Assessment of Yield and Quality of Eggplant (Solanum melongena L.) Fruits Improved by Biodegradable Mulching Film in Two Different Regions of Southern Italy
Abstract
1. Introduction
2. Materials and Methods
2.1. Experimental Sites and Design
2.2. Plant Material and Crop Management
2.3. Meteorological Data
2.4. Yield Measurements
2.5. Analysis of Fruit Firmness and Colorimetry
2.6. Qualitative Analysis
2.7. Statistical Analysis
3. Results
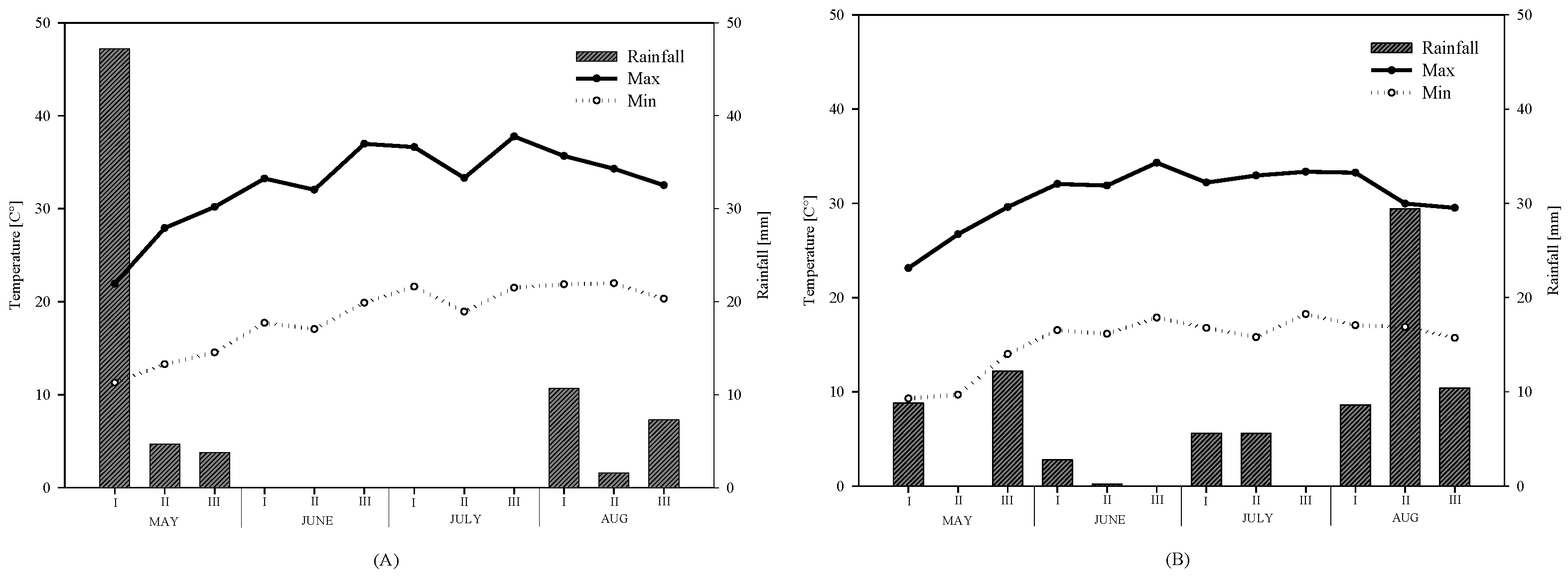
3.1. Rainfall and Air Temperature Trends at the Two Experimental Sites
3.2. Yield Parameters
3.3. Qualitative Parameters
3.4. Antioxidant Activity and Bioactive Compounds
3.5. Chlorophyll, Nitrate and Protein Content
3.6. Color Parameters
4. Discussion
5. Conclusions
Author Contributions
Funding
Data Availability Statement
Acknowledgments
Conflicts of Interest
References
- Prabhu, M.; Natarajan, S.; Veeraragavathatham, D.; Pugalendhi, L. The biochemical basis of shoot and fruit borer resistance in interspecific progenies of brinjal (Solanum melongena). Eurasia J. Biosci. 2009, 3, 50–57. [Google Scholar] [CrossRef]
- Saxena, R.; Diwakar, R. Biochemical analysis of chlorophyll content of brinjal leaves. Vegetos 2012, 25, 83–85. [Google Scholar]
- Food and Agriculture Organization Corporate Statistical Database. Available online: https://www.fao.org/faostat/en/#home (accessed on 10 September 2023).
- Godfray, H.C.J.; Beddington, J.R.; Crute, I.R.; Haddad, L.; Lawrence, D.; Muir, J.F.; Pretty, J.; Robinson, S.; Thomas, S.M.; Toulmin, C. Food security: The challenge of feeding 9 billion people. Science 2010, 327, 812–818. [Google Scholar] [CrossRef]
- Lopes, W.D.A.; Negreiros, M.Z.D.; Dombroski, J.L.D.; Rodrigues, G.S.D.O.; Soares, A.M.; Araújo, A.D.P. Análise do crescimento de tomate‘SM-16’cultivado sob diferentes coberturas de solo. Hortic. Bras. 2011, 29, 554–561. [Google Scholar] [CrossRef]
- Morra, L.; Bilotto, M.; Cerrato, D.; Coppola, R.; Leone, V.; Mignoli, E.; Pasquariello, M.S.; Petriccione, M.; Cozzolino, E. The Mater-Bi® biodegradable film for strawberry (Fragaria x ananassa Duch.) mulching: Effects on fruit yield and quality. Ital. J. Agron. 2016, 11, 203–206. [Google Scholar] [CrossRef]
- Immirzi, B.; Santagata, G.; Vox, G.; Schettini, E. Preparation, characterisation and field-testing of a biodegradable sodium alginate-based spray mulch. Biosyst. Eng. 2009, 102, 461–472. [Google Scholar] [CrossRef]
- Steinmetz, Z.; Wollmann, C.; Schaefer, M.; Buchmann, C.; David, J.; Tröger, J.; Muñoz, K.; Frör, O.; Schaumann, G.E. Plastic mulching in agriculture. Trading short-term agronomic benefits for long-term soil degradation. Sci. Total Environ. 2016, 550, 690–705. [Google Scholar] [CrossRef]
- Tarara, J.M. Microclimate modification with plastic mulch. Hortic. Sci. 2000, 35, 169–180. [Google Scholar] [CrossRef]
- Qi, Y.; Ossowicki, A.; Yang, X.; Lwanga, E.H.; Dini-Andreote, F.; Geissen, V.; Garbeva, P. Effects of plastic mulch film residues on wheat rhizosphere and soil properties. J. Hazard. Mater. 2020, 387, 121711. [Google Scholar] [CrossRef]
- Miles, C.; DeVetter, L.; Ghimire, S.; Hayes, D.G. Suitability of biodegradable plastic mulches for organic and sustainable agricultural production systems. Hortic. Sci. 2017, 52, 10–15. [Google Scholar] [CrossRef]
- Kasirajan, S.; Ngouajio, M. Polyethylene and biodegradable mulches for agricultural applications: A review. Agron. Sustain. Dev. 2012, 32, 501–529. [Google Scholar] [CrossRef]
- Martín-Closas, L.; Costa, J.; Pelacho, A.M. Agronomic effects of biodegradable films on crop and field environment. In Soil Degradable Bioplastics for a Sustainable Modern Agriculture, 1st ed.; Malinconico, M., Ed.; Springer: Berlin/Heidelberg, Germany, 2017; Volume 1, pp. 67–104. [Google Scholar] [CrossRef]
- Briassoulis, D.; Giannoulis, A. Evaluation of the functionality of bio-based plastic mulching films. Polym. Test. 2018, 67, 99–109. [Google Scholar] [CrossRef]
- Ghimire, S. Biodegradable Mulch for Pumpkin and Sweet Corn Production: Crop Yield and Quality, and Mulch Degradation, 2nd ed.; ProQuest: Ann Arbor, MI, USA; ProQuest Washington State University: Bellingham, WA, USA, 2018. [Google Scholar]
- DeVetter, L.W.; Zhang, H.; Ghimire, S.; Watkinson, S.; Miles, C.A. Plastic biodegradable mulches reduce weeds and promote crop growth in day-neutral strawberry in western Washington. Hortic. Sci. 2017, 52, 1700–1706. [Google Scholar] [CrossRef]
- Di Mola, I.; Cozzolino, E.; Ottaiano, L.; Riccardi, R.; Spigno, P.; Petriccione, M.; Fiorentino, N.; Fagnano, M.; Mori, M. Biodegradable Mulching Film vs. Traditional Polyethylene: Effects on Yield and Quality of San Marzano Tomato Fruits. Plants 2023, 12, 3203. [Google Scholar] [CrossRef]
- Di Mola, I.; Cozzolino, E.; Ottaiano, L.; Riccardi, R.; Spigno, P.; Fagnano, M.; Mori, M. Agronomic and environmental benefits of ‘re-using’a biodegradable mulching film for two consecutive lettuce cycles. Ital. J. Agron. 2022, 17, 2061. [Google Scholar] [CrossRef]
- Cozzolino, E.; Di Mola, I.; Ottaiano, L.; Bilotto, M.; Petriccione, M.; Ferrara, E.; Mori, M.; Morra, L. Assessing Yield and Quality of Melon (Cucumis melo L.) Improved by Biodegradable Mulching Film. Plants 2023, 12, 219. [Google Scholar] [CrossRef]
- Kapanen, A.; Schettini, E.; Vox, G.; Itävaara, M. Performance and environmental impact of biodegradable films in agriculture: A field study on protected cultivation. J. Polym. Environ. 2008, 16, 109–122. [Google Scholar] [CrossRef]
- Schettini, E.; Vox, G.; De Lucia, B. Effects of the radiometric properties of innovative biodegradable mulching materials on snapdragon cultivation. Sci. Hortic. 2007, 112, 456–461. [Google Scholar] [CrossRef]
- Filippi, F.; Magnani, G.; Guerrini, S.; Ranghino, F. Agronomic evaluation of green biodegradable mulch on melon. Ital. J. Agron. 2011, 6, e18. [Google Scholar] [CrossRef]
- Sintim, H.Y.; Bary, A.I.; Hayes, D.G.; Wadsworth, L.C.; Anunciado, M.B.; English, M.E.; Bandopadhyay, S.; Schaeffer, S.M.; DeBruyn, J.M.; Miles, C.A.; et al. In situ degradation of biodegradable plastic mulch films in compost and agricultural soils. Sci. Total Environ. 2020, 727, 138668. [Google Scholar] [CrossRef]
- Zahed, Z.; Mufti, S.; Kumar, S.S.; Wani, O.A.; Mushtaq, F.; Rasool, R.; Babu, S.; Abidi, I.; Gaber, A.; Hossain, A. Organic and inorganic mulches combination improves the productivity, quality and profitability of rainfed potato in the temperate himalayan region. Gesunde Pflanz. 2022, 74, 1109–1122. [Google Scholar] [CrossRef]
- Vox, G.; Schettini, E.; Scarascia-Mugnozza, G. Radiometric properties of biodegradable films for horticultural protected cultivation. Acta Hortic. 2005, 691, 575–582. [Google Scholar] [CrossRef]
- Acharya, C.L.; Hati, K.M.; Bandyopadhyay, K.K. Mulches. In Encyclopedia of Soils in the Environment, 2nd ed.; Hillel, D., Rosenzweig, C., Pawlson, D.S., Scow, K.M., Sorger, M.J., Sparks, D.L., Hatfield, J., Eds.; ScienceDirect: ScienceDirect Columbia University: New York, NY, USA, 2005; Volume 5, pp. 521–532. [Google Scholar]
- Vegetables by Bayer. Available online: https://www.vegetables.bayer.com/it/itit/prodotti/melanzana/details.html/eggplant_mirabelle_italy_seminis_all_greope_all.html (accessed on 10 September 2023).
- Hargreaves, G.H.; Samani, Z.A. Reference crop evapotranspiration from temperature. Appl. Eng. Agric. 1985, 1, 96–99. [Google Scholar] [CrossRef]
- Servizio Informativo Agrometeorologico Siciliano. Available online: http://www.sias.regione.sicilia.it/ (accessed on 10 September 2023).
- Regione Campania Agricoltura. Available online: http://www.agricoltura.regione.campania.it/meteo/archivio_meteo.html (accessed on 10 September 2023).
- Lichtenthaler, H.K.; Wellburn, A.R. Determinations of total carotenoids and chlorophylls a and b of leaf extracts in different solvents. Biochem. Soc. Trans. 1983, 11, 591–592. [Google Scholar] [CrossRef]
- Kampfenkel, K.; Vanmontagu, M.; Inzé, D. Extraction and determination of ascorbate and dehydroascorbate from plant tissue. Anal. Biochem. 1995, 225, 165–167. [Google Scholar] [CrossRef] [PubMed]
- Singleton, V.L.; Orthofer, R.; Lamuela-Raventós, R.M. [14] Analysis of total phenols and other oxidation substrates and antioxidants by means of folin-ciocalteu reagent. Methods Enzymol. 1999, 299, 152–178. [Google Scholar] [CrossRef]
- Fogliano, V.; Verde, V.; Randazzo, G.; Ritieni, A. Method for measuring antioxidant activity and its application to monitoring the antioxidant capacity of wines. J. Agric. Food Chem. 1999, 47, 1035–1040. [Google Scholar] [CrossRef] [PubMed]
- Re, R.; Pellegrini, N.; Proteggente, A.; Pannala, A.; Yang, M.; Rice-Evans, C. Antioxidant activity applying an improved ABTS radical cation decolorization assay. Free Radic. Biol. Med. 1999, 26, 1231–1237. [Google Scholar] [CrossRef] [PubMed]
- Sah, R.N. Nitrate-nitrogen determination—A critical review. Commun. Soil Sci. Plant Anal. 1994, 25, 2841–2869. [Google Scholar] [CrossRef]
- Consentino, B.B.; Sabatino, L.; Vultaggio, L.; Rotino, G.L.; La Placa, G.G.; D’Anna, F.; Leto, C.; Iacuzzi, N.; De Pasquale, C. Grafting eggplant onto underutilized Solanum species and biostimulatory action of Azospirillum brasilense modulate growth, yield, nue and nutritional and functional traits. Horticulturae 2022, 8, 722. [Google Scholar] [CrossRef]
- Moreno, M.M.; Cirujeda, A.; Aibar, J. Soil thermal and productive responses of biodegradable mulch materials in a processing tomato (Lycopersicon esculentum Mill.) crop. Soil Res. 2016, 54, 207–221. [Google Scholar] [CrossRef]
- Costa, R.; Saraiva, A.; Carvalho, L.; Duarte, E. The use of biodegradable mulch films on strawberry crop in Portugal. Sci. Hortic. 2014, 173, 65–70. [Google Scholar] [CrossRef]
- Waterer, D. Evaluation of biodegradable mulches for production of warm-season vegetable crops. Can. J. Plant Sci. 2010, 90, 737–743. [Google Scholar] [CrossRef]
- Alam, I.; Salimullah, M. Genetic engineering of eggplant (Solanum melongena L.): Progress, controversy and potential. Horticulturae 2021, 7, 78. [Google Scholar] [CrossRef]
- Mohideen, M.K.; Muthukrishnan, C.R.; Rajagopal, A.; Metha, V.A. Studies on the rate of flowering, flower types and fruit set in relation to yielding potential of certain eggplant (Solanum melongena L.) varieties with reference to weather conditions. South Indian Hortic. 1977, 25, 56–61. [Google Scholar]
- Gajewski, M.; Arasimowicz, D. Sensory quality of eggplant fruits (Solanum melongena L.) as affected by cultivar and maturity stage. Pol. J. Food Nutr. Sci. 2004, 13, 249–254. [Google Scholar]
- Dalbianco, A.B.; Santi, A.; Oliveira, R.C.D.; Borges, C.V.; Daniel, D.F.; Trento, D.A.; Dipple, F.L.; Dallacort, R.; Seabra Júnior, S. Can Soil Cover Affect the Performance, Yield, and Quality of Creeping Fresh Market Tomato Hybrids? Horticulturae 2023, 9, 574. [Google Scholar] [CrossRef]
- Portis, E.; Cericola, F.; Barchi, L.; Toppino, L.; Acciarri, N.; Pulcini, L.; Sala, T.; Laneri, S.; Rotino, G.L. Association mapping for fruit, plant and leaf morphology traits in eggplant. PLoS ONE 2015, 10, e0135200. [Google Scholar] [CrossRef] [PubMed]
- Radicetti, E.; Massantini, R.; Campiglia, E.; Mancinelli, R.; Ferri, S.; Moscetti, R. Yield and quality of eggplant (Solanum melongena L.) as affected by cover crop species and residue management. Sci. Hortic. 2016, 204, 161–171. [Google Scholar] [CrossRef]
- Díaz-Pérez, J.C.; Muy-Rangel, M.D.; Mascorro, A.G. Fruit size and stage of ripeness affect postharvest water loss in bell pepper fruit (Capsicum annuum L.). HortScience 2006, 41, 504A–504. [Google Scholar] [CrossRef]
- Cowan, J.S.; Miles, C.A.; Andrews, P.K.; Inglis, D.A. Biodegradable mulch performed comparably to polyethylene in high tunnel tomato (Solanum lycopersicum L.) production. J. Sci. Food Agric. 2014, 94, 1854–1864. [Google Scholar] [CrossRef] [PubMed]
- Moreno, C.; Mancebo, I.; Tarquis, A.M.; Moreno, M.M. Univariate and multivariate analysis on processing tomato quality under different mulches. Sci. Agric. 2014, 71, 114–119. [Google Scholar] [CrossRef]
- Tahir, S.; Marschner, P. Clay addition to sandy soil reduces nutrient leaching—Effect of clay concentration and ped size. Commun. Soil Sci. Plant Anal. 2017, 48, 1813–1821. [Google Scholar] [CrossRef]
- Ding, S.J.; Zhang, X.F.; Yang, W.L.; Xin, X.L.; Zhu, A.N.; Huang, S.M. Soil nutrients and aggregate composition of four soils with contrasting textures in a long-term experiment. Eurasian Soil Sci. 2021, 54, 1746–1755. [Google Scholar] [CrossRef]
- Liu, Y.; Tikunov, Y.; Schouten, R.E.; Marcelis, L.F.; Visser, R.G.; Bovy, A. Anthocyanin biosynthesis and degradation mechanisms in Solanaceous vegetables: A review. Front. Chem. 2018, 6, 52. [Google Scholar] [CrossRef] [PubMed]
- Plazas, M.; Andujar, I.; Vilanova, S.; Hurtado, M.; Gramazio, P.; Herraiz, F.J.; Prohens, J. Breeding for chlorogenic acid content in eggplant: Interest and prospects. Not. Bot. Horti Agrobot. Cluj-Napoca 2013, 41, 26–35. [Google Scholar] [CrossRef]
- Morra, L.; Cozzolino, E.; Salluzzo, A.; Modestia, F.; Bilotto, M.; Baiano, S.; del Piano, L. Plant Growth, Yields and Fruit Quality of Processing Tomato (Solanum lycopersicon L.) as Affected by the Combination of Biodegradable Mulching and Digestate. Agronomy 2021, 11, 100. [Google Scholar] [CrossRef]
- Morra, L.; Bilotto, M.; Mignoli, E.; Sicignano, M.; Magri, A.; Cice, D.; Cozzolino, R.; Malorni, L.; Siano, F.; Picariello, G.; et al. New Mater-Bi, Biodegradable Mulching Film for Strawberry (Fragaria × Ananassa Duch.): Effects on Film Duration, Crop Yields, Qualitative, and Nutraceutical Traits of Fruits. Plants 2022, 11, 1726. [Google Scholar] [CrossRef] [PubMed]
- Cao, G.; Sofic, E.; Prior, R.L. Antioxidant capacity of tea and common vegetables. J. Agric. Food Chem. 1996, 44, 3426–3431. [Google Scholar] [CrossRef]
- Singh, A.P.; Luthria, D.; Wilson, T.; Vorsa, N.; Singh, V.; Banuelos, G.S.; Pasakdee, S. Polyphenols content and antioxidant capacity of eggplant pulp. Food Chem. 2009, 114, 955–961. [Google Scholar] [CrossRef]
- Canene-Adams, K.; Campbell, J.K.; Zaripheh, S.; Jeffery, E.H.; Erdman, J.W. The tomato as a functional food. J. Nutr. 2005, 135, 1226–1230. [Google Scholar] [CrossRef] [PubMed]
- Campbell, J.K.; Canene-Adams, K.; Lindshield, B.L.; Boileau, T.W.M.; Clinton, S.K.; Erdman, J.W. Tomato phytochemicals and prostate cancer risk. J. Nutr. 2004, 134, 3486–3492. [Google Scholar] [CrossRef] [PubMed]
- Bhuvaneswari, V.; Nagini, S. Lycopene. A review of its potential as an anticancer agent. Curr. Med. Chem. Anti-Cancer Agent. 2005, 5, 627–635. [Google Scholar] [CrossRef] [PubMed]
- Luthria, D.L. A simplified UV spectral scan method for the estimation of phenolic acids and antioxidant capacity in eggplant pulp extracts. J. Funct. Foods 2012, 4, 238–242. [Google Scholar] [CrossRef]
- Braga, P.C.; Scalzo, R.L.; Dal Sasso, M.; Lattuada, N.; Greco, V.; Fibiani, M. Characterization and antioxidant activity of semi-purified extracts and pure delphinidin-glycosides from eggplant peel (Solanum melongena L.). J. Funct. Foods 2016, 20, 411–421. [Google Scholar] [CrossRef]
- Peksen, A.; Ates, U.; Ic, S.; Ozturk, B. Impact of Biodegradable Mulches on Qualitative Characteristics and Bioactive Compounds of Capia Pepper (Capsicum annum L.) Under Cold Storage. J. Soil Sci. Plant Nutr. 2023, 23, 4412–4425. [Google Scholar] [CrossRef]
- Kaur, J.; Singh, K.; Singh, K.G.; Sharma, S.P.; Talwar, D. Effect of drip irrigation, fertigation and mulch on quality of muskmelon. J. Agric. Res. 2021, 58, 1060. [Google Scholar] [CrossRef]
- Sekara, A.; Pokluda, R.; Cozzolino, E.; del Piano, L.; Cuciniello, A.; Caruso, G. Plant growth, yield, and fruit quality of tomato affected by biodegradable and non-degradable mulches. Hortic. Sci. 2019, 46, 138–145. [Google Scholar] [CrossRef]
- Prohens, J.; Rodriguez-Burruezo, A.; Raigon, M.D.; Nuez, F. Total phenolic concentration and browning susceptibility in a collection of different varietal types and hybrids of eggplant: Implications for breeding for higher nutritional quality and reduced browning. J. Am. Soc. Hortic. Sci. 2007, 132, 638–646. [Google Scholar] [CrossRef]
- Kacjan Maršić, N.; Mikulic-Petkovsek, M.; Stampar, F. Grafting influences phenolic profile and carpometric traits of fruits of greenhouse-grown eggplant (Solanum melongena L.). J. Agric. Food Chem. 2014, 62, 10504–10514. [Google Scholar] [CrossRef] [PubMed]
- Esteban, R.M.; Molla, E.M.; Robredo, L.M.; Lopezandreu, F.J. Changes in the chemical-composition of eggplant fruits during development and ripening. J. Agric. Food Chem. 1992, 40, 998–1000. [Google Scholar] [CrossRef]
- Ayyar, S. Mulching and fertigation on the yield and quality of tomato. Int. J. Chem. Stud. 2019, 7, 2539–2541. [Google Scholar] [CrossRef]
- Dumas, Y.; Dadomo, M.; Di Lucca, G.; Grolier, P. Effects of environmental factors and agricultural techniques on antioxidant content of tomatoes. J. Sci. Food Agric. 2003, 83, 369–382. [Google Scholar] [CrossRef]
- Gautier, H.; Massot, C.; Stevens, R.; Sérino, S.; Génard, M. Regulation of tomato fruit ascorbate content is more highly dependent on fruit irradiance than leaf irradiance. Ann. Bot. 2009, 103, 495–504. [Google Scholar] [CrossRef] [PubMed]
- Raffo, A.; La Malfa, G.; Fogliano, V.; Maiani, G.; Quaglia, G. Seasonal variations in antioxidant components of cherry tomatoes (Lycopersicon esculentum cv. Naomi F1). J. Food Comp. Anal. 2006, 19, 11–19. [Google Scholar] [CrossRef]
- Evans, J.R. Photosynthesis and nitrogen relationships in leaves of C3 plants. Oecologia 1989, 78, 9–19. [Google Scholar] [CrossRef] [PubMed]
- Brand, A.; Borovsky, Y.; Hill, T.; Rahman, K.A.A.; Bellalou, A.; Van Deynze, A.; Paran, I. CaGLK2 regulates natural variation of chlorophyll content and fruit color in pepper fruit. Theor. Appl. Genet. 2014, 127, 2139–2148. [Google Scholar] [CrossRef]
- Mennella, G.; Lo Scalzo, R.; Fibiani, M.; D’Alessandro, A.; Francese, G.; Toppino, L.; Acciarri, N.; de Almetida, A.E.; Rotino, G.L. Chemical and bioactive quality traits during fruit ripening in eggplant (S. melongena L.) and allied species. J. Agric. Food Chem. 2012, 60, 11821–11831. [Google Scholar] [CrossRef]









| Parameters | Unit of Measure | Sicily | Campania |
|---|---|---|---|
| Sand | % | 64 | 35 |
| Silt | % | 13 | 25 |
| Clay | % | 23 | 40 |
| N total | g kg−1 | 1.3 | 0.9 |
| P2O5 | mg kg−1 | 21 | 69 |
| K2O | mg kg−1 | 136 | 311 |
| Organic matter | % | 1.46 | 1.50 |
| pH | 7.0 | 6.9 |
| Treatments | MY | NMY | MF | NMF | AMFW | ANMFW |
|---|---|---|---|---|---|---|
| [kg m−2] | [kg m−2] | [n. m−2] | [n. m−2] | [g] | [g] | |
| Region (R) | ||||||
| Sicily | 7.6 ± 0.6 | 1.5 ± 0.2 a | 57.9 ± 4.1 a | 11.4 ± 1.1 a | 130.0 ± 2.9 b | 134.3 ± 6.9 a |
| Campania | 7.4 ± 0.2 | 0.9 ± 0.1 b | 41.1 ± 0.9 b | 9.1 ± 0.3 b | 180.9 ± 1.4 a | 104.2 ± 1.6 b |
| Mulching (M) | ||||||
| BS | 5.4 ± 0.5 c | 0.9 ± 0.1 b | 36.5 ± 0.6 c | 7.6 ± 1.0 b | 156.5 ± 12.1 a | 116.4 ± 7.9 |
| LDPE | 7.8 ± 0.1 b | 1.4 ± 0.2 a | 51.1 ± 4.6 b | 12.1 ± 1.3 a | 157.9 ± 12.6 a | 115.2 ± 3.1 |
| BION1 | 8.5 ± 0.2 a | 1.3 ± 0.2 a | 54.3 ± 4.2 a | 10.6 ± 1.1 a | 161.2 ± 10.2 a | 123.0 ± 12.4 |
| BION4 | 8.4 ± 0.4 a | 1.4 ± 0.2 a | 56.1 ± 6.8 a | 10.7 ± 0.9 a | 146.4 ± 11.4 b | 122.4 ± 9.3 |
| Significance | p-value | |||||
| R | 0.173 | 0.000 | 0.000 | 0.000 | 0.000 | 0.000 |
| M | 0.000 | 0.000 | 0.000 | 0.000 | 0.003 | 0.059 |
| R × M | 0.000 | 0.000 | 0.000 | 0.000 | 0.589 | 0.004 |
| Treatments | Firmness | Dry Matter |
|---|---|---|
| [N] | [%] | |
| Region (R) | ||
| Sicily | 25.3 ± 0.7 a | 6.8 ± 0.1 b |
| Campania | 16.2 ± 0.2 b | 8.5 ± 0.1 a |
| Mulching (M) | ||
| BS | 21.0 ± 1.9 ab | 7.8 ± 0.5 |
| LDPE | 22.0 ± 3.0 a | 7.4 ± 0.3 |
| BION1 | 20.0 ± 1.8 b | 7.4 ± 0.4 |
| BION4 | 20.0 ± 1.6 b | 7.8 ± 0.4 |
| Significance | p-value | |
| R | 0.000 | 0.000 |
| M | 0.014 | 0.100 |
| R × M | 0.000 | 0.177 |
| HAA | LAA | Total Phenols | Ascorbic Acid | |
|---|---|---|---|---|
| [mM AA eq. 100 g−1 dw] | [mM Trolox eq. 100 g−1 dw] | [mg GA g−1 dw] | [mg 100 g−1 fw] | |
| Region (R) | ||||
| Sicily | 5.0 ± 0.4 a | 21.4 ± 1.3 | 2.9 ± 0.3 | 39.6 ± 3.2 b |
| Campania | 3.7 ± 0.3 b | 20.1 ± 2.0 | 2.5 ± 0.1 | 69.5 ± 3.5 a |
| Mulching (M) | ||||
| BS | 4.3 ± 0.5 | 17.4 ± 0.8 bc | 2.1 ± 0.1 b | 39.9 ± 5.5 b |
| LDPE | 4.7 ± 0.4 | 16.2 ± 2.5 c | 2.5 ± 0.3 ab | 64.4 ± 6.1 a |
| BION1 | 5.0 ± 0.9 | 25.5 ± 1.1 a | 3.0 ± 0.4 a | 55.4 ± 9.3 a |
| BION4 | 3.5 ± 0.4 | 24.0 ± 1.7 ab | 3.1 ± 0.2 a | 58.5 ± 7.6 a |
| Significance | p-value | |||
| R | 0.013 | 0.453 | 0.141 | 0.000 |
| M | 0.215 | 0.002 | 0.048 | 0.000 |
| R × M | 0.000 | 0.000 | 0.170 | 0.113 |
| Chlorophyll a | Chlorophyll b | Tot. Chlorophyll | N-NO3 | Proteins | |
|---|---|---|---|---|---|
| [mg g−1 fw] | [mg g−1 fw] | [mg g−1 fw] | [% dw] | [%] | |
| Region (R) | |||||
| Sicily | 0.020 ± 0.004 b | 0.016 ± 0.003 b | 0.036 ± 0.006 b | 0.027 ± 0.005 b | 11.5 ± 0.2 b |
| Campania | 0.050 ± 0.007 a | 0.027 ± 0.003 a | 0.077 ± 0.009 a | 0.071 ± 0.006 a | 14.6 ± 0.3 a |
| Mulching (M) | |||||
| BS | 0.040 ± 0.012 | 0.023 ± 0.005 | 0.063 ± 0.016 | 0.057 ± 0.017 | 13.1 ± 1.0 |
| LDPE | 0.031 ± 0.006 | 0.019 ± 0.003 | 0.050 ± 0.009 | 0.059 ± 0.012 | 13.2 ± 0.7 |
| BION1 | 0.032 ± 0.013 | 0.018 ± 0.007 | 0.050 ± 0.019 | 0.046 ± 0.012 | 13.0 ± 0.6 |
| BION4 | 0.036 ± 0.008 | 0.025 ± 0.004 | 0.061 ± 0.011 | 0.034 ± 0.003 | 12.9 ± 0.6 |
| Significance | p-value | ||||
| R | 0.001 | 0.011 | 0.002 | 0.000 | 0.000 |
| M | 0.856 | 0.482 | 0.766 | 0.118 | 0.912 |
| R × M | 0.383 | 0.094 | 0.251 | 0.000 | 0.529 |
| L* | C | H | |
|---|---|---|---|
| Region (R) | |||
| Sicily | 25.5 ± 0.2 a | 5.5 ± 0.4 b | 0.13 ± 0.02 a |
| Campania | 23.0 ± 0.4 b | 6.8 ± 0.3 a | 0.02 ± 0.01 b |
| Mulching (M) | |||
| BS | 24.0 ± 0.9 ab | 5.6 ± 0.3 | 0.04 ± 0.03 |
| LDPE | 23.5 ± 0.8 b | 5.9 ± 0.6 | 0.07 ± 0.02 |
| BION1 | 24.7 ± 0.4 ab | 6.6 ± 0.7 | 0.11 ± 0.05 |
| BION4 | 25.0 ± 0.5 a | 6.3 ± 0.4 | 0.07 ± 0.02 |
| Significance | p-value | ||
| R | 0.000 | 0.015 | 0.000 |
| M | 0.028 | 0.433 | 0.078 |
Disclaimer/Publisher’s Note: The statements, opinions and data contained in all publications are solely those of the individual author(s) and contributor(s) and not of MDPI and/or the editor(s). MDPI and/or the editor(s) disclaim responsibility for any injury to people or property resulting from any ideas, methods, instructions or products referred to in the content. |
© 2024 by the authors. Licensee MDPI, Basel, Switzerland. This article is an open access article distributed under the terms and conditions of the Creative Commons Attribution (CC BY) license (https://creativecommons.org/licenses/by/4.0/).
Share and Cite
Di Miceli, G.; Iacuzzi, N.; Leto, C.; Cozzolino, E.; Di Mola, I.; Ottaiano, L.; Mori, M.; Bella, S.L. Assessment of Yield and Quality of Eggplant (Solanum melongena L.) Fruits Improved by Biodegradable Mulching Film in Two Different Regions of Southern Italy. Agronomy 2024, 14, 867. https://doi.org/10.3390/agronomy14040867
Di Miceli G, Iacuzzi N, Leto C, Cozzolino E, Di Mola I, Ottaiano L, Mori M, Bella SL. Assessment of Yield and Quality of Eggplant (Solanum melongena L.) Fruits Improved by Biodegradable Mulching Film in Two Different Regions of Southern Italy. Agronomy. 2024; 14(4):867. https://doi.org/10.3390/agronomy14040867
Chicago/Turabian StyleDi Miceli, Giuseppe, Nicolò Iacuzzi, Claudio Leto, Eugenio Cozzolino, Ida Di Mola, Lucia Ottaiano, Mauro Mori, and Salvatore La Bella. 2024. "Assessment of Yield and Quality of Eggplant (Solanum melongena L.) Fruits Improved by Biodegradable Mulching Film in Two Different Regions of Southern Italy" Agronomy 14, no. 4: 867. https://doi.org/10.3390/agronomy14040867
APA StyleDi Miceli, G., Iacuzzi, N., Leto, C., Cozzolino, E., Di Mola, I., Ottaiano, L., Mori, M., & Bella, S. L. (2024). Assessment of Yield and Quality of Eggplant (Solanum melongena L.) Fruits Improved by Biodegradable Mulching Film in Two Different Regions of Southern Italy. Agronomy, 14(4), 867. https://doi.org/10.3390/agronomy14040867

