Effects of Different Organic Fertilizer Substitutions for Chemical Nitrogen Fertilizer on Soil Fertility and Nitrogen Use Efficiency of Foxtail Millet
Abstract
1. Introduction
2. Materials and Methods
2.1. Overview of the Test Site
2.2. Test Materials
2.3. Experimental Design
2.4. Test Methods and Calculation Formulas
2.4.1. Soil Physical Properties
2.4.2. Soil Chemical Properties
2.4.3. Soil Enzyme Activity
2.4.4. Yield and Composition
2.4.5. Dry Matter Accumulation and Nitrogen Content in Each Part of the Plant
2.4.6. Calculation Method for Nitrogen Fertilizer Utilization Efficiency
2.5. Data Analysis
3. Results
3.1. Effect of Replacing Chemical Nitrogen Fertilizer with Different Organic Fertilizers on Soil Physical Properties
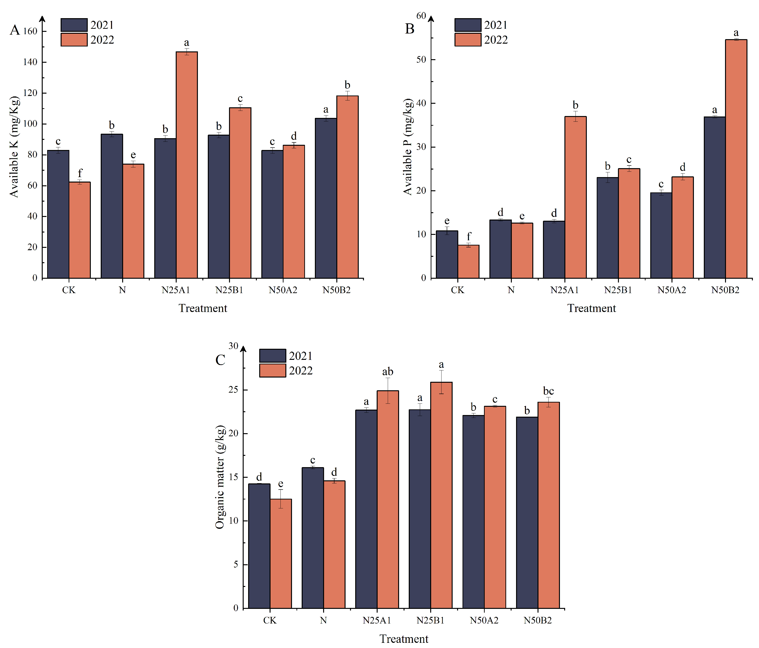
3.2. Effect of Replacing Chemical Fertilizer with Different Organic Fertilizers on Soil Nutrients
3.3. Effects of Replacing Chemical Fertilizer with Different Organic Fertilizers on Soil Enzyme Activities
3.4. Correlation between Soil Quality Evaluation Indicators
3.5. Effects of Different Organic Fertilizers on Foxtail Millet Yield and Nitrogen Accumulation
3.6. Effects of Replacing Chemical Fertilizer with Different Organic Fertilizers on Nitrogen Content in Different Parts of Foxtail Millet
3.7. Effects of Replacing Chemical Fertilizer with Different Organic Fertilizers on Nitrogen Use Efficiency of Foxtail Millet
4. Discussion
4.1. Effect of Replacing Chemical Fertilizer with Organic Fertilizer on Soil Physical Quality
4.2. Effect of Replacing Chemical Fertilizer with Organic Fertilizer on Soil Nutrients
4.3. Effect of Replacing Chemical Fertilizer with Organic Fertilizer on Soil Enzyme Activity
4.4. Effect of Replacing Chemical Fertilizer with Organic Fertilizer on Foxtail Millet Yield and Nitrogen Use Efficiency
5. Conclusions
Author Contributions
Funding
Data Availability Statement
Acknowledgments
Conflicts of Interest
References
- Yousaf, L.; Hou, D.; Liaqat, H.; Shen, Q. Millet: A review of its nutritional and functional changes during processing. Food Res. Int. 2021, 142, 110197. [Google Scholar] [CrossRef] [PubMed]
- Diao, X.M. Progresses in stress tolerance and field cultivation studies of orphan cereals in China. Sci. Agric. Sin. 2019, 52, 3943–3949. [Google Scholar] [CrossRef]
- Wang, J.; Qin, L.; Cheng, J.; Shang, C.; Li, B.; Dang, Y.; He, H. Suitable chemical fertilizer reduction mitigates the water footprint of maize production: Evidence from Northeast China. Environ. Sci. Pollut. Res. 2022, 29, 22589–22601. [Google Scholar] [CrossRef] [PubMed]
- Liu, Y.; Lv, Z.; Hou, H.; Lan, X.; Ji, J.; Liu, X. Long-term effects of combination of organic and inorganic fertilizer on soil properties and microorganisms in a Quaternary Red Clay. PLoS ONE 2021, 16, e0261387. [Google Scholar] [CrossRef] [PubMed]
- Qaswar, M.; Huang, J.; Ahmed, W.; Li, D.; Liu, S.; Zhang, L.; Cai, A.; Liu, L.; Xu, Y.; Gao, J.; et al. Yield sustainability, soil organic carbon sequestration and nutrients balance under long-term combined application of manure and inorganic fertilizers in acidic paddy soil. Soil Till. Res. 2020, 198, 104569. [Google Scholar] [CrossRef]
- Jiang, Y.; Zhang, J.; Manuel, D.B.; Op de Beeck, M.; Shahbaz, M.; Chen, Y.; Deng, X.; Xu, Z.; Li, J.; Liu, Z. Rotation cropping and organic fertilizer jointly promote soil health and crop production. J. Environ. Manag. 2022, 315, 115190. [Google Scholar] [CrossRef] [PubMed]
- Zhang, X.; Gong, Z.; Allinson, G.; Xiao, M.; Li, X.; Jia, C.; Ni, Z. Environmental risks caused by livestock and poultry farms to the soils: Comparison of swine, chicken, and cattle farms. J. Environ. Manag. 2022, 317, 115320. [Google Scholar] [CrossRef] [PubMed]
- Li, P.; Zhu, F.; Wang, W.; Zhou, Y.; Yao, Y.; Hong, L.; Zhu, W.; Hong, C.; Liu, X.; Chen, H.; et al. Physicochemical properties and risk assessment of perishable waste primary products. J. Environ. Manag. 2023, 337, 117549. [Google Scholar] [CrossRef] [PubMed]
- Lu, W.; Li, J.; Luo, T.; Chen, L.; Zhang, L.; Liu, S. Effects of different organic fertilizer replacement rates on wheat yield and soil nutrients over three consecutive years. J. Plant Nutr. Fertil. 2021, 27, 1330–1338. [Google Scholar] [CrossRef]
- Chen, H.; Zheng, C.; Qiao, Y.; Du, S.; Li, W.; Zhang, X.; Zhao, Z.; Cao, C.; Zhang, W. Long-term organic and inorganic fertilization alters the diazotrophic abundance, community structure, and co-occurrence patterns in a vertisol. Sci. Total Environ. 2021, 766, 142441. [Google Scholar] [CrossRef]
- Wei, Z.; Hoffland, E.; Zhuang, M.; Hellegers, P.; Cui, Z. Organic inputs to reduce nitrogen export via leaching and runoff: A global meta-analysis. Environ. Pollut. 2021, 291, 118176. [Google Scholar] [CrossRef] [PubMed]
- Ren, F.; Sun, N.; Misselbrook, T.; Wu, L.; Xu, M.; Zhang, F.; Xu, W. Responses of crop productivity and reactive nitrogen losses to the application of animal manure to China’s main crops: A meta-analysis. Sci. Total Environ. 2022, 850, 158064. [Google Scholar] [CrossRef] [PubMed]
- Shi, X.; Hao, X.; Khan, A.; Li, N.; Li, J.; Shi, F.; Tian, Y.; Nepal, J.; Wang, J.; Luo, H. Increase in cotton yield through improved leaf physiological functioning under the soil condition of reduced chemical fertilization compensated by the enhanced organic liquid fertilization. Front. Plant Sci. 2023, 14, 1225939. [Google Scholar] [CrossRef] [PubMed]
- Yuan, G.; Zhang, G.-C.; Ding, H.; Yang, X.; Li, Z.-L.; Liang, X.-B. Effects of reducing nitrogen fertilizer application on agronomic traits and yield of peanut in dry land. Peanut Sci. 2019, 48, 30–35. [Google Scholar] [CrossRef]
- Hu, Y.; Li, D.; Wu, Y.; Liu, S.; Li, L.; Chen, W.; Wu, S.; Meng, Q.; Feng, H.; Siddique, K.H.M. Mitigating greenhouse gas emissions by replacing inorganic fertilizer with organic fertilizer in wheat-maize rotation systems in China. J. Environ. Manag. 2023, 344, 118494. [Google Scholar] [CrossRef] [PubMed]
- Shi, Y.; Niu, X.; Chen, B.; Pu, S.; Ma, H.; Li, P.; Feng, G.; Ma, X. Chemical fertilizer reduction combined with organic fertilizer affects the soil microbial community and diversity and yield of cotton. Front. Microbiol. 2023, 14, 1295722. [Google Scholar] [CrossRef] [PubMed]
- Redding, M.R.; Lewis, R.; Kearton, T.; Smith, O. Manure and sorbent fertilisers increase on-going nutrient availability relative to conventional fertilisers. Sci. Total Environ. 2016, 569, 927–936. [Google Scholar] [CrossRef] [PubMed]
- Sarkar, S.; Mukherjee, I. Effect of organic amendment on mobility behavior of flupyradifurone in two different Indian soils. Bull. Environ. Contam. Toxicol. 2021, 107, 160–166. [Google Scholar] [CrossRef] [PubMed]
- Farrell, M.; Hill, P.W.; Farrar, J.; Bardgett, R.D.; Jones, D.L. Seasonal variation in soluble soil carbon and nitrogen across a grassland productivity gradient. Soil. Biol. Biochem. 2011, 43, 835–844. [Google Scholar] [CrossRef]
- Wang, X.L.; Ye, J.; Perez, P.G.; Tang, D.M.; Huang, D.F. The impact of organic farming on the soluble organic nitrogen pool in horticultural soil under open field and greenhouse conditions: A case study. Soil. Sci. Plant Nutr. 2013, 59, 237–248. [Google Scholar] [CrossRef]
- Jin, N.; Jin, L.; Wang, S.; Li, J.; Liu, F.; Liu, Z.; Luo, S.; Wu, Y.; Lyu, J.; Yu, J. Reduced Chemical Fertilizer Combined with Bio-Organic Fertilizer Affects the Soil Microbial Community and Yield and Quality of Lettuce. Front. Microbiol. 2022, 13, 863325. [Google Scholar] [CrossRef]
- Li, Q.; Zhang, D.; Cheng, H.; Ren, L.; Jin, X.; Fang, W.; Yan, D.; Li, Y.; Wang, Q.; Cao, A. Organic fertilizers activate soil enzyme activities and promote the recovery of soil beneficial microorganisms after dazomet fumigation. J. Environ. Manag. 2022, 309, 114666. [Google Scholar] [CrossRef] [PubMed]
- Näsholm, T.; Huss-Danell, K.; Högberg, P. Uptake of organic nitrogen in the field by four agriculturally important plant species. Ecology 2000, 81, 1155–1161. [Google Scholar] [CrossRef]
- Cen, Y.; Guo, L.; Liu, M.; Gu, X.; Li, C.; Jiang, G. Using organic fertilizers to increase crop yield, economic growth, and soil quality in a temperate farmland. PeerJ 2020, 8, e9668. [Google Scholar] [CrossRef]
- Li, Y.; Xu, H.; Luo, H.; Liang, W.; Hu, S.; Huang, H.; Chen, S. Effect of Mealworm Worm Sand and Microbial Functional Bacteria on Nutritional Quality of Roman Lettuce. Anhui Agric. Sci. 2016, 44, 67–69. [Google Scholar] [CrossRef]
- Tang, Y.; Cao, Y.; Ou, Q.; Zhang, C.; Liu, G.; Xiong, X. Effect of mealworm manure organic fertilizer on the growth of cold-water flowers. Nat. Sci. Ed. 2021, 38, 17–22. [Google Scholar] [CrossRef]
- Loyon, L.; Burton, C.H.; Misselbrook, T.; Webb, J.; Philippe, F.X.; Aguilar, M.; Doreau, M.; Hassouna, M.; Veldkamp, T.; Dourmad, J.Y.; et al. Best available technology for European livestock farms: Availability, effectiveness and uptake. J. Environ. Manag. 2016, 166, 1–11. [Google Scholar] [CrossRef]
- Xue, J.F.; Ren, A.X.; Li, H.; Gao, Z.Q.; Du, T.Q. Soil physical properties response to tillage practices during summer fallow of dryland winter wheat field on the Loess Plateau. Environ. Sci. Pollut. Res. 2018, 25, 1070–1078. [Google Scholar] [CrossRef] [PubMed]
- Bao, S. Soil and Agricultural Chemistry Analysis, 3rd ed.; China Agriculture Press: Beijing, China, 2000; pp. 25–114. [Google Scholar]
- Sneha, G.R.; Swarnalakshmi, K.; Sharma, M.; Reddy, K.; Bhoumik, A.; Suman, A.; Kannepalli, A. Soil type influence nutrient availability, microbial metabolic diversity, eubacterial and diazotroph abundance in chickpea rhizosphere. World J. Microb. Biotechnol. 2021, 37, 167. [Google Scholar] [CrossRef]
- Han, X.; Cheng, Z.; Meng, H. Soil properties, nutrient dynamics, and soil enzyme activities associated with garlic stalk decomposition under various conditions. PLoS ONE 2012, 7, e50868. [Google Scholar] [CrossRef]
- Wade, H.; Phillips, B.P. Automated determination of bacterial asparaginase and glutaminase. Anal. Biochem. 1971, 44, 189–199. [Google Scholar] [CrossRef] [PubMed]
- Sun, M.; Zhao, Y.; Liang, Z.; Wu, Y.; Du, R.; Liu, J.; Yu, F.; Liu, S. Soil, leaf and fruit nutrient data for pear orchards located in the Circum-Bohai Bay and Loess Plateau regions. Sci. Data 2023, 10, 88. [Google Scholar] [CrossRef] [PubMed]
- Karami, A.; Homaee, M.; Afzalinia, S.; Ruhipour, H.; Basirat, S. Organic resource management: Impacts on soil aggregate stability and other soil physico-chemical properties. Agric. Ecosyst. Environ. 2012, 148, 22–28. [Google Scholar] [CrossRef]
- Riahi, A.; Hdider, C.; Sanaa, M.; Tarchoun, N.; Ben Kheder, M.; Guezal, I. The influence of different organic fertilizers on yield and physico-chemical properties of organically grown tomato. Sustain. Agric. 2009, 33, 658–673. [Google Scholar] [CrossRef]
- Wang, Y.; Liu, H.; Huang, Y.; Wang, J.; Wang, Z.; Gu, F.; Xin, M.; Kang, G.; Feng, W.; Guo, T. Effects of cultivation management on the winter wheat grain yield and water utilization efficiency. Sci. Rep. 2019, 9, 12733. [Google Scholar] [CrossRef] [PubMed]
- Tripathi, R.; Nayak, A.K.; Bhattacharyya, P.; Shukla, A.K.; Shahid, M.; Raja, R.; Panda, B.B.; Mohanty, S.; Kumar, A.; Thilagam, V.K. Soil aggregation and distribution of carbon and nitrogen in different fractions after 41 years long-term fertilizer experiment in tropical rice–rice system. Geoderma 2014, 213, 280–286. [Google Scholar] [CrossRef]
- Liu, C.A.; Li, F.R.; Zhou, L.M.; Zhang, R.H.; Jia, Y.; Lin, S.L.; Wang, L.J.; Siddique, K.H. Effect of organic manure and fertilizer on soil water and crop yields in newly-built terraces with loess soils in a semi-arid environment. Agric. Water Manag. 2013, 117, 123–132. [Google Scholar] [CrossRef]
- Papini, R.; Valboa, G.; Favilli, F.; L’Abate, G. Influence of land use on organic carbon pool and chemical properties of Vertic Cambisols in central and southern Italy. Agric. Ecosyst. Environ. 2011, 140, 68–79. [Google Scholar] [CrossRef]
- Gao, J.; Zhang, X.; Luo, J.; Zhu, P.; Lindsey, S.; Gao, H.; Li, Q.; Peng, C.; Zhang, L.; Xu, L.; et al. Changes in soil fertility under partial organic substitution of chemical fertilizer: A 33-year trial. Sci. Food Agric. 2023, 103, 7424–7433. [Google Scholar] [CrossRef]
- Sinsabaugh, R.L.; Lauber, C.L.; Weintraub, M.N.; Ahmed, B.; Zeglin, L.H. Stoichiometry of soil enzyme activity at global scale. Ecol. Lett. 2008, 11, 1252–1264. [Google Scholar] [CrossRef]
- He, M.; Wang, Y.C.; Wang, L.G.; Cheng, Q.; Wang, L.M.; Li, Y.H. Effects of subsoiling combined with fertilization on the fractions of soil active organic carbon and soil active nitrogen, and enzyme activities in black soil in northeast China. Acta Pedol. Sin. 2020, 57, 446–456. [Google Scholar] [CrossRef]
- Tripathy, S.; Bhattacharyya, P.; Equeenuddin, S.M.; Kim, K.; Kulkarni, H.D. Comparison of microbial indicators under two water regimes in a soil amended with combined paper mill sludge and decomposed cow manure. Chemosphere 2008, 71, 168–175. [Google Scholar] [CrossRef]
- Supradip Saha, B.L.; Mina, K.A.; Gopinath, S.; Kundu, H.S. GuptaOrganic amendments affect biochemical properties of a subtemperate soil of the Indian Himalayas. Nutr. Cycl. Agroecosyst. 2008, 80, 233–242. [Google Scholar] [CrossRef]
- Xu, W.; Liu, W.; Tang, S.; Yang, Q.; Meng, L.; Wu, Y.; Wang, J.; Wu, L.; Wu, M.; Xue, X.; et al. Long-term partial substitution of chemical nitrogen fertilizer with organic fertilizers increased SOC stability by mediating soil C mineralization and enzyme activities in a rubber plantation of Hainan Island. Appl. Soil. Ecol. 2023, 182, 104691. [Google Scholar] [CrossRef]
- Zhiipao, R.R.; Pooniya, V.; Biswakarma, N.; Kumar, D.; Shivay, Y.S.; Dass, A.; Mukri, G.; Lakhena, K.K.; Pandey, R.K.; Bhatia, A.; et al. Timely sown maize hybrids improve the post-anthesis dry matter accumulation, nutrient acquisition and crop productivity. Sci. Rep. 2023, 30, 1688. [Google Scholar] [CrossRef] [PubMed]
- Fan, Y.; Lv, Z.; Qin, B.; Yang, J.; Ren, K.; Liu, Q.; Jiang, F.; Zhang, W.; Ma, S.; Ma, C.; et al. Night warming at the vegetative stage improves pre-anthesis photosynthesis and plant productivity involved in grain yield of winter wheat. Plant Physiol. Biochem. 2022, 186, 19–30. [Google Scholar] [CrossRef]
- Seufert, V.; Ramankutty, N.; Foley, J. Comparing the yields of organic and conventional agriculture. Nature 2012, 485, 229–232. [Google Scholar] [CrossRef]
- Xu, K.; Chai, Q.; Hu, F.; Fan, Z.; Yin, W. N-fertilizer postponing application improves dry matter translocation and increases system productivity of wheat/maize intercropping. Sci. Rep. 2021, 11, 22825. [Google Scholar] [CrossRef] [PubMed]
- Barraclough, P.B.; Lopez-Bellido, R.; Hawkesford, M.J. Genotypic variation in the uptake, partitioning and remobilisation of nitrogen during grain-filling in wheat. Field Crop Res. 2014, 156, 242–248. [Google Scholar] [CrossRef]
- Khan, M.A.; Basir, A.; Fahad, S.; Adnan, M.; Saleem, M.H.; Iqbal, A.; Amanullah Al-Huqail, A.A.; Alosaimi, A.A.; Saud, S.; Liu, K.; et al. Biochar Optimizes Wheat Quality, Yield, and Nitrogen Acquisition in Low Fertile Calcareous Soil Treated with Organic and Mineral Nitrogen Fertilizers. Front. Plant Sci. 2022, 13, 879788. [Google Scholar] [CrossRef]
- Duan, Y.; Xu, M.; Gao, S.; Yang, X.; Huang, S.; Liu, H.; Wang, B. Nitrogen use efficiency in a wheat–corn cropping system from 15 years of manure and fertilizer applications. Field Crop Res. 2014, 157, 47–56. [Google Scholar] [CrossRef]
- Wang, Y.F.; Chen, P.; Wang, F.H.; Han, W.X.; Qiao, M.; Dong, W.X.; Hu, C.S.; Zhu, D.; Chu, H.Y.; Zhu, Y.G. The ecological clusters of soil organisms drive the ecosystem multifunctionality under long-term fertilization. Environ. Int. 2022, 161, 107133. [Google Scholar] [CrossRef] [PubMed]




| Year | pH | Organic Matter (g/kg) | Total N (g/kg) | Available N (mg/kg) | Available P (mg/kg) | Available K (mg/kg) |
|---|---|---|---|---|---|---|
| 2021 | 7.78 | 19.47 | 1.126 | 58.25 | 19.67 | 135.8 |
| 2022 | 7.80 | 20.85 | 0.974 | 50.74 | 38.72 | 122.65 |
| Treatments | Bio-Organic Fertilizer (kg/ha) | Fermented Mealworm Feces (kg/ha) | Urea (kg/ha) | Double Superphosphate (kg/ha) | Potassium Chloride (kg/ha) |
|---|---|---|---|---|---|
| CK | 0 | 0 | 0 | 0 | 0 |
| N | 0 | 0 | 521.74 | 313.04 | 320.00 |
| N25A1 | 4109.59 | 0 | 391.30 | 162.07 | 243.97 |
| N25B1 | 0 | 2090.59 | 391.30 | 223.06 | 276.10 |
| N50A2 | 8219.17 | 0 | 260.87 | 11.10 | 167.94 |
| N50B2 | 0 | 4181.18 | 260.87 | 133.08 | 232.20 |
| Treatments | Pt (%) | ρb (g/cm3) | θg (%) | |||
|---|---|---|---|---|---|---|
| 2021 | 2022 | 2021 | 2022 | 2021 | 2022 | |
| CK | 39.91 ± 0.31 cd | 38.93 ± 1.04 d | 1.57 ± 0.02 a | 1.60 ± 0.01 a | 15.70 ± 0.17 c | 15.23 ± 0.32 c |
| N | 43.17 ± 0.12 a | 42.16 ± 0.12 c | 1.54 ± 0.02 b | 1.56 ± 0.03 ab | 15.83 ± 0.04 bc | 15.05 ± 0.33 c |
| N25A1 | 40.84 ± 0.69 bc | 45.42 ± 0.77 b | 1.55 ± 0.01 b | 1.52 ± 0.10 b | 16.44 ± 0.05 ab | 16.52 ± 0.01 b |
| N25B1 | 39.53 ± 0.43 d | 45.37 ± 0.53 b | 1.56 ± 0.07 b | 1.43 ± 0.06 c | 17.60 ± 0.03 a | 17.62 ± 0.93 a |
| N50A2 | 41.31 ± 0.12 b | 47.10 ± 0.32 a | 1.55 ± 0.01 b | 1.51 ± 0.02 b | 16.04 ± 0.09 b | 16.01 ± 0.06 bc |
| N50B2 | 42.69 ± 0.15 ab | 45.80 ± 1.03 b | 1.52 ± 0.20 c | 1.44 ± 0.03 c | 16.12 ± 0.02 ab | 16.07 ± 0.02 bc |
| Treatments | Solid | Liquid | Gas | |||
|---|---|---|---|---|---|---|
| 2021 | 2022 | 2021 | 2022 | 2021 | 2022 | |
| CK | 61.07 ± 1.04 a | 57.84 ± 0.12 a | 25.74 ± 0.22 b | 23.78 ± 0.96 bc | 13.19 ± 1.27 d | 18.39 ± 1.08 c |
| N | 60.09 ± 0.31 ab | 56.83 ± 0.12 a | 24.62 ± 0.03 c | 23.11 ± 0.74 cd | 15.29 ± 0.28 b | 20.06 ± 0.62 b |
| N25A1 | 58.69 ± 0.12 c | 52.90 ± 0.32 c | 27.30 ± 1.18 a | 24.15 ± 0.08 ab | 14.01 ± 1.06 bcd | 22.95 ± 0.40 a |
| N25B1 | 57.31 ± 0.15 d | 54.20 ± 1.03 b | 25.08 ± 0.05 bc | 23.16 ± 0.42 cd | 17.61 ± 0.20 a | 22.64 ± 1.45 a |
| N50A2 | 59.16 ± 0.69 bc | 54.58 ± 0.77 b | 27.32 ± 0.16 a | 24.92 ± 0.06 a | 13.51 ± 0.53 cd | 20.49 ± 0.82 b |
| N50B2 | 60.47 ± 0.43 a | 54.63 ± 0.53 b | 24.89 ± 0.15 bc | 22.65 ± 0.1 d | 14.64 ± 0.28 bc | 22.72 ± 0.44 a |
| Treatments | NO3-N (mg/g) | NH4+-N (mg/g) | Available N (mg/g) | Total Nitrogen (g/kg) | ||||
|---|---|---|---|---|---|---|---|---|
| 2021 | 2022 | 2021 | 2022 | 2021 | 2022 | 2021 | 2022 | |
| CK | 5.82 ± 0.66 bc | 3.49 ± 0.28 d | 16.09 ± 1.08 c | 16.42 ± 0.40 b | 38.38 ± 1.06 d | 30.39 ± 1.83 d | 0.84 ± 0.03 b | 0.75 ± 0.02 c |
| N | 9.17 ± 0.76 a | 7.43 ± 0.91 a | 20.52 ± 1.92 a | 19.24 ± 0.05 a | 37.86 ± 1.70 d | 41.27 ± 0.40 c | 0.92 ± 0.02 a | 0.91 ± 0.02 b |
| N25A1 | 5.24 ± 1.31 c | 6.42 ± 1.16 b | 17.16 ± 0.58 bc | 18.21 ± 1.17 b | 45.54 ± 0.80 b | 49.45 ± 0.88 b | 0.87 ± 0.02 b | 0.91 ± 0.02 b |
| N25B1 | 6.86 ± 0.56 ab | 5.63 ± 0.30 bc | 17.21 ± 0.78 bc | 16.39 ± 0.27 b | 48.38 ± 1.52 a | 54.63 ± 2.62 a | 0.85 ± 0.01 b | 1.02 ± 0.06 a |
| N50A2 | 4.35 ± 0.50 c | 5.17 ± 0.13 c | 16.77 ± 0.56 bc | 17.37 ± 0.38 b | 39.78 ± 0.41 d | 41.97 ± 0.35 c | 0.88 ± 0.01 b | 0.90 ± 0.02 b |
| N50B2 | 5.17 ± 0.13 c | 5.63 ± 0.62 bc | 17.62 ± 0.28 b | 18.38 ± 0.93 b | 42.96 ± 0.81 c | 47.90 ± 1.64 b | 0.85 ± 0.03 b | 0.95 ± 0.02 b |
| Year | Treatments | Yield (t/ha) | Single-Spike Weight (g) | Grain Weight per Spike (g) | 1000-Grain Weight (g) | Grain Yield (%) | N-Grain (kg/ha) | N-Plant (kg/ha) |
|---|---|---|---|---|---|---|---|---|
| 2021 | CK | 2.43 ± 0.12 c | 33.22 ± 3.18 a | 17.62 ± 1.17 b | 2.86 ± 0.01 b | 53.13 ± 1.56 e | 31.60 ± 1.74 d | 88.68 ± 1.40 d |
| N | 2.62 ± 0.02 b | 26.29 ± 1.62 b | 14.88 ± 0.99 c | 2.87 ± 0.01 b | 56.59 ± 0.31 d | 56.11 ± 1.34 c | 161.09 ± 1.03 c | |
| N25A1 | 2.63 ± 0.10 b | 26.96 ± 0.74 b | 16.56 ± 0.49 b | 2.86 ± 0.01 b | 67.77 ± 0.40 a | 71.70 ± 3.32 b | 190.61 ± 5.52 b | |
| N25B1 | 2.78 ± 0.06 a | 30.71 ± 1.56 a | 20.81 ± 0.97 a | 2.81 ± 0.01 d | 61.45 ± 0.17 c | 89.04 ± 2.23 a | 216.61 ± 4.09 a | |
| N50A2 | 2.28 ± 0.08 c | 15.95 ± 0.71 d | 10.65 ± 0.54 d | 2.90 ± 0.00 a | 66.77 ± 0.43 a | 75.16 ± 2.47 b | 187.41 ± 2.59 b | |
| N50B2 | 2.30 ± 0.05 c | 23.2 ± 0.86 c | 14.58 ± 0.61 c | 2.83 ± 0.01 c | 62.83 ± 0.44 b | 72.41 ± 4.75 b | 193.11 ± 1.77 b | |
| 2022 | CK | 2.34 ± 0.03 c | 28.99 ± 0.54 b | 16.15 ± 0.45 c | 2.87 ± 0.00 b | 55.72 ± 0.65 f | 31.47 ± 0.84 f | 88.60 ± 0.69 f |
| N | 2.60 ± 0.01 b | 17.74 ± 2.76 d | 11.67 ± 0.82 d | 2.87 ± 0.00 b | 58.35 ± 0.78 e | 47.83 ± 0.06 e | 140.75 ± 5.64 e | |
| N25A1 | 2.58 ± 0.06 b | 34.04 ± 1.96 a | 23.34 ± 1.24 a | 2.87 ± 0.00 b | 68.58 ± 0.42 a | 112.54 ± 4.51 b | 244.94 ± 5.48 b | |
| N25B1 | 2.80 ± 0.09 a | 32.57 ± 1.63 a | 20.24 ± 1.04 b | 2.78 ± 0.01 d | 62.16 ± 0.18 d | 149.61 ± 6.03 a | 306.23 ± 5.55 a | |
| N50A2 | 2.23 ± 0.03 c | 16.59 ± 1.19 d | 10.86 ± 0.75 d | 2.88 ± 0.01 a | 65.48 ± 0.21 b | 77.40 ± 4.87 d | 188.50 ± 5.91 d | |
| N50B2 | 2.33 ± 0.16 c | 23.18 ± 1.35 c | 14.85 ± 0.88 c | 2.83 ± 0.00 c | 64.06 ± 0.19 c | 98.42 ± 7.44 c | 219.75 ± 7.06 c |
| Year | Treatments | ANUE | NRE | NPE | PFP | NHI |
|---|---|---|---|---|---|---|
| 2021 | N | 10.03 ± 0.93 b | 47.17 ± 5.11 a | 22.51 ± 0.69 d | 40.48 ± 0.53 d | 46.07 ± 1.79 d |
| N25A1 | 11.20 ± 0.71 b | 41.40 ± 2.24 b | 47.74 ± 2.79 a | 69.19 ± 0.29 a | 51.55 ± 0.67 c | |
| N25B1 | 14.37 ± 0.71 a | 39.57 ± 1.27 b | 45.24 ± 0.48 ab | 59.53 ± 0.46 c | 54.72 ± 0.79 a | |
| N50A2 | 14.24 ± 1.31 a | 51.68 ± 1.36 a | 36.84 ± 1.47 c | 69.17 ± 0.52 a | 51.99 ± 0.49 bc | |
| N50B2 | 13.89 ± 0.33 a | 38.96 ± 0.66 b | 44.09 ± 2.45 b | 61.04 ± 0.31 b | 53.68 ± 0.87 ab | |
| 2022 | N | 8.45 ± 0.79 c | 43.73 ± 0.62 b | 23.49 ± 0.43 d | 29.40 ± 0.35 e | 50.28 ± 1.37 c |
| N25A1 | 15.88 ± 0.22 a | 47.81 ± 1.68 a | 29.73 ± 0.10 c | 47.63 ± 0.27 b | 55.68 ± 0.80 b | |
| N25B1 | 15.38 ± 0.31 a | 45.24 ± 1.15 ab | 31.80 ± 2.02 c | 42.84 ± 0.36 c | 62.93 ± 0.76 a | |
| N50A2 | 10.29 ± 0.79 b | 36.75 ± 2.18 c | 44.86 ± 2.92 a | 53.76 ± 0.65 a | 56.03 ± 0.54 b | |
| N50B2 | 10.61 ± 0.19 b | 30.79 ± 1.66 d | 38.18 ± 2.41 b | 38.74 ± 0.54 d | 56.63 ± 0.89 b |
Disclaimer/Publisher’s Note: The statements, opinions and data contained in all publications are solely those of the individual author(s) and contributor(s) and not of MDPI and/or the editor(s). MDPI and/or the editor(s) disclaim responsibility for any injury to people or property resulting from any ideas, methods, instructions or products referred to in the content. |
© 2024 by the authors. Licensee MDPI, Basel, Switzerland. This article is an open access article distributed under the terms and conditions of the Creative Commons Attribution (CC BY) license (https://creativecommons.org/licenses/by/4.0/).
Share and Cite
Wang, J.; Han, G.; Duan, Y.; Han, R.; Shen, X.; Wang, C.; Zhao, L.; Nie, M.; Du, H.; Yuan, X.; et al. Effects of Different Organic Fertilizer Substitutions for Chemical Nitrogen Fertilizer on Soil Fertility and Nitrogen Use Efficiency of Foxtail Millet. Agronomy 2024, 14, 866. https://doi.org/10.3390/agronomy14040866
Wang J, Han G, Duan Y, Han R, Shen X, Wang C, Zhao L, Nie M, Du H, Yuan X, et al. Effects of Different Organic Fertilizer Substitutions for Chemical Nitrogen Fertilizer on Soil Fertility and Nitrogen Use Efficiency of Foxtail Millet. Agronomy. 2024; 14(4):866. https://doi.org/10.3390/agronomy14040866
Chicago/Turabian StyleWang, Jiang, Genlan Han, Yanyan Duan, Ruihua Han, Xiao Shen, Chenyang Wang, Lijie Zhao, Mengen Nie, Huiling Du, Xiangyang Yuan, and et al. 2024. "Effects of Different Organic Fertilizer Substitutions for Chemical Nitrogen Fertilizer on Soil Fertility and Nitrogen Use Efficiency of Foxtail Millet" Agronomy 14, no. 4: 866. https://doi.org/10.3390/agronomy14040866
APA StyleWang, J., Han, G., Duan, Y., Han, R., Shen, X., Wang, C., Zhao, L., Nie, M., Du, H., Yuan, X., & Dong, S. (2024). Effects of Different Organic Fertilizer Substitutions for Chemical Nitrogen Fertilizer on Soil Fertility and Nitrogen Use Efficiency of Foxtail Millet. Agronomy, 14(4), 866. https://doi.org/10.3390/agronomy14040866

