groundwater pollution and greenhouse gas emissions [21,22]. It is critical to consider these potential environmental impacts when determining the optimal nitrogen dose. Keeping this in view, we aimed to improve quinoa yield within a nitrogen-deficient soil of the Loess Plateau, utilizing the minimum optimized low concentration of nitrogen fertilizer. Therefore, we used a narrow range (90–150 kg ha−1) of fertilizer. The maximum grain yield was observed at 120 kg ha−1, signifying the optimal rate for rainfed Loess Plateau conditions, offering a feasible window for optimal production. Cárdenas-Castillo et al. [16] also reported a similar nitrogen concentration as optimum for quinoa yield in the Andean Plateau of South America. Likewise, Geren [13] and Ebrahimikia et al. [27] identified 150 mg kg−1 of nitrogen as optimal for quinoa yield in Mediterranean climates, while Ullah et al. [28] proposed 120-150 kg ha−1 as the optimum nitrogen dose for semi-arid East Asian climates. Similarly, Erley et al. [45], Wang et al. [46], Kakabouki et al. [47], Wali et al. [48] and others reported an increase in quinoa yield at a range of 120–200 kg ha−1.
Nitrogen fertilizers bolster yields by fostering robust growth and optimizing photosynthesis [11]. The growth-promoting impact of nitrogen fertilizer was particularly pronounced during the heading stage, evident in significantly greater plant height, stem diameter, and SPAD values at 120 and 150 kg ha−1 compared to no fertilizer. Improved growth is linked to enhanced photosynthesis, especially during heading and flowering stages, where nitrogen at 120 and 150 kg ha−1 amplified net photosynthesis. While the transpiration rate showed minor variation, it peaked at 120 kg ha−1 during flowering. Moreover, elevated stomatal conductance and lowered CO2 concentration indicated active CO2 fixation during flowering, supporting grain-filling. With a recorded total nitrogen content of less than 0.01%, the nitrogen-poor Loess Plateau soil benefitted from medium to high nitrogen fertilizer levels.
Notably, higher SPAD values during heading were attributed to nitrogen fertilizer, underscoring its chlorophyll content assessment utility and an indirect indication of plant nitrogen status [38]. Nitrogen fertilizer not only serves as a nitrogen source but also fosters resilience under stressful conditions by increasing growth-promoting endophytic fungi in roots [49]. Furthermore, microorganisms convert organic nitrogen into inorganic forms accessible to roots.
Chlorophyll fluorescence parameters unveil changes in photosynthetic apparatus efficiency [50]. Non-significant impact on ground fluorescence (F0), maximum fluorescence (Fm), photosystem II efficiency (Fv/Fm), and Fv/F0 suggests that nitrogen levels used in our experiment did not disrupt photosynthetic processes and light-dependent reactions [51]. Fv/Fm, a widely employed fluorescence ratio, typically ranges between 0.74 and 0.85. In our study, it increased from 0.69 without fertilizer to 0.85 at 150 kg ha−1, indicating an enhanced quantum yield of PSII photochemistry. While a decline in Fv/Fm reflects a reduction in PSII photochemistry quantum yield and photosynthetic apparatus damage [52], Deng et al. [11] similarly reported higher Fv/Fm under sufficient nitrogen, and Fv/F0 values remained within the normal range, signifying unchanged chlorophyll fluorescence and PSII water-splitting efficiency [53].
Non-photochemical quenching reflects the conversion of excess energy into harmless heat energy, linearly associated with dissipated heat. It typically ranges from 0.5 to 3.5 under saturating light intensities [54]. Among fluorescence factors, this was the only one significantly affected by nitrogen fertilizer. Elevated non-photochemical quenching at 120 and 150 kg ha−1 indicated efficient heat energy dissipation [54], preventing photodamage by effective heat energy dissipation [50].
In conclusion, varying nitrogen fertilizer levels exerted influence over quinoa’s phenological, physiological, growth, and yield parameters. The most prominent impact was observed during the heading stage. Although chlorophyll fluorescence was unaffected, significantly increased non-photochemical quenching denoted efficient energy dissipation. The maximum grain yield and economic benefit were achieved with 120 kg ha−1 fertilizer, while further increases failed to enhance yield, and the economic benefit was decreased. Future large-scale experiments could further confirm the yield and economic gains from nitrogen fertilizer use.
5. Conclusions
In conclusion, the application of nitrogen fertilizer significantly influenced various aspects of quinoa’s phenology, physiology, growth, and yield parameters. Specifically, nitrogen fertilization at 120 kg ha−1 induced earlier branching and flowering while increasing the seed filling duration. The overall growth duration was shortened by 6–7 days. Additionally, it led to increased plant height, stem diameter, and SPAD values during the heading stage, indicative of enhanced growth and photosynthetic activity. Chlorophyll fluorescence parameters remained largely unaffected, while significantly increased non-photochemical quenching denoted efficient energy dissipation. The optimal grain yield was achieved with 120 kg ha−1 fertilizer, highlighting the importance of fine-tuning nitrogen application rates for maximizing quinoa productivity. These findings underscore the potential for achieving sustainable quinoa cultivation practices through judicious nitrogen management.
Supplementary Materials
The following supporting information can be downloaded at: https://www.mdpi.com/article/10.3390/agronomy14050914/s1, Table S1: Analysis of variance (F-values) from growth and photosynthetic traits of quinoa at different stages and N levels and yield traits at different N levels.
Author Contributions
Conceptualization, Y.D. and C.W.; Methodology, J.L.; Software, X.S.; Formal analysis, L.Z. (Liguang Zhang); Investigation, H.G.; Data curation, Y.Z. and Z.G.; Writing—original draft, Y.D.; Writing—review & editing, L.Z. (Li Zhao); Visualization, C.W.; Supervision, C.W. All authors have read and agreed to the published version of the manuscript.
Funding
This study was supported by the Key Projects of the Key R&D Plan in Shanxi Province (202102140601007); a research program sponsored by the Ministerial and Provincial Co-Innovation Centre for Endemic Crops Production with High-Quality and Efficiency in Loess Plateau (SBGJXTZX-23); a research program sponsored by the State Key Laboratory of Sustainable Dryland Agriculture (in preparation), Shanxi Agricultural University (202105D121008-3-5); the 2023 Graduate Education Innovation Plan (Graduate Practice Innovation) Project (2023SJ105); the Science and Technology Innovation Program of Shanxi Universities (2021L174); the Central Government Guides Local Science and Technology Development Fund Project (YDZJSX2022A045); the National Major Talent Engineering Expert Workstation Project; and the Academician workstation project.
Informed Consent Statement
All the authors agree to provide formal consent to publish this work in Environmental Research.
Data Availability Statement
The data presented in this study are available on request from the corresponding author.
Conflicts of Interest
The authors declare no conflict of interest.
References
- Galwey, N.W.; Leakey, C.L.A.; Price, K.R.; Fenwick, G.R. Chemical composition and nutritional characteristics of quinoa (Chenopodium quinoa Willd). Food Sci. Nutr. 1990, 42, 245261. [Google Scholar] [CrossRef]
- Taylor, R.N.; Paker, M.L. Quinoa. In Psuedocereals and Less Common Cereals; Springer: Berlin/Heidelberg, Germany, 2022; pp. 93–122. [Google Scholar] [CrossRef]
- FAO; CIRAD. State of the Art Report of Quinoa in the World in 2013; Bazile, D., Bertero, D., Nieto, C., Eds.; FAO: Rome, Italy, 2015.
- Stanschewski, C.S.; Rey, E.; Fiene, G.; Craine, E.B.; Wellman, G.; Melino, V.J.; S. R. Patiranage, D.; Johansen, K.; Schmöckel, S.M.; Bertero, D.; et al. Quinoa phenotyping methodologies: An international consensus. Plants 2021, 10, 1759. [Google Scholar] [CrossRef]
- Ruiz, K.B.; Biondi, S.; Oses, R.; Acuña-Rodríguez, I.S.; Antognoni, F.; Martinez-Mosqueira, E.A.; Coulibaly, A.; Canahua-Murillo, A.; Pinto, M.; Zurita-Silva, A.; et al. Quinoa biodiversity and sustainability for food security under climate change. A review. Agron. Sustain. Develop. 2014, 34, 349–359. [Google Scholar] [CrossRef]
- Jacobsen, S.E.; Mujica, A.; Jensen, C.R. The resistance of quinoa (Chenopodium quinoa Willd.) to adverse abiotic factors. Food Rev. Int. 2003, 19, 99–109. [Google Scholar] [CrossRef]
- Amiryousefi, M.; Tadayon, M.R.; Ebrahimi, R. The effect of chemical and biological fertilizers on some physiological and yield traits of quinoa (Chenopodium quinoa Willd.) under drought stress in saline soil. J. Agroecol. 2021, 13, 251–270. [Google Scholar]
- Varma, A.; Jain, A. Taxonomy, Morphology, and Life Cycle of Quinoa. In Biology and Biotechnology of Quinoa; Varma, A., Ed.; Springer: Singapore, 2021; pp. 17–33. [Google Scholar] [CrossRef]
- Wang, X.; Jiao, F.; Li, X.; An, S. The Loess Plateau. In Multifunctional Land-Use Systems for Managing the Nexus of Environmental Resources, 1st ed.; Zhang, L., Schwärzel, K., Eds.; Springer: Cham, Switzerland, 2017; pp. 11–27. [Google Scholar] [CrossRef]
- Yu, Y.; Zhao, W.; Martinez-Murillo, J.F.; Pereira, P. Loess Plateau: From degradation to restoration. Sci. Total Environ. 2020, 738, 140206. [Google Scholar] [CrossRef]
- Deng, Y.; Sun, X.; Zhang, Q.; Anwar, S.; Lu, J.; Guo, H.; Qin, L.; Zhang, L.; Wang, C. Comprehensive evaluation and physiological response of quinoa genotypes to low nitrogen. Agronomy 2003, 13, 1597. [Google Scholar] [CrossRef]
- Taaime, N.; Rafik, S.; El Mejahed, K.; Oukarroum, A.; Choukr-Allah, R.; Bouabid, R.; El Gharous, M. Worldwide development of agronomic management practices for quinoa cultivation: A systematic review. Front. Agron. 2023, 5, 1215441. [Google Scholar] [CrossRef]
- Geren, H. Effects of different nitrogen levels on the grain yield and some yield components of quinoa (Chenopodium quinoa Willd.) under Mediterranean climatic conditions. Turk. J. Field Crops 2015, 20, 59–64. [Google Scholar] [CrossRef]
- Shah, S.S.; Shi, L.; Li, Z.; Ren, G.; Zhou, B.; Qin, P. Yield, agronomic and forage quality traits of different quinoa (Chenopodium quinoa Willd.) genotypes in northeast China. Agronomy 2020, 10, 1908. [Google Scholar] [CrossRef]
- Deng, Y.; Zhao, L.; Anwar, S.; Zhang, L.G.; Shafiq, F.; Guo, H.X.; Qin, L.X.; Wang, M.X.; Wang, C.Y. Phosphorus fertigation conferred lodging tolerance and improved grain quality in Chenopodium quinoa via enhanced root proliferation and stalk strength. J. Soil. Sci. Plant Nutr. 2022, 22, 5099–5110. [Google Scholar] [CrossRef]
- Cárdenas-Castillo, J.E.; Delatorre-Herrera, J.; Bascuñán-Godoy, L.; Rodriguez, J.P. Quinoa (Chenopodium quinoa Wild.) seed yield and efficiency in soils deficient of nitrogen in the Bolivian altiplano: An analytical review. Plants 2021, 10, 2479. [Google Scholar] [CrossRef] [PubMed]
- Bahrami, M.; Talebnejad, R.; Sepaskhah, A.R.; Bazile, D. Irrigation regimes and nitrogen rates as the contributing factors in quinoa yield to increase water and nitrogen efficiencies. Plants 2022, 11, 2048. [Google Scholar] [CrossRef] [PubMed]
- Pando, L.G.; Castellanos, E.A. Guía de Cultivo de la Quinua; FAO y Univ.: Lima, Peru; Organización de las Naciones Unidas para la Alimentación y la Agricultura: La Molina, Peru; Universidad Nacional Agraria La Molina: Benha, Egypt, 2016; Volume 2, pp. 17–18. [Google Scholar]
- Shams, A.S. Response of quinoa to nitrogen fertilizer rates under sandy soil conditions. In Proceedings of the 13th International Conference Agronomy Factors of Agriculture, Benha, Egypt, 9–10 September 2012; pp. 9–10. [Google Scholar]
- Khan, S.; Anwar, S.; Kuai, J.; Ullah, S.; Fahad, S.; Zhou, G. Optimization of nitrogen rate and planting density for improving yield, nitrogen use efficiency, and lodging resistance in oilseed rape. Front. Plant Sci. 2017, 8, 532. [Google Scholar] [CrossRef] [PubMed]
- Xu, A.; Li, L.; Xie, J.; Zhang, R.; Luo, Z.; Cai, L.; Liu, C.; Wang, L.; Anwar, S.; Jiang, Y. Bacterial Diversity and Potential Functions in Response to Long-Term Nitrogen Fertilizer on the Semiarid Loess Plateau. Microorganisms 2022, 10, 1579. [Google Scholar] [CrossRef] [PubMed]
- Fudjoe, S.K.; Li, L.; Jiang, Y.; Alhassan, A.R.M.; Xie, J.; Anwar, S.; Wang, L.; Xie, L. Impact of soil amendments on nitrous oxide emissions and the associated denitrifying communities in a semi-arid environment. Front. Microbiol. 2022, 13, 905157. [Google Scholar] [CrossRef] [PubMed]
- Wang, N.; Wang, F.; Shock, C.C.; Gao, L.; Meng, C.; Huang, Z.; Zhao, J. Evaluating quinoa lodging risk and yield under different irrigation thresholds, nitrogen rates and planting densities in north-western China. Front. Agric. Sci. Eng. 2022, 9, 614–626. [Google Scholar] [CrossRef]
- Präger, A.; Boote, K.J.; Munz, S.; Graeff-Hönninger, S. Simulating growth and development processes of Quinoa (Chenopodium quinoa Willd.): Adaptation and evaluation of the CSM-CROPGRO model. Agronomy 2019, 9, 832. [Google Scholar] [CrossRef]
- Menzel, A.; Sparks, T.H.; Estrella, N.; Koch, E.; Aasa, A.; Ahas, R.; Alm-Kübler, K.; Bissolli, P.; Braslavská, O.G.; Briede, A.; et al. European phenological response to climate change matches the warming pattern. Global Chang. Biol. 2006, 12, 1969–1976. [Google Scholar] [CrossRef]
- Wang, C.; Tang, Y. Responses of plant phenology to nitrogen addition: A meta-analysis. Oikos 2019, 128, 1243–1253. [Google Scholar] [CrossRef]
- Ebrahimikia, M.; Jami Moeini, M.; Marvi, H.; Hasheminejhad, Y.; Ghasemzadeh Ganjehie, M. Agro-physiological response of quinoa (Chenopodium quinoa Willd.) to the nitrogen application rate and split application method. J. Soil. Sci. Plant Nutr. 2021, 21, 3437–3450. [Google Scholar] [CrossRef]
- Ullah, G.; Khan, E.A.; Awan, I.U.; Khan, M.A.; Khakwani, A.A.; Baloch, M.S.; Khan, Q.U.; Jilani Wasim, M.S.; Javeria, S.; Jilani, G. Wheat response to application methods and levels of nitrogen fertilizer: I. Phenology, growth indices and protein content. Pak. J. Nutr. 2013, 12, 365. [Google Scholar] [CrossRef]
- Eghbali, S.; Jahan, M.; Nassiri, M.M.; Salehi, M. The response of phenological stages of quinoa promising lines to temperature and photoperiod regimes. Iran. J. Field Crops Res. 2021, 19, 261–274. [Google Scholar] [CrossRef]
- Sosa-Zuniga, V.; Brito, V.; Fuentes, F.; Steinfort, U. Phenological growth stages of quinoa (Chenopodium quinoa) based on the BBCH scale. Ann. Appl. Biol. 2017, 171, 117–124. [Google Scholar] [CrossRef]
- Awadalla, A.; Morsy, A.S. Influence of planting dates and nitrogen fertilization on the performance of quinoa genotypes under Toshka conditions. Egypt. J. Agron. 2017, 39, 27–40. [Google Scholar] [CrossRef]
- Wang, X.; Tong, Y.; Gao, Y.; Gao, P.; Liu, F.; Zhao, Z.; Pang, Y. Spatial and temporal variations of crop fertilization and soil fertility in the loess plateau in China from the 1970s to the 2000s. PLoS ONE 2014, 9, e112273. [Google Scholar] [CrossRef]
- Xue, Z.; Cheng, M.; An, S. Soil nitrogen distributions for different land uses and landscape positions in a small watershed on Loess Plateau, China. Ecol. Eng. 2013, 60, 204–213. [Google Scholar] [CrossRef]
- Wang, J.; Liu, W.Z.; Dang, T.H.; Sainju, U.M. Nitrogen fertilization effect on soil water and wheat yield in the Chinese Loess Plateau. Agron. J. 2013, 105, 143–149. [Google Scholar] [CrossRef]
- Xu, A.; Li, L.; Xie, J.; Wang, X.; Coulter, J.A.; Liu, C.; Wang, L. Effect of long-term nitrogen addition on wheat yield, nitrogen use efficiency, and residual soil nitrate in a semiarid area of the loess plateau of China. Sustainability 2020, 12, 1735. [Google Scholar] [CrossRef]
- Yi, Q.; Zhang, X.Z.; He, P.; Yang, L.; Xiong, G.Y. Effects of reducing N application on crop N uptake, utilization, and soil N balance in rice-wheat rotation system. Plant Nutr. Fert. Sci. 2010, 16, 1069–1077. (In Chinese) [Google Scholar]
- Peng, S.; Buresh, R.; Huang, J.; Yang, J.; Zou, Y.; Zhong, X.; Wang, G.; Zhang, F. Strategies for overcoming low agronomic nitrogen use efficiency in irrigated rice systems in China. Field Crops Res. 2006, 96, 37–47. [Google Scholar] [CrossRef]
- Yuan, Z.; Cao, Q.; Zhang, K.; Ata-Ul-Karim, S.T.; Tian, Y.; Zhu, Y.; Cao, W.; Liu, X. Optimal leaf positions for SPAD meter measurement in rice. Front. Plant Sci. 2016, 7, 719. [Google Scholar] [CrossRef]
- He, Y.; Luo, S.; Zha, Y.; Jiang, X.; Wang, X.; Chen, H.; Han, S. Impacts of multi-strategy nitrogen fertilizer management on potato yield and economic gains in Northeast China. Agronomy 2023, 13, 2920. [Google Scholar] [CrossRef]
- Yin, T.F.; Zheng, L.L.; Cao, G.M.; Song, M.H.; Yu, F.H. Species-specific phenological responses to long-term nitrogen fertilization in an alpine meadow. J. Plant Ecol. 2017, 10, 301–309. [Google Scholar] [CrossRef]
- Patiranage, D.S.; Asare, E.; Maldonado-Taipe, N.; Rey, E.; Emrani, N.; Tester, M.; Jung, C. Haplotype variations of major flowering time genes in quinoa unveil their role in the adaptation to different environmental conditions. Plant Cell Environ. 2021, 44, 2565–2579. [Google Scholar] [CrossRef]
- Lin, Y.L.; Tsay, Y.F. Influence of differing nitrate and nitrogen availability on flowering control in Arabidopsis. J. Exp. Bot. 2017, 68, 2603–2609. [Google Scholar] [CrossRef]
- Yuan, S.; Zhang, Z.W.; Zheng, C.; Zhao, Z.Y.; Wang, Y.; Feng, L.Y.; Niu, G.; Wang, C.Q.; Wang, J.H.; Feng, H.; et al. Arabidopsis cryptochrome 1 functions in nitrogen regulation of flowering. Proc. Natl. Acad. Sci. USA 2016, 113, 7661–7666. [Google Scholar] [CrossRef]
- Basra, S.M.; Iqbal, S.; Afzal, I. Evaluating the response of nitrogen application on growth, development and yield of quinoa genotypes. Int. J. Agric. Biol. 2014, 16, 886–892. [Google Scholar]
- Erley, G.S.; Kaul, H.P.; Kruse, M.; Aufhammer, W. Yield and nitrogen utilization efficiency of the pseudocereals amaranth, quinoa, and buckwheat under differing nitrogen fertilization. Eur. J. Agron. 2005, 22, 95–100. [Google Scholar] [CrossRef]
- Wang, N.; Wang, F.; Shock, C.C.; Meng, C.; Qiao, L. Effects of management practices on quinoa growth, seed yield, and quality. Agronomy 2020, 10, 445. [Google Scholar] [CrossRef]
- Kakabouki, I.; Bilalis, D.; Karkanis, A.; Zervas, G.; Hela, D. Effects of fertilization and tillage system on growth and crude protein content of quinoa (Chenopodium quinoa Willd.): An alternative forage crop. Emir. J. Food Agric. 2014, 26, 18–24. [Google Scholar] [CrossRef]
- Wali, A.M.; Kenawey, M.K.; Ibrahim, O.M.; El Lateef, E.A. Productivity of Quinoa (Chenopodium quinoa L.) under new reclaimed soil conditions at north-western coast of Egypt. Bull. Natl. Res. Cent. 2022, 46, 38. [Google Scholar] [CrossRef]
- Pitzschke, A. Developmental Peculiarities and Seed-Borne Endophytes in Quinoa: Omnipresent, Robust Bacilli Contribute to Plant Fitness. Front. Microbiol. 2016, 7, 2. [Google Scholar] [CrossRef]
- Derks, A.; Schaven, K.; Bruce, D. Diverse mechanisms for photoprotection in photosynthesis. Dynamic regulation of photosystem II excitation in response to rapid environmental change. Biochim. Biophys. Acta Bioenerg. 2015, 1847, 468–485. [Google Scholar] [CrossRef] [PubMed]
- Sharma, D.K.; Andersen, S.B.; Ottosen, C.O.; Rosenqvist, E. Wheat cultivars selected for high Fv/Fm under heat stress maintain high photosynthesis, total chlorophyll, stomatal conductance, transpiration and dry matter. Physiol. Plant 2015, 153, 284–298. [Google Scholar] [CrossRef] [PubMed]
- Lichtenthaler, H.K.; Buschmann, C.; Knapp, M. How to correctly determine the different chlorophyll fluorescence parameters and the chlorophyll fluorescence decrease ratio R Fd of leaves with the PAM fluorometer. Photosynthetica 2005, 43, 379–393. [Google Scholar] [CrossRef]
- Janka, E.; Umetani, I.; Sposob, M.; Bakke, R. Photosynthesis response of microalgae (Tetradesmus wisconsinensis) to different inorganic carbon sources probed with chlorophyll fluorescence analysis. Photosynthetica 2020, 58, 236–244. [Google Scholar] [CrossRef]
- Maxwell, K.; Johnson, G.N. Chlorophyll fluorescence—a practical guide. J. Exp. Bot. 2000, 51, 659–668. [Google Scholar] [CrossRef]
Disclaimer/Publisher’s Note: The statements, opinions and data contained in all publications are solely those of the individual author(s) and contributor(s) and not of MDPI and/or the editor(s). MDPI and/or the editor(s) disclaim responsibility for any injury to people or property resulting from any ideas, methods, instructions or products referred to in the content. |
© 2024 by the authors. Licensee MDPI, Basel, Switzerland. This article is an open access article distributed under the terms and conditions of the Creative Commons Attribution (CC BY) license (https://creativecommons.org/licenses/by/4.0/).






