Poly-Glutamic Acid Promotes the Growth and the Accumulation of Main Medicinal Components in Salvia miltiorrhiza
Abstract
1. Introduction
2. Material and Methods
2.1. Plant Material and Treatment
2.2. Assays of Growth Parameters
2.3. Assays of SPAD, Pn, and Chlorophyll Fluorescence Parameters
2.4. Assays of SP, SS, and Pro Contents in Leaves
2.5. Assays of Tr, Gs, WUE, and LRWC
2.6. Assays of Antioxidant Enzymes and MDA Content in Leaves
2.7. Determination of AsA and GSH Contents in Leaves
2.8. Real-Time Quantitative PCR (qRT-PCR) of Key Genes Coding Enzymes Responsible for the Biosynthesis of Main Medicinal Components in Root
2.9. Assays of the Yield of Main Medicinal Components per Plant in Root
2.10. Statistical Analysis
3. Results
3.1. Influences of PGA on Growth Parameters
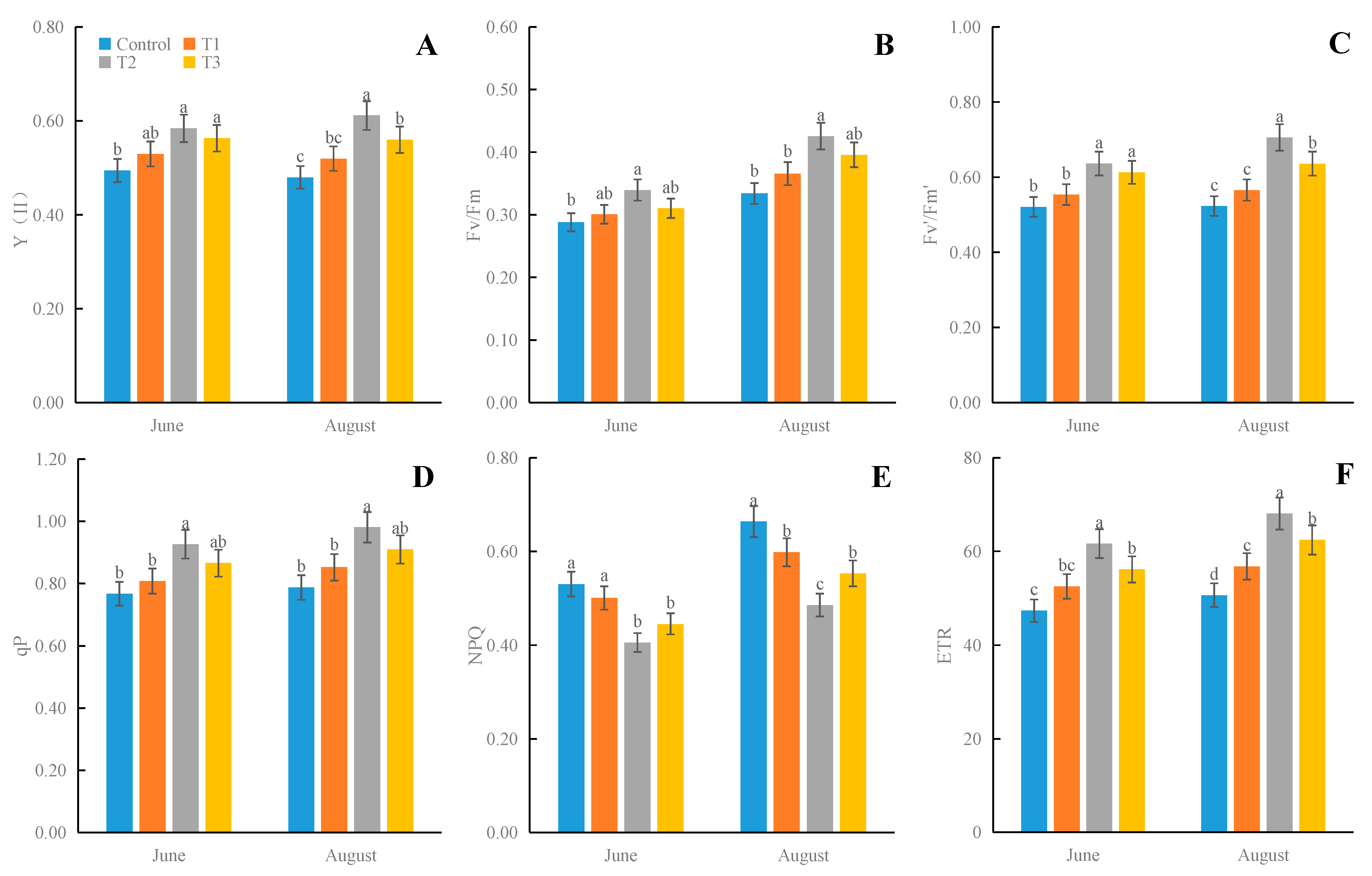
3.2. Effects of PGA on Photosynthetic Performance
3.3. Effects of PGA on Water Physiological Characteristics
3.4. Influences of PGA on the Antioxidant Capacity
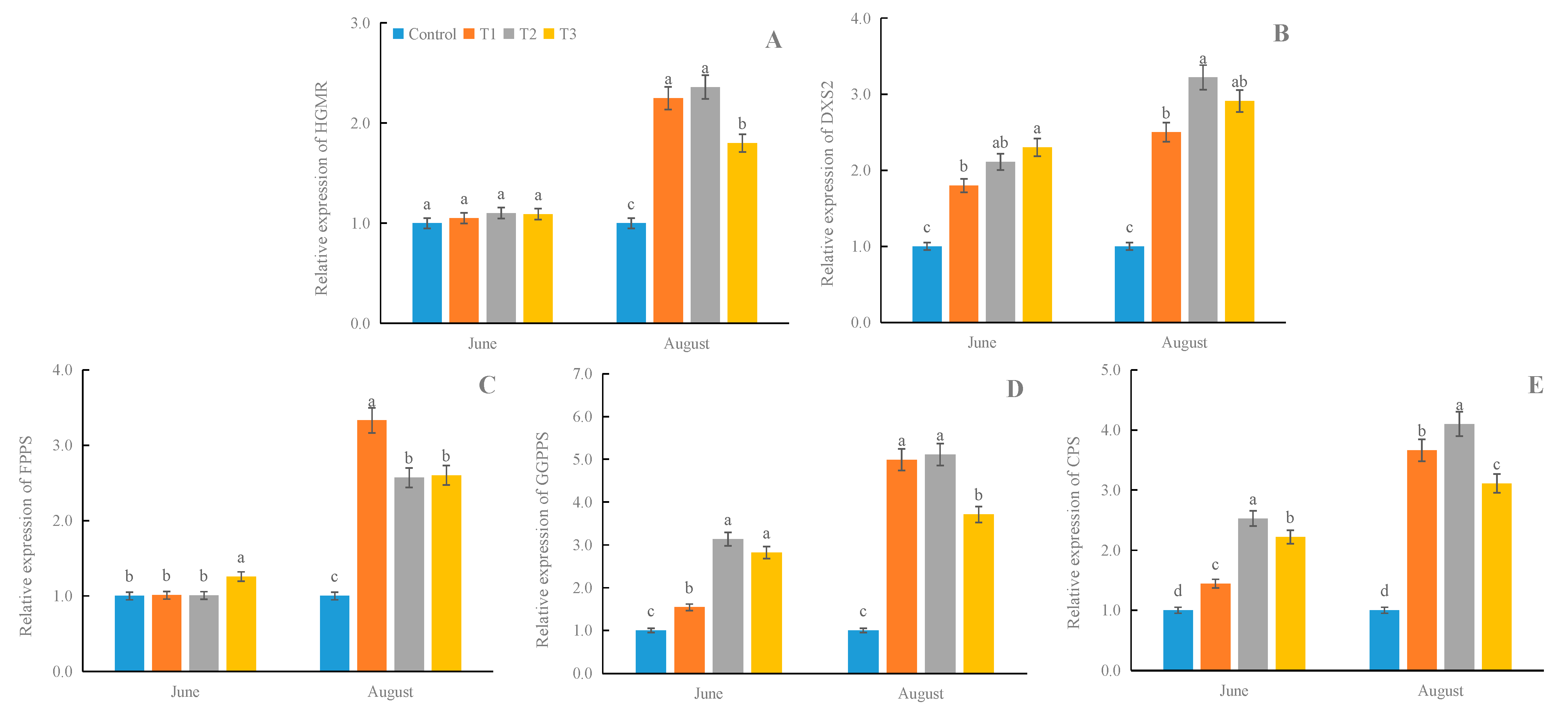
3.5. Effects of PGA on the Yield of RosA and SalB per Plant and the Expression of Genes Coding Enzymes Responsible for Their Biosynthesis in S. miltiorrhiza Root
3.6. Effects of PGA on the Yield of Main Tanshinones per Plant and the Expression of Genes Coding Enzymes Responsible for Their Biosynthesis in S. miltiorrhiza Root
3.7. Effects of PGA on Final Biomass and the Final Yield of Main Medicinal Components per Plant
4. Discussion
5. Conclusions
Author Contributions
Funding
Data Availability Statement
Conflicts of Interest
References
- Ghanadian, M.; Afshar, R.J.; Fakhim, H.; Yousefi, H.; Matkowski, A.; Khodadadi, M.; Gharibi, S. Bioassay-guided isolation in Salvia abrotanoides Karel. stem based on its anti-fungal and anti-trichomonas activity. Res. Pharm. Sci. 2023, 18, 317–325. [Google Scholar] [PubMed]
- Wang, B.; Sun, W.; Li, Q.; Li, Y.; Luo, H.; Song, J.; Sun, C.; Qian, J.; Zhu, Y.; Hayward, A.; et al. Genome-wide identification of phenolic acid biosynthetic genes in Salvia miltiorrhiza. Planta 2015, 241, 711–725. [Google Scholar] [PubMed]
- Xie, Y.; Ding, M.; Yin, X.; Wang, G.; Zhang, B.; Chen, L.; Ma, P.; Dong, J. MAPKK2/4/5/7-MAPK3-JAZs modulate phenolic acid biosynthesis in Salvia miltiorrhiza. Phytochemistry 2022, 199, 113177. [Google Scholar] [PubMed]
- Khodadadi, F.; Ahmadi, F.S.; Talebi, M.; Matkowski, A.; Szumny, A.; Afshari, M.; Rahimmalek, M. Metabolic and transcriptomic approaches of chitosan and water stress on polyphenolic and terpenoid components and gene expression in Salvia abrotanoides (Karl.) and S. yangii. Int. J. Mol. Sci. 2023, 24, 15426. [Google Scholar] [PubMed]
- Afshari, M.; Rahimmalek, M.; Sabzalian, M.R.; Bielecka, M.; Matkowski, A.; Talebi, M. Changes in physiological, phytochemical traits and gene expression of two Perovskia species in response to water deficit. Sci. Hortic. 2022, 293, 110747. [Google Scholar]
- Zou, L.; Liu, D.; Yang, H.; Zhou, C.; Deng, S.; Xu, N.; He, X.; Liu, Y.; Shao, M.; Yu, L.; et al. Salvianolic acids from Salvia miltiorrhiza Bunge and their anti-inflammatory effects through the activation of α7nAchR signaling. J. Ethnopharmacol. 2023, 317, 116743. [Google Scholar]
- Wei, B.; Sun, C.; Wan, H.; Shou, Q.; Han, B.; Sheng, M.; Li, L.; Kai, G. Bioactive components and molecular mechanisms of Salvia miltiorrhiza Bunge in promoting blood circulation to remove blood stasis. J. Ethnopharmacol. 2023, 317, 116697. [Google Scholar]
- Hao, X.L.; Pu, Z.Q.; Cao, G.; You, D.W.; Zhou, Y.; Deng, C.P.; Shi, M.; Nile, S.H.; Wang, Y.; Zhou, W.; et al. Tanshinone and salvianolic acid biosynthesis are regulated by SmMYB98 in Salvia miltiorrhiza hairy roots. J. Adv. Res. 2020, 23, 1–12. [Google Scholar]
- Wu, Y.B.; Ni, Z.Y.; Shi, Q.W.; Dong, M.; Kiyota, H.; Gu, Y.C.; Cong, B. Constituents from Salvia species and their biological activities. Chem. Rev. 2012, 112, 5967–6026. [Google Scholar]
- Liang, Y.; Kang, L.Y.; Qi, Z.H.; Gao, X.; Quan, H.L.; Lin, H.F. Salvia miltiorrhiza solution and its active compounds ameliorate human granulosa cell damage induced by H2O2. Exp. Ther. Med. 2021, 21, 64. [Google Scholar]
- Wang, B.Q. Salvia miltiorrhiza: Chemical and pharmacological review of a medicinal plant. J. Med. Plant Res. 2010, 4, 2813–2820. [Google Scholar]
- Zhang, Y.; Zhang, T.; Pan, Y.; Ma, L.; Fang, Y.; Pan, C.; Qiang, Y.; Cao, X.; Xu, H. Nano-selenium promotes the product quality and plant defense of Salvia miltiorrhiza by inducing tanshinones and salvianolic acids accumulation. Ind. Crops Prod. 2023, 195, 116436. [Google Scholar]
- Han, M.; Guo, W.; Liang, Z.; Yang, D.; Yan, X.; Zhu, Y.; Liu, Y. Effects of cerous nitrate on growth and tanshinone production in Salvia miltiorrhiza hairy roots. J. Rare Earth. 2015, 33, 1228–1235. [Google Scholar]
- Sun, H.; Xu, Z.; Zhou, J.; Guo, L. Karrikins-induced accumulation of salvianolic acid B is regulated by jasmonic acid and hydrogen peroxide in Salvia miltiorrhiza. S. Afr. J. Bot. 2020, 130, 371–374. [Google Scholar]
- Sun, H.; Xu, Z.; Zhou, J.; Guo, L. Karrikins-induced accumulation of salvianolic acid B is mediated by calcium–calmodulin, brassinolide and jasmonic acid in Salvia miltiorrhiza. S. Afr. J. Bot. 2020, 132, 45–49. [Google Scholar]
- Shi, M.; Hua, Q.; Kai, G. Comprehensive transcriptomic analysis in response to abscisic acid in Salvia miltiorrhiza. Plant Cell Tiss. Organ Cult. 2021, 147, 389–404. [Google Scholar]
- Islam, J.; Ryu, B.R.; Azad, O.K.; Rahman, H.; Rana, S.; Lim, J.D.; Lim, Y.S. Exogenous putrescine enhances salt tolerance and ginsenosides content in Korean Ginseng (Panax ginseng Meyer) sprouts. Plants 2021, 10, 1313. [Google Scholar]
- Chang, Q.; Zhang, L.; Chen, S.; Gong, M.; Liu, L.; Hou, X.; Mi, Y.; Wang, X.; Wang, J.; Zhang, Y.; et al. Exogenous melatonin enhanced the yield and secondary metabolite contents of Prunella vulgaris by modulating antioxidant system, root architecture and photosynthetic capacity. Plants 2023, 12, 1129. [Google Scholar]
- Thakore, D.; Srivastava, A.K.; Sinha, A.K. Mass production of Ajmalicine by bioreactor cultivation of hairy roots of Catharanthus roseus. Biochem. Eng. J. 2017, 119, 84–91. [Google Scholar]
- Jose, B.; Silja, P.K.; Pillai, D.B.; Satheeshkumar, K. In vitro cultivation of hairy roots of Plumbago rosea L. in a customized Reaction kettle for the production of plumbagin—An anticancer compound. Ind. Crops Prod. 2016, 87, 89–95. [Google Scholar]
- Kawka, M.; Bubko, I.; Koronkiewicz, M.; Gruber-Bzura, B.; Graikou, K.; Chinou, I.; Jeziorek, M.; Pietrosiuk, A.; Sykłowska-Baranek, K. Polyurethane foam rafts supported in vitro cultures of Rindera graeca roots for enhanced production of Rinderol, potent proapoptotic naphthoquinone compound. Int. J. Mol. Sci. 2022, 23, 56. [Google Scholar]
- Nowak, B.; Kawka, M.; Wierzchowski, K.; Sykłowska-Baranek, K.; Pilarek, M. MTMS-based aerogel constructs for immobilization of plant hairy roots: Effects on proliferation of Rindera graeca biomass and extracellular secretion of naphthoquinones. J. Funct. Biomater. 2021, 12, 19. [Google Scholar]
- Wierzchowski, K.; Kawka, M.; Wrzecionek, M.; Urbanek, J.; Pietrosiuk, A.; Sykłowska-Baranek, K.; Gadomska-Gajadhur, A.; Pilarek, M. Stress-induced intensification of deoxyshikonin production in Rindera graeca hairy root cultures with ester-based scaffolds. Plants 2022, 11, 3462. [Google Scholar] [PubMed]
- Chang, Y.N.; Mueller, R.E.; Iannotti, E.L. Use of low MW polylactic acid and lactide to stimulate growth and yield of soybeans. Plant Growth Regul. 1996, 19, 223–232. [Google Scholar]
- Srivastava, S.; Srivastava, A.K. Azadirachtin production by hairy root cultivation of Azadirachta indica in a modified stirred tank reactor. Bioprocess Biosyst. Eng. 2012, 35, 1549–1553. [Google Scholar] [PubMed]
- Chen, C.; Wu, L.; Harbottle, M. Influence of biopolymer gel-coated fibres on sand reinforcement as a model of plant root behaviour. Plant Soil 2019, 438, 361–375. [Google Scholar]
- Patil, S.V.; Salunke, B.K.; Patil, C.D.; Salunkhe, R.B. Studies on amendment of different biopolymers in sandy loam and their effect on germination, seedling growth of Gossypium herbaceum L. Appl. Biochem. Biotechnol. 2011, 163, 780–791. [Google Scholar] [PubMed]
- Chakraborty, M.; Hasanuzzaman, M.; Rahman, M.; Khan, M.A.R.; Bhowmik, P.; Mahmud, N.U.; Tanveer, M.; Islam, T. Mechanism of plant growth promotion and disease suppression by chitosan biopolymer. Agriculture 2020, 10, 624. [Google Scholar]
- Zagzog, O.A.; Gad, M.M.; Hafez, N.K. Effect of nano-chitosan on vegetative growth, fruiting and resistance of malformation of mango. Trends Hortic. Res. 2017, 6, 673–681. [Google Scholar]
- Balogun-Agbaje, O.A.; Odeniyi, O.A.; Odeniyi, M.A. Drug delivery applications of poly-γ-glutamic acid. Futur. J. Pharm. Sci. 2021, 7, 125. [Google Scholar]
- Wang, L.; Chen, S.; Yu, B. Poly-γ-glutamic acid: Recent achievements, diverse applications and future perspectives. Trends Food Sci. Technol. 2022, 119, 1–12. [Google Scholar]
- Bai, N.; Zhang, H.; Li, S.; Zheng, X.; Zhang, J.; Sun, L.; Lv, W. Effects of application rates of poly-γ-glutamic acid on vegetable growth and soil bacterial community structure. Appl. Soil Ecol. 2020, 147, 103405. [Google Scholar]
- Xu, Z.; Ma, J.; Lei, P.; Wang, Q.; Feng, X.; Xu, H. Poly-γ-glutamic acid induces system tolerance to drought stress by promoting abscisic acid accumulation in Brassica napus L. Sci. Rep. 2020, 10, 252. [Google Scholar]
- Quan, J.; Zheng, W.W.; Tan, J.R.; Li, Z.W.; Wu, M.F.; Hong, S.B.; Zhao, Y.T.; Zhou, Z.J.; Zang, X.Y. Glutamic acid and poly-γ-glutamic acid enhanced the heat resistance of Chinese cabbage (Brassica rapa L. ssp. pekinensis) by improving carotenoid biosynthesis, photosynthesis, and ROS signaling. Int. J. Mol. Sci. 2022, 23, 11671. [Google Scholar] [PubMed]
- Ma, H.; Li, P.; Liu, X.; Li, C.; Zhang, S.; Wang, X.; Tao, X. Poly-γ-glutamic acid enhanced the drought resistance of maize by improving photosynthesis and affecting the rhizosphere microbial community. BMC Plant Biol. 2022, 22, 11. [Google Scholar]
- Cao, L.; Lu, X.; Wang, G.; Dang, Z.; Qiu, T.; Qiu, J.; Tian, Y.; Wang, Z.; Dang, Y. Effects of foliar spraying with carbon-adsorbed polyglutamic acid on growth and development of maize. Crops 2022, 38, 158–166. [Google Scholar]
- Wei, Q. The Experiment of Basic Biochemistry; Higher Education Press: Beijing, China, 2009; pp. 84–86. [Google Scholar]
- Bradford, M.M. A rapid and sensitive method for the quantitation of microgram quantities of protein utilizing the principle of protein-dye binding. Anal. Biochem. 1976, 72, 248–254. [Google Scholar]
- Bates, L.E.; Waldren, R.P.; Teare, I.D. Rapid determination of free proline for water-stress studies. Plant Soil 1973, 39, 205–207. [Google Scholar]
- Giannopolitis, C.N.; Ries, S.K. Superoxide dismutases occurrence in higher plants. Plant Physiol. 1977, 59, 309–314. [Google Scholar]
- Scebba, F.; Sebastiani, L.; Vitagliano, C. Activities of antioxidant enzymes during senescence of Prunus armeniaca leaves. Biol. Plantarum 2001, 44, 41–46. [Google Scholar]
- Kato, M.; Shimizu, S. Chlorophyll metabolism in higher plants VII. Chlorophyll degradation in senescing tobacco leaves: Phenolic-dependent peroxidative degradation. Can. J. Bot. 1987, 65, 729–735. [Google Scholar]
- Shan, C.; Liang, Z. Jasmonic acid regulates ascorbate and glutathione metabolism in Agropyron cristatum leaves under water stress. Plant Sci. 2010, 178, 130–139. [Google Scholar]
- Hodges, D.M.; Andrews, C.J.; Johnson, D.A.; Hamilton, R.I. Antioxidant compound responses to chilling stress in differentially sensitive inbred maize lines. Physiol. Plant 1996, 98, 685–692. [Google Scholar]
- Griffith, O.W. Determination of glutathione and glutathione disulfide using glutathione reductase and 2-vinylpyridine. Anal. Biochem. 1980, 106, 207–212. [Google Scholar] [PubMed]
- Wang, F.; You, H.; Du, X.; Yang, Z.; Zhang, X.; Liang, Z.; Yang, D. Effects of different nitrogen sources on accumulation of active components in hairy roots of Salvia miltiorrhiza and Salvia castanea f. tomentosa. Chin. Tradit. Herb. Drugs 2020, 51, 2538–2547. [Google Scholar]
- Xu, Z.; Lei, P.; Pang, X.; Li, H.; Feng, X.; Xu, H. Exogenous application of poly-γ-glutamic acid enhances stress defense in Brassica napus L. seedlings by inducing cross-talks between Ca2+, H2O2, brassinolide, and jasmonic acid in leaves. Plant Physiol. Biochem. 2017, 118, 460–470. [Google Scholar]
- Chen, L.; Fei, L.J.; Wang, Z.L.; Salahou, M.K.; Liu, L.; Zhong, Y.; Dai, Z.G. The effects of ploy (γ-glutamic acid) on spinach productivity and nitrogen use efficiency in North-West China. Plant Soil Environ. 2018, 64, 517–522. [Google Scholar]
- Liang, J.; Shi, W. Poly-γ-glutamic acid improves water-stable aggregates, nitrogen and phosphorus uptake efficiency, water-fertilizer productivity, and economic benefit in barren desertified soils of Northwest China. Agric. Water Manag. 2021, 245, 106551. [Google Scholar]
- Wang, X.; Dong, G.; Liu, X.; Zhang, S.; Li, C.; Lu, X.; Xia, T. Poly-γ-glutamic acid-producing bacteria reduced Cd uptake and effected the rhizosphere microbial communities of lettuce. J. Hazard. Mater. 2020, 398, 123146. [Google Scholar]
- Guo, Z.; Yang, N.; Zhu, C.; Gan, L. Exogenously applied poly-γ-glutamic acid alleviates salt stress in wheat seedlings by modulating ion balance and the antioxidant system. Environ. Sci. Pollut. Res. 2017, 24, 6592–6598. [Google Scholar]
- Pang, X.; Lei, P.; Feng, X.; Xu, Z.; Xu, H.; Liu, K. Poly-γ-glutamic acid, a bio-chelator, alleviates the toxicity of Cd and Pb in the soil and promotes the establishment of healthy Cucumis sativus L. seedling. Environ. Sci. Pollut. Res. 2018, 25, 19975–19988. [Google Scholar]
- Wang, Y.; Duan, W.; Lv, C.; Wei, Z.; Zhu, Y.; Yang, Q.; Liu, Y.; Shen, Z.; Xia, Y.; Duan, K.; et al. Citric acid and poly-glutamic acid promote the phytoextraction of cadmium and lead in Solanum nigrum L. grown in compound Cd–Pb contaminated soils. Bull. Environ. Contam. Toxicol. 2023, 110, 37. [Google Scholar] [PubMed]
- Lei, P.; Xu, Z.; Liang, J.; Luo, X.; Zhang, Y.; Feng, X.; Xu, H. Poly(γ-glutamic acid) enhanced tolerance to salt stress by promoting proline accumulation in Brassica napus L. Plant Growth Regul. 2016, 78, 233–241. [Google Scholar]
- Maslennikova, D.R.; Lastochkina, O.V.; Shakirova, F.M. Exogenous sodium nitroprusside improves salt stress tolerance of wheat (Triticum aestivum L.) via regulating the components of ascorbate-glutathione cycle, chlorophyll content and stabilization of cell membranes state. Russ. J. Plant Physiol. 2022, 69, 130. [Google Scholar]
- Gao, W.; Sun, H.-X.; Xiao, H.; Cui, G.; Hillwig, M.; Jackson, A.; Wang, X.; Shen, Y.; Zhao, N.; Zhang, L.; et al. Combining metabolomics and transcriptomics to characterize tanshinone biosynthesis in Salvia miltiorrhiza. BMC Genom. 2014, 15, 73. [Google Scholar]
- Jiang, Z.; Gao, W.; Huang, L. Tanshinones, critical pharmacological components in Salvia miltiorrhiza. Front. Pharmacol. 2019, 10, 202. [Google Scholar]
- Xu, Z.; Peters, R.J.; Weirather, J.; Luo, H.; Liao, B.; Zhang, X.; Zhu, Y.; Ji, A.; Zhang, B.; Hu, S.; et al. Full-length transcriptome sequences and splice variants obtained by a combination of sequencing platforms applied to different root tissues of Salvia miltiorrhiza and tanshinone biosynthesis. Plant J. 2015, 82, 951–961. [Google Scholar]
- Hou, Z.; Li, Y.; Su, F.; Wang, Y.; Zhang, X.; Xu, L.; Yang, D.; Liang, Z. The exploration of methyl jasmonate on the tanshinones biosynthesis in hair roots of Salvia miltiorrhiza Bunge and Salvia castanea f. tomentosa Stib. Ind. Crops Prod. 2021, 167, 113563. [Google Scholar]
- Zhou, J.; Ran, Z.F.; Liu, Q.; Xu, Z.X.; Xiong, Y.H.; Fang, L.; Guo, L.P. Jasmonic acid serves as a signal role in smoke-isolated butenolide-induced tanshinones biosynthesis in Salvia miltiorrhiza hairy root. S. Afr. J. Bot. 2019, 121, 355–359. [Google Scholar]
- Shi, M.; Zhu, R.; Zhang, Y.; Zhang, S.; Liu, T.; Li, K.; Liu, S.; Wang, L.; Wang, Y.; Zhou, W.; et al. A novel WRKY34-bZIP3 module regulates phenolic acid and tanshinone biosynthesis in Salvia miltiorrhiza. Metab. Eng. 2022, 73, 182–191. [Google Scholar]
- Kuang, X.; Sun, S.; Li, Y.; Zhang, H.; Guo, B.; Li, Y.; Sun, C. Transcriptome sequencing with nanopore technology for acquiring a deeper understanding of abscisic acid regulation of secondary mechanisms in Salvia miltiorrhiza. Ind. Crops Prod. 2022, 177, 114535. [Google Scholar]










| Time | June | August | November |
|---|---|---|---|
| Growth parameters | Basal diameter, plant height, shoot dry weight, root dry weight, root volume, root/shoot ratio | Basal diameter, plant height, shoot dry weight, root dry weight, root volume, root/shoot ratio | Shoot dry weight, root dry weight |
| Photosynthetic performance | SPAD, Pn, Y(II), Fv/Fm, Fv′/Fm′, qP, NPQ, ETR | SPAD, Pn, Y(II), Fv/Fm, Fv′/Fm′, qP, NPQ, ETR | — |
| Water metabolism | Tr, WUE, Gs, LRWC, SP, SS, Pro | Tr, WUE, Gs, LRWC, SP, SS, Pro | — |
| Antioxidant capacity | SOD, POD, CAT, APX, GR, MDA, AsA, GSH | SOD, POD, CAT, APX, GR, MDA, AsA, GSH | — |
| Yield of medicinal components | — | — | RosA, SalB, Tan I, Tan IIA, DHT, CTS |
| Expression of genes | HMGR, DXS2, FPPS, GGPPS, CPS, RAS10, CYP98A75, CYP98A14 | HMGR, DXS2, FPPS, GGPPS, CPS, RAS10, CYP98A75, CYP98A14 | — |
| Gene | Forward Primer (5′-3′) | Reverse Primer (5′-3′) | Genbank ID |
|---|---|---|---|
| Actin | CTACGAGCTTCCCGATGGAC | AGCCACCACTGAGGACAATG | DQ243702 |
| HGMR | AGATCTATGGATATCCGCCGGAGGC | GGTGACCTCAGGAGCCAATCTTCGTG | EU680958 |
| DXS2 | AGATCTATGGCGTCGTCTTGTGGAGTTAT | GGTCACCTTACAAGTTGTTGATGAGATGAA | FJ643618 |
| FPPS | ATGGCGAATCTGAACGGAGA | TTATTTCTGCCTCTTGTATA | DQ991431 |
| GGPPS | AAGGATCCATGAGATCTATGAATCTGGT | CCGAGCTCTTAGTTCTGCCT ATGTGCAA | FJ643617 |
| CPS | ATGGCCTCCTTATCCTCTAC | TCACGCGACTGGCTCGAAAAG | EU003997 |
| RAS10 | ATGAAGATCGATATCACAGACTCG | TCAAATATCATAAAACAACTTC | KM575933 |
| CYP98A75 | ATGGCGCCTCTCGCTCTCCTCCT | GTCGACGGCGACACGCTCGTAC | KP337735 |
| CYP98A14 | ATGGCAGCTCTCCTCCTCGCCCCCGTC | GGTGTCGACAGCAACGCGCTTGTA | HQ316179 |
| Treatments | SPAD Value | Net Photosynthetic Rate (µmol m−2 s−1) | ||
|---|---|---|---|---|
| June | August | June | August | |
| Control | 38.0 ± 1.90 c | 34.7 ± 1.39 d | 16.4 ± 0.66 d | 13.9 ± 0.76 d |
| T1 | 43.6 ± 1.91 b | 37.9 ± 1.59 c | 19.0 ± 0.95 c | 15.7 ± 0.72 c |
| T2 | 51.6 ± 2.32 a | 45.3 ± 2.04 a | 24.4 ± 1.10 a | 21.0 ± 1.11 a |
| T3 | 46.5 ± 2.32 b | 41.2 ± 1.90 b | 20.6 ± 0.91 b | 18.8 ± 0.83 b |
| Treatments | Soluble Protein Content (mg g−1 FW) | Soluble Sugar Content (mg g−1 FW) | Proline Content (µg g−1 FW) | |||
|---|---|---|---|---|---|---|
| June | August | June | August | June | August | |
| Control | 94.5 ± 4.35 c | 57.7 ± 2.42 c | 15.8 ± 0.74 c | 17.2 ± 0.85 c | 45.0 ± 1.80 c | 50.3 ± 2.31 c |
| T1 | 102.5 ± 5.13 bc | 62.9 ± 3.21 bc | 17.8 ± 0.89 b | 19.0 ± 1.01 c | 54.5 ± 2.51 b | 56.0 ± 2.52 b |
| T2 | 119.9 ± 4.80 a | 74.7 ± 2.99 a | 20.9 ± 0.84 a | 23.7 ± 1.07 a | 65.2 ± 2.80 a | 66.8 ± 3.20 a |
| T3 | 107.3 ± 5.58 b | 65.9 ± 2.96 b | 19.0 ± 0.99 ab | 21.3 ± 0.94 b | 58.7 ± 2.76 b | 58.9 ± 2.89 b |
| Treatments | AsA Content (µg g−1 FW) | GSH Content (µg g−1 FW) | ||
|---|---|---|---|---|
| June | August | June | August | |
| Control | 160.0 ± 7.04 d | 188.4 ± 9.42 d | 412.4 ± 17.73 c | 454.9 ± 18.19 d |
| T1 | 179.5 ± 7.18 c | 208.4 ± 10.21 c | 455.9 ± 23.10 b | 505.5 ± 19.20 c |
| T2 | 230.0 ± 11.50 a | 263.6 ± 10.80 a | 515.7 ± 25.78 a | 591.7 ± 22.85 a |
| T3 | 198.9 ± 8.35 b | 231.5 ± 11.57 b | 484.3 ± 21.30 ab | 547.1 ± 21.61 b |
| Treatments | APX Activity (U g−1 FW) | GR Activity (U g−1 FW) | ||
|---|---|---|---|---|
| June | August | June | August | |
| Control | 1.80 ± 0.11 d | 2.24 ± 0.10 d | 1.35 ± 0.09 d | 1.57 ± 0.08 d |
| T1 | 1.91 ± 0.10 cd | 2.46 ± 0.10 c | 1.55 ± 0.10 c | 1.76 ± 0.10 c |
| T2 | 2.64 ± 0.12 a | 3.06 ± 0.15 a | 2.01 ± 0.10 a | 2.23 ± 0.13 a |
| T3 | 2.32 ± 0.11 b | 2.76 ± 0.14 b | 1.78 ± 0.12 b | 1.98 ± 0.11 b |
| Treatments | Shoot Dry Weight per Plant (g) | Root Dry Weight per Plant (g) |
|---|---|---|
| Control | 12.10 ± 0.70 d | 18.70 ± 1.12 d |
| T1 | 14.75 ± 0.89 c | 21.01 ± 1.18 c |
| T2 | 20.01 ± 1.10 a | 30.49 ± 1.52 a |
| T3 | 17.93 ± 1.04 b | 25.41 ± 1.21 b |
| PGA Dosage | Shoot Dry Weight | Root Dry Weight | RosA | SalB | DHT | CTS | Tan I | Tan II A | |
|---|---|---|---|---|---|---|---|---|---|
| PGA dosage | 1.000 | 0.734 | 0.612 | 0.463 | 0.510 | 0.892 | 0.945 | 0.990 ** | 0.958 * |
| shoot dry weight | 0.734 | 1.000 | 0.979 * | 0.929 | 0.958 * | 0.956 * | 0.610 | 0.650 | 0.555 |
| root dry weight | 0.612 | 0.979 * | 1.000 | 0.984 * | 0.979 * | 0.882 | 0.520 | 0.528 | 0.439 |
| RosA | 0.463 | 0.929 | 0.984 * | 1.000 | 0.977 | 0.783 | 0.384 | 0.374 | 0.287 |
| SalB | 0.510 | 0.958 * | 0.979 * | 0.977 * | 1.000 | 0.839 | 0.366 | 0.405 | 0.295 |
| DHT | 0.892 | 0.956 * | 0.882 | 0.783 | 0.839 | 1.000 | 0.762 | 0.826 | 0.742 |
| CTS | 0.945 | 0.610 | 0.520 | 0.384 | 0.366 | 0.762 | 1.000 | 0.975 * | 0.989 * |
| Tan I | 0.990 * | 0.650 | 0.528 | 0.374 | 0.405 | 0.826 | 0.975 * | 1.000 | 0.989 * |
| Tan II A | 0.958 * | 0.555 | 0.439 | 0.287 | 0.295 | 0.742 | 0.989 * | 0.989 * | 1.000 |
| Variable Y | Variable X | Regression Equation | Degree of Fit |
|---|---|---|---|
| shoot dry weight | PGA dosage | Y = −2100.4X2 + 259.53X + 11.543 | R2 = 0.8958 |
| root dry weight | Y = −3287.5X2 + 384.37X + 17.458 | R2 = 0.7674 | |
| RosA | Y = −24011X2 + 2620.1X + 54.057 | R2 = 0.6748 | |
| SalB | Y = −39378X2 + 4276.3X + 48.622 | R2 = 0.8542 | |
| DHT | Y = −3171X2 + 461.81X + 21.89 | R2 = 0.9816 | |
| CTS | Y = 967.04X + 164.63 | R2 = 0.8934 | |
| Tan I | Y = 235.43X + 17.166 | R2 = 0.9806 | |
| Tan ⅡA | Y = 1161.9X + 102.22 | R2 = 0.9181 |
Disclaimer/Publisher’s Note: The statements, opinions and data contained in all publications are solely those of the individual author(s) and contributor(s) and not of MDPI and/or the editor(s). MDPI and/or the editor(s) disclaim responsibility for any injury to people or property resulting from any ideas, methods, instructions or products referred to in the content. |
© 2024 by the authors. Licensee MDPI, Basel, Switzerland. This article is an open access article distributed under the terms and conditions of the Creative Commons Attribution (CC BY) license (https://creativecommons.org/licenses/by/4.0/).
Share and Cite
Shan, C.; Zhang, X.; Luo, Y.; Yang, D. Poly-Glutamic Acid Promotes the Growth and the Accumulation of Main Medicinal Components in Salvia miltiorrhiza. Agronomy 2024, 14, 252. https://doi.org/10.3390/agronomy14020252
Shan C, Zhang X, Luo Y, Yang D. Poly-Glutamic Acid Promotes the Growth and the Accumulation of Main Medicinal Components in Salvia miltiorrhiza. Agronomy. 2024; 14(2):252. https://doi.org/10.3390/agronomy14020252
Chicago/Turabian StyleShan, Changjuan, Xiaoqing Zhang, Yi Luo, and Dongfeng Yang. 2024. "Poly-Glutamic Acid Promotes the Growth and the Accumulation of Main Medicinal Components in Salvia miltiorrhiza" Agronomy 14, no. 2: 252. https://doi.org/10.3390/agronomy14020252
APA StyleShan, C., Zhang, X., Luo, Y., & Yang, D. (2024). Poly-Glutamic Acid Promotes the Growth and the Accumulation of Main Medicinal Components in Salvia miltiorrhiza. Agronomy, 14(2), 252. https://doi.org/10.3390/agronomy14020252
