Physicochemical Properties and Fine Structure of Starch in Jinong Xiangruan 1 and DGR1 Soft Rice Varieties Cultivated in Different Regions of China
Abstract
1. Introduction
2. Materials and Methods
2.1. Experimental Location and Materials
2.2. Raw Material Collection
2.3. Indicator Measurement
2.3.1. Yield and Its Constituent Factors
2.3.2. Soft Rice Taste Quality
2.3.3. Determination of Amylose Content in Soft Rice
2.3.4. Determination of Protein Content in Soft Rice
2.3.5. Determination of Consistency of Soft Rice Glue
2.3.6. Determination of RVA Characteristic Value of Rice Flour
2.3.7. Determination of Amylopectin Chain Length Distribution in Soft Rice
2.3.8. Determination of Molecular Weight Distribution of Soft Rice Starch
2.4. Statistical Analysis
3. Results
3.1. Changes in Soft Rice Yield and Its Constituent Factors in Different Regions
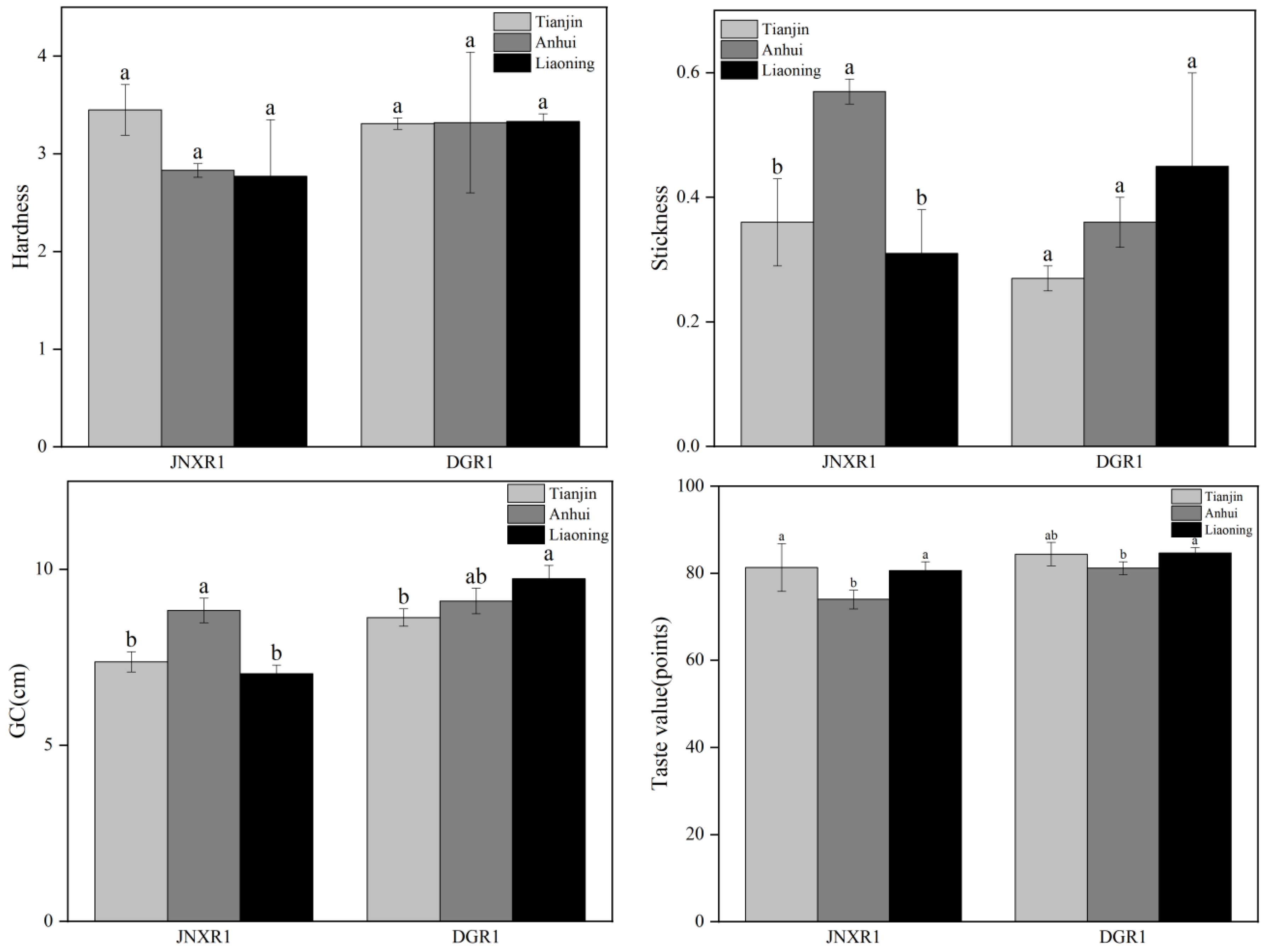
3.2. Differences in Eating Quality of Soft Rice of the Same Variety in Different Regions
3.3. Differences in Viscosity Characteristics of Soft Rice of the Same Variety in Different Regions
3.4. Absolute Molecular Weight Distribution of Soft Rice Starch
3.5. Distribution of Amylopectin Chain Length in Soft Rice
3.6. Correlation Analysis of Absolute Molecular Weight Distribution and Chain Length Distribution of Amylopectin
4. Discussions
4.1. Effects of Differences in Temperature and Light Conditions in North and South China on Yield, Components and Cooking Quality of Soft Rice of the Same Variety
4.2. Relationship between Gelatinization Characteristics and Cooking Taste Quality Indexes of the Same Soft Rice Varieties in North and South China
4.3. Effects of Synergistic Effects of Fine Structure and Physicochemical Properties of Starch on the Taste Quality of Soft Rice
5. Conclusions
Supplementary Materials
Author Contributions
Funding
Data Availability Statement
Acknowledgments
Conflicts of Interest
References
- Li, H.; Prakash, S.; Nicholson, T.M.; Fitzgerald, M.A.; Gilbert, R.G. The importance of amylose and amylopectin fine structure for textural properties of cooked rice grains. Food Chem. 2016, 196, 702–711. [Google Scholar] [CrossRef]
- Ayabe, S.; Kasai, M.; Ohishi, K.; Hatae, K. Textural properties and structures of starches from indica and japonica rice with similar amylose content. Food Sci. Technol. Res. 2009, 15, 299–306. [Google Scholar] [CrossRef]
- Huang, Y.-C.; Lai, H.-M. Characteristics of the starch fine structure and pasting properties of waxy rice during storage. Food Chem. 2014, 152, 432–439. [Google Scholar] [CrossRef]
- Igarashi, T.; Kinoshita, M.; Kanda, H. Evaluation of hardness of waxy rice cake based on the amylopectin chain-length distribution. J. Appl. Glycosci. 2008, 55, 13–19. [Google Scholar] [CrossRef]
- Hizukuri, S. Polymodal distribution of the chain lengths of amylopectins, and its significance. Carbohydr. Res. 1986, 147, 342–347. [Google Scholar] [CrossRef]
- Wang, B.; Xu, J.; Guo, D.; Long, C.; Zhang, Z.; Cheng, Y.; Huang, H.; Wen, P.; He, H.; He, X. Research on the relationship between the amylopectin structure and the physicochemical properties of starch extracted from glutinous rice. Foods 2023, 12, 460. [Google Scholar] [CrossRef]
- Liu, G.; Wang, R.; Liu, S.; Xu, M.; Guo, L.; Zhang, H.; Wei, H. Relationship between starch fine structure and simulated oral processing of cooked japonica rice. Front. Nutr. 2022, 9, 61. [Google Scholar] [CrossRef]
- Li, H.; Fitzgerald, M.A.; Prakash, S.; Nicholson, T.M.; Gilbert, R.G. The molecular structural features controlling stickiness in cooked rice, a major palatability determinant. Sci. Rep. 2017, 7, 43713. [Google Scholar] [CrossRef]
- Ong, M.; Blanshard, J. Texture determinants in cooked, parboiled rice. I: Rice starch amylose and the fine structure of amylopectin. J. Cereal Sci. 1995, 21, 251–260. [Google Scholar] [CrossRef]
- Reddy, K.R.; Ali, S.Z.; Bhattacharya, K. The fine structure of rice-starch amylopectin and its relation to the texture of cooked rice. Carbohydr. Polym. 1993, 22, 267–275. [Google Scholar] [CrossRef]
- Zhou, W.; Yang, J.; Hong, Y.; Liu, G.; Zheng, J.; Gu, Z.; Zhang, P. Impact of amylose content on starch physicochemical properties in transgenic sweet potato. Carbohydr. Polym. 2015, 122, 417–427. [Google Scholar] [CrossRef]
- Nishi, A.; Nakamura, Y.; Tanaka, N.; Satoh, H. Biochemical and genetic analysis of the effects of amylose-extender mutation in rice endosperm. Plant Physiol. 2001, 127, 459–472. [Google Scholar] [CrossRef]
- Ren, Z.; He, S.; Zhao, N.; Zhai, H.; Liu, Q. A sucrose non-fermenting-1-related protein kinase-1 gene, IbSnRK1, improves starch content, composition, granule size, degree of crystallinity and gelatinization in transgenic sweet potato. Plant Biotechnol. J. 2019, 17, 21–32. [Google Scholar] [CrossRef]
- Lin, L.; Guo, D.; Zhao, L.; Zhang, X.; Wang, J.; Zhang, F.; Wei, C. Comparative structure of starches from high-amylose maize inbred lines and their hybrids. Food Hydrocoll. 2016, 52, 19–28. [Google Scholar] [CrossRef]
- Zimm, B.H. The scattering of light and the radial distribution function of high polymer solutions. J. Chem. Phys. 1948, 16, 1093–1099. [Google Scholar] [CrossRef]
- Li, E.; Hasjim, J.; Dhital, S.; Godwin, I.D.; Gilbert, R.G. Effect of a gibberellin-biosynthesis inhibitor treatment on the physicochemical properties of sorghum starch. J. Cereal Sci. 2011, 53, 328–334. [Google Scholar] [CrossRef]
- Syahariza, Z.A.; Li, E.; Hasjim, J. Extraction and dissolution of starch from rice and sorghum grains for accurate structural analysis. Carbohydr. Polym. 2010, 82, 14–20. [Google Scholar] [CrossRef]
- Patindol, J.A.; Siebenmorgen, T.J.; Wang, Y.J. Impact of environmental factors on rice starch structure: A review. Starch-Stärke 2015, 67, 42–54. [Google Scholar] [CrossRef]
- Liang, J.; Ding, X.; Wang, P.; Deng, X. Rice RVA profile characteristics and correlation with the physical/chemical quality. Acta Agron. Sin. 2008, 34, 790–794. [Google Scholar]
- Liu, W.; Yin, T.; Zhao, Y.; Wang, X.; Wang, K.; Shen, Y.; Ding, Y.; Tang, S. Effects of high temperature on rice grain development and quality formation based on proteomics comparative analysis under field warming. Front. Plant Sci. 2021, 12, 746180. [Google Scholar] [CrossRef]
- Bao, J.; Cai, Y.; Corke, H. Prediction of rice starch quality parameters by near-infrared reflectance spectroscopy. J. Food Sci. 2001, 66, 936–939. [Google Scholar] [CrossRef]
- Gayin, J.; Abdel-Aal, E.-S.M.; Manful, J.; Bertoft, E.; Marcone, M.; Ragaee, S. Physical, cooking and thermal properties of African rice (Oryza glaberrima) and its starch digestibility in vitro. LWT 2017, 75, 481–487. [Google Scholar] [CrossRef]
- Singh, N.; Kaur, L.; Sodhi, N.S.; Sekhon, K.S. Physicochemical, cooking and textural properties of milled rice from different Indian rice cultivars. Food Chem. 2005, 89, 253–259. [Google Scholar] [CrossRef]
- Zhang, G.; Zhang, S.; Wang, L.; Xiao, Y.; Tang, W.; Chen, G.; Chen, L. Effects of high temperature at different times during the heading and filling periods on rice quality. Sci. Agric. Sin. 2013, 46, 2869–2879. [Google Scholar]
- Kato, K.; Suzuki, Y.; Hosaka, Y.; Takahashi, R.; Kodama, I.; Sato, K.; Kawamoto, T.; Kumamaru, T.; Fujita, N. Effect of high temperature on starch biosynthetic enzymes and starch structure in japonica rice cultivar ‘Akitakomachi’ (Oryza sativa L.) endosperm and palatability of cooked rice. J. Cereal Sci. 2019, 87, 209–214. [Google Scholar] [CrossRef]
- Dou, Z.; Yang, Q.; Guo, H.; Zhou, Y.; Xu, Q.; Gao, H. A comparative study of grain quality and physicochemical properties of premium japonica rice from three typical production regions. Front. Plant Sci. 2024, 15, 1270388. [Google Scholar] [CrossRef]
- Balet, S.; Guelpa, A.; Fox, G.; Manley, M. Rapid Visco Analyser (RVA) as a tool for measuring starch-related physiochemical properties in cereals: A review. Food Anal. Methods 2019, 12, 2344–2360. [Google Scholar] [CrossRef]
- Buenafe, R.J.Q.; Kumanduri, V.; Sreenivasulu, N. Deploying viscosity and starch polymer properties to predict cooking and eating quality models: A novel breeding tool to predict texture. Carbohydr. Polym. 2021, 260, 117766. [Google Scholar] [CrossRef] [PubMed]
- Li, X.; Zhang, R.; Sui, J.-M.; Liang, G.-H.; Shen, X.-P.; Yan, C.-J.; Gu, S.-L.; Gu, M.-H. Performance and inheritance of rice starch viscosity (RVA profile) characteristics. Chin. J. Rice Sci. 2004, 18, 384. [Google Scholar]
- Gang, L.; Qi, D. Correlation analysis between RVA profile characteristics and quality in rice. Chin. J. Rice Sci. 2009, 23, 99. [Google Scholar]
- Fan, X.; Zhao, J.; Sun, X.; Zhu, Y.; Li, Q.; Zhang, L.; Zhao, D.; Huang, L.; Zhang, C.; Liu, Q. Exogenous melatonin improves the quality performance of rice under high temperature during grain filling. Agronomy 2022, 12, 949. [Google Scholar] [CrossRef]
- Krishnan, P.; Ramakrishnan, B.; Reddy, K.R.; Reddy, V. High-temperature effects on rice growth, yield, and grain quality. Adv. Agron. 2011, 111, 87–206. [Google Scholar]
- Chun, A.; Lee, H.-J.; Hamaker, B.R.; Janaswamy, S. Effects of ripening temperature on starch structure and gelatinization, pasting, and cooking properties in rice (Oryza sativa). J. Agric. Food Chem. 2015, 63, 3085–3093. [Google Scholar] [CrossRef] [PubMed]
- Jane, J.; Chen, Y.; Lee, L.; McPherson, A.; Wong, K.; Radosavljevic, M.; Kasemsuwan, T. Effects of amylopectin branch chain length and amylose content on the gelatinization and pasting properties of starch. Cereal Chem. 1999, 76, 629–637. [Google Scholar] [CrossRef]
- Yao, D.; Wu, J.; Luo, Q.; Li, J.; Zhuang, W.; Xiao, G.; Deng, Q.; Lei, D.; Bai, B. Influence of high natural field temperature during grain filling stage on the morphological structure and physicochemical properties of rice (Oryza sativa L.) starch. Food Chem. 2020, 310, 125817. [Google Scholar] [CrossRef] [PubMed]
- Chen, Z.; Schols, H.; Voragen, A. Starch granule size strongly determines starch noodle processing and noodle quality. J. Food Sci. 2003, 68, 1584–1589. [Google Scholar] [CrossRef]
- Tao, K.; Li, C.; Yu, W.; Gilbert, R.G.; Li, E. How amylose molecular fine structure of rice starch affects functional properties. Carbohydr. Polym. 2019, 204, 24–31. [Google Scholar] [CrossRef]
- Cao, C.; Shen, M.; Hu, J.; Qi, J.; Xie, P.; Zhou, Y. Comparative study on the structure-properties relationships of native and debranched rice starch. CyTA-J. Food 2020, 18, 84–93. [Google Scholar] [CrossRef]
- Yoo, S.-H.; Jane, J.-L. Molecular weights and gyration radii of amylopectins determined by high-performance size-exclusion chromatography equipped with multi-angle laser-light scattering and refractive index detectors. Carbohydr. Polym. 2002, 49, 307–314. [Google Scholar] [CrossRef]










| Region | Effective Panicles | Grains per Spike | Setting Rate (%) | 1000-Grain Weight (g) | Theoretical Yield (kg/M) | |||||
|---|---|---|---|---|---|---|---|---|---|---|
| DGR1 | JNXR1 | DGR1 | JNXR1 | DGR1 | JNXR1 | DGR1 | JNXR1 | DGR1 | JNXR1 | |
| Liaoning | 20 b | 22 a | 114 a | 123 a | 87 a | 93 a | 25.5 a | 25.7 a | 701.60 b | 895.66 a |
| Tianjin | 22 a | 17 b | 114 a | 98 c | 88 a | 94 a | 26.2 a | 25.2 a | 800.96 a | 547.67 b |
| Anhui | 19 b | 18 b | 92 b | 114 b | 69 b | 83 b | 24.6 a | 24.6 a | 409.18 c | 584.54 b |
| Sample | Region | PKV (cp) | HPV (cp) | CPV (cp) | BDV (cp) | CSV (cp) | PaT (°C) |
|---|---|---|---|---|---|---|---|
| DGR1 | Tianjin | 3232.5 ± 41.3 b | 952.3 ± 22.5 b | 1490.9 ± 32.7 b | 2233.1 ± 49.0 b | 538.4 ± 10.3 b | 71.1 ± 0.1 b |
| Anhui | 3628.0 ± 9.6 a | 1043.3 ± 4.2 b | 1441.7 ± 11.6 b | 2584.7 ± 12.0 a | 398.3 ± 7.5 c | 76.9 ± 0.5 a | |
| Liaoning | 2683.6 ± 65.8 c | 1710.3 ± 86.0 a | 2528.7 ± 75.3 a | 973.3 ± 77.7 c | 818.3 ± 11.9 a | 70.4 ± 0.5 b | |
| JNXR1 | Tianjin | 3004.2 ± 137.4 a | 870.8 ± 14.9 a | 1259.3 ± 5.0 a | 2133.4 ± 137.9 a | 397.0 ± 10.4 a | 71.4 ± 0.5 b |
| Anhui | 1849.7 ± 63.4 b | 505.0 ± 22.6 b | 764.3 ± 27.7 b | 1344.7 ± 41.1 b | 259.3 ± 5.1 b | 72.5 ± 0.1 a | |
| Liaoning | 1655.7 ± 101.0 b | 321.7 ± 23.0 c | 531.0 ± 32.4 c | 1334.0 ± 85.2 b | 209.3 ± 9.5 c | 66.3 ± 0.5 c |
Disclaimer/Publisher’s Note: The statements, opinions and data contained in all publications are solely those of the individual author(s) and contributor(s) and not of MDPI and/or the editor(s). MDPI and/or the editor(s) disclaim responsibility for any injury to people or property resulting from any ideas, methods, instructions or products referred to in the content. |
© 2024 by the authors. Licensee MDPI, Basel, Switzerland. This article is an open access article distributed under the terms and conditions of the Creative Commons Attribution (CC BY) license (https://creativecommons.org/licenses/by/4.0/).
Share and Cite
Hua, Z.; Iqbal, Z.; Han, Y.; Wu, C.; Pei, Z.; Zhang, X.; Sun, J.; Qu, M.; Li, Z. Physicochemical Properties and Fine Structure of Starch in Jinong Xiangruan 1 and DGR1 Soft Rice Varieties Cultivated in Different Regions of China. Agronomy 2024, 14, 1074. https://doi.org/10.3390/agronomy14051074
Hua Z, Iqbal Z, Han Y, Wu C, Pei Z, Zhang X, Sun J, Qu M, Li Z. Physicochemical Properties and Fine Structure of Starch in Jinong Xiangruan 1 and DGR1 Soft Rice Varieties Cultivated in Different Regions of China. Agronomy. 2024; 14(5):1074. https://doi.org/10.3390/agronomy14051074
Chicago/Turabian StyleHua, Zhuoyi, Zubair Iqbal, Yu Han, Chenyang Wu, Zhongyou Pei, Xin Zhang, Jing Sun, Mingnan Qu, and Zhibin Li. 2024. "Physicochemical Properties and Fine Structure of Starch in Jinong Xiangruan 1 and DGR1 Soft Rice Varieties Cultivated in Different Regions of China" Agronomy 14, no. 5: 1074. https://doi.org/10.3390/agronomy14051074
APA StyleHua, Z., Iqbal, Z., Han, Y., Wu, C., Pei, Z., Zhang, X., Sun, J., Qu, M., & Li, Z. (2024). Physicochemical Properties and Fine Structure of Starch in Jinong Xiangruan 1 and DGR1 Soft Rice Varieties Cultivated in Different Regions of China. Agronomy, 14(5), 1074. https://doi.org/10.3390/agronomy14051074

