Enhanced Soil Carbon Stability through Alterations in Components of Particulate and Mineral-Associated Organic Matter in Reclaimed Saline–Alkali Drainage Ditches
Abstract
1. Introduction
2. Materials and Methods
2.1. Site Description
2.2. Soil Sampling Processing
2.3. Fraction Separation, Soil Carbon Content, and Physicochemical Properties Analyses
2.4. Chemical Composition Analysis of Carbon Components
2.5. Data Analysis
3. Results
3.1. Changes in Vegetation Condition and Soil Physicochemical Properties after Reclamation
| Reclamation Years | Plant Height (cm) | Dry Weight (kg) | Coverage (%) | Main Vegetation |
|---|---|---|---|---|
| 1st year | 73 ± 5 c | 0.46 ± 0.07 c | 54 ± 6 c | S. salsa, P. australis |
| 7th year | 140 ± 3 b | 0.69 ± 0.04 b | 84 ± 2 b | S. salsa, P. australis, I. cylindrica, L. chinensis |
| 15th year | 79 ± 3 c | 0.41 ± 0.04 c | 77 ± 4 b | S. salsa, P. australis, I. cylindrica, L. chinensis, A. capillaris |
| 30th year | 150 ± 5 a | 0.76 ± 0.06 a | 97 ± 0.8 a | S. salsa, P. australis, I. cylindrica, L. chinensis, A. capillaris, T. chinensis |
| Reclamation Years | ||||
|---|---|---|---|---|
| 1st Year | 7th Year | 15th Year | 30th Year | |
| TC (g kg−1) | 14 ± 0.3 b | 15 ± 0.4 bc | 14 ± 0.2 c | 15 ± 0.2 a |
| SOC (g kg−1) | 2.9 ± 0.1 b | 3.5 ± 0.2 b | 2.9 ± 0.1 b | 5.5 ± 0.3 a |
| SIC (g kg−1) | 11 ± 0.3 a | 12 ± 0.3 a | 11 ± 0.2 a | 9.6 ± 0.3 b |
| DOC (mg kg−1) | 48 ± 3 a | 47 ± 3 b | 36 ± 3 ab | 78 ± 10 a |
| TN (mg kg−1) | 140 ± 10 b | 340 ± 20 a | 110 ± 10 b | 340 ± 20 a |
| -N (mg kg−1) | 3.7 ± 0.3 a | 4.0 ± 0.4 a | 3.3 ± 0.4 a | 3.6 ± 0.2 a |
| -N (mg kg−1) | 19 ± 0.1 b | 20 ± 0.1 a | 20 ± 0.09 a | 8.4 ± 0.3 bc |
| TP (g kg−1) | 0.48 ± 0.01 b | 0.55 ± 0.01 a | 0.50 ± 0.01 b | 0.53 ± 0.01 a |
| AP (mg kg−1) | 26 ± 1 a | 20 ± 1 b | 28 ± 2 ab | 12 ± 1 c |
| SWC (%) | 26 ± 0.5 c | 22 ± 1 d | 30 ± 0.6 b | 30 ± 0.7 a |
| EC (μs cm−1) | 3600 ± 400 a | 1200 ± 70 a | 1000 ± 100 a | 290 ± 20 b |
| pH | 8.5 ± 0.03 b | 8.6 ± 0.03 b | 9.0 ± 0.03 b | 9.1 ± 0.03 a |
3.2. Changes in Soil Carbon Components after Reclamation
3.3. Chemical Composition in POM and MAOM Fractions
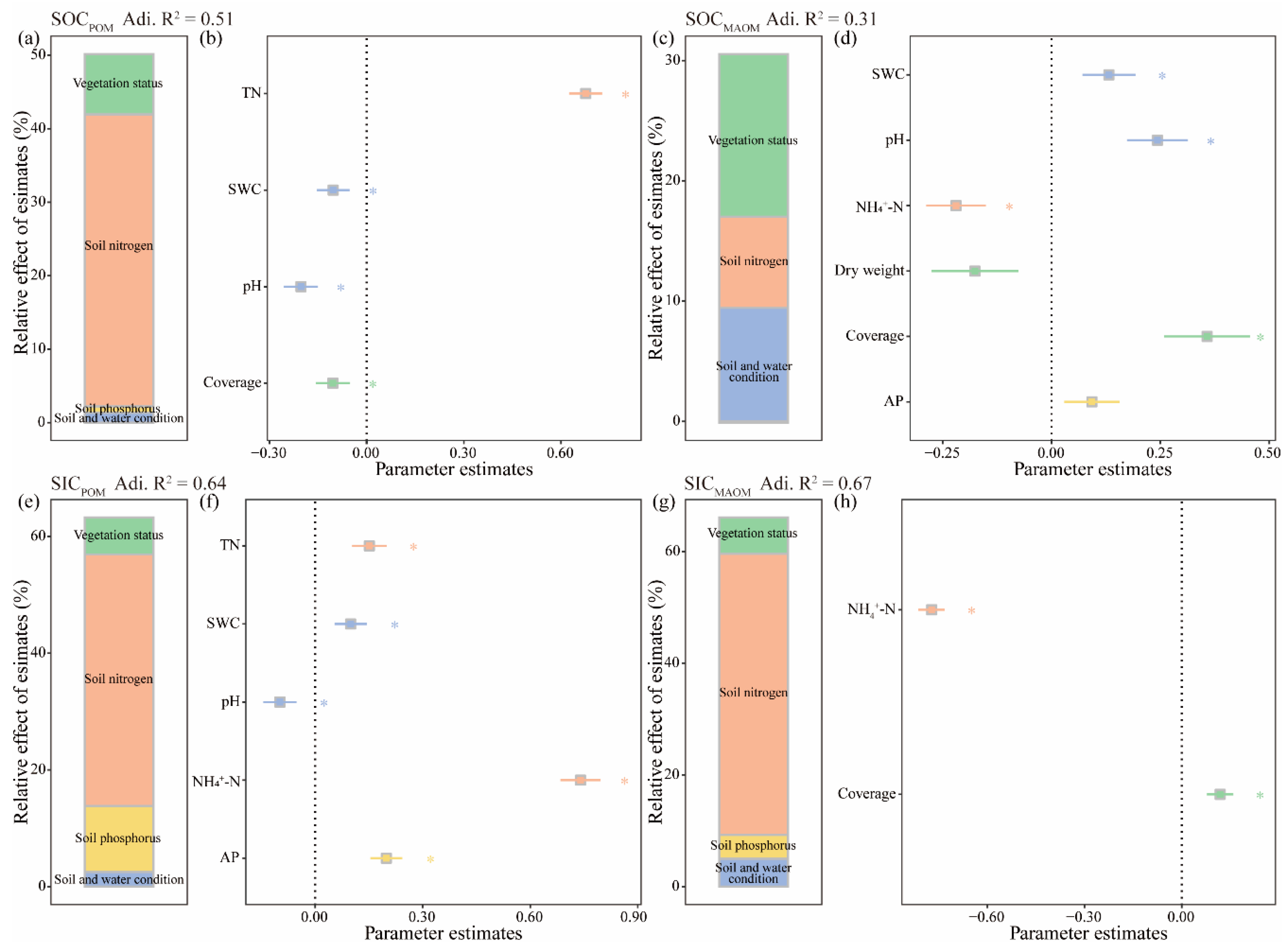
3.4. The Main Factors Influencing the Changes in Soil Carbon Components
4. Discussion
5. Conclusions
Supplementary Materials
Author Contributions
Funding
Data Availability Statement
Conflicts of Interest
References
- Lehmann, J.; Kleber, M. The contentious nature of soil organic matter. Nature 2015, 528, 60–68. [Google Scholar] [CrossRef] [PubMed]
- Dlamini, P.; Chivenge, P.; Chaplot, V. Overgrazing decreases soil organic carbon stocks the most under dry climates and low soil pH: A meta-analysis shows. Agric. Ecosyst. Environ. 2016, 221, 258–269. [Google Scholar] [CrossRef]
- Zhou, M.; Xiao, Y.; Zhang, X.; Sui, Y.; Xiao, L.; Lin, J.; Cruse, R.M.; Ding, G.; Liu, X. Warming-dominated climate change impacts on soil organic carbon fractions and aggregate stability in Mollisols. Geoderma 2023, 438, 116618. [Google Scholar] [CrossRef]
- Bradford, M.A.W.; William, R.; Bonan, G.B.; Fierer, N.; Raymond, P.A.; Crowther, T.W. Managing uncertainty in soil carbon feedbacks to climate change. Nat. Clim. Chang. 2016, 6, 751–758. [Google Scholar] [CrossRef]
- Knoblauch, C.; Beer, C.; Liebner, S.; Grigoriev, M.N.; Pfeiffer, E.-M. Methane production as key to the greenhouse gas budget of thawing permafrost. Nat. Clim. Chang. 2018, 8, 309–312. [Google Scholar] [CrossRef]
- Wiesmeier, M.; Schad, P.; von Lützow, M.; Poeplau, C.; Spörlein, P.; Geuß, U.; Hangen, E.; Reischl, A.; Schilling, B.; Kögel-Knabner, I. Quantification of Functional Soil Organic Carbon Pools for Major Soil Units and Land Uses in Southeast Germany (Bavaria). Agric. Ecosyst. Environ. 2014, 185, 208–220. [Google Scholar] [CrossRef]
- Sun, X.; Tang, Z.; Ryan, M.G.; You, Y.; Sun, O.J. Changes in soil organic carbon contents and fractionations of forests along a climatic gradient in China. For. Ecosyst. 2019, 6, 1. [Google Scholar] [CrossRef]
- Bai, T.; Wang, P.; Hall, S.; Wang, F.; Ye, C.; Li, Z.; Li, S.; Zhou, L.; Qiu, Y.; Guo, J.; et al. Interactive global change factors mitigate soil aggregation and carbon change in a semi-arid grassland. Glob. Chang. Biol. 2020, 26, 5320–5332. [Google Scholar] [CrossRef]
- Van der Werf, G.; Morton, D.; DeFries, R.; Olivier, J.; Kasibhatla, P.S.; Jackson, R.B.; Collatz, G.J.; Randerson, J. CO2 emissions from forest loss. Nat. Geosci. 2009, 2, 737–738. [Google Scholar] [CrossRef]
- Deng, L.; Liu, G.B.; Shangguan, Z.P. Land-use conversion and changing soil carbon stocks in China’s “Grain-for-Green” Program: A synthesis. Glob. Chang. Biol. 2014, 20, 3544–3556. [Google Scholar] [CrossRef]
- Jin, Z.; Dong, Y.; Wang, Y.; Wei, X.; Wang, Y.; Cui, B.; Zhou, W. Natural vegetation restoration is more beneficial to soil surface organic and inorganic carbon sequestration than tree plantation on the Loess Plateau of China. Sci. Total Environ. 2014, 485–486, 615–623. [Google Scholar] [CrossRef] [PubMed]
- Sommer, R.; Bossio, D. Dynamics and climate change mitigation potential of soil organic carbon sequestration. J. Environ. Manag. 2014, 144, 83–87. [Google Scholar] [CrossRef] [PubMed]
- Chaplot, V.; Dlamini, P.; Chivenge, P. Potential of grassland rehabilitation through high density-short duration grazing to sequester atmospheric carbon. Geoderma 2016, 271, 10–17. [Google Scholar] [CrossRef]
- Trumbore, S. Radiocarbon and soil carbon dynamics. Annu. Rev. Earth Planet. Sci. 2009, 37, 47–66. [Google Scholar] [CrossRef]
- Lugato, E.; Lavallee, J.M.; Haddix, M.L.; Panagos, P.; Cotrufo, M.F. Different climate sensitivity of particulate and mineral-associated soil organic matter. Nat. Geosci. 2021, 14, 295–300. [Google Scholar] [CrossRef]
- Lavallee, J.M.; Soong, J.L.; Cotrufo, M.F. Conceptualizing soil organic matter into particulate and mineral-associated forms to address global change in the 21st century. Glob. Chang. Biol. 2020, 26, 261–273. [Google Scholar] [CrossRef] [PubMed]
- Liao, C.; Chang, K.; Wu, B.; Zhang, D.; Wang, C.; Cheng, X. Divergence in soil particulate and mineral-associated organic carbon reshapes carbon stabilization along an elevational gradient. Catena 2024, 235, 107682. [Google Scholar] [CrossRef]
- Cambardella, C.A.; Elliott, E.T. Particulate soil organic-matter changes across a grassland cultivation sequence. Soil Sci. Soc. Am. J. 1992, 56, 777–783. [Google Scholar] [CrossRef]
- Cotrufo, M.F.; Ranalli, M.G.; Haddix, M.L.; Six, J.; Lugato, E. Soil carbon storage informed by particulate and mineral-associated organic matter. Nat. Geosci. 2019, 12, 989–994. [Google Scholar] [CrossRef]
- Marschner, B.; Brodowski, S.; Dreves, A.; Gleixner, G.; Gude, A.; Grootes, P.M.; Hamer, U.; Heim, A.; Jandl, G.; Ji, R.; et al. How relevant is recalcitrance for the stabilization of organic matter in soils? J. Plant. Nutr. Soil Sci. 2008, 171, 91–110. [Google Scholar] [CrossRef]
- Rumpel, C.; Eusterhues, K.; Kögel-Knabner, I. Non-cellulosic neutral sugar contribution to mineral associated organic matter in top- and subsoil horizons of two acid forest soils. Soil Biol. Biochem. 2010, 42, 379–382. [Google Scholar] [CrossRef]
- Jagadamma, S.; Mayes, M.A.; Phillips, J.R. Selective sorption of dissolved organic carbon compounds by temperate soils. PLoS ONE 2012, 7, e50434. [Google Scholar] [CrossRef] [PubMed]
- Islam, M.R.; Singh, B.; Dijkstra, F.A. Stabilisation of Soil Organic Matter: Interactions between Clay and Microbes. Biogeochemistry 2022, 160, 145–158. [Google Scholar] [CrossRef]
- Schmidt, M.; Torn, M.; Abiven, S.; Dittmar, T.; Guggenberger, G.; Janssens, I.; Kleber, M.; Kögel-Knabner, I.; Lehmann, J.; Manning, D.; et al. Persistence of soil organic matter as an ecosystem property. Nature 2011, 478, 49–56. [Google Scholar] [CrossRef] [PubMed]
- Cambardella, C.A.; Elliott, E.T. Carbon and nitrogen dynamics of soil organic matter fractions from cultivated grassland soils. Soil Sci. Soc. Am. J. 1994, 58, 123–130. [Google Scholar] [CrossRef]
- Collins, H.P.; Christenson, D.R.; Blevins, R.L.; Bundy, L.G.; Dick, W.A.; Huggins, D.R.; Paul, E.A. Soil carbon dynamics in corn- based agroecosystems: Results from carbon-13 natural abundance. Soil Sci. Soc. Am. J. 1999, 63, 584–591. [Google Scholar] [CrossRef]
- Duval, M.E.; Galantini, J.A.; Iglesias, J.O.; Canelo, S.; Martínez, J.M.; Wall, L. Analysis of organic fractions as indicators of soil quality under natural and cultivated systems. Soil Tillage Res. 2013, 131, 11–19. [Google Scholar] [CrossRef]
- Zhang, H.; Wu, P.; Yin, A.; Yang, X.; Zhang, M.; Gao, C. Prediction of Soil Organic Carbon in an Intensively Managed Reclamation Zone of Eastern China: A Comparison of Multiple Linear Regressions and the Random Forest Model. Sci. Total Environ. 2017, 592, 704–713. [Google Scholar] [CrossRef] [PubMed]
- Zhao, C.; Zhang, H.; Song, C.; Zhu, J.K.; Shabala, S. Mechanisms of Plant Responses and Adaptation to Soil Salinity. Innovation 2020, 1, 100017. [Google Scholar] [CrossRef] [PubMed]
- Meisner, A.; Rousk, J.; Bååth, E. Prolonged drought changes the bacterial growth response to Re-wetting. Soil Biol. Biochem. 2015, 88, 314–322. [Google Scholar] [CrossRef]
- Najera, F.; Dippold, M.A.; Boy, J.; Seguel, O.; Koester, M.; Stock, S.; Merino, C.; Kuzyakov, Y.; Matus, F. Effects of drying/rewetting on soil aggregate dynamics and implications for organic matter turnover. Biol. Fertil. Soils 2020, 56, 893–905. [Google Scholar] [CrossRef]
- Yu, W.; Huang, W.; Weintraub-Leff, S.R.; Hall, S.J. Where and why do particulate organic matter (POM) and mineral-associated organic matter (MAOM) differ among diverse soils? Soil Biol. Biochem. 2022, 172, 108756. [Google Scholar] [CrossRef]
- King, A.E.; Congreves, K.A.; Deen, B.; Dunfield, K.E.; Voroney, R.P.; Wagner-Riddle, C. Quantifying the relationships between soil fraction mass, fraction carbon, and total soil carbon to assess mechanisms of physical protection. Soil Biol. Biochem. 2019, 135, 95–107. [Google Scholar] [CrossRef]
- Dudek, M.; Kabała, C.; Łabaz, B.; Mituła, P.; Bednik, M.; Medyńska-Juraszek, A. Mid-infrared spectroscopy supports identification of the origin of organic matter in soils. Land 2021, 10, 215. [Google Scholar] [CrossRef]
- Tanykova, N.; Petrova, Y.; Kostina, J.; Kozlova, E.; Leushina, E.; Spasennykh, M. Study of organic matter of unconventional reservoirs by IR Spectroscopy and IR microscopy. Geosciences 2021, 11, 277. [Google Scholar] [CrossRef]
- Margenot, A.J.; Parikh, S.J.; Calderón, F.J. Fourier-Transform Infrared Spectroscopy for Soil Organic Matter Analysis. Soil Sci. Soc. Am. J. 2023, 87, 1503–1528. [Google Scholar] [CrossRef]
- Proskurnin, M.A.; Volkov, D.S.; Timofeev, Y.V.; Fomin, D.S.; Rogova, O.B. Chernozem Land Use Differentiation by Temperature-Dependent IR Spectra. Agronomy 2023, 13, 1967. [Google Scholar] [CrossRef]
- Beasley, M.M.; Bartelink, E.J.; Taylor, L.; Miller, R.M. Comparison of Transmission FTIR, ATR, and DRIFT Spectra: Implications for Assessment of Bone Bioapatite Diagenesis. J. Archaeol. Sci. 2014, 46, 16–22. [Google Scholar] [CrossRef]
- Yan, B.; Germlich, H.-U.; Moss, S.; Coppola, G.; Sun, Q.; Liu, L. A comparison of various FTIR and FT Raman methods: Applications in the reaction optimization stage of combinatorial chemistry. J. Comb. Chem. 1999, 1, 46–54. [Google Scholar] [CrossRef]
- Cardell, C.; Guerra, I.; Romero-Pastor, J.; Cultrone, G.; Rodriguez-Navarro, A. Innovative analytical methodology combining micro-X-Ray diffraction, scanning electron microscopy-based mineral maps, and diffuse reflectance infrared Fourier transform spectroscopy to characterize archaeological artifacts. Anal. Chem. 2009, 81, 604–611. [Google Scholar] [CrossRef]
- Ferraro, J. Practical Fourier Transform Infrared Spectroscopy: Industrial and Laboratory Chemical Analysis; Ferraro, J., Krishnan, K., Eds.; Academic Press: San Diego, CA, USA, 1990. [Google Scholar] [CrossRef]
- Zhan, X.; Zhou, L. Colorimetric determination of dissolved organic carbon in soil solution and water environment. China Environ. Sci. 2002, 22, 433–437. (In Chinese) [Google Scholar]
- Liu, C.; Wu, Z.; He, C.; Zhang, Y.; Huang, W.; Wang, D. Source identification and chemical compositions of particulate and mineral-associated organic matter in the deposited sediments of a dam-controlled watershed. Catena 2022, 219, 106618. [Google Scholar] [CrossRef]
- Fultz, L.M.; Moore-Kucera, J.; Calderón, F.; Acosta-Martínez, V. Using Fourier-Transform Mid-Infrared Spectroscopy to distinguish soil organic matter composition dynamics in aggregate fractions of two agroecosystems. Soil Sci. Soc. Am. J. 2014, 6, 1940–1948. [Google Scholar] [CrossRef]
- Ramírez, P.B.; Calderón, F.J.; Fonte, S.J.; Santibáñez, F.; Bonilla, C.A. Spectral responses to labile organic carbon fractions as useful soil quality indicators across a climatic gradient. Ecol. Indic. 2020, 111, 106042. [Google Scholar] [CrossRef]
- Margenot, A.J.; Calderón, F.J.; Bowles, T.M.; Parikh, S.J.; Jackson, L.E. Soil organic matter functional group composition in relation to organic carbon, nitrogen, and phosphorus fractions in organically managed tomato fields. Soil Sci. Soc. Am. J. 2015, 79, 772–782. [Google Scholar] [CrossRef]
- Pärnpuu, S.; Astover, A.; Tõnutare, T.; Penu, P.; Kauer, K. Soil Organic Matter Qualification with FTIR Spectroscopy under Different Soil Types in Estonia. Geoderma Reg. 2022, 28, e00483. [Google Scholar] [CrossRef]
- Kaiser, M.; Ellerbrock, R.H.; Gerke, H.H. Long-term effects of crop rotation and fertilization on soil organic matter composition. Eur. J. Soil Sci. 2007, 58, 1460–1470. [Google Scholar] [CrossRef]
- Matějková, S.; Šimon, T. Application of FTIR spectroscopy for evaluation of hydrophobic/hydrophilic organic components in arable soil. Plant Soil Environ. 2012, 58, 192–195. [Google Scholar] [CrossRef]
- Capriel, P.; Beck, T.; Borchert, H.; Gronholz, J.; Zachmann, G. Hydrophobicity of the organic matter in arable soils. Soil Biol. Biochem. 1995, 27, 1453–1458. [Google Scholar] [CrossRef]
- Chefetz, B.; Hatcher, P.G.; Hadar, Y.; Chen, Y. Chemical and biological characterization of organic matter during composting of municipal solid waste. J. Environ. Qual. 1996, 25, 776–785. [Google Scholar] [CrossRef]
- Stehlíková, I.; Madaras, M.; Lipavský, J.; Šimon, T. Study on some soil quality changes obtained from long-term experiments. Plant Soil Environ. 2016, 62, 74–79. [Google Scholar] [CrossRef]
- Jakab, G.; Filep, T.; Király, C.; Madarász, B.; Zacháry, D.; Ringer, M.; Vancsik, A.; Gáspár, L.; Szalai, Z. Differences in mineral phase associated soil organic matter composition due to varying tillage intensity. Agronomy 2019, 9, 700. [Google Scholar] [CrossRef]
- Zhang, H.; Yin, A.; Yang, X.; Wu, P.; Fan, M.; Wu, J.; Zhang, M.; Gao, C. Changes in surface soil organic/inorganic carbon concentrations and their driving forces in reclaimed coastal tidal flats. Geoderma 2019, 352, 150–159. [Google Scholar] [CrossRef]
- Liu, W.; Wei, J.; Cheng, J.; Li, W. Profile Distribution of Soil Inorganic Carbon along a Chronosequence of Grassland Restoration on a 22-Year Scale in the Chinese Loess Plateau. Catena 2014, 121, 321–329. [Google Scholar] [CrossRef]
- Zhang, L.; Zhao, W.; Zhang, R.; Cao, H.; Tan, W. Profile distribution of soil organic and inorganic carbon following revegetation on the Loess Plateau, China. Environ. Sci. Pollut. Res. 2018, 25, 30301–30314. [Google Scholar] [CrossRef] [PubMed]
- Li, Y.; Zhang, X.; Wang, B.; Wu, X.; Wang, Z.; Liu, L.; Yang, H. Revegetation promotes soil mineral-associated organic carbon sequestration and soil carbon stability in the Tengger Desert, northern China. Soil Biol. Biochem. 2023, 185, 109155. [Google Scholar] [CrossRef]
- Su, Z.; Zhong, Y.; Zhu, X.; Wu, Y.; Shen, Z.; Shangguan, Z. Vegetation restoration altered the soil organic carbon composition and favoured its stability in a Robinia pseudoacacia plantation. Sci. Total Environ. 2023, 899, 165665. [Google Scholar] [CrossRef]
- Yang, L.; Song, X.; Lyu, S.; Shen, W.; Gao, Y. Dynamics and Fractions of Soil Organic Carbon in Response to 35 Years of Afforestation in Subtropical China. Plant Soil 2024, 1–14. [Google Scholar] [CrossRef]
- Sokol, N.; Sanderman, J.; Bradford, M. Pathways of mineral-associated soil organic matter formation: Integrating the role of plant carbon source, chemistry, and point of entry. Glob. Chang. Biol. 2019, 25, 12–24. [Google Scholar] [CrossRef]
- Berhe, A.A.; Harden, J.W.; Torn, M.S.; Kleber, M.; Burton, S.D.; Harte, J. Persistence of soil organic matter in eroding versus depositional landform positions. J. Geophys. Res. Biogeosci. 2012, 117, G02019. [Google Scholar] [CrossRef]
- Demyan, M.S.; Rasche, F.; Schulz, E.; Breulmann, M.; Müller, T.; Cadisch, G. Use of specific peaks obtained by diffuse reflectance Fourier transform mid-infrared spectroscopy to study the composition of organic matter in a Haplic Chernozem. Eur. J. Soil Sci. 2012, 63, 189–199. [Google Scholar] [CrossRef]
- Laudicina, V.A.; Novara, A.; Barbera, V.; Egli, M.; Badalucco, L. Long-term tillage and cropping system effects on chemical and biochemical characteristics of soil organic matter in a Mediterranean semiarid environment. Land Degrad. Dev. 2014, 26, 45–53. [Google Scholar] [CrossRef]
- Calderón, F.J.; Reeves, J.B.; Collins, H.P.; Paul, E.A. Chemical differences in soil organic matter fractions determined by diffuse-reflectance mid-infrared spectroscopy. Soil Sci. Soc. Am. J. 2011, 75, 568–579. [Google Scholar] [CrossRef]
- Veum, K.; Goyne, K.; Kremer, R.; Miles, R.; Sudduth, K. Biological indicators of soil quality and soil organic matter characteristics in an agricultural management continuum. Biogeochemistry 2014, 117, 81–99. [Google Scholar] [CrossRef]
- Heller, C.; Ellerbrock, R.H.; Roßkopf, N.; Klingenfuß, C.; Zeitz, J. Soil organic matter characterization of temperate peatland soil with FTIR-spectroscopy: Effects of mire type and drainage intensity: SOM characterization of peatland soil using FTIR. Eur. J. Soil Sci. 2015, 66, 847–858. [Google Scholar] [CrossRef]
- Milanovskiy, E.; Shein, E.V. Functional role of amphiphilic humus components in humus structure formation and soil genesis. Eurasian Soil. Sci. 2002, 35, 1064–1075. [Google Scholar]
- Knicker, H. Soil organic N—An under-rated player for C sequestration in soils? Soil Biol. Biochem. 2011, 43, 1118–1129. [Google Scholar] [CrossRef]
- Zamanian, K.; Zarebanadkouki, M.; Kuzyakov, Y. Nitrogen fertilization raises CO2 efflux from inorganic carbon: A global assessment. Glob. Chang. Biol. 2018, 24, 2810–2817. [Google Scholar] [CrossRef] [PubMed]
- Cardinael, R.; Chevallier, T.; Guenet, B.; Girardin, C.; Cozzi, T.; Pouteau, V.; Chenu, C. Organic carbon decomposition rates with depth and contribution of inorganic carbon to CO2 emissions under a Mediterranean agroforestry system. Eur. J. Soil Sci. 2020, 71, 909–923. [Google Scholar] [CrossRef]
- Hodges, C.; Brantley, S.L.; Sharifironizi, M.; Forsythe, B.; Tang, Q.; Carpenter, N.; Kaye, J. Soil carbon dioxide flux partitioning in a calcareous watershed with agricultural impacts. J. Geophys. Res. Biogeosci. 2021, 126, 10. [Google Scholar] [CrossRef]
- Zamanian, K.; Zhou, J.; Kuzyakov, Y. Soil carbonates: The unaccounted, irrecoverable carbon source. Geoderma 2021, 384, 114817. [Google Scholar] [CrossRef]
- Cao, H.; Chen, R.; Wang, L.; Jiang, L.; Yang, F.; Zheng, S.; Wang, G.; Lin, X. Soil pH, total phosphorus, climate and distance are the major factors influencing microbial activity at a regional spatial scale. Sci. Rep. 2016, 6, 25815. [Google Scholar] [CrossRef] [PubMed]
- Yang, X.; Zhu, K.; Loik, M.E.; Sun, W. Differential responses of soil bacteria and fungi to altered precipitation in a meadow steppe. Geoderma 2021, 384, 114812. [Google Scholar] [CrossRef]
- Zhao, T.; Lozano, Y.M.; Rillig, M.C. Microplastics Increase Soil pH and Decrease Microbial Activities as a Function of Microplastic Shape, Polymer Type, and Exposure Time. Front. Environ. Sci. 2021, 9, 1–14. [Google Scholar] [CrossRef]
- Schwalm, C.R.; Anderegg, W.R.L.; Michalak, A.M.; Fisher, J.B.; Biondi, F.; Koch, G.; Litvak, M.; Ogle, K.; Shaw, J.D.; Wolf, A.; et al. Global patterns of drought recovery. Nature 2017, 548, 202–205. [Google Scholar] [CrossRef]
- Humphrey, V.; Zscheischler, J.; Ciais, P.; Gudmundsson, L.; Sitch, S.; Seneviratne, S.I. Sensitivity of atmospheric CO2 growth rate to observed changes in terrestrial water storage. Nature 2018, 560, 628–631. [Google Scholar] [CrossRef]
- Tavakkoli, E.; Rengasamy, P.; Smith, E.; McDonald, G.K. The effect of cation-anion interactions on soil pH and solubility of organic carbon. Eur. J. Soil Sci. 2015, 66, 1054–1062. [Google Scholar] [CrossRef]
- Zhang, K.; Wang, X.; Wu, L.; Lu, T.; Guo, Y.; Ding, X. Impacts of salinity on the stability of soil organic carbon in the croplands of the Yellow River Delta. Land Degrad. Dev. 2021, 32, 1873–1882. [Google Scholar] [CrossRef]
- Grandy, A.S.; Neff, J.C. Molecular C dynamics downstream: The biochemical decomposition sequence and its impact on soil organic matter structure and function. Sci. Total Environ. 2008, 404, 297–307. [Google Scholar] [CrossRef]
- Haddix, M.L.; Paul, E.A.; Cotrufo, M.F. Dual, differential isotope labeling shows the preferential movement of labile plant constituents into mineral-bonded soil organic matter. Glob. Chang. Biol. 2016, 22, 2301–2312. [Google Scholar] [CrossRef]
- Fulton-Smith, S.; Cotrufo, M.F. Pathways of soil organic matter formation from above and belowground inputs in a Sorghum bicolor bioenergy crop. GCB Bioenergy 2019, 11, 971–987. [Google Scholar] [CrossRef]
- Haddix, M.L.; Gregorich, E.G.; Helgason, B.L.; Janzen, H.; Ellert, B.H.; Cotrufo, M.F. Climate, Carbon Content, and Soil Texture Control the Independent Formation and Persistence of Particulate and Mineral-Associated Organic Matter in Soil. Geoderma 2020, 363, 114160. [Google Scholar] [CrossRef]
- Cotrufo, M.F.; Soong, J.L.; Horton, A.J.; Campbell, E.E.; Haddix, M.L.; Wall, D.H.; Parton, W.J. Formation of soil organic matter via biochemical and physical pathways of litter mass loss. Nat. Geosci. 2015, 8, 776–779. [Google Scholar] [CrossRef]
- Sokol, N.W.; Bradford, M.A. Microbial formation of stable soil carbon is more efficient from belowground than aboveground input. Nat. Geosci. 2019, 12, 46–53. [Google Scholar] [CrossRef]
- Cotrufo, M.F.; Haddix, M.L.; Kroeger, M.E.; Stewart, C.E. The Role of Plant Input Physical-Chemical Properties, and Microbial and Soil Chemical Diversity on the Formation of Particulate and Mineral-Associated Organic Matter. Soil Biol. Biochem. 2022, 168, 108648. [Google Scholar] [CrossRef]
- Lal, R.; Negassa, W.; Lorenz, K. Carbon Sequestration in Soil. Curr. Opin. Environ. Sustain. 2015, 15, 79–86. [Google Scholar] [CrossRef]
- Somasundaram, J.; Chaudhary, R.S.; Awanish Kumar, D.; Biswas, A.K.; Sinha, N.K.; Mohanty, M.; Hati, K.M.; Jha, P.; Sankar, M.; Patra, A.K.; et al. Effect of contrasting tillage and cropping systems on soil aggregation, carbon pools and aggregate-associated carbon in rainfed Vertisols. Eur. J. Soil Sci. 2018, 69, 879–891. [Google Scholar] [CrossRef]
- Xiao, L.; Zhang, W.; Hu, P.; Xiao, D.; Yang, R.; Ye, Y.; Wang, K. The Formation of Large Macroaggregates Induces Soil Organic Carbon Sequestration in Short-Term Cropland Restoration in a Typical Karst Area. Sci. Total Environ. 2021, 801, 149588. [Google Scholar] [CrossRef]






| Reclamation Years | ||||
|---|---|---|---|---|
| 1st Year | 7th Year | 15th Year | 30th Year | |
| POM | ||||
| alcohol C–OH/C–NH | 6.4 ± 0.5 a | 6.0 ± 0.4 a | 5.8 ± 0.3 a | 6.6 ± 0.4 a |
| aliphatic C–H | 0.080 ± 0.02 b | 0.13 ± 0.02 ab | 0.14 ± 0.02 ab | 0.24 ± 0.04 a |
| aromatic C=C/C=N | 9.0 ± 3 a | 7.2 ± 2 ab | 1.8 ± 0.6 b | 6.3 ± 2 ab |
| polysaccharide C–O | 18 ± 5 a | 13 ± 2 a | 11 ± 1 a | 14 ± 1 a |
| MAOM | ||||
| alcohol C–OH/C–NH | 6.7 ± 0.2 a | 6.5 ± 0.4 a | 5.0 ± 0.2 b | 6.8 ± 0.4 a |
| aliphatic C–H | 0.10 ± 0.01 b | 0.12 ± 0.01 ab | 0.15 ± 0.01 a | 0.20 ± 0.04 a |
| aromatic C=C/C=N | 9.4 ± 0.9 ab | 8.1 ± 0.7 ab | 6.7 ± 0.5 b | 11 ± 1 a |
| polysaccharide C–O | 15 ± 0.8 a | 14 ± 1 a | 13 ± 0.9 a | 17 ± 1 a |
| Reclamation Years | ||||
|---|---|---|---|---|
| 1st Year | 7th Year | 15th Year | 30th Year | |
| POM | ||||
| W | 0.28 ± 0.03 a | 0.28 ± 0.02 ab | 0.22 ± 0.01 c | 0.28 ± 0.02 ab |
| HI | 0.020 ± 0.01 a | 0.020 ± 0.01 ab | 0.13 ± 0.02 ab | 0.010 ± 0 b |
| DDI | 3.9 ± 0.3 a | 3.8 ± 0.2 a | 4.7 ± 0.2 a | 3.9 ± 0.3 a |
| MAOM | ||||
| W | 0.23 ± 0.02 a | 0.21 ± 0.01 a | 0.16 ± 0.01 b | 0.22 ± 0.01 a |
| HI | 0.030 ± 0.01 a | 0.010 ± 0 a | 0.050 ± 0.01 a | 0.020 ± 0.01 a |
| DDI | 4.7 ± 0.3 b | 4.9 ± 0.2 b | 6.2 ± 0.2 a | 4.7 ± 0.2 b |
Disclaimer/Publisher’s Note: The statements, opinions and data contained in all publications are solely those of the individual author(s) and contributor(s) and not of MDPI and/or the editor(s). MDPI and/or the editor(s) disclaim responsibility for any injury to people or property resulting from any ideas, methods, instructions or products referred to in the content. |
© 2024 by the authors. Licensee MDPI, Basel, Switzerland. This article is an open access article distributed under the terms and conditions of the Creative Commons Attribution (CC BY) license (https://creativecommons.org/licenses/by/4.0/).
Share and Cite
Li, X.; Gao, Y.; Liu, Z.; Liu, J. Enhanced Soil Carbon Stability through Alterations in Components of Particulate and Mineral-Associated Organic Matter in Reclaimed Saline–Alkali Drainage Ditches. Agronomy 2024, 14, 869. https://doi.org/10.3390/agronomy14040869
Li X, Gao Y, Liu Z, Liu J. Enhanced Soil Carbon Stability through Alterations in Components of Particulate and Mineral-Associated Organic Matter in Reclaimed Saline–Alkali Drainage Ditches. Agronomy. 2024; 14(4):869. https://doi.org/10.3390/agronomy14040869
Chicago/Turabian StyleLi, Xiangrong, Yang Gao, Zhen Liu, and Jiabin Liu. 2024. "Enhanced Soil Carbon Stability through Alterations in Components of Particulate and Mineral-Associated Organic Matter in Reclaimed Saline–Alkali Drainage Ditches" Agronomy 14, no. 4: 869. https://doi.org/10.3390/agronomy14040869
APA StyleLi, X., Gao, Y., Liu, Z., & Liu, J. (2024). Enhanced Soil Carbon Stability through Alterations in Components of Particulate and Mineral-Associated Organic Matter in Reclaimed Saline–Alkali Drainage Ditches. Agronomy, 14(4), 869. https://doi.org/10.3390/agronomy14040869

