Genome-Wide Identification and Expression Profiles of IMB Genes Reveal Their Potential Roles in the Gametophytic Sexual Reproduction Process of Camellia sinensis
Abstract
1. Introduction
2. Materials and Methods
2.1. Identification of IMB Family Genes in C. sinensis
2.2. Phylogenetic Analysis and Structural Characterization
2.3. Cis-Element Analysis
2.4. Chromosomal Locations of IMB Genes in Tea Plant
2.5. Plant Materials and Crossbreeding Treatment
2.6. RNA Extraction, cDNA Synthesis, and Quantitative Real-Time RT-qPCR
2.7. Gene Clone and Subcellular Analysis of CsIMB
2.8. Statistical Analysis
3. Results
3.1. Identification and Chromosome Location of IMB Genes in C. sinensis
3.2. Conserved Motif and Gene Structure Analyses
3.3. Cis-Acting Element Analysis of CsIMB Promoters
3.4. Tissue-Specific Expression of CsIMB Genes
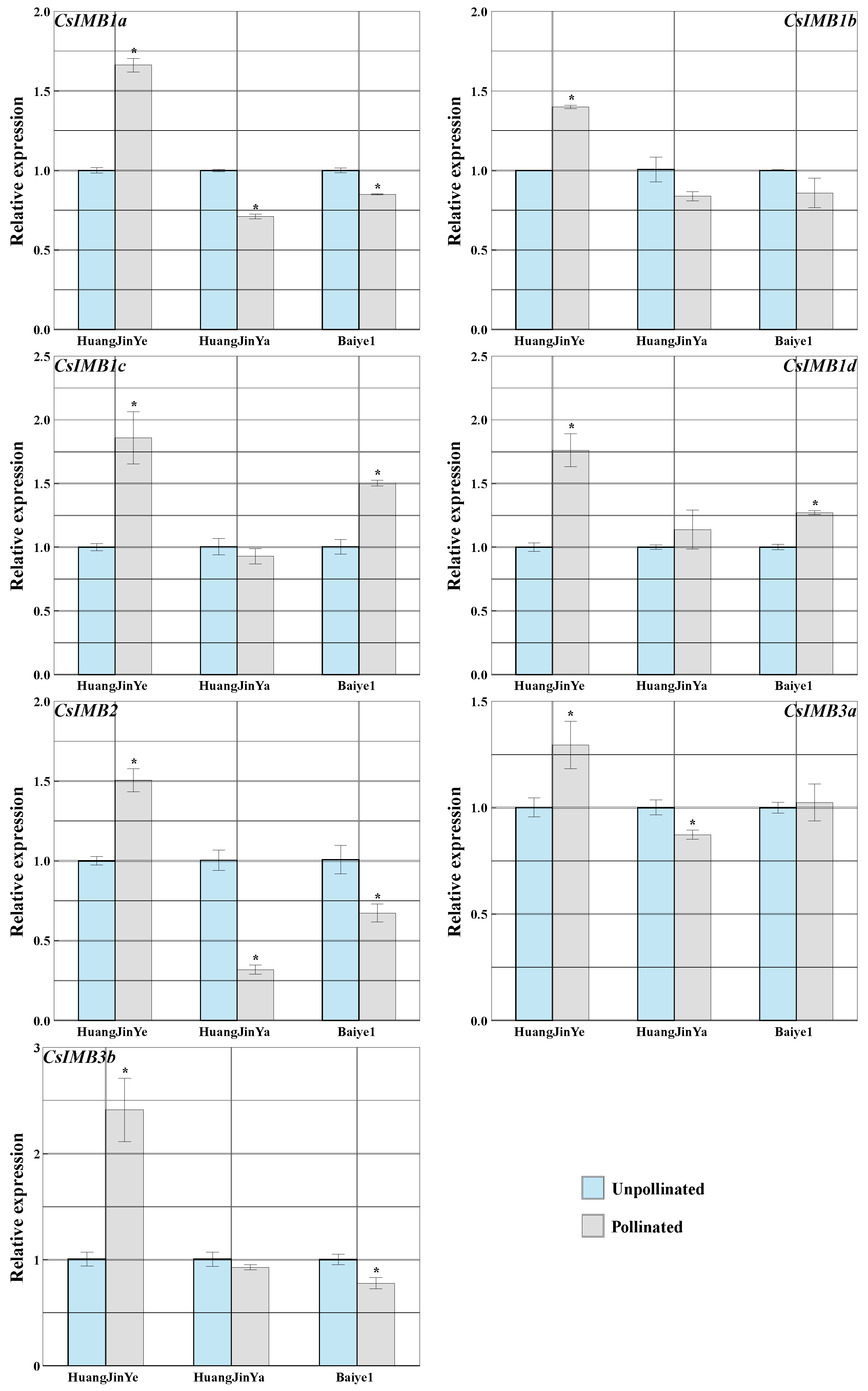
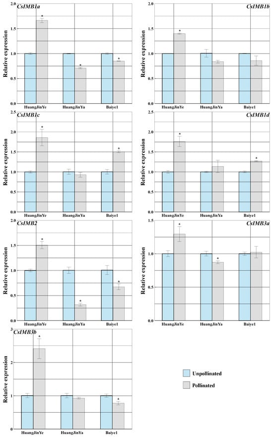
3.5. Fruiting Rate and Expression Analysis of CsIMBs in Response to Pollination
3.6. Subcellular Analysis of CsIMB
4. Discussion
5. Conclusions
Supplementary Materials
Author Contributions
Funding
Data Availability Statement
Acknowledgments
Conflicts of Interest
References
- Mukhopadhyay, M.; Mondal, T.K.; Chand, P.K. Biotechnological advances in tea (Camellia sinensis [L.] O. Kuntze): A review. Plant Cell Rep. 2016, 35, 255–287. [Google Scholar] [CrossRef] [PubMed]
- Weng, H.; Zeng, X.-T.; Li, S.; Kwong, J.S.W.; Liu, T.-Z.; Wang, X.-H. Tea consumption and risk of bladder cancer: A dose-response meta-analysis. Front. Physiol. 2017, 7, 693. [Google Scholar] [CrossRef]
- Görlich, D.; Prehn, S.; Laskey, R.A.; Hartmann, E. Isolation of a protein that is essential for the first step of nuclear protein import. Cell 1994, 79, 767–778. [Google Scholar] [CrossRef] [PubMed]
- Harreman, M.T.; Hodel, M.R.; Fanara, P.; Hodel, A.E.; Corbett, A.H. The auto-inhibitory function of importin α is essentialin vivo. J. Biol. Chem. 2002, 278, 5854–5863. [Google Scholar] [CrossRef]
- Tamura, K.; Hara-Nishimura, I. Functional insights of nucleocytoplasmic transport in plants. Front. Plant Sci. 2014, 5, 118. [Google Scholar] [CrossRef] [PubMed]
- Portereiko, M.F.; Sandaklie-Nikolova, L.; Lloyd, A.; Dever, C.A.; Otsuga, D.; Drews, G.N. NUCLEAR FUSION DEFECTIVE1 Encodes the Arabidopsis RPL21M protein and is required for karyogamy during female gametophyte development and fertilization. Plant Physiol. 2006, 141, 957–965. [Google Scholar] [CrossRef] [PubMed]
- Wu, J.-J.; Peng, X.-B.; Li, W.-W.; He, R.; Xin, H.-P.; Sun, M.-X. Mitochondrial GCD1 dysfunction reveals reciprocal cell-to-cell signaling during the maturation of Arabidopsis female gametes. Dev. Cell 2012, 23, 1043–1058. [Google Scholar] [CrossRef] [PubMed]
- Lu, C.; Yu, F.; Tian, L.; Huang, X.; Tan, H.; Xie, Z.; Hao, X.; Li, D.; Luan, S.; Chen, L. RPS9M, a mitochondrial ribosomal protein, is essential for central cell maturation and endosperm development in Arabidopsis. Front. Plant Sci. 2017, 8, 2171. [Google Scholar] [CrossRef] [PubMed]
- Xiong, F.; Duan, C.-Y.; Liu, H.-H.; Wu, J.-H.; Zhang, Z.-H.; Li, S.; Zhang, Y. Arabidopsis KETCH1 is critical for the nuclear accumulation of ribosomal proteins and gametogenesis. Plant Cell 2020, 32, 1270–1284. [Google Scholar] [CrossRef]
- Liu, H.H.; Xiong, F.; Duan, C.Y.; Wu, Y.N.; Zhang, Y.; Li, S. Importin beta4 mediates nuclear import of grf-interacting factors to control ovule development in Arabidopsis. Plant Physiol. 2019, 179, 1080–1092. [Google Scholar] [CrossRef]
- Blanvillain, R.; Boavida, L.C.; McCormick, S.; Ow, D.W. Exportin1 genes are essential for development and function of the gametophytes in Arabidopsis thaliana. Genetics 2008, 180, 1493–1500. [Google Scholar] [CrossRef] [PubMed]
- Wu, S.J.; Wang, L.C.; Yeh, C.H.; Lu, C.A.; Wu, S.J. Isolation and characterization of the Arabidopsis heat-intolerant 2 (hit2) mutant reveal the essential role of the nuclear export receptor EXPORTIN1A (XPO1A) in plant heat tolerance. New Phytol. 2010, 186, 833–842. [Google Scholar] [CrossRef]
- Telfer, A.; Poethig, R.S. HASTY: A gene that regulates the timing of shoot maturation in Arabidopsis thaliana. Development 1998, 125, 1889–1898. [Google Scholar] [CrossRef] [PubMed]
- Bollman, K.M.; Aukerman, M.J.; Park, M.-Y.; Hunter, C.; Berardini, T.Z.; Poethig, R.S. HASTY, the Arabidopsis ortholog of exportin 5/MSN5, regulates phase change and morphogenesis. Development 2003, 130, 1493–1504. [Google Scholar] [CrossRef]
- Song, Y.; Cui, H.; Shi, Y.; Xue, J.; Ji, C.; Zhang, C.; Yuan, L.; Li, R. Genome-wide identification and functional characterization of the Camelina sativa WRKY gene family in response to abiotic stress. BMC Genom. 2020, 21, 786. [Google Scholar] [CrossRef]
- Chen, C.; Chen, H.; Zhang, Y.; Thomas, H.R.; Frank, M.H.; He, Y.; Xia, R. TBtools: An integrative toolkit developed for interactive analyses of big biological data. Mol. Plant 2020, 13, 1194–1202. [Google Scholar] [CrossRef] [PubMed]
- Xu, X.; Tao, J.; Xing, A.; Wu, Z.; Xu, Y.; Sun, Y.; Zhu, J.; Dai, X.; Wang, Y. Transcriptome analysis reveals the roles of phytohormone signaling in tea plant (Camellia sinensis L.) flower development. BMC Plant Biol. 2022, 22, 471. [Google Scholar] [CrossRef]
- Wang, W.; Sheng, X.; Shu, Z.; Li, D.; Pan, J.; Ye, X.; Chang, P.; Li, X.; Wang, Y. Combined cytological and transcriptomic analysis reveals a nitric oxide signaling pathway involved in cold-inhibited Camellia sinensis pollen tube growth. Front. Plant Sci. 2016, 7, 456. [Google Scholar] [CrossRef]
- Duan, Y.; Zhu, X.; Shen, J.; Xing, H.; Zou, Z.; Ma, Y.; Wang, Y.; Fang, W. Genome-wide identification, characterization and expression analysis of the amino acid permease gene family in tea plants (Camellia sinensis). Genomics 2020, 112, 2866–2874. [Google Scholar] [CrossRef]
- Sparkes, I.A.; Runions, J.; Kearns, A.; Hawes, C. Rapid, transient expression of fluorescent fusion proteins in tobacco plants and generation of stably transformed plants. Nat. Protoc. 2006, 1, 2019–2025. [Google Scholar] [CrossRef]
- Pante, N.; Kann, M. Nuclear pore complex is able to transport macromolecules with diameters of about 39 nm. Mol. Biol. Cell 2002, 13, 425–434. [Google Scholar] [CrossRef] [PubMed]
- Lee, S.J.; Sekimoto, T.; Yamashita, E.; Nagoshi, E.; Nakagawa, A.; Imamoto, N.; Yoshimura, M.; Sakai, H.; Chong, K.T.; Tsukihara, T.; et al. The structure of importin-beta bound to SREBP-2: Nuclear import of a transcription factor. Science 2003, 302, 1571–1575. [Google Scholar] [CrossRef] [PubMed]
- Cingolani, G.; Petosa, C.; Weis, K.; Muller, C.W. Structure of importin-beta bound to the IBB domain of importin-alpha. Nature 1999, 399, 221–229. [Google Scholar] [CrossRef] [PubMed]
- Chook, Y.M.; Blobel, G. Structure of the nuclear transport complex karyopherin-beta2-Ran x GppNHp. Nature 1999, 399, 230–237. [Google Scholar] [CrossRef] [PubMed]
- Bayliss, R.; Littlewood, T.; Stewart, M. Structural basis for the interaction between FxFG nucleoporin repeats and importin-beta in nuclear trafficking. Cell 2000, 102, 99–108. [Google Scholar] [CrossRef] [PubMed]
- Xu, G.; Guo, C.; Shan, H.; Kong, H. Divergence of duplicate genes in exon-intron structure. Proc. Natl. Acad. Sci. USA 2012, 109, 1187–1192. [Google Scholar] [CrossRef]
- Oh, T.R.; Yu, S.G.; Yang, H.W.; Kim, J.H.; Kim, W.T. AtKPNB1, an Arabidopsis importin-beta protein, is downstream of the RING E3 ubiquitin ligase AtAIRP1 in the ABA-mediated drought stress response. Planta 2020, 252, 93. [Google Scholar] [CrossRef]





| Gene Name | Gene ID | Number of Amino Acids (aa) | Molecular Weight (Da) | Theoretical pI | GRAVY | Subcellular Localization |
|---|---|---|---|---|---|---|
| CsIMB1a | XM_028230465.1/TEA026073.1 | 871 | 96,494.45 | 4.63 | −0.013 | Nuclear |
| CsIMB1b | XM_028243725.1/TEA017020.1 | 871 | 96,406.30 | 4.60 | 0 | Nuclear |
| CsIMB1c | XM_028243724.1/TEA017025.1 | 938 | 103,663.70 | 4.67 | 0.022 | Nuclear |
| CsIMB1d | XM_028221219.1/novel_T012380 | 874 | 96,554.43 | 4.76 | −0.007 | Nuclear |
| CsIMB2 | XM_028242114.1/novel_T023108 | 889 | 99,671.85 | 4.90 | −0.011 | Nuclear |
| CsIMB3a | XM_028207439.1/TEA014745.1 | 1116 | 123,553.65 | 4.73 | −0.063 | Nuclear |
| CsIMB3b | XM_028214489.1/novel_T007067 | 1116 | 123,538.34 | 4.73 | −0.076 | Nuclear |
| Cultivar | Seed Rate (%) | |||
|---|---|---|---|---|
| 2020–2021 | 2021–2022 | 2022–2023 | Mean | |
| Huangjinye | 79.55 | 76.92 | 65.85 | 74.11 |
| Huangjinya | 28.57 | 27.91 | 7.32 | 21.27 |
| Baiye1 | 28.00 | 23.81 | 20.00 | 23.94 |
Disclaimer/Publisher’s Note: The statements, opinions and data contained in all publications are solely those of the individual author(s) and contributor(s) and not of MDPI and/or the editor(s). MDPI and/or the editor(s) disclaim responsibility for any injury to people or property resulting from any ideas, methods, instructions or products referred to in the content. |
© 2024 by the authors. Licensee MDPI, Basel, Switzerland. This article is an open access article distributed under the terms and conditions of the Creative Commons Attribution (CC BY) license (https://creativecommons.org/licenses/by/4.0/).
Share and Cite
Xu, X.; Xing, A.; Wu, Z.; Sun, Y.; Xu, X.; Liu, S.; Zhao, Z.; Chen, X.; Li, X.; Wang, Y. Genome-Wide Identification and Expression Profiles of IMB Genes Reveal Their Potential Roles in the Gametophytic Sexual Reproduction Process of Camellia sinensis. Agronomy 2024, 14, 1073. https://doi.org/10.3390/agronomy14051073
Xu X, Xing A, Wu Z, Sun Y, Xu X, Liu S, Zhao Z, Chen X, Li X, Wang Y. Genome-Wide Identification and Expression Profiles of IMB Genes Reveal Their Potential Roles in the Gametophytic Sexual Reproduction Process of Camellia sinensis. Agronomy. 2024; 14(5):1073. https://doi.org/10.3390/agronomy14051073
Chicago/Turabian StyleXu, Xiaohan, Anqi Xing, Zichen Wu, Yi Sun, Xuefeng Xu, Shujing Liu, Zhen Zhao, Xuan Chen, Xinghui Li, and Yuhua Wang. 2024. "Genome-Wide Identification and Expression Profiles of IMB Genes Reveal Their Potential Roles in the Gametophytic Sexual Reproduction Process of Camellia sinensis" Agronomy 14, no. 5: 1073. https://doi.org/10.3390/agronomy14051073
APA StyleXu, X., Xing, A., Wu, Z., Sun, Y., Xu, X., Liu, S., Zhao, Z., Chen, X., Li, X., & Wang, Y. (2024). Genome-Wide Identification and Expression Profiles of IMB Genes Reveal Their Potential Roles in the Gametophytic Sexual Reproduction Process of Camellia sinensis. Agronomy, 14(5), 1073. https://doi.org/10.3390/agronomy14051073

