Alternating Partial Root-Zone Subsurface Drip Irrigation Enhances the Productivity and Water Use Efficiency of Alfalfa by Improving Root Characteristics
Abstract
1. Introduction
2. Materials and Methods
2.1. Overview of the Experimental Site
2.2. Experimental Design
2.3. Measurement Indicators and Methods
2.3.1. Soil Water Content
2.3.2. Soil Water Storage
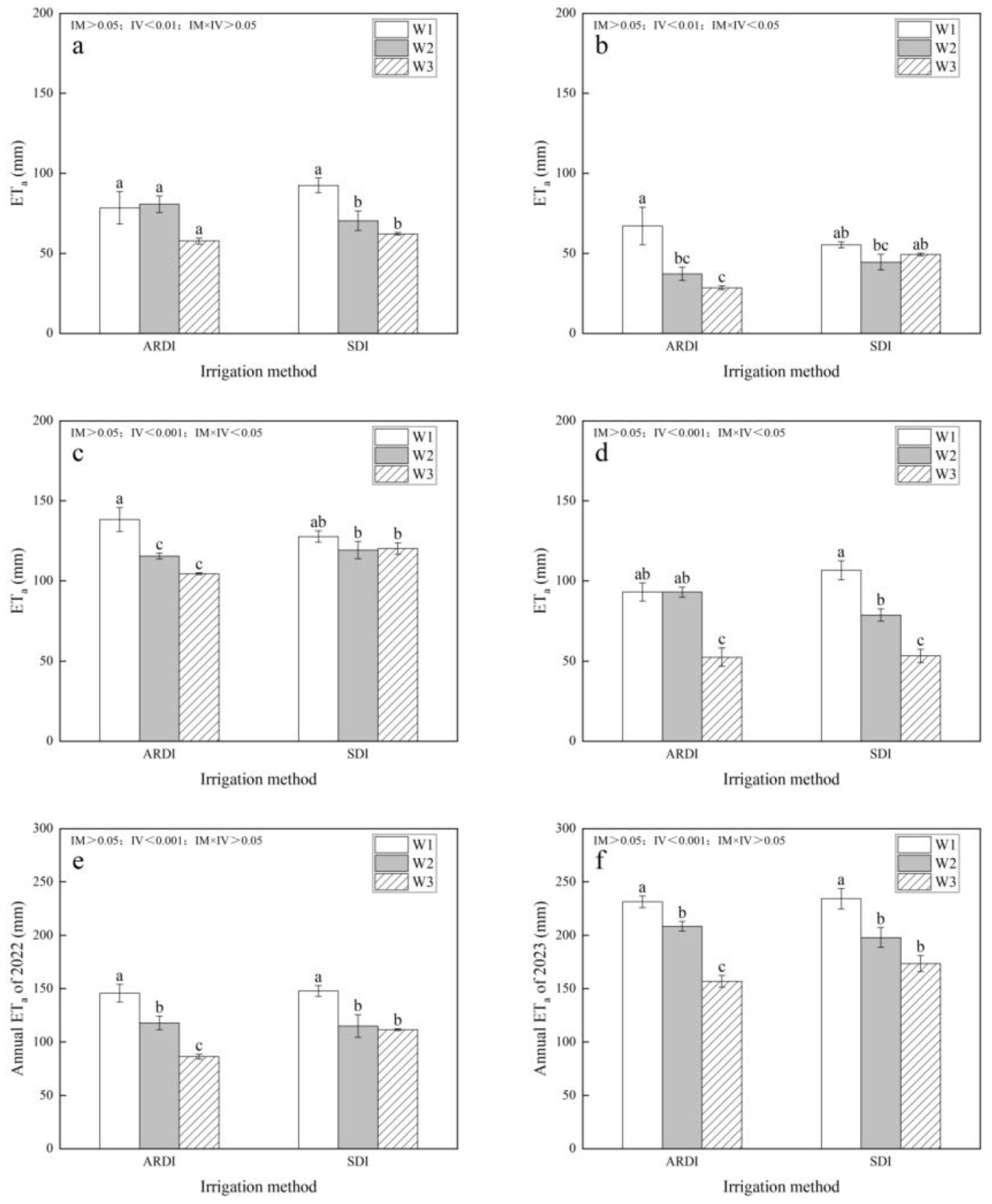
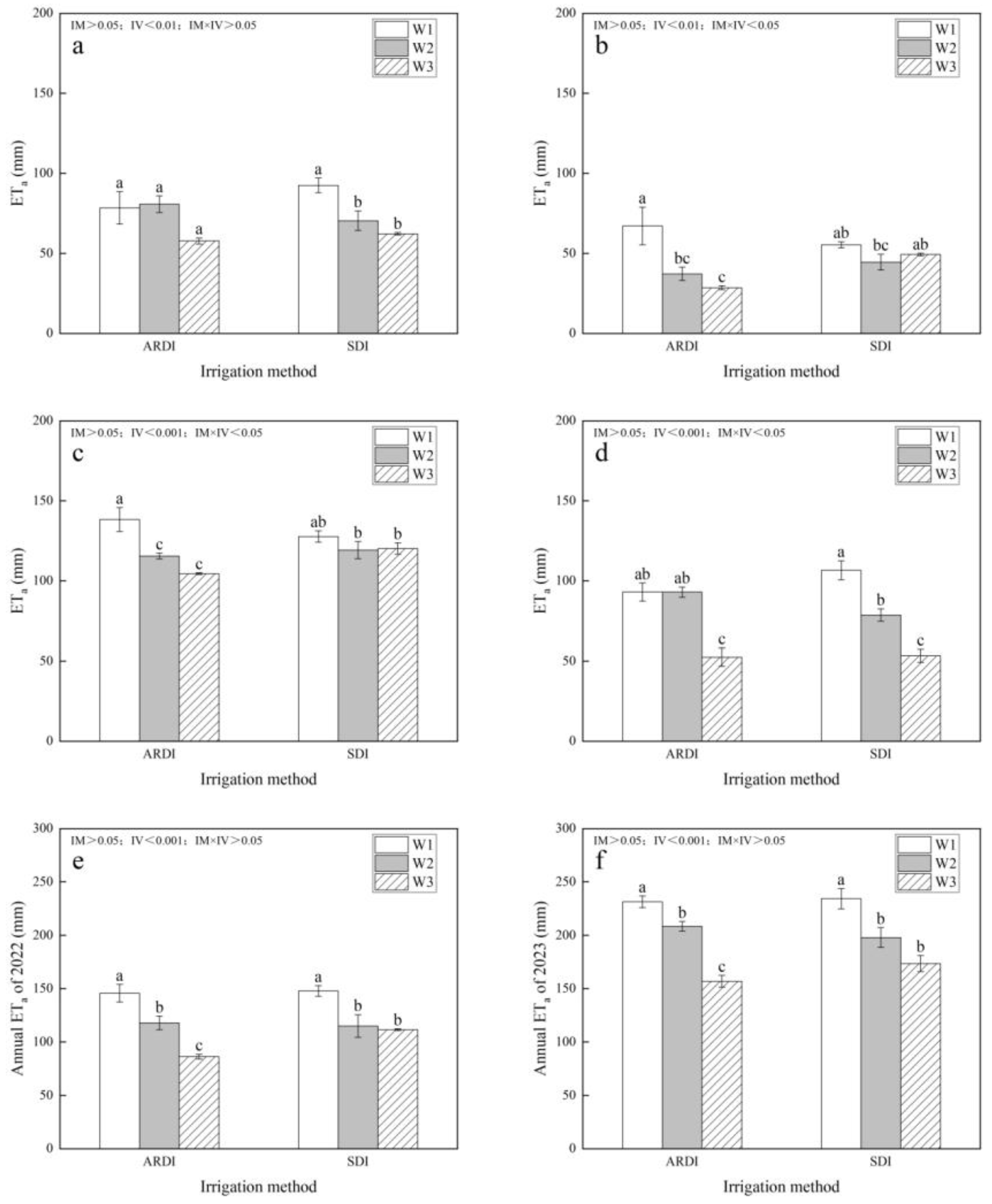
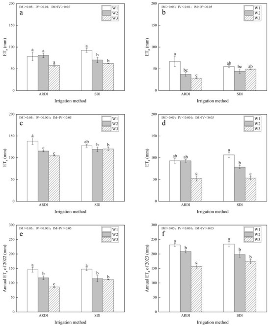
2.3.3. Crop Evapotranspiration
2.3.4. Plant Height, Stem Diameter
2.3.5. Fresh Weight, Dry Weight
2.3.6. Nutritional Quality
2.3.7. Water Use Efficiency
2.3.8. Root System Indicators
2.4. Data Processing and Statistical Methods
3. Results
3.1. Effects of Different Irrigation Strategies on Alfalfa Production Performance
3.2. Effects of Different Irrigation Strategies on Alfalfa Yield
3.3. Effects of Different Irrigation Strategies on Nutritional Quality of Alfalfa
3.3.1. Crude Protein Content
3.3.2. Neutral Detergent Fiber
3.3.3. Acid Detergent Fiber
3.3.4. Relative Feed Value
3.4. Effects of Different Irrigation Strategies on Irrigation Water Productivity of Alfalfa
3.5. The Impact of Different Irrigation Strategies on the Spatial Distribution Characteristics of Alfalfa Root Systems
3.6. Principal Component Analysis
4. Discussion
5. Conclusions
Author Contributions
Funding
Data Availability Statement
Acknowledgments
Conflicts of Interest
References
- Mueller, N.D.; Gerber, J.S.; Johnston, M.; Ray, D.K.; Ramankutty, N.; Foley, J.A. Closing yield gaps through nutrient and water management. Nature 2012, 490, 254–257. [Google Scholar] [CrossRef] [PubMed]
- D’Odorico, P.; Davis, K.F.; Rosa, L.; Carr, J.A.; Chiarelli, D.; Dell’Angelo, J.; Gephart, J.; MacDonald, G.K.; Seekell, D.A.; Suweis, S.; et al. The global food-energy-water nexus. Rev. Geophys. 2018, 56, 456–531. [Google Scholar] [CrossRef]
- Elliott, J.; Deryng, D.; Müller, C.; Frieler, K.; Konzmann, M.; Gerten, D.; Glotter, M.; Flörke, M.; Wada, Y.; Best, N.; et al. Constraints and potentials of future irrigation water availability on agricultural production under climate change. Proc. Natl. Acad. Sci. USA 2014, 111, 3239–3244. [Google Scholar] [CrossRef] [PubMed]
- Lorenzo, R.; Chiarelli, D.D.; Rulli, M.C.; Dell’Angelo, J.; D’Odorico, P. Global agricultural economic water scarcity. Sci. Adv. 2020, 6, eaaz6031. [Google Scholar] [CrossRef]
- Bouton, J.H. An overview of the role of lucerne (Medicago sativa L.) in pastoral agriculture. Crop Pasture Sci. 2012, 63, 734. [Google Scholar] [CrossRef]
- Yang, T.; Dong, J.W.; Huang, L.; Li, Y.; Yan, H.; Zhai, J.; Wang, J.; Jin, Z.; Zhang, G. A large forage gap in forage availability in traditional pastoral regions in China. Fundam. Res. 2023, 2, 188–200. [Google Scholar] [CrossRef]
- Zhao, Z.; Wang, P.; Chen, J.; Zhang, F. Economic spillover effect of grass-based livestock husbandry on agricultural production—A case study in Hulun Buir, China. Technol. Forecast. Soc. Change 2021, 168, 120752. [Google Scholar] [CrossRef]
- Nurkhaida, R.; Rejekiningrum, P. Trend analysis of agricultural water supply and demand for water conservation and climate change anticipation. IOP Conf. Ser. Earth Environ. Sci. 2021, 648, 012102. [Google Scholar] [CrossRef]
- Jia-Li, X.U. The Irrigation Technology and Development Direction of Agricultural Water-saving. China Fruit Veg. 2019, 213, 104966. [Google Scholar]
- Wang, H.; Wang, N.; Quan, H.; Zhang, F.; Fan, J.; Feng, H.; Cheng, M.; Liao, Z.; Wang, X.; Xiang, Y. Yield and water productivity of crops, vegetables and fruits under subsurface drip irrigation: A global meta-analysis. Agric. Water Manag. 2022, 269, 107645. [Google Scholar] [CrossRef]
- Kazumba, S.; Gillerman, L.; DeMalach, Y.; Oron, G. Sustainable domestic effluent reuse via subsurface drip irrigation (SDI): Alfalfa as a perennial model crop. Water Sci. Technol. 2010, 61, 625–632. [Google Scholar] [CrossRef] [PubMed]
- Amare, D.G. Review on Effect of Different Irrigation Method on Water Use Efficiency. Yield Product. Nitrogen Appl. 2020, 8, 1–9. [Google Scholar]
- Grimes, D.W.; Walhood, V.T.; Dickens, W.L. Alternate-furrow irrigation for San Joaquin valley cotton. Calif. Agric. 1968, 22, 4–6. [Google Scholar]
- Hoffman, G.J.; Howell, T.A. Management of Farm Irrigation Systems; American Society of Agricultural Engineers: St. Joseph, MI, USA, 1990. [Google Scholar]
- Kang, S.Z.; Zhang, J.H. Controlled alternate partial root-zone irrigation: Its physiological consequences and impact on water use efficiency. J. Exp. Bot. 2004, 55, 2437–2446. [Google Scholar] [CrossRef] [PubMed]
- Dodda, I.C. Rhizosphere manipulations to maximize cropper drop during deficit irrigration. J. Exp. Bot. 2009, 60, 2454–2459. [Google Scholar] [CrossRef]
- Mehrabi, F.; Sepaskhah, A.R. Partial root zone drying irrigation, planting methods and nitrogen fertilization influence on physiologic and agronomic parameters of winter wheat. Agric. Water Manag. 2019, 223, 105688. [Google Scholar] [CrossRef]
- Xue-Liang, G.; Wei-Jun, L.I. Effects of Different Irrigation Methods on Alfalfa Yield and Irrigation Water Use Efficiency. Acta Agrestia Sin. 2014, 22, 1086. [Google Scholar]
- Buske, T.C.; Robaina, A.D.; Peiter, M.X.; Rosso, R.B.; Torres, R.R.; Nunes, M.S. Performance evaluation of the weighing method for the determination of soil moisture. Rev. Bras. Agric. Irrig. 2013, 7, 340–348. [Google Scholar]
- Huang, Z.; Liu, Y.; Cui, Z.; Fang, Y.; He, H.; Liu, B.R.; Wu, G.L. Soil water storage deficit of alfalfa (Medicago sativa) grasslands along ages in arid area (China). Field Crops Res. 2018, 221, 1–6. [Google Scholar] [CrossRef]
- Fernández, J.E.; Alcon, F.; Diaz-Espejo, A.; Hernandez-Santana, V.; Cuevas, M.V. Water use indicators and economic analysis for on-farm irrigation decision: A case study of a super high density olive tree orchard. Agric. Water Manag. 2020, 237, 106074. [Google Scholar] [CrossRef]
- Xiao, Y.; Zhang, J.; Jia, T.T.; Pang, X.P.; Guo, Z.G. Effects of alternate furrow irrigation on the biomass and quality of alfalfa (Medicago sativa). Agric. Water Manag. 2015, 161, 147–154. [Google Scholar] [CrossRef]
- Cokun, Z.; Glc, M.; Candar, S. Determination of Effects of Deficit Irrigation (DI) and Partial Root Zone Drying (PRD) Strategies on Berry Skin Colour of Michele Palieri Table Grave CV. 2018. Available online: https://www.researchgate.net/publication/330307705_DETERMINATION_OF_EFFECTS_OF_DEFICIT_IRRIGATION_DI_AND_PARTIAL_ROOT_ZONE_DRYING_PRD_STRATEGIES_ON_BERRY_SKIN_COLOUR_OF_MICHELE_PALIERI_TABLE_GRAVE_CV (accessed on 14 April 2024).
- Topak, R.; Acar, B.; Uyanöz, R.; Ceyhan, E. Performance of partial root-zone drip irrigation for sugar beet production in a semi-arid area. Agric. Water Manag. 2016, 176, 180–190. [Google Scholar] [CrossRef]
- Evett, S.R.; Marek, G.W.; Colaizzi, P.D.; Brauer, D.K.; O’Shaughnessy, S.A. Corn and sorghum ET, E, yield, and CWP as Affected by Irrigation Application Method: SDI versus Mid-Elevation Spray Irrigation. Trans. ASABE 2019, 62, 1377. [Google Scholar] [CrossRef]
- Engels, F.M.; Jung, H.J.G. Alfalfa stem tissues: Impact of lignification and cell length on ruminal degradation of large particles. Anim. Feed. Sci. Technol. 2005, 120, 309–321. [Google Scholar] [CrossRef]
- Kamal, S.A. Effect of Water Deficit Stress on Morphological Characters of Alfalfa (Medicago Sativa L.) Cultivars. J. Crop Ecophysiol. 2010, 2, 41. [Google Scholar]
- Ding, X.Q.; Fan, Z.H.; Shen, Y.X. Effect of water stress on root growth of alfalfa seedlings and on nitrogen-and phosphorus-use efficiencies after water stress. Acta Prataculturae Sin. 2017, 26, 92–99. [Google Scholar] [CrossRef]
- Ya-Dong, W.; Jian, J.; De-Rong, S.U. Effect of Deficit Degree and Deficit Duration on Biomass Allocation and Water Use Efficiency of Alfalfa (Medicago sativa L.). Acta Agrestia Sin. 2017, 25, 1287. [Google Scholar]
- Xiaogang, L.; Fusheng, L.; Fucang, Z.; Huanjie, C.; Qiliang, Y. Influences of alternate partial root-zone irrigation and urea rate on water- and nitrogen-use efficiencies in tomato. Int. J. Agric. Biol. Eng. 2017, 10, 94–102. [Google Scholar] [CrossRef][Green Version]
- Monirifar, H. Path Analysis of Yield and Quality Traits in Alfalfa. Not. Bot. Horti Agrobot. Cluj-Napoca 2011, 39, 190–195. [Google Scholar] [CrossRef]
- Zhang, J.; Wang, Q.; Xiao, Y.; Pang, X.P.; Jia, T.T.; Song, R.; Liu, H.X. Effects of alternate furrow irrigation on the biomass allocation and water use efficiency of alfalfa. Acta Prataculturae Sin. 2016, 25, 164. [Google Scholar] [CrossRef]
- Hakl, J.; Pisarčik, M.; Fuksa, P.; Šantrůček, J. Development of lucerne root morphology traits in lucerne-grass mixture in relation to forage yield and root disease score. Field Crops Res. 2018, 226, 66–73. [Google Scholar] [CrossRef]
- Zhang, J.; Wang, Q.; Pang, X.P.; Xu, H.P.; Wang, J.; Zhang, W.N.; Guo, Z.G. Effect of partial root-zone drying irrigation (PRDI) on the biomass, water productivity and carbon, nitrogen and phosphorus allocations in different organs of alfalfa. Agric. Water Manag. 2021, 243, 106525. [Google Scholar] [CrossRef]
- Sheaffer, C.C.; Martin, N.P.; Lamb, J.F.; Cuomo, G.R.; Jewett, J.G.; Quering, S.R. Leaf and Stem Properties of Alfalfa Entries. Agron. J. 2000, 92, 733–739. [Google Scholar] [CrossRef]
- Staniak, M.; Harasim, E. Changes in nutritive value of alfalfa (Medicago × varia T. Martyn) and Festulolium (Festulolium braunii (K. Richt) a. Camus) under drought stress. J. Agron. Crop Sci. 2018, 204, 456–466. [Google Scholar] [CrossRef]
- Kou, D. Effects of regulated deficit and subsurface drip irrigation on alfalfa (Medicago sativa L.) yield, quality and water consumption in arid area of Northwest China. Master’s Thesis, Beijing Forestry University, Beijing, China, 2014. [Google Scholar]
- Testa, G.; Gresta, F.; Cosentino, S.L. Dry matter and qualitative characteristics of alfalfa as affected by harvest times and soil water content. Eur. J. Agron. 2011, 34, 144–152. [Google Scholar] [CrossRef]
- Lo Bianco, R. Water-Related Variables for Predicting Yield of Apple under Deficit Irrigation. Horticulturae 2019, 5, 8. [Google Scholar] [CrossRef]
- Hou, J.; Zhang, J.; Liu, X.; Ma, Y.; Wei, Z.; Wan, H.; Liu, F. Effect of biochar addition and reduced irrigation regimes on growth, physiology and water use efficiency of cotton plants under salt stress. Ind. Crops Prod. 2023, 198, 116702. [Google Scholar] [CrossRef]






















| Irrigation Date | Single Irrigation Amount (mm) | ||||||
|---|---|---|---|---|---|---|---|
| ARDI1 | ARDI2 | ARDI3 | SDI1 | SDI2 | SDI3 | ||
| 2022 | 9 May | 70 | 70 | 70 | 70 | 70 | 70 |
| 16 May | 70 | 70 | 70 | 70 | 70 | 70 | |
| 17 June | 70 | 52.5 | 35 | 70 | 52.5 | 35 | |
| 6 July | 70 | 52.5 | 35 | 70 | 52.5 | 35 | |
| 22 July | 70 | 52.5 | 35 | 70 | 52.5 | 35 | |
| 15 August | 70 | 52.5 | 35 | 70 | 52.5 | 35 | |
| winter irrigation | 140 | 140 | 140 | 140 | 140 | 140 | |
| 2023 | 18 May | 70 | 52.5 | 35 | 70 | 52.5 | 35 |
| 6 June | 70 | 52.5 | 35 | 70 | 52.5 | 35 | |
| 1 July | 70 | 52.5 | 35 | 70 | 52.5 | 35 | |
| 13 July | 70 | 52.5 | 35 | 70 | 52.5 | 35 | |
| 8 August | 70 | 52.5 | 35 | 70 | 52.5 | 35 | |
| 28 August | 70 | 52.5 | 35 | 70 | 52.5 | 35 | |
| Treament | ADF | NDF | RFV | ||||||||||
|---|---|---|---|---|---|---|---|---|---|---|---|---|---|
| 2022 | 2023 | 2022 | 2023 | 2022 | 2023 | ||||||||
| Cutting1 | Cutting2 | Cutting1 | Cutting2 | Cutting1 | Cutting2 | Cutting1 | Cutting2 | Cutting1 | Cutting2 | Cutting1 | Cutting2 | ||
| IM | |||||||||||||
| ARDI | 26.387 b | 25.993 a | 19.843 | 19.302 | 31.526 b | 33.865 | 26.968 | 24.707 a | 203.972 a | 190.785 b | 257.085 | 282.271 b | |
| SDI | 29.483 a | 23.444 b | 20.137 | 18.659 | 34.181 a | 31.928 | 26.96 | 23.219 b | 182.749 b | 208.433 a | 255.572 | 299.94 a | |
| sig. | ** | *** | ns | ns | * | ns | ns | * | * | * | ns | * | |
| IV | |||||||||||||
| W1 | 29.693 a | 24.976 a | 20.89 | 19.026 | 33.079 | 34.231 a | 28.624 a | 24.664 a | 189.345 | 190.53 b | 239.055 b | 282.255 b | |
| W2 | 27.193 b | 26.372 a | 17.966 | 18.268 | 33.333 | 33.82 a | 25.496 b | 22.046 b | 191.504 | 190.418 b | 275.809 a | 316.719 a | |
| W3 | 26.92 b | 22.807 b | 21.114 | 19.648 | 32.15 | 30.639 b | 26.773 ab | 25.179 a | 199.233 | 217.878 a | 254.121 ab | 274.342 b | |
| sig. | * | *** | ns | ns | ns | * | * | *** | ns | ** | * | *** | |
| IM×IV | |||||||||||||
| ARDI + W1 | 27.798 b | 26.135 | 19.176 | 18.809 b | 31.512 ab | 35.810 | 28.393 | 24.674 b | 202.014 ab | 178.888 | 248.152 | 282.235 b | |
| ARDI + W2 | 27.623 b | 28.373 | 18.498 | 18.034 b | 33.933 a | 34.691 | 25.164 | 22.165 c | 185.029 b | 179.492 | 278.069 | 317.27 a | |
| ARDI + W3 | 23.74 c | 23.470 | 21.854 | 21.064 a | 29.135 b | 31.093 | 27.348 | 27.283 a | 224.873 a | 213.975 | 245.035 | 247.308 c | |
| SDI + W1 | 31.588 a | 23.817 | 22.603 | 19.244 b | 34.645 a | 32.651 | 28.856 | 24.653 b | 176.676 b | 202.172 | 229.959 | 282.275 b | |
| SDI + W2 | 26.763 bc | 24.371 | 17.433 | 18.502 b | 32.733 ab | 32.949 | 25.828 | 21.927 c | 197.978 ab | 201.345 | 273.549 | 316.167 a | |
| SDI + W3 | 30.1 ab | 22.143 | 20.374 | 18.232 b | 35.165 a | 30.184 | 26.197 | 23.076 bc | 173.593 b | 221.781 | 263.207 | 301.377 ab | |
| sig. | ** | ns | ns | ** | * | ns | ns | * | * | ns | ns | * | |
| Program | Eigenvector | |||
|---|---|---|---|---|
| PCA1 | PCA2 | PCA3 | PCA4 | |
| Plant height | 0.405 | −0.069 | 0.045 | 0.015 |
| Stem diameter | 0.371 | 0.024 | 0.067 | 0.051 |
| Yield | 0.395 | 0.078 | 0.130 | 0.013 |
| Hay yield | 0.402 | −0.009 | 0.138 | −0.078 |
| CP | 0.237 | −0.274 | −0.030 | 0.215 |
| NDF | −0.211 | 0.276 | 0.296 | 0.166 |
| ADF | −0.112 | 0.264 | 0.187 | 0.207 |
| RFV | −0.189 | 0.277 | 0.245 | 0.334 |
| ETa | 0.153 | −0.293 | −0.172 | 0.416 |
| WPI | 0.146 | 0.334 | 0.293 | −0.262 |
| WPC | 0.256 | 0.206 | 0.236 | −0.405 |
| Average root diameter | −0.063 | −0.382 | 0.338 | −0.007 |
| Root dry weight | 0.068 | −0.147 | 0.467 | 0.347 |
| RLD | 0.171 | 0.217 | 0.110 | 0.419 |
| SRL | 0.182 | 0.317 | −0.373 | 0.125 |
| SSA | 0.187 | 0.306 | −0.332 | 0.206 |
| Average volume of roots | 0.124 | −0.208 | 0.087 | −0.056 |
| Eigenvalue | 5.544 | 4.475 | 2.107 | 1.861 |
| Contributions | 32.614 | 26.326 | 12.392 | 10.949 |
| Cumulative contribution | 32.614 | 58.940 | 71.332 | 82.281 |
| Treaments | F1 | F2 | F3 | F4 | Y |
|---|---|---|---|---|---|
| ARDI1 | 1.512 | −0.398 | 0.074 | 0.167 | 0.415 |
| ARDI2 | 0.583 | 1.138 | 0.125 | 0.963 | 0.610 |
| ARDI3 | −0.256 | 0.985 | 0.614 | −1.444 | 0.094 |
| SDI1 | 0.303 | −1.301 | −0.542 | −0.196 | −0.332 |
| SDI2 | −0.806 | −0.622 | −0.060 | −0.472 | −0.485 |
| SDI3 | −1.337 | 0.198 | −0.211 | 0.982 | −0.303 |
Disclaimer/Publisher’s Note: The statements, opinions and data contained in all publications are solely those of the individual author(s) and contributor(s) and not of MDPI and/or the editor(s). MDPI and/or the editor(s) disclaim responsibility for any injury to people or property resulting from any ideas, methods, instructions or products referred to in the content. |
© 2024 by the authors. Licensee MDPI, Basel, Switzerland. This article is an open access article distributed under the terms and conditions of the Creative Commons Attribution (CC BY) license (https://creativecommons.org/licenses/by/4.0/).
Share and Cite
Sun, Q.; Zhang, S.; Peng, X.; Ge, X.; Wen, B.; Jiang, Z.; Wang, Y.; Zhang, B. Alternating Partial Root-Zone Subsurface Drip Irrigation Enhances the Productivity and Water Use Efficiency of Alfalfa by Improving Root Characteristics. Agronomy 2024, 14, 849. https://doi.org/10.3390/agronomy14040849
Sun Q, Zhang S, Peng X, Ge X, Wen B, Jiang Z, Wang Y, Zhang B. Alternating Partial Root-Zone Subsurface Drip Irrigation Enhances the Productivity and Water Use Efficiency of Alfalfa by Improving Root Characteristics. Agronomy. 2024; 14(4):849. https://doi.org/10.3390/agronomy14040849
Chicago/Turabian StyleSun, Qunce, Shuzhen Zhang, Xianwei Peng, Xingyu Ge, Binghan Wen, Zhipeng Jiang, Yuxiang Wang, and Bo Zhang. 2024. "Alternating Partial Root-Zone Subsurface Drip Irrigation Enhances the Productivity and Water Use Efficiency of Alfalfa by Improving Root Characteristics" Agronomy 14, no. 4: 849. https://doi.org/10.3390/agronomy14040849
APA StyleSun, Q., Zhang, S., Peng, X., Ge, X., Wen, B., Jiang, Z., Wang, Y., & Zhang, B. (2024). Alternating Partial Root-Zone Subsurface Drip Irrigation Enhances the Productivity and Water Use Efficiency of Alfalfa by Improving Root Characteristics. Agronomy, 14(4), 849. https://doi.org/10.3390/agronomy14040849
