Comparative Study on Growth Characteristics and Yield of Colored Rice Varieties
Abstract
1. Introduction
2. Materials and Methods
2.1. Plant Material
2.2. Design of the Experiment
2.3. Determination of Growth Period
2.4. Determination of Plant Morphological Indicators and Biomass
2.5. Determination of Chlorophyll Content in Rice
2.6. Determination of Antioxidant System
2.7. Determination of Leaf Photosynthetic Parameters
2.8. Determination of Harvest Index
2.9. Data Analysis
3. Results
3.1. Climatic and Reproductive Period
3.2. Agronomic Trait Analysis
3.3. Leaf Area
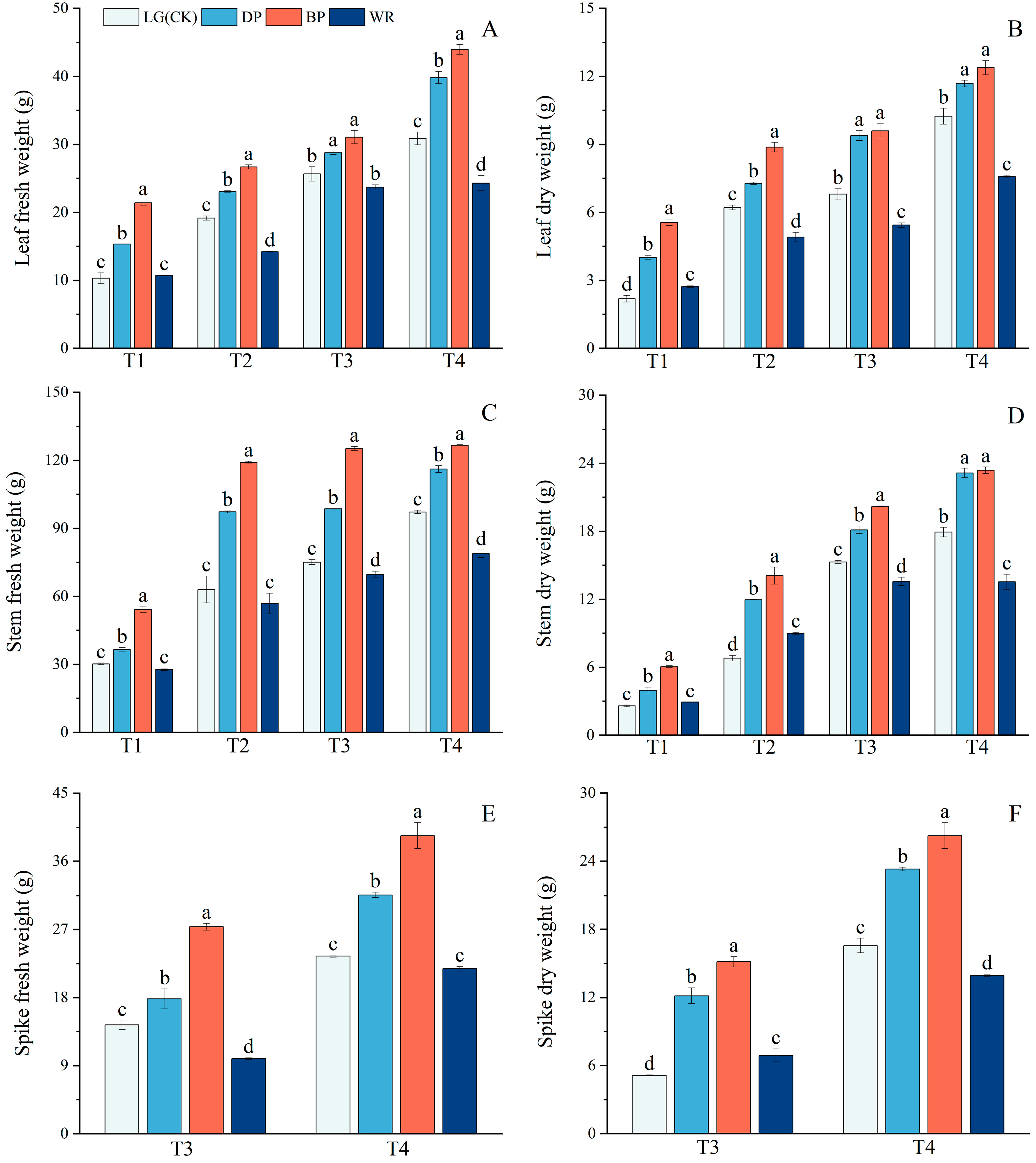
3.4. Weight on the Ground
3.5. Chlorophyll Content
3.6. Photosynthetic Parameter
3.7. Antioxidant Enzyme Activity
3.8. Yield
3.9. Antioxidant Enzyme Activity, Photosynthetic Pigment Content, and Yield Correlation
4. Discussion
4.1. Agronomic Traits and Economic Efficiency
4.2. Physiological Characteristics of Colored Rice
4.3. Relationship Between Photosynthetic Pigments and Yield in Rice
5. Conclusions
Author Contributions
Funding
Data Availability Statement
Acknowledgments
Conflicts of Interest
References
- Manjappa, G.U.; Hittalmani, S. Association analysis of drought and yield related traits in F2 population of Moroberekan/IR64 rice cross under aerobic condition. Int. J. Agric. Sci. Res. 2014, 4, 99–106. [Google Scholar]
- Zhao, R.; Yang, D.; Liu, S. Research on modern colorful rice paddy art landscape production and application of regenerated rice. Hubei Agric. Sci. 2022, 5, 54–57+73. [Google Scholar]
- Mao, Y.; Wang, X.; Wu, R.; Li, C. Current situation and development countermeasures of “rice field painting” in China. Mod. Agric. Sci. Technol. 2021, 8, 3–16. [Google Scholar]
- Zhang, X.; Li, J.; Tang, Y.; Yao, X.; Wen, M.; Xiao, L. Research and application of ornamental rice. Mol. Plant Breed. 2016, 3, 5–18. [Google Scholar]
- Mingyue, F.U.; Cheng, S.; Feng, X.U.; Chen, Z.; Wang, L. Advance in mechanism of plant leaf colour mutation. Not. Bot. Horti Agrobot. Cluj-Napoca 2021, 49, 12071. [Google Scholar]
- Li, W.; Zhang, Y.; Mazumder, M.A.R.; Pan, R.; Akhter, D. Research progresses on rice leaf color mutants. Crop Des. 2022, 1, 100015. [Google Scholar] [CrossRef]
- Sun, M.; Han, L. Progress in Genetic Studies on the Anthocyanin Content of Rice; Leading Group of Chinese Agricultural Holy Culture Festival: Dongying, China, 2012. [Google Scholar]
- Ye, N.; Cheng, Z.; Yang, D.; Zheng, X.; Ye, X. Analysis of anthocyanin content in different colored rice varieties. Fujian Agric. Sci. Technol. 2019, 6, 5–21. [Google Scholar]
- Tong, J.; Li, S.; Liu, X.; Han, A. Research progress of colored rice. J. Plant Genet. Resour. 2011, 12, 13–18. [Google Scholar]
- Xu, Q. Discussion on specific rice breeding technology and development prospect. Crop Res. 1995, 9, 4–15. [Google Scholar]
- Sun, L.; Zhang, M.; Chi, J.; Lai, L.; Zhang, X. Antioxidant activity of black rice and its relationship with flavonoids and seed coat pigments. Acta Nutr. Sin. 2000, 22, 4. [Google Scholar]
- Sun, L.; Zhang, M.; Chi, J.; Wei, Z. Relationship between seed coat color and biological antioxidant activity of rice. J. Chin. Cereals Oils Assoc. 2002, 4, 25–27. [Google Scholar]
- Zheng, F.; Zheng, J.; Wang, H.; Zhu, Y. Advances in genetics and breeding of functional components of colored rice in China. Fujian J. Agric. Sci. 2021, 36, 9. [Google Scholar]
- An, Q.; Li, C.; Li, H.; Zheng, Q.; Li, B.; Li, Z. An Analysis of the Genetic Relation between Photosynthesis and Yield-Related Traits in Wheat. Agriculture 2022, 12, 560. [Google Scholar] [CrossRef]
- Garcia, A.; Gaju, O.; Bowerman, A.F.; Buck, S.A.; Evans, J.R.; Furbank, R.T.; Gilliham, M.; Millar, A.H.; Pogson, B.J.; Reynolds, M.P. Enhancing crop yields through improvements in the efficiency of photosynthesis and respiration. New Phytol. 2023, 237, 60–77. [Google Scholar] [CrossRef]
- Chen, T.; Fu, W.; Yu, J. Photosynthetic characteristics of colored rice leaves and their relationship with antioxidant enzyme activity and anthocyanin content. Sci. Agric. Sin. 2022, 55, 12. [Google Scholar]
- Ding, W.; Xie, T.; Xu, L.; Zhang, Y. Calculation method of rice canopy leaf area based on virtual model. Trans. Chin. Soc. Agric. Eng. 2017, 33, 192–198. [Google Scholar]
- Lichtenthaler, H.K. Chlorophylls and carotenoids: Pigments of photosynthetic biomembranes. Methods Enzymol. 1987, 148C, 350–382. [Google Scholar]
- Zou, Q. Experimental Supervision of Plant Physiology; China Agriculture Press Co., Ltd.: Beijing, China, 2003. [Google Scholar]
- Jimenez, A.; Hernandez, J.A.; Rio, L.A.D.; Sevilla, F. Evidence for the Presence of the Ascorbate-Glutathione Cycle in Mitochondria and Peroxisomes of Pea Leaves. Plant Physiol. 1997, 114, 275–284. [Google Scholar] [CrossRef]
- Zhang, J.; Liu, X.; Xiang, J. Dynamic response of plant antioxidant system to stress. J. Hubei Univ. Natl. Nat. Sci. Ed. 2015, 4, 5. [Google Scholar]
- Kumar, S.; Li, G.; Yang, J.; Huang, X.; Hou, H. Effect of Salt Stress on Growth, Physiological Parameters, and Ionic Concentration of Water Dropwort (Oenanthe javanica) Cultivars. Front. Plant Sci. 2021, 12, 660409. [Google Scholar] [CrossRef] [PubMed]
- Kibria, M.G.; Hossain, M.; Murata, Y.; Hoque, M.A. Antioxidant Defense Mechanisms of Salinity Tolerance in Rice Genotypes. Rice Sci. 2017, 24, 155–162. [Google Scholar] [CrossRef]
- Moraditelavat, M.; Alamisaeed, K.; Karmollachaab, A.; Hasanvand, H. Response antioxidant enzymes, lipid peroxidation and cell death of rice cultivars to salinity stress. J. Plant Process Funct. 2017, 6, 293–301. [Google Scholar]
- Agati, G.; Tattini, M. Multiple functional roles of flavonoids in photoprotection. New Phytol. 2010, 186, 786–793. [Google Scholar] [CrossRef] [PubMed]
- Hao, W.; Jiang, G.; Che, W. Study on antioxidation and bacteriostasis of blueberry anthocyanins. J. Heihe Coll. 2014, 5, 3. [Google Scholar]
- Neill, S.O.; Gould, K.S.; Kilmartin, P.A.; Mitchell, K.A.; Markham, K.R. Antioxidant activities of red versus green leaves in Elatostema rugosum. Plant Cell Environ. 2010, 25, 539–547. [Google Scholar] [CrossRef]
- Khan, A.U.; Jalil, S.; Cao, H.; Chare, Y.T.; Jin, X. The Purple Leaf (pl6) Mutation Regulates Leaf Color by Altering the Anthocyanin and Chlorophyll Contents in Rice. Plants 2020, 9, 1477. [Google Scholar] [CrossRef] [PubMed]
- Elik, Z.; Akr, B.C.; Atak, I. Identification of the antioxidant defense genes which may provide enhanced salt tolerance in Oryza sativa L. Physiol. Mol. Biol. Plants 2018, 25, 85–99. [Google Scholar]
- Nounjan, N.; Theerakulpisut, P. Physiological evaluation for salt tolerance in green and purple leaf color rice cultivars at seedling stage. Physiol. Mol. Biol. Plants 2021, 27, 2819–2832. [Google Scholar] [CrossRef]
- Chunthaburee, S.; Sakuanrungsirikul, S.; Wongwarat, T.; Sanitchon, J.; Pattanagul, W.; Theerakulpisut, P. Changes in Anthocyanin Content and Expression of Anthocyanin Synthesis Genes in Seedlings of Black Glutinous Rice in Response to Salt Stress. Asian J. Plant Sci. 2016, 15, 56–65. [Google Scholar] [CrossRef]
- Xue, Y.; Jing, Y.; Tan, M. Effect of potash fertiliser on leaf physiological characteristics and yield of late rice. Acta Agric. Zhejiangensis 2016, 28, 9. [Google Scholar]
- Kunnam, J.; Pinta, W.; Ruttanaprasert, T.A. Chorkaew, Stability of Phenols, Antioxidant Capacity and Grain Yield of Six Rice Genotypes. Plants 2023, 12, 2787. [Google Scholar] [CrossRef]
- Simkin, A.J.; Kapoor, L.; Doss, C.G.P.; Hofmann, T.A.; Ramamoorthy, S. The role of photosynthesis related pigments in light harvesting, photoprotection and enhancement of photosynthetic yield in planta. Photosynth. Res. 2022, 152, 23–42. [Google Scholar] [CrossRef]
- Talubaghi, M.J.; Daliri, M.S.; Mazloum, P.; Rameeh, V.; Mousavi, A. Effect of salt stress on growth, physiological and biochemical parameters and activities of antioxidative enzymes of rice cultivars. Cereal Res. Commun. 2022, 51, 403–411. [Google Scholar] [CrossRef]
- Kordrostami, M.; Rabiei, B.; Kumleh, H.H. Biochemical, physiological and molecular evaluation of rice cultivars differing in salt tolerance at the seedling stage. Physiol. Mol. Biol. Plants 2017, 23, 529–544. [Google Scholar] [CrossRef] [PubMed]
- Shah, H.; Houborg, R.; Mccabe, M. Response of Chlorophyll, Carotenoid and SPAD-502 Measurement to Salinity and Nutrient Stress in Wheat (Triticum aestivum L.). Agronomie 2017, 7, 61. [Google Scholar] [CrossRef]
- Ramesh, K.; Chandrasekaran, B.; Balasubramanian, T.N.; Bangarusamy, U.; Sankaran, N. Chlorophyll Dynamics in Rice (Oryza sativa) Before and After Flowering Based on SPAD (Chlorophyll) Meter Monitoring and its Relation with Grain Yield. J. Agron. Crop Sci. 2010, 188, 102–105. [Google Scholar] [CrossRef]
- Syamsiyah, J.; Ariyanto, D.P.; Herawati, A.; Dewayani, R.A.; Permata, D.I. Relationship between chlorophyll and yield of two rice varieties in different farming systems. IOP Conf. Ser. Earth Environ. Sci. 2024, 1362, 012033. [Google Scholar] [CrossRef]
- Zheng, F.; Chu, J.; Xiu, Z.; Liwei, F.; Dai, X.; He, M. Effects of interaction between seeding mode and planting density on yield and nitrogen use efficiency of large panicle wheat varieties. Acta Agron. Sin. 2020, 46, 9. [Google Scholar]
- Ambavaram, M.M.R.; Basu, S.; Krishnan, A.; Ramegowda, V.; Batlang, U.; Rahman, L.; Baisakh, N.; Pereira, A. Coordinated regulation of photosynthesis in rice increases yield and tolerance to environmental stress. Nature 2011, 5, 5302. [Google Scholar] [CrossRef] [PubMed]
- Mu, H.; Jiang, D.; Wollenweber, B.; Dai, T.; Jing, Q.; Cao, W. Long-term Low Radiation Decreases Leaf Photosynthesis, Photochemical Efficiency and Grain Yield in Winter Wheat. J. Agron. Crop Sci. 2010, 196, 38–47. [Google Scholar] [CrossRef]
- Huang, Y.; Zhang, H.; Cheng, Q.; Zhou, L.; Zhao, L.; Wang, R.; Xia, L.; Fu, L.; Li, Y.; Chen, Q. Study on the correlation between SPAD values and yield of rice leaves at different fertility stages. J. Zhongkai Univ. Agric. Eng. 2021, 34, 1–7. [Google Scholar]
- Liu, H.; Zhao, Y. Changes in chlorophyll content at flowering stage of sesame and its correlation analysis with yield traits. Chin. J. Oil Crop Sci. 2007, 29, 5. [Google Scholar]









| Variety | Seeding | Transplanting | Tillering Stage | Jointing Stage | Heading Stage | Full Heading Stage | Mature Stage | Whole Growth Stage/d |
|---|---|---|---|---|---|---|---|---|
| LG (CK) | 03-01 | 04-06 | 04-26 | 05-14 | 05-24 | 06-01 | 07-05 | 126 |
| DP | 03-01 | 04-06 | 04-30 | 05-30 | 06-12 | 06-20 | 07-20 | 141 |
| BP | 03-01 | 04-06 | 04-24 | 05-16 | 05-28 | 06-04 | 07-04 | 125 |
| WR | 03-01 | 04-06 | 05-06 | 06-06 | 06-18 | 06-28 | 07-28 | 149 |
| Variety | Disease Resistance | Lodging Resistance |
|---|---|---|
| LG (CK) | relatively strong | relatively strong |
| DP | strong | strong |
| BP | relatively strong | strong |
| WR | medium | strong |
| Variety | Plant Height | Leaf Color at the Tillering Stage | Leaf Color at the Maturity Stage | Seed Color | Seed Coat Color |
|---|---|---|---|---|---|
| (cm) | |||||
| LG (CK) | 96.30 | green | green | red | yellow |
| DP | 104.80 | lavender | purple | white | yellow |
| BP | 95.60 | purple | purple black | purple | purple |
| WR | 81.50 | green | Green and white stripes | white | yellow |
| Years | Variety | Grain Yield (t·hm−2) | Panicles (hm−2) | Spikelets Panicle | Filled Grain Rate (%) | 1000-Grain Weight (kg) |
|---|---|---|---|---|---|---|
| 2023 | LG (CK) | 1.90 ± 0.10bc | 190.00 ± 5.80b | 44.90 ± 1.10b | 52.40 ± 2.70b | 0.01 ± 0.00b |
| DP | 2.20 ± 0.10b | 200.00 ± 11.60b | 65.70 ± 0.50a | 54.40 ± 3.90ab | 0.01 ± 0.00a | |
| BP | 2.90 ± 0.10a | 310.00 ± 5.70a | 51.60 ± 1.40b | 61.80 ± 1.30a | 0.01 ± 0.00ab | |
| WR | 1.70 ± 0.20c | 163.30 ± 1.90c | 47.10 ± 3.60b | 35.90 ± 1.20c | 0.01 ± 0.00ab | |
| 2024 | LG (CK) | 2.60 ± 0.10c | 153.30 ± 0.00b | 61.20 ± 2.80c | 61.90 ± 1.20b | 0.02 ± 0.00a |
| DP | 2.90 ± 0.04b | 196.70 ± 1.90a | 75.00 ± 2.10b | 55.70 ± 0.10c | 0.07 ± 0.10a | |
| BP | 3.60 ± 0.10a | 233.30 ± 0.00a | 84.90 ± 0.10a | 74.20 ± 0.60a | 0.02 ± 0.00a | |
| WR | 1.60 ± 0.10d | 143.30 ± 1.90b | 23.90 ± 0.80d | 23.40 ± 0.60d | 0.01 ± 0.00a |
Disclaimer/Publisher’s Note: The statements, opinions and data contained in all publications are solely those of the individual author(s) and contributor(s) and not of MDPI and/or the editor(s). MDPI and/or the editor(s) disclaim responsibility for any injury to people or property resulting from any ideas, methods, instructions or products referred to in the content. |
© 2024 by the authors. Licensee MDPI, Basel, Switzerland. This article is an open access article distributed under the terms and conditions of the Creative Commons Attribution (CC BY) license (https://creativecommons.org/licenses/by/4.0/).
Share and Cite
Song, Y.; Yang, S.; Khan, A.; Zhou, H.; Sun, Z.; Wu, J.; Ding, L.; Xiong, J.; Mei, W.; Feng, N.; et al. Comparative Study on Growth Characteristics and Yield of Colored Rice Varieties. Agronomy 2024, 14, 3038. https://doi.org/10.3390/agronomy14123038
Song Y, Yang S, Khan A, Zhou H, Sun Z, Wu J, Ding L, Xiong J, Mei W, Feng N, et al. Comparative Study on Growth Characteristics and Yield of Colored Rice Varieties. Agronomy. 2024; 14(12):3038. https://doi.org/10.3390/agronomy14123038
Chicago/Turabian StyleSong, Yiwen, Shaoxia Yang, Aaqil Khan, Hang Zhou, Zhiyuan Sun, Jiashuang Wu, Linchong Ding, Jian Xiong, Wanqi Mei, Naijie Feng, and et al. 2024. "Comparative Study on Growth Characteristics and Yield of Colored Rice Varieties" Agronomy 14, no. 12: 3038. https://doi.org/10.3390/agronomy14123038
APA StyleSong, Y., Yang, S., Khan, A., Zhou, H., Sun, Z., Wu, J., Ding, L., Xiong, J., Mei, W., Feng, N., & Zheng, D. (2024). Comparative Study on Growth Characteristics and Yield of Colored Rice Varieties. Agronomy, 14(12), 3038. https://doi.org/10.3390/agronomy14123038

