Lupine Cultivation Affects Soil’s P Availability and Nutrient Uptake in Four Contrasting Soils
Abstract
1. Introduction
2. Material and Methods
2.1. Soil Collection and Preparation Prior to Experiment Installation
2.2. Greenhouse Experiment
2.2.1. Experimental Design and Plant Growth Conditions
2.2.2. Soil and Plant Sampling
2.3. Sample Processing and Analytical Determinations
2.3.1. Soil Measurements
2.3.2. Plant Measurements
- Ndfa is the proportion of plant N derived from BNF;
- δ15Nref is the δ15N value of the reference plant (non-fixing);
- δ15Nfix is the δ15N value of the fixing plant (lupine);
- B is the δ15N value of a fixing plant growing in a medium without N.
2.4. Statistics
3. Results
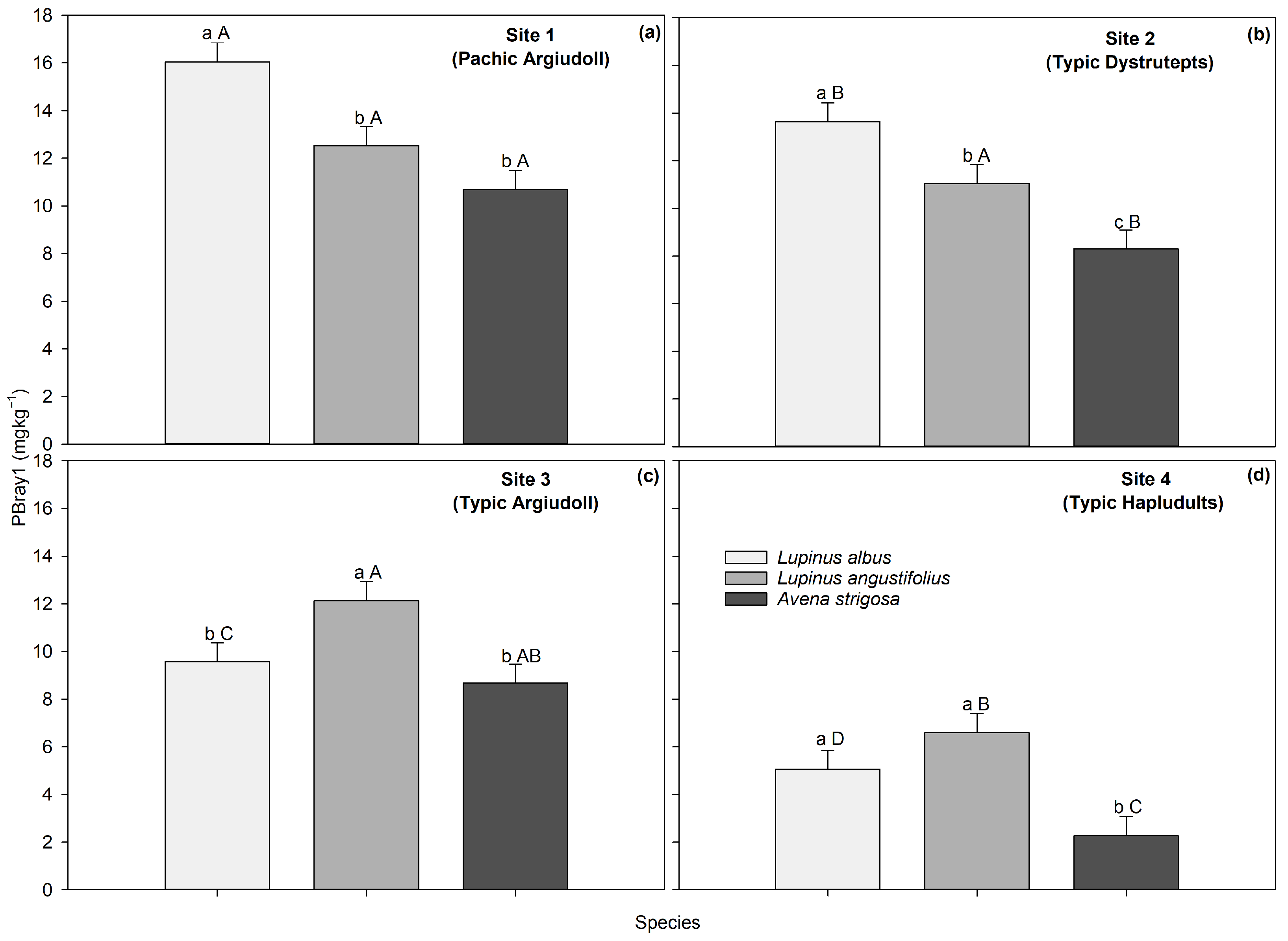
3.1. Species, Soil, and Sampling Time Effects on PBray1 Concentration
3.2. Species and Soil Type Effects on Soil pH
3.3. Aboveground Biomass and Nutritional Status: Effects of Species and Soil Type
3.3.1. Shoots’ Dry Weight and P and N Content
3.3.2. Plants’ Ca, Mg, K, and Micronutrient (Fe and Mn) Concentrations in Aboveground Biomass
3.4. Relationships between Soil and Plant Parameters
4. Discussion
4.1. Effects of Species and Soil Types: Variations in Soil’s PBray1 Concentration and Soil pH
4.2. Effects of Species and Soil Types: Plant Growth and Nutrient Uptake
4.3. Effects of Species and Soil Types: Links between Traits of Soil and Plants
5. Conclusions
Supplementary Materials
Author Contributions
Funding
Data Availability Statement
Acknowledgments
Conflicts of Interest
References
- Vassallo, M. Dinámica y competencia intrasectorial en la agricultura uruguaya: Los cambios en la última década. Agrociencia 2013, 17, 170–179. [Google Scholar] [CrossRef]
- Ernst, O.R.; Dogliotti, S.; Cadenazzi, M.; Kemanian, A.R. Shifting crop-pasture rotations to no-till annual cropping reduces soil quality and wheat yield. Field Crops Res. 2018, 217, 180–187. [Google Scholar] [CrossRef]
- Ernst, O.R.; Kemanian, A.R.; Mazzilli, S.R.; Cadenazzi, M.; Dogliotti, S. Depressed attainable wheat yields under continuous annual no-till agriculture suggest declining soil productivity. Field Crops Res. 2016, 186, 107–116. [Google Scholar] [CrossRef]
- Ministerio de Ganadería, Agricultura y Pesca. DIEA presenta los resultados de la Encuesta Agrícola “Invierno 2021”. Available online: https://www.gub.uy/ministerio-ganaderia-agricultura-pesca/datos-y-estadisticas/estadisticas/diea-presenta-resultados-encuesta-agricola-invierno-2021 (accessed on 7 October 2021).
- Beretta-Blanco, A.; Pérez, O.; Carrasco-Letelier, L. Soil quality decrease over 13 years of agricultural production. Nutr. Cycl. Agroecosystems 2019, 114, 45–55. [Google Scholar] [CrossRef]
- Ernst, O.; Siri-Prieto, G. Impact of perennial pasture and tillage systems on carbon input and soil quality indicators. Soil Tillage Res. 2009, 105, 260–268. [Google Scholar] [CrossRef]
- Cano, J.D.; Ernst, O. Balance aparente de fósforo en rotaciones agrícolas del litoral oeste del Uruguay 1. Inf. Agronómicas 2005, 32, 8–11. [Google Scholar]
- Syers, J.K.; Johnston, A.E.; Curtin, D. Efficiency of soil and fertilizer phosphorus use: Reconciling changing concepts of soil phosphorus behaviour with agronomic information. In FAO Fertilizer and Plant Nutrition Bulletin; FAO: Rome, Italy, 2008; p. 128. [Google Scholar]
- Menezes-Blackburn, D.; Giles, C.; Darch, T.; George, T.S.; Blackwell, M.; Stutter, M.; Shand, C.; Lumsdon, D.; Cooper, P.; Wendler, R.; et al. Opportunities for mobilizing recalcitrant phosphorus from agricultural soils: A review. Plant Soil 2018, 427, 5–16. [Google Scholar] [CrossRef]
- Richardson, A.E.; Barea, J.M.; McNeill, A.M.; Prigent-Combaret, C. Acquisition of phosphorus and nitrogen in the rhizosphere and plant growth promotion by microorganisms. Plant Soil 2009, 321, 305–339. [Google Scholar] [CrossRef]
- Touhami, D.; McDowell, R.W.; Condron, L.M. Role of organic anions and phosphatase enzymes in phosphorus acquisition in the rhizospheres of legumes and grasses grown in a low phosphorus pasture soil. Plants 2020, 9, 1185. [Google Scholar] [CrossRef]
- Barrow, N.J.; Hartemink, A.E. The effects of pH on nutrient availability depend on both soils and plants. Plant Soil 2023, 487, 21–37. [Google Scholar] [CrossRef]
- Schack-Kirchner, H.; Loew, C.A.; Lang, F. The Cumulative Amount of Exuded Citrate Controls Its Efficiency to Mobilize Soil Phosphorus. Front. For. Glob. Change 2020, 3, 550884. [Google Scholar] [CrossRef]
- Pearse, S.J.; Veneklaas, E.J.; Cawthray, G.R.; Bolland, M.D.A.; Lambers, H. Carboxylate release of wheat, canola and 11 grain legume species as affected by phosphorus status. Plant Soil 2006, 288, 127–139. [Google Scholar] [CrossRef]
- Veneklaas, E.J.; Stevens, J.; Cawthray, G.R.; Turner, S.; Grigg, A.M.; Lambers, H. Chickpea and white lupin rhizosphere carboxylates vary with soil properties and enhance phosphorus uptake. Plant Soil 2003, 248, 187–197. [Google Scholar] [CrossRef]
- Kamh, M.; Abdou, M.; Chude, V.; Wiesler, F.; Horst, W.J. Mobilization of phosphorus contributes to positive rotational effects of leguminous cover crops on maize grown on soils from northern Nigeria. J. Plant Nutr. Soil Sci. 2002, 165, 566–572. [Google Scholar] [CrossRef]
- Lambers, H.; Clements, J.C.; Nelson, M.N. How aphosphorus-acquisition strategy based on carboxylate exudation powers the success and agronomic potential of lupines (Lupinus, Fabaceae). Am. J. Bot. 2013, 100, 263–288. [Google Scholar] [CrossRef] [PubMed]
- Ayala, W.; Barrios, E.; Macedo, I.; Sawchik, J.; Terra, J.A. Scouting benefits and developing innovations in temperate grassland to sustainable agriculture production. In Proceedings of the 23rd International Grassland Congress on Sustainable Use of Grassland Resources for Forage Production, Biodiversity and Environmental Protection, New Delhi, India, 20–24 November 2015; pp. 208–214. [Google Scholar]
- Fontaine, S.; Abbadie, L.; Aubert, M.; Barot, S.; Bloor, J.M.G.; Derrien, D.; Duchene, O.; Gross, N.; Henneron, L.; Le Roux, X.; et al. Plant–soil synchrony in nutrient cycles: Learning from ecosystems to design sustainable agrosystems. Glob. Change Biol. 2023, 30, e17034. [Google Scholar] [CrossRef] [PubMed]
- Kirkegaard, J.; Christen, O.; Krupinsky, J.; Layzell, D. Break crop benefits in temperate wheat production. Field Crops Res. 2008, 107, 185–195. [Google Scholar] [CrossRef]
- Hallama, M.; Pekrun, C.; Lambers, H.; Kandeler, E. Hidden miners—The roles of cover crops and soil microorganisms in phosphorus cycling through agroecosystems. Plant Soil 2019, 434, 7–45. [Google Scholar] [CrossRef]
- Mera, M.; Lizana, X.C.; Calderini, D.F. Cropping systems in environments with high yield potential of southern Chile. In Crop Physiology: Applications for Genetic Improvement and Agronomy, 2nd ed.; Sadras, V., Calderini, D., Eds.; Academic Press: Cambridge, MA, USA, 2015; pp. 111–140. [Google Scholar] [CrossRef]
- Espinoza, S.; Ovalle, C.; Zagal, E.; Matus, I.; Tay, J.; Peoples, M.B.; del Pozo, A. Contribution of legumes to wheat productivity in Mediterranean environments of central Chile. Field Crops Res. 2012, 133, 150–159. [Google Scholar] [CrossRef]
- Nuruzzaman, M.; Lambers, H.; Bolland, M.D.A.; Veneklaas, E.J. Phosphorus uptake by grain legumes and subsequently grown wheat at different levels of residual phosphorus fertiliser. Aust. J. Agric. Res. 2005, 56, 1041–1047. [Google Scholar] [CrossRef]
- Wolko, B.; Clements, J.C.; Naganowska, B.; Nelson, M.N.; Yang, H. Lupinus; Kole, C., Ed.; Springer: Berlin/Heidelberg, Germany, 2011. [Google Scholar] [CrossRef]
- Soil Survey Staff. Claves para la Taxonomía de Suelos, 12th ed.; USDA-Natural Resources Conservation Service: Washington, DC, USA, 2014; p. 399. Available online: https://www.nrcs.usda.gov/resources/guides-and-instructions/keys-to-soil-taxonomy (accessed on 15 September 2018).
- Sawchik, J.; Siri, G.; Ayala, W.; Barrios, E.; Bustamante, M.; Ceriani, M.; Gutiérrez, F.; Mosqueira, J.; Otaño, C.; Perez, M.; et al. El sistema agrícola bajo amenaza: ¿qué aportan los cultivos de cobertura y/o laspasturas cortas? In Proceedings of the IV Simposio Nacional de Agricultura, Paysandú, Uruguay, 28–29 October 2015; Ribeiro, A., Barbazán, M., Eds.; Editorial Hemisferio Sur: Montevideo, Uruguay, 2015; pp. 149–168. Available online: http://www.ainfo.inia.uy/digital/bitstream/item/5164/1/Simposio-Nacional-Agricultura-2015-Sawchik-p.149-168.pdf (accessed on 12 February 2024).
- Wang, Y.; Krogstad, T.; Clarke, J.L.; Hallama, M.; Øgaard, A.F.; Eich-Greatorex, S.; Kandeler, E.; Clarke, N. Rhizosphere organic anions play a minor role in improving crop species’ ability to take up residual phosphorus (P) in agricultural soils low in P availability. Front. Plant Sci. 2016, 7, 1664. [Google Scholar] [CrossRef] [PubMed]
- Suzuki, L.E.A.S.; Amaral, R.D.L.D.; Almeida, W.R.D.S.; Ramos, M.F.; Nunes, M.R. Oat Straw Mulching Reduces Interril Erosion and Nutrient Losses Caused by Runoff in a Newly Planted Peach Orchard. Soil Syst. 2023, 7, 8. [Google Scholar] [CrossRef]
- Nelson, D.W.; Sommers, L.E. Total Carbon, Organic Carbon, and Organic Matter. In Methods of Soil Analysis; Sparks, D.L., Page, A.L., Helmke, P.A., Loeppert, R.H., Eds.; Soil Science Society of America and American Society of Agronomy: Madison, WI, USA, 1996. [Google Scholar] [CrossRef]
- Thomas, G.W. Exchangeable Cations. In Methods of Soil Analysis; Page, A., Ed.; Wiley: Hoboken, NJ, USA, 1983; pp. 159–165. [Google Scholar] [CrossRef]
- Lajtha, K.; Driscoll, C.T.; Jarrell, W.M.; Elliott, E.T. Soil phosphorus: Characterization and total element analysis. In Standard Soil Methods for Long Term Ecological Research; Oxford University Press: New York, NY, USA, 1999; pp. 115–143. [Google Scholar]
- Rabuffetti, A. La Fertilidad del Suelo y Su Manejo; Hemisferio Sur: Montevideo, Uruguay, 2017. [Google Scholar]
- Mulvaney, R. Nitrogen-inorganic forms. In Methods of Soil Analysis: Chemical Methods—Part 3; Sparks, D.L., Ed.; Soil Science Society of America, Inc.: Madison, WI, USA, 1996. [Google Scholar]
- Rhine, E.D.; Mulvaney, R.L.; Pratt, E.J.; Sims, G.K. Improving the Berthelot Reaction for Determining Ammonium in Soil Extracts and Water. Soil Sci. Soc. Am. J. 1998, 62, 473–480. [Google Scholar] [CrossRef]
- Beretta, A.N.; Silbermann, A.V.; Paladino, L.; Torres, D.; Bassahun, D.; Musselli, R.; García-Lamohte, A. Soil texture analyses using a hydrometer: Modification of the Bouyoucos method. Cienc. Investig. Agrar. 2014, 41, 25–26. [Google Scholar] [CrossRef]
- Shearer, G.; Kohl, D.H. N2-fixation in field settings: Estimations based on natural 15N abundance. Aust. J. Plant Physiol. 1987, 13, 699–756. [Google Scholar] [CrossRef]
- Murphy, J.; Riley, J.P. A modified single solution method for the determination of phosphate in natural waters. Anal. Chim. Acta 1962, 27, 31–36. [Google Scholar] [CrossRef]
- Jones, J.B.; Case, V.W. Sampling, handling, and analyzing plant tissue samples. In Soil Testing and Plant Analysis; Westerman, R.L., Ed.; SSSA: Madison, WI, USA, 1990; pp. 389–427. [Google Scholar] [CrossRef]
- R Core Team. R: A Language and Environment for Statistical Computing; R Foundation for Statistical Computing: Vienna, Austria, 2019; Available online: http://www.R-project.org (accessed on 15 February 2021).
- Hernández, J.; Zamalvide, J. Procesos de retención de fosforo por los suelos evaluados a través de parámetros de suelo y planta. Agrociencia 1998, 2, 48–63. [Google Scholar] [CrossRef]
- Oburger, E.; Jones, D.L.; Wenzel, W.W. Phosphorus saturation and pH differentially regulate the efficiency of organic acid anion-mediated P solubilization mechanisms in soil. Plant Soil 2011, 341, 363–382. [Google Scholar] [CrossRef]
- Renella, G.; Landi, L.; Valori, F.; Nannipieri, P. Microbial and hydrolase activity after release of low molecular weight organic compounds by a model root surface in a clayey and a sandy soil. Appl. Soil Ecol. 2007, 36, 124–129. [Google Scholar] [CrossRef]
- Ai, J.; Banfield, C.C.; Shao, G.; Zamanian, K.; Stürzebecher, T.; Shi, L.; Fan, L.; Liu, X.; Spielvogel, S.; Dippold, M.A. What controls the availability of organic and inorganic P sources in top- and subsoils? A 33P isotopic labeling study with root exudate addition. Soil Biol. Biochem. 2023, 185, 109129. [Google Scholar] [CrossRef]
- Janes-Bassett, V.; Blackwell, M.S.A.; Blair, G.; Davies, J.; Haygarth, P.M.; Mezeli, M.M.; Stewart, G. A meta-analysis of phosphatase activity in agricultural settings in response to phosphorus deficiency. Soil Biol. Biochem. 2021, 165, 108537. [Google Scholar] [CrossRef]
- Condron, L.; Turner, B.; Cade-Menun, B. Chemistry and Dynamics of Soil Organic Phosphorus. In Phosphorus: Agriculture and the Environment; Thomas Sims, J., Sharpley, A.N., Westermann, D.T., Eds.; Wiley: Hoboken, NJ, USA, 2005. [Google Scholar] [CrossRef]
- Watt, M.; Evans, J.R. Phosphorus acquisition from soil by white lupin (Lupinus albus L.) and soybean (Glycine max L.), species with contrasting root development. Plant Soil 2003, 248, 271–283. [Google Scholar] [CrossRef]
- Wang, Y.; Lambers, H. Root-released organic anions in response to low phosphorus availability: Recent progress, challenges and future perspectives. Plant Soil 2020, 447, 135–156. [Google Scholar] [CrossRef]
- Hinsinger, P. Bioavailability of soil inorganic P in the rhizosphere as affected by root-induced chemical changes: A review. Plant Soil 2001, 237, 173–195. [Google Scholar] [CrossRef]
- Neumann, G.; Römheld, V. Root excretion of carboxylic acids and protons in phosphorus-deficient plants. Plant Soil 1999, 211, 121–130. [Google Scholar] [CrossRef]
- Shen, J.; Li, H.; Neumann, G.; Zhang, F. Nutrient uptake, cluster root formation and exudation of protons and citrate in Lupinus albus as affected by localized supply of phosphorus in a split-root system. Plant Sci. 2005, 168, 837–845. [Google Scholar] [CrossRef]
- Brand, J.D.; Tang, C.; Rathjen, A.J. Adaptation of Lupinus angustifolius L. and L. pilosus Murr. to calcareous soils. Aust. J. Agric. Res. 1999, 50, 1027–1033. [Google Scholar] [CrossRef]
- Kerley, S.J.; Shield, I.F.; Huyghe, C. Specific and genotypic variation in the nutrient content of lupin species in soils of neutral and alkaline pH. Aust. J. Agric. Res. 2001, 52, 93–102. [Google Scholar] [CrossRef]
- Kirkby, E.A.; Le Bot, J.; Adamowicz, S.; Römheld, V. Nitrogen in physiology—An agronomic perspective and implications for the use of different nitrogen forms. Proc. Int. Fertil. Soc. 2009, 653, 1–48. [Google Scholar]
- Bolland, M.D.A.; Brennan, R.F. Comparing the phosphorus requirements of wheat, lupin, and canola. Aust. J. Agric. Res. 2008, 59, 983–998. [Google Scholar] [CrossRef]
- Li, H.; Shen, J.; Zhang, F.; Tang, C.; Lambers, H. Is there a critical level of shoot phosphorus concentration for cluster-root formation in Lupinus albus? Funct. Plant Biol. 2008, 35, 328–336. [Google Scholar] [CrossRef] [PubMed]
- Mengel, K.; Kirkby, E.A.; Kosegarten, H.; Appel, T. Principles of Plant Nutrition; Mengel, K., Kirkby, E.A., Kosegarten, H., Appel, T., Eds.; Springer: Dordrecht, The Netherlands, 2001. [Google Scholar] [CrossRef]
- Uhde-Stone, C. White Lupin: A Model System for Understanding Plant Adaptation to Low Phosphorus Availability. In Legume Nitrogen Fixation in Soils with Low Phosphorus Availability: Adaptation and Regulatory Implication; Sulieman, S., Tran, L.S., Eds.; Springer: Cham, Switzerland, 2017; pp. 243–280. [Google Scholar] [CrossRef]
- Pueyo, J.J.; Quiñones, M.A.; Coba de la Peña, T.; Fedorova, E.E.; Lucas, M.M. Nitrogen and Phosphorus Interplay in Lupin Root Nodules and Cluster Roots. Front. Plant Sci. 2021, 12, 184. [Google Scholar] [CrossRef] [PubMed]
- Unkovich, M.J.; Baldock, J.; Peoples, M.B. Prospects and problems of simple linear models for estimating symbiotic N2 fixation by crop and pasture legumes. Plant Soil 2010, 329, 75–89. [Google Scholar] [CrossRef]
- Unkovich, M.J.; Pate, J.S. An appraisal of recent field measurements of symbiotic N2 fixation by annual legumes. Field Crops Res. 2000, 65, 211–228. [Google Scholar] [CrossRef]
- McLauchlan, K. The nature and longevity of agricultural impacts on soil carbon and nutrients: A review. Ecosystems 2006, 9, 1364–1382. [Google Scholar] [CrossRef]
- Neumann, G.; Massonneau, A.; Martinoia, E.; Römheld, V. Physiological adaptations to phosphorus deficiency during proteoid root development in white lupin. Planta 1999, 208, 373–382. [Google Scholar] [CrossRef]
- Fink, J.R.; Inda, A.V.; Bavaresco, J.; Barrón, V.; Torrent, J.; Bayer, C. Adsorption and desorption of phosphorus in subtropical soils as affected by management system and mineralogy. Soil Tillage Res. 2016, 155, 62–68. [Google Scholar] [CrossRef]
- Barrow, N.J. The effects of pH on phosphate uptake from the soil. Plant Soil 2017, 410, 401–410. [Google Scholar] [CrossRef]
- Bouray, M.; Moir, J.L.; Lehto, N.J.; Condron, L.M.; Touhami, D.; Hummel, C. Soil pH effects on phosphorus mobilization in the rhizosphere of Lupinus angustifolius. Plant Soil 2021, 469, 387–407. [Google Scholar] [CrossRef]
- Martínez-Alcalá, I.; Clemente, R.; Bernal, M.P. Metal availability and chemical properties in the rhizosphere of Lupinus albus L. growing in a high-metal calcareous soil. Water Air Soil Pollut. 2009, 201, 283–293. [Google Scholar] [CrossRef]
- Lambers, H.; Hayes, P.E.; Laliberté, E.; Oliveira, R.S.; Turner, B.L. Leaf manganese accumulation and phosphorus-acquisition efficiency. In Trends in Plant Science; Elsevier: Amsterdam, The Netherlands, 2015; Volume 20, pp. 83–90. [Google Scholar] [CrossRef]
- Ding, W.; Cong, W.F.; Lambers, H. Plant phosphorus-acquisition and -use strategies affect soil carbon cycling. Trends Ecol. Evol. 2021, 36, 899–906. [Google Scholar] [CrossRef]
- Lambers, H.; Shane, M.W.; Cramer, M.D.; Pearse, S.J.; Veneklaas, E.J. Root structure and functioning for efficient acquisition of phosphorus: Matching morphological and physiological traits. Ann. Bot. 2006, 98, 693–713. [Google Scholar] [CrossRef]
- Dessureault-Rompré, J.; Nowack, B.; Schulin, R.; Luster, J. Spatial and temporal variation in organic acid anion exudation and nutrient anion uptake in the rhizosphere of Lupinus albus L. Plant Soil 2007, 301, 123–134. [Google Scholar] [CrossRef]
- Wang, X.; Pearse, S.J.; Lambers, H. Cluster-root formation and carboxylate release in three Lupinus species as dependent on phosphorus supply, internal phosphorus concentration and relative growth rate. Ann. Bot. 2013, 112, 1449–1459. [Google Scholar] [CrossRef]
- Pang, J.; Bansal, R.; Zhao, H.; Bohuon, E.; Lambers, H.; Ryan, M.H.; Ranathunge, K.; Siddique, K.H.M. The carboxylate-releasing phosphorus-mobilizing strategy can be proxied by foliar manganese concentration in a large set of chickpea germplasm under low phosphorus supply. New Phytol. 2018, 219, 518–529. [Google Scholar] [CrossRef]
- Monei, N.; Hitch, M.; Heim, J.; Pourret, O.; Heilmeier, H.; Wiche, O. Effect of substrate properties and phosphorus supply on facilitating the uptake of rare earth elements (REE) in mixed culture cropping systems of Hordeum vulgare, Lupinus albus and Lupinus angustifolius. Environ. Sci. Pollut. Res. 2022, 29, 57172–57189. [Google Scholar] [CrossRef] [PubMed]




| Site (Location) | Soil Type (USDA Classification System) † | Geological Material | OM | Sand | Silt | Clay | Texture ‡ |
|---|---|---|---|---|---|---|---|
| % | |||||||
| Site 1 (Colonia) | Pachic Argiudoll | Clay silt sediment/Crystalline basement | 4.8 | 16.3 | 38.8 | 44.9 | C |
| Site 2 (T. and Tres) | Typic Dystrutepts | Crystalline basement | 3.7 | 23.5 | 44.2 | 32.3 | CL |
| Site 3 (Montevideo) | Typic Argiudolls | Libertad clayey silt sediment | 1.7 | 19.3 | 52.3 | 28.4 | SiCL |
| Site 4 (Rivera) | Typic Hapludults | Colluvial material (Sandy soils)/Tacuarembó sandstones | 1.4 | 84.7 | 1.4 | 13.9 | SL |
| Treatment Effect | DF | F Value | p > F † |
|---|---|---|---|
| Species | 2 | 23.05 | <0.0001 |
| Soil type | 3 | 101.56 | <0.0001 |
| Species x soil type | 6 | 1.36 | 0.2564 |
| Sampling time | 3 | 91.85 | <0.0001 |
| Species × sampling time | 6 | 2.29 | 0.0518 |
| Soil type × sampling time | 9 | 6.66 | <0.0001 |
| Species × soil type × sampling time | 18 | 2.17 | 0.0133 |
| Site | Species | Exchangeable Acidity | Exchangeable Aluminum | ||
|---|---|---|---|---|---|
| cmolc kg−1 | |||||
| 1 | Lupinus albus | 0.07 ± 0.01 | ns C | 0.01 ± 0.03 | ns C |
| Lupinus angustifolius | 0.08 ± 0.02 | ns C | 0.04 ± 0.03 | ns ns | |
| Avena strigosa | 0.07 ± 0.01 | ns BC | 0.04 ± 0.01 | ns AB | |
| 2 | Lupinus albus | 0.69 ± 0.04 | a A | 0.18 ± 0.03 | ns A |
| Lupinus angustifolius | 0.56 ± 0.09 | a A | 0.10 ± 0.03 | ns ns | |
| Avena strigosa | 0.33 ± 0.04 | b A | 0.13 ± 0.03 | ns A | |
| 3 | Lupinus albus | 0.08 ± 0.03 | ns C | 0.06 ± 0.02 | ns BC |
| Lupinus angustifolius | 0.05 ± 0.00 | ns C | 0.06 ± 0.02 | ns ns | |
| Avena strigosa | 0.03 ± 0.01 | ns C | 0.03 ± 0.03 | ns B | |
| 4 | Lupinus albus | 0.32 ± 0.08 | a B | 0.11 ± 0.03 | ns AB |
| Lupinus angustifolius | 0.23 ± 0.04 | ab B | 0.10 ± 0.03 | ns ns | |
| Avena strigosa | 0.17 ± 0.07 | b B | 0.08 ± 0.03 | ns AB | |
| Significance of treatment effect | |||||
| Species | 0.0008 | 0.6089 | |||
| Soil type | <0.0001 | 0.0008 | |||
| Species × soil type | 0.0179 | 0.6339 | |||
| Site | Species | Shoots’ Dry Weight | Plants’ P Concentration | Plants’ N Concentration | Plants’ P Content | Plants’ N Content | |||||
|---|---|---|---|---|---|---|---|---|---|---|---|
| g pot−1 | mg g−1 Dry Weight | mg pot−1 | |||||||||
| 1 | Lupinus albus | 12.5 ± 1.5 | a A | 1.3 ± 0.1 | a AB | 29.3 ± 1.0 | a ns | 15.5 ± 1.7 | a A | 366.5 ± 46.5 | a A |
| Lupinus angustifolius | 6.7 ± 0.3 | b A | 1.4 ± 0.1 | a A | 26.1 ± 1.6 | a ns | 9.0 ± 0.6 | b A | 174.4 ± 15.3 | b A | |
| Avena strigosa | 14.5 ± 1.1 | a B | 1.2 ± 0.1 | b A | 5.7 ± 0.2 | b B | 16.8 ± 1.3 | a B | 81.9 ± 4.8 | c B | |
| 2 | Lupinus albus | 13.9 ± 1.3 | b A | 1.4 ± 0.1 | a A | 31.9 ± 1.3 | a ns | 19.5 ± 1.3 | a A | 436.9 ± 24.7 | a A |
| Lupinus angustifolius | 7.8 ± 1.1 | c A | 1.4 ± 0.1 | a A | 24.5 ± 0.4 | b ns | 10.6 ± 1.6 | b A | 189.8 ± 25.8 | b A | |
| Avena strigosa | 27.0 ± 2.7 | a A | 0.9 ± 0.0 | b B | 8.4 ± 1.0 | c AB | 23.5 ± 1.4 | a A | 222.1 ± 19.1 | b A | |
| 3 | Lupinus albus | 14.0 ± 1.3 | a A | 1.1 ± 0.1 | c B | 28.8 ± 1.9 | a ns | 15.4 ± 2.1 | a A | 402.4 ± 37.0 | a A |
| Lupinus angustifolius | 7.0 ± 1.9 | b A | 1.5 ± 0.1 | a A | 29.4 ± 1.4 | a ns | 10.8 ± 2.9 | b A | 203.6 ± 52.9 | b A | |
| Avena strigosa | 8.1 ± 0.4 | b C | 1.3 ± 0.1 | b A | 6.5 ± 0.3 | b B | 10.2 ± 0.9 | b C | 52.9 ± 3.01 | c B | |
| 4 | Lupinus albus | 6.5 ± 1.1 | b B | 0.9 ± 0.1 | a C | 27.5 ± 2.4 | a ns | 5.6 ± 1.2 | ns B | 180.7 ± 38.6 | a B |
| Lupinus angustifolius | 1.7 ± 0.4 | c B | 0.6 ± 0.2 | b B | 30.2 ± 0.0 | a ns | 1.1 ± 0.6 | ns B | 38.1 ± 0.0 | b B | |
| Avena strigosa | 11.0 ± 0.4 | a BC | 0.5 ± 0.0 | b C | 10.2 ± 0.6 | b A | 5.3 ± 0.3 | ns D | 111.8 ± 2.8 | ab B | |
| Significance of treatment effect | |||||||||||
| Species | <0.0001 | 0.0004 | <0.0001 | <0.0001 | <0.0001 | ||||||
| Soil type | <0.0001 | <0.0001 | 0.3286 | <0.0001 | <0.0001 | ||||||
| Species × soil type | <0.0001 | 0.0017 | 0.0088 | 0.0062 | 0.0009 | ||||||
| Site | Species | Plants’ Ca Concentration | Plants’ Mg Concentration | Plants’ K Concentration | Plants’ Mn Concentration | Plants’ Fe Concentration | |||||
|---|---|---|---|---|---|---|---|---|---|---|---|
| mg g−1 | mg kg−1 | ||||||||||
| 1 | Lupinus albus | 5.6 ± 0.4 | b AB | 1.4 ± 0.1 | b AB | 14.3 ± 1.7 | ns B | 482.6 ± 51.2 | b B | 97.2 ± 12.7 | b BC |
| Lupinus angustifolius | 26.5 ± 1.6 | a ns | 4.7 ± 0.3 | a ns | 16.2 ± 0.2 | ns ns | 1067.0 ± 150.2 | a B | 214.2 ± 23.5 | a ns | |
| Avena strigosa | 3.1 ± 0.2 | c B | 1.2 ± 0.1 | c B | 15.5 ± 0.6 | ns ns | 216.7 ± 27.6 | b ns | 36.9 ± 8.6 | b B | |
| 2 | Lupinus albus | 3.9 ± 0.4 | b B | 1.1 ± 0.1 | b B | 13.7 ± 1.1 | ns B | 537.6 ± 218.2 | b B | 54.0 ± 5.5 | ab C |
| Lupinus angustifolius | 22.5 ± 1.1 | a ns | 4.4 ± 0.2 | a ns | 14.7 ± 1.9 | ns ns | 3161.0 ± 259.1 | a A | 142.1 ± 4.8 | a ns | |
| Avena strigosa | 2.9 ± 0.3 | b B | 1.5 ± 0.1 | b B | 13.0 ± 0.9 | ns ns | 214.9 ± 21.66 | b ns | 28.7 ± 2.6 | b B | |
| 3 | Lupinus albus | 7.2 ± 0.1 | b A | 2.0 ± 0.3 | b A | 17.1 ± 0.7 | ns A | 1191.2 ± 21.51 | a A | 165.3 ± 21.5 | a AB |
| Lupinus angustifolius | 26.7 ± 1.3 | a ns | 4.5 ± 0.2 | a ns | 17.4 ± 1.1 | ns ns | 791.9 ± 184.0 | a B | 214.6 ± 36.6 | a ns | |
| Avena strigosa | 4.4 ± 0.6 | b AB | 1.0 ± 0.2 | b B | 15.1 ± 0.2 | ns ns | 209.8 ± 96.0 | b ns | 47.7 ± 18.7 | b B | |
| 4 | Lupinus albus | 4.3 ± 0.1 | b B | 1.2 ± 0.2 | b B | 13.2 ± 1.3 | ns B | 628.6 ± 210.0 | ab B | 189.0 ± 28.5 | b A |
| Lupinus angustifolius | 12.0 ± 0.0 | a ns | 3.1 ± 0.0 | a ns | 10.8 ± 0.0 | ns ns | 1021.5 ± 0.0 | a B | 218.6 ± 0.0 | b ns | |
| Avena strigosa | 4.1 ± 0.2 | a A | 2.9 ± 0.2 | a A | 14.7 ± 0.2 | ns ns | 403.0 ± 47.3 | b ns | 440.1 ± 88.7 | a A | |
| Significance of treatment effect | |||||||||||
| Species | <0.0001 | <0.0001 | 0.7014 | <0.0001 | 0.0342 | ||||||
| Soil type | 0.1651 | 0.4564 | 0.0453 | <0.0001 | <0.0001 | ||||||
| Species × soil type | 0.0237 | 0.0026 | 0.4818 | <0.0001 | <0.0001 | ||||||
| ∆pH− Initial † | PBray1− 48dap | PBray1− 87dap | Shoots’ Dry Weight | Plants’ N Content | Plants’ P Content | Plants’ Fe Concentration | |
|---|---|---|---|---|---|---|---|
| PBray1−48dap | −0.56 *** | ||||||
| PBray1−87dap | −0.61 *** | 0.76 *** | |||||
| Shoots’ dry weight | −0.24 | 0.39 ** | 0.06 | ||||
| Plants’ N content | −0.56 *** | 0.49 *** | 0.50 *** | 0.32 * | |||
| Plants’ P content | −0.59 *** | 0.66 *** | 0.45 ** | 0.83 *** | 0.54 *** | ||
| Plants’ Fe concentration | 0.53 *** | −0.57 *** | −0.42 ** | −0.36 * | −0.17 | −0.61 *** | |
| Plants’ Mn concentration | −0.36 * | 0.02 | 0.36 * | −0.28 | 0.14 | −0.13 | 0.15 |
Disclaimer/Publisher’s Note: The statements, opinions and data contained in all publications are solely those of the individual author(s) and contributor(s) and not of MDPI and/or the editor(s). MDPI and/or the editor(s) disclaim responsibility for any injury to people or property resulting from any ideas, methods, instructions or products referred to in the content. |
© 2024 by the authors. Licensee MDPI, Basel, Switzerland. This article is an open access article distributed under the terms and conditions of the Creative Commons Attribution (CC BY) license (https://creativecommons.org/licenses/by/4.0/).
Share and Cite
Mori Alvez, C.; Perdomo Varela, C.; González Barrios, P.; Bentos Guimaraes, A.; del Pino Machado, A. Lupine Cultivation Affects Soil’s P Availability and Nutrient Uptake in Four Contrasting Soils. Agronomy 2024, 14, 389. https://doi.org/10.3390/agronomy14020389
Mori Alvez C, Perdomo Varela C, González Barrios P, Bentos Guimaraes A, del Pino Machado A. Lupine Cultivation Affects Soil’s P Availability and Nutrient Uptake in Four Contrasting Soils. Agronomy. 2024; 14(2):389. https://doi.org/10.3390/agronomy14020389
Chicago/Turabian StyleMori Alvez, Cristina, Carlos Perdomo Varela, Pablo González Barrios, Andrea Bentos Guimaraes, and Amabelia del Pino Machado. 2024. "Lupine Cultivation Affects Soil’s P Availability and Nutrient Uptake in Four Contrasting Soils" Agronomy 14, no. 2: 389. https://doi.org/10.3390/agronomy14020389
APA StyleMori Alvez, C., Perdomo Varela, C., González Barrios, P., Bentos Guimaraes, A., & del Pino Machado, A. (2024). Lupine Cultivation Affects Soil’s P Availability and Nutrient Uptake in Four Contrasting Soils. Agronomy, 14(2), 389. https://doi.org/10.3390/agronomy14020389

