Field Application of Mycorrhizal Inoculant Influences Growth, Nutrition, and Physiological Parameters of Corn Plants and Affects Soil Microbiological Attributes
Abstract
1. Introduction
2. Materials and Methods
2.1. Experimental Design
2.2. Assessment of Corn Root Growth Dynamics
2.3. Corn Growth, Nutrition, and Physiological Parameters
2.4. Soil Enzymes and Microbial Biomass
2.5. Statistical Analysis
3. Results
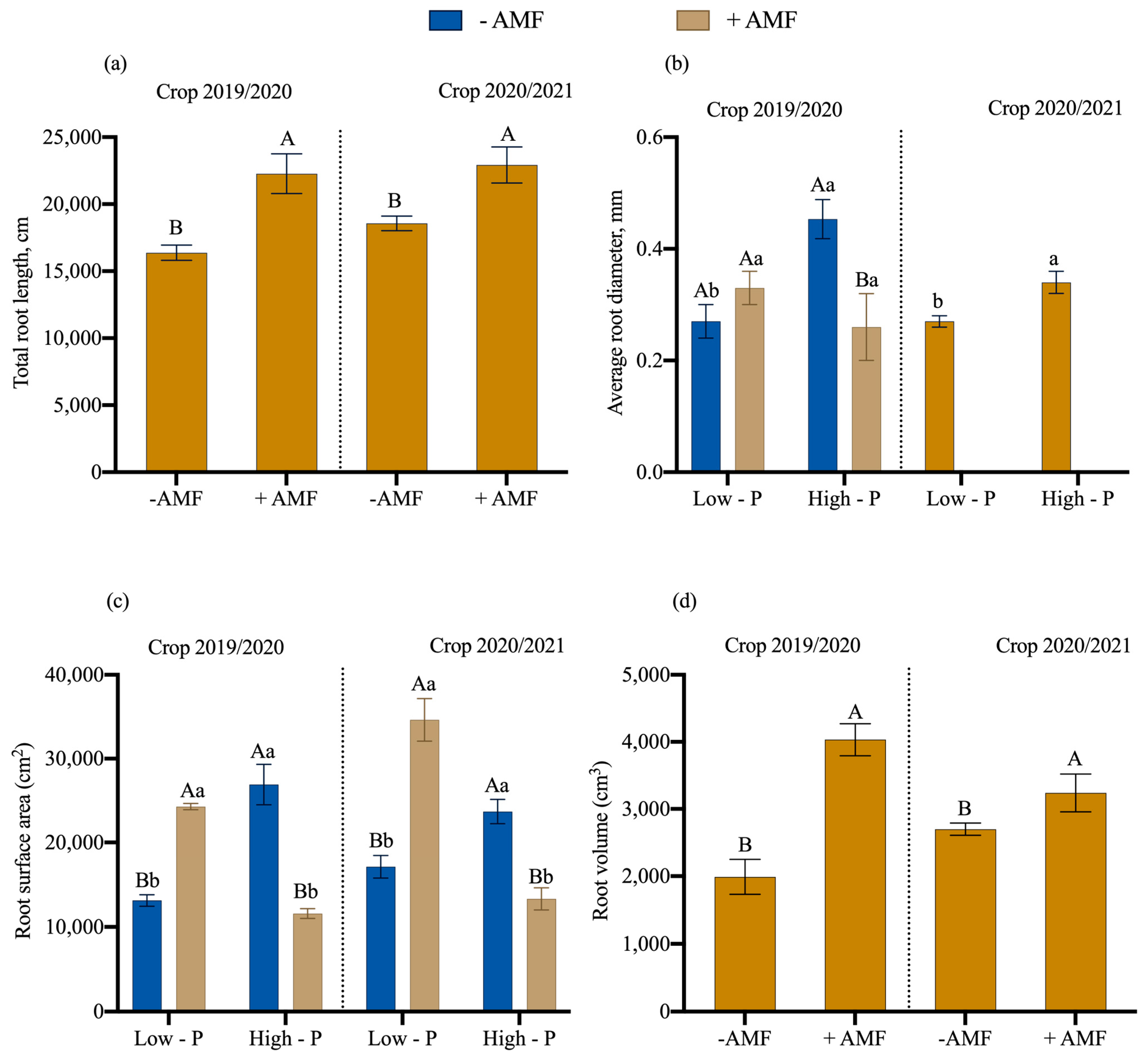
3.1. Root Morphology
3.2. Shoot Dry Matter and P Content, Gas Exchange, and Corn Productivity
3.3. Microbiological Attributes of the Soil
4. Discussion
5. Conclusions
Supplementary Materials
Author Contributions
Funding
Data Availability Statement
Conflicts of Interest
References
- Calderon-Vazquez, C.; Ibarra-Laclette, E.; Caballero-Perez, J.; Herrera-Estrella, L. Transcript profiling of Zea mays roots reveals gene responses to phosphate deficiency at the plant- and species-specific levels. J. Exp. Bot. 2008, 59, 2479–2497. [Google Scholar] [CrossRef] [PubMed]
- Zou, T.; Zhang, X.; Davidson, E.A. Global trends of cropland phosphorus use and sustainability challenges. Nature 2022, 611, 81–87. [Google Scholar] [CrossRef]
- Roch, G.V.; Maharajan, T.; Ceasar, S.A.; Ignacimuthu, S. The Role of PHT1 Family Transporters in the Acquisition and Redistribution of Phosphorus in Plants. Crit. Rev. Plant Sci. 2019, 38, 171–198. [Google Scholar] [CrossRef]
- Dissanayaka, D.M.S.B.; Ghahremani, M.; Siebers, M.; Wasaki, J.; Plaxton, W.C. Recent insights into the metabolic adaptations of phosphorus-deprived plants. J. Exp. Bot. 2021, 72, 199–223. [Google Scholar] [CrossRef]
- Dhillon, J.; Torres, G.; Driver, E.; Figueiredo, B.; Raun, W.R. World phosphorus use efficiency in cereal crops. Agron. J. 2017, 109, 1670–1677. [Google Scholar] [CrossRef]
- Zavaschi, E.; Ferraz-Almeida, R.; Fária, L.A.; Otto, R.; Vitti, A.C.; Vitti, G.C. Application of superphosphate complexed with humic acid in an area of Sugarcane. Rev. Ciênc. Agron. 2020, 51, e20186463. [Google Scholar] [CrossRef]
- Khan, F.; Siddique, A.B.; Shabala, S.; Zhou, M.; Zhao, C. Phosphorus Plays Key Roles in Regulating Plants’ Physiological Responses to Abiotic Stresses. Plants 2023, 12, 2861. [Google Scholar] [CrossRef] [PubMed]
- Vance, C.P.; Uhde-Stone, C.; Allan, D.L. Phosphorus acquisition and use: Critical adaptations by plants for securing a nonrenewable resource. New Phytol. 2003, 157, 423–447. [Google Scholar] [CrossRef]
- Péret, B.; Desnos, T.; Jost, R.; Kanno, S.; Berkowitz, O.; Nussaume, L. Root architecture responses: In search of phosphate. Plant Physiol. 2014, 166, 1713–1723. [Google Scholar] [CrossRef]
- Brundrett, M.C. Coevolution of roots and mycorrhizas of land plants. New Phytol. 2002, 154, 275–304. [Google Scholar] [CrossRef] [PubMed]
- Brundrett, M.C.; Tedersoo, L. Evolutionary history of mycorrhizal symbioses and global host plant diversity. New Phytol. 2018, 220, 1108–1115. [Google Scholar] [CrossRef] [PubMed]
- Smith, S.E.; Read, D.J. Mycorrhizal Symbiosis, 3rd ed.; Academic Press: London, UK, 2008. [Google Scholar]
- Pavinato, P.S.; Cherubin, M.R.; Soltangheisi, A.; Rocha, G.C.; Chadwick, D.R.; Jones, D.L. Revealing soil legacy phosphorus to promote sustainable agriculture in Brazil. Sci. Rep. 2020, 10, 15615. [Google Scholar] [CrossRef] [PubMed]
- Wang, B.; Xiao, Q.; Geng, X.; Lin, K.; Li, Z.; Li, Y.; Chen, J.; Li, X. Arbuscular mycorrhizal fungi alter rhizosphere bacterial diversity, network stability and function of lettuce in barren soil. Sci. Hortic. 2024, 323, 112533. [Google Scholar] [CrossRef]
- Basiru, S.; Hijri, M. The Potential Applications of Commercial Arbuscular Mycorrhizal Fungal Inoculants and Their Ecological Consequences. Microorganisms 2022, 10, 1897. [Google Scholar] [CrossRef] [PubMed]
- Mohammad, A.; Mitra, B.; Khan, A.G. Effects of sheared-root inoculum of Glomus intraradices on wheat grown at different phosphorus levels in the field. Agric. Ecosyst. Environ. 2004, 103, 245–249. [Google Scholar] [CrossRef]
- Stoffel, S.C.G.; Meyer, E.; Lovato, P.E. Yield increase of soybean inoculated with a commercial arbuscular mycorrhizal inoculant in Brazil. Afr. J. Agric. Res. 2020, 16, 702–713. [Google Scholar] [CrossRef]
- Buzo, F.S.; Garcia, N.F.S.; Garé, L.M.; Gato, I.M.B.; Martins, J.T.; Martins, J.O.M.; Morita, P.R.S.; Silva, M.S.R.A.; Sales, L.Z.S.; Nogales, A.; et al. Phosphate Fertilization and Mycorrhizal Inoculation Increase Corn Leaf and Grain Nutrient Contents. Agronomy 2022, 12, 1597. [Google Scholar] [CrossRef]
- Faye, A.; Stewart, Z.P.; Ndung’u-Magiroi, K.; Diouf, M.; Ndoye, I.; Diope, T.; Dalpé, Y.; Prasad, P.V.V.; Lesueur, D. Testing of Commercial Inoculants to Enhance P Uptake and Grain Yield of Promiscuous Soybean in Kenya. Sustainability 2020, 12, 3803. [Google Scholar] [CrossRef]
- Hu, X.; Xu, L.; Yuan, Y.; Guo, X.; Li, W. Arbuscular mycorrhizal fungi alter microbiome structure of rhizosphere soil to enhance Festuca elata tolerance to Cd. Appl. Soil Ecol. 2024, 204, 105735. [Google Scholar] [CrossRef]
- Lutz, S.; Bodenhausen, N.; Hess, J.; Valzano-Held, A.; Waelchli, J.; Deslandes-Hérold, G.; Schlaeppi, K.; van der Heijden, M.A.G. Soil microbiome indicators can predict crop growth response to large-scale inoculation with arbuscular mycorrhizal fungi. Nat. Microbiol. 2023, 8, 2277–2289. [Google Scholar] [CrossRef]
- Koziol, L.; Crews, T.E.; Bever, J.D. Native plant abundance, diversity, and richness increases in prairie restoration with field inoculation density of native mycorrhizal amendments. Restor. Ecol. 2020, 28, S373–S380. [Google Scholar] [CrossRef]
- Koziol, L.; Schultz, P.A.; Parsons, S.; Bever, J.D. Native mycorrhizal fungi improve milkweed growth, latex, and establishment while some commercial fungi may inhibit them. Ecosphere 2022, 13, e4052. [Google Scholar] [CrossRef]
- Koch, A.M.; Antunes, P.M.; Barto, E.K.; Cipollini, D.; Mummey, D.L.; Klironomos, J.N. The effects of arbuscular mycorrhizal (AM) fungal and garlic mustard introductions on native AM fungal diversity. Biol. Invasions 2011, 13, 1627–1639. [Google Scholar] [CrossRef]
- Jin, H.; Germida, J.J.; Walley, F.L. Impact of arbuscular mycorrhizal fungal inoculants on subsequent arbuscular mycorrhizal fungi colonization in pot-cultured field pea (Pisum sativum L.). Mycorrhiza 2013, 23, 45–59. [Google Scholar] [CrossRef] [PubMed]
- Barazetti, A.R.; Simionato, A.S.; Navarro, M.O.P.; Santos, I.M.O.; Modolon, F.; Andreata, M.F.L.; Liuti, G.; Cely, M.V.T.; Chryssafidis, A.L.; Deallis, M.L.; et al. Formulations of arbuscular mycorrhizal fungi inoculum applied to soybean and corn plants under controlled and field conditions. Appl. Soil Ecol. 2019, 142, 25–33. [Google Scholar] [CrossRef]
- Santos, H.G.; Jacomine, P.K.T.; Anjos, L.H.C.; Oliveira, V.A.; Lumbreras, J.F.; Coelho, M.R.; Almeida, J.A.; Araujo Filho, J.C.; Oliveira, J.B.; Cunha, T.J.F. Sistema Brasileiro de Classificação dos Solos, 5th ed.; Embrapa: Brasília, Brazil, 2018; Available online: https://www.embrapa.br/busca-de-publicacoes/-/publicacao/1094003/sistema-brasileiro-de-classificacao-de-solos (accessed on 15 September 2019).
- Kuinchtner, A.; Buriol, G.A. Clima do Estado do Rio Grande do Sul segundo a classificação climática de Köppen e Thornthwaite. Discip. Sci. 2001, 2, 171–182. Available online: https://periodicos.ufn.edu.br/index.php/disciplinarumNT/article/view/1136 (accessed on 15 September 2019).
- Ritchie, S.; Hanway, J.J. How a Corn Plant Develops; Iowa State University of Science and Technology, Cooperative Extension Service: Ames, IA, USA, 1989. [Google Scholar]
- Teixeira, P.C.; Donagemma, G.K.; Fontana, A.; Teixeira, W.G. Manual de Métodos de Análise de Solo; Embrapa: Brasília, Brazil, 1997; Available online: https://www.embrapa.br/busca-de-publicacoes/-/publicacao/1085209/manual-de-metodos-de-analise-de-solo (accessed on 15 September 2019).
- Murphy, J.; Riley, J.P. A modified single solution method for determination of phosphate in natural waters. Anal. Chim. Acta 1962, 27, 31–36. [Google Scholar] [CrossRef]
- Peiffer, J.A.; Spor, A.; Koren, O.; Jin, Z.; Tringe, S.G.; Dangl, J.L.; Buckler, E.S.; Ley, R.E. Diversity and heritability of the maize rhizosphere microbiome under field conditions. Proc. Natl. Acad. Sci. USA 2013, 110, 6548–6553. [Google Scholar] [CrossRef]
- Vance, E.D.; Brookes, P.C.; Jenkinson, D.S. An extraction method for measuring soil microbial biomass C. Soil Biol. Biochem. 1987, 19, 703–707. [Google Scholar] [CrossRef]
- Dick, W.A.; Tabatabai, M.A. Determination of Orthophosphate in Aqueous Solutions Containing Labile Organic and Inorganic Phosphorus Compounds. J. Environ. Qual. 1977, 6, 82–85. [Google Scholar] [CrossRef]
- Tabatabai, M.A. Soil Enzymes. In Methods of Soil Analysis. Part 2. Microbiological and Biochemical Properties; Weaver, R.W., Angle, S., Bottomley, P., Bezdicek, D., Smith, S., Tabatabai, A., Wollum, A., Eds.; SSSA: Madison, WI, USA, 1994. [Google Scholar]
- Ferreira, D.F. Sisvar: A computer statistical analysis system. Ciênc. Agrotec. 2011, 35, 1039–1042. [Google Scholar] [CrossRef]
- Weemstra, M.; Mommer, L.; Visser, E.J.W.; van Ruijven, J.; Kuyper, T.W.; Mohren, G.M.J.; Sterck, F.J. Towards a multidimensional root trait framework: A tree root review. New Phytol. 2016, 211, 1159–1169. [Google Scholar] [CrossRef] [PubMed]
- Freschet, G.T.; Roumet, C.; Comas, L.H.; Weemstra, M.; Bengough, A.G.; Rewald, B.; Bardgett, R.D.; Deyn, G.B.; Johnson, D.; Klimešová, J.; et al. Root traits as drivers of plant and ecosystem functioning: Current understanding, pitfalls, and future research needs. New Phytol. 2021, 232, 1123–1158. [Google Scholar] [CrossRef]
- Zhai, Y.; Hu, X.; Zhao, X.; Xu, M.; Li, W.; Guo, S. Phosphorous and Arbuscular Mycorrhizal Fungi Improve Snapdragon Flowering Through Regulating Root Architecture and Phosphorus Nutrition. Soil Sci. Plant Nutr. 2023, 23, 4279–4289. [Google Scholar] [CrossRef]
- Wu, Q.S.; He, X.H.; Zou, Y.N.; Liu, C.Y.; Xiao, J.; Li, Y. Arbuscular mycorrhizas alter root system architecture of Citrus tangerine through regulating metabolism of endogenous polyamines. Plant Growth Regul. 2012, 68, 27–35. [Google Scholar] [CrossRef]
- Liu, J.; Guo, C.; Chen, Z.L.; He, J.D.; Zou, Y.N. Mycorrhizal inoculation modulates root morphology and root phytohormone responses in trifoliate orange under drought stress. Emir. J. Food Agric. 2016, 28, 251–256. [Google Scholar] [CrossRef]
- Romero-Muñoz, M.; Gálvez, A.; Martínez-Melgarejo, P.A.; Piñero, M.C.; Amor, F.M.; Albacete, A.; López-Marín, J. The interaction between hydromulching and arbuscular mycorrhiza improves escarole growth and productivity by regulating nutrient uptake and hormonal balance. Plants 2022, 11, 2795. [Google Scholar] [CrossRef]
- Liu, C.Y.; Hao, Y.; Wu, X.L.; Dai, F.J.; Abd-Allah, E.F.; Wu, Q.S.; Liu, S.R. Arbuscular mycorrhizal fungi improve drought tolerance of tea plants via modulating root architecture and hormones. Plant Growth Regul. 2023, 102, 13–22. [Google Scholar] [CrossRef]
- Zhang, L.; Zhou, J.; George, T.S.; Limpens, E.; Feng, G. Arbuscular Mycorrhizal Fungi Conducting the Hyphosphere Bacterial Orchestra. Trends Plant Sci. 2022, 27, 402–411. [Google Scholar] [CrossRef] [PubMed]
- Guseman, J.M.; Webb, K.; Srinivasan, C.; Dardick, C. DRO1 influences root system architecture in Arabidopsis and Prunus species. Plant J. 2017, 89, 1093–1105. [Google Scholar] [CrossRef] [PubMed]
- Marschner, P. Mineral Nutrition of Higher Plants, 3rd ed.; Elsevier: Melbourne, Australia, 2012. [Google Scholar]
- Řezáčová, V.; Konvalinková, T.; Jansa, J. Carbon fluxes in mycorrhizal plants. In Mycorrhiza—Eco-Physiology, Secondary Metabolites, Nanomaterials; Varma, A., Prasad, R., Tuteja, N., Eds.; Springer: Cham, Switzerland, 2017. [Google Scholar] [CrossRef]
- Ranjan, A.; Sinha, R.; Singla-Pareek, S.L.; Pareek, A.; Singh, A.K. Shaping the root system architecture in plants for adaptation to drought stress. Physiol. Plant 2022, 174, e13651. [Google Scholar] [CrossRef] [PubMed]
- Koevoets, I.T.; Venema, J.H.; Elzenga, J.T.M.; Testerink, C. Roots withstanding their environment: Exploiting root system architecture responses to abiotic stress to improve crop tolerance. Front. Plant Sci. 2016, 7, 1335. [Google Scholar] [CrossRef] [PubMed]
- Hund, A.; Ruta, N.; Liedgens, M. Rooting depth and water use efficiency of tropical corn inbred lines, differing in drought tolerance. Plant Soil. 2009, 318, 311–325. [Google Scholar] [CrossRef]
- Schweiger, P.F.; Robson, A.D.; Barrow, N.J. Root hair length determines beneficial effect of a Glomus species on shoot growth of some pasture species. New Phytol. 1995, 131, 247–254. Available online: https://www.jstor.org/stable/2558479 (accessed on 15 September 2019). [CrossRef]
- Nadal, M.; Flexas, J. Variation in photosynthetic characteristics with growth form in a water-limited scenario: Implications for assimilation rated and water use efficiency in crops. Agric. Water Manag. 2019, 216, 457–472. [Google Scholar] [CrossRef]
- Kulmann, M.S.S.; Berghetti, C.B.P.; Costa, R.H.; Tabaldi, L.A.; Brunetto, G.; Schumacher, M.V. Impact of phosphorus omission fertilizer on growth, nutritional status, biochemical and physiological parameters in a Pinus taeda L. plantation. For. Ecol. Manag. 2024, 551, 121557. [Google Scholar] [CrossRef]
- Hayes, P.E.; Clode, P.L.; Oliveira, R.S.; Lambers, H. Proteaceae from phosphorus-impoverished habitats preferentially allocate phosphorus to photosynthetic cells: An adaptation improving phosphorus-use efficiency. Plant Cell Environ. 2018, 41, 605–619. [Google Scholar] [CrossRef]
- Jiang, D.; Tan, M.; Wu, S.; Zheng, L.; Wang, Q.; Wang, G.; Yan, S. Defense responses of arbuscular mycorrhizal fungus-colonized poplar seedlings against gypsy moth larvae: A multiomics study. Hortic. Res. 2021, 8, 245. [Google Scholar] [CrossRef] [PubMed]
- Zhang, L.; Shi, N.; Fan, J.; Wang, F.; George, T.S.; Feng, G. Arbuscular mycorrhizal fungi stimulate organic phosphate mobilization associated with changing bacterial community structure under field conditions. Environ. Microbiol. 2018, 20, 2639–2651. [Google Scholar] [CrossRef]
- See, C.R.; Keller, A.B.; Hobbie, S.E.; Kennedy, P.G.; Weber, P.K.; Pett-Ridge, J. Hyphae move matter and microbes to mineral microsites: Integrating the hyphosphere into conceptual models of soil organic matter stabilization. Glob. Change Biol. 2022, 28, 2527–2540. [Google Scholar] [CrossRef] [PubMed]
- Ferreira, P.A.A.; Ceretta, C.A.; Lourenzi, C.R.; De Conti, L.; Marchezan, C.; Girotto, E.; Tiecher, T.L.; Palermo, N.M.; Parent, L.-É.; Brunetto, G. Long-Term Effects of Animal Manures on Nutrient Recovery and Soil Quality in Acid Typic Hapludalf Under No-Till Conditions. Agronomy 2022, 12, 243. [Google Scholar] [CrossRef]
- Ferreira, P.A.A.; Coronas, M.V.; Dantas, M.K.L.; Somavilla, A.; Brunetto, G.; Ceretta, C.A.; Giacomini, S.J.; Gubiani, P.I.; Boitt, G.; Soares, C.R.F.S.; et al. Repeated Manure Application for Eleven Years Stimulates Enzymatic Activities and Improves Soil Attributes in a Typic Hapludalf. Agronomy 2021, 11, 2467. [Google Scholar] [CrossRef]
- Baligar, V.C.; Wright, R.J.; Smedley, M.D. Acid Phosphatase Activity in Soils of the Appalachian Region. Soil Sci. Soc. Am. J. 1988, 52, 1612–1616. [Google Scholar] [CrossRef]
- Zhang, S.B.; Wang, Y.S.; Yin, X.F.; Liu, J.B.; Wu, F.X. Development of arbuscular mycorrhizal (AM) fungi and their influences on the absorption of N and P of corn at different soil phosphorus application levels. J. Plant Nutr. Fertil. 2017, 23, 649–657. [Google Scholar] [CrossRef]
- Zhang, J.; Bi, Y.; Song, Z.; Xiao, L.; Christie, P. Arbuscular mycorrhizal fungi alter root and foliar responses to fissure-induced root damage stress. Ecol. Indic. 2021, 127, 107800. [Google Scholar] [CrossRef]
- Nader, A.A.; Hauka, F.I.A.; Afify, A.H.; El-Sawah, A.M. Drought-Tolerant Bacteria and Arbuscular Mycorrhizal Fungi Mitigate the Detrimental Effects of Drought Stress Induced by Withholding Irrigation at Critical Growth Stages of Soybean (Glycine max, L.). Microorganisms 2024, 12, 1123. [Google Scholar] [CrossRef]
- Quiroga, G.; Erice, G.; Ding, L.; Chaumont, F.; Aroca, R.; Ruiz-Lozano, J.M. The arbuscular mycorrhizal symbiosis regulates aquaporins activity and improves root cell water permeability in maize plants subjected to water stress. Plant Cell Environ. 2019, 42, 2274–2290. [Google Scholar] [CrossRef]
- Abdalla, M.; Carminati, A.; Cai, G.; Javaux, M.; Ahmed, M.A. Stomatal closure of tomato under drought is driven by an increase in soil–root hydraulic resistance. Plant Cell Environ. 2021, 44, 425–431. [Google Scholar] [CrossRef]
- Hoang, D.T.T.; Rashtbari, M.; Anh, L.T.; Wang, S.; Tu, D.T.; Hiep, N.V.; Razavi, B.S. Mutualistic interaction between arbuscular mycorrhiza fungi and soybean roots enhances drought resistant through regulating glucose exudation and rhizosphere expansion. Soil Biol. Biochem. 2022, 171, 108728. [Google Scholar] [CrossRef]
- Silva, A.M.M.; Jones, D.L.; Chadwick, D.R.; Qi, X.; Cotta, S.R.; Araújo, V.L.V.P.; Matteoli, F.P.; Lacerda-Júnior, G.V.; Pereira, A.P.A.; Fernandes-Júnior, P.I.; et al. Can arbuscular mycorrhizal fungi and rhizobacteria facilitate 33P uptake in maize plants under water stress? Microbiol. Res. 2023, 271, 127350. [Google Scholar] [CrossRef] [PubMed]
- Finlay, R.D. Ecological aspects of mycorrhizal symbiosis: With special emphasis on the functional diversity of interactions involving the extraradical mycelium. J. Exp. Bot. 2008, 59, 1115–1126. [Google Scholar] [CrossRef] [PubMed]






| Chemical Properties | Initial Soil (2004) | Low P (2019) * | High P (2019) ** |
|---|---|---|---|
| pHH2O (1:1) | 4.90 | 5.50 | 5.00 |
| Soil organic matter (g kg−1) | 19.00 | 15.70 | 16.70 |
| Available P (mg dm−3)) | 20.30 | 5.80 | 74.40 |
| Available K (mg kg−1) | 60.00 | 35.00 | 90.00 |
| Exchangeable Ca (cmolc kg−1) | 0.80 | 1.90 | 1.70 |
| Exchangeable Mg (cmolc kg−1) | 0.30 | 0.90 | 0.80 |
| Exchangeable Al (cmolc kg−1) | 0.03 | 0.00 | 0.50 |
| H+Al (cmolc kg−1) | 3.70 | 2.80 | 4.70 |
| CECeff (effective cation exchange capacity) (cmolc kg−1) | 1.30 | 3.05 | 3.20 |
| CECpH7.0 (potential cation exchange capacity) (cmolc kg−1) | 5.00 | 5.80 | 7.40 |
| Base saturation (%) | 25.40 | 51.30 | 37.70 |
| Al saturation (%) | 2.00 | 0.00 | 16.20 |
| Concentration of P | Agricultural Year | +AMF | −AMF |
|---|---|---|---|
| C–BIO (mg kg−1 soil) | |||
| Low P | 2019/20 | 120.48 Aa | 74.23 Ba |
| High P | 2019/20 | 85.79 Ab | 45.51 Bb |
| C–BIO (mg kg−1 soil) | |||
| Low P | 2020/21 | 60.21 Bb | 109.99 Aa |
| High P | 2020/21 | 117.13 Aa | 109.29 Aa |
| N–BIO (mg kg−1 soil) | |||
| Low P | 2019/20 | 108.47 Aa | 76.74 Ba |
| High P | 2019/20 | 107.32 Aa | 23.75 Bb |
| N–BIO (mg kg−1 soil) | |||
| Low P | 2020/21 | 11.25 Ba | 41.52 Aa |
| High P | 2020/21 | 6.87 Bb | 9.89 Ab |
| P–BIO (mg Kg−1 soil) | |||
| Low P | 2019/20 | 1.74 Ab | 2.60 Ab |
| High P | 2019/20 | 6.83 Aa | 5.83 Aa |
| P–BIO (mg kg−1 soil) | |||
| Low P | 2020/21 | 1.71 Ab | 1.24 Ab |
| High P | 2020/21 | 9.68 Aa | 8.80 Aa |
Disclaimer/Publisher’s Note: The statements, opinions and data contained in all publications are solely those of the individual author(s) and contributor(s) and not of MDPI and/or the editor(s). MDPI and/or the editor(s) disclaim responsibility for any injury to people or property resulting from any ideas, methods, instructions or products referred to in the content. |
© 2024 by the authors. Licensee MDPI, Basel, Switzerland. This article is an open access article distributed under the terms and conditions of the Creative Commons Attribution (CC BY) license (https://creativecommons.org/licenses/by/4.0/).
Share and Cite
Ferreira, P.A.A.; Marchezan, C.; Scopel, G.; Schwab, N.T.; da Silva, E.P.; Soares, C.R.F.S.; Brunetto, G.; Stürmer, S.L. Field Application of Mycorrhizal Inoculant Influences Growth, Nutrition, and Physiological Parameters of Corn Plants and Affects Soil Microbiological Attributes. Agronomy 2024, 14, 3006. https://doi.org/10.3390/agronomy14123006
Ferreira PAA, Marchezan C, Scopel G, Schwab NT, da Silva EP, Soares CRFS, Brunetto G, Stürmer SL. Field Application of Mycorrhizal Inoculant Influences Growth, Nutrition, and Physiological Parameters of Corn Plants and Affects Soil Microbiological Attributes. Agronomy. 2024; 14(12):3006. https://doi.org/10.3390/agronomy14123006
Chicago/Turabian StyleFerreira, Paulo Ademar Avelar, Carina Marchezan, Gustavo Scopel, Natalia Teixeira Schwab, Emanuela Pille da Silva, Cláudio Roberto Fonsêca Sousa Soares, Gustavo Brunetto, and Sidney Luiz Stürmer. 2024. "Field Application of Mycorrhizal Inoculant Influences Growth, Nutrition, and Physiological Parameters of Corn Plants and Affects Soil Microbiological Attributes" Agronomy 14, no. 12: 3006. https://doi.org/10.3390/agronomy14123006
APA StyleFerreira, P. A. A., Marchezan, C., Scopel, G., Schwab, N. T., da Silva, E. P., Soares, C. R. F. S., Brunetto, G., & Stürmer, S. L. (2024). Field Application of Mycorrhizal Inoculant Influences Growth, Nutrition, and Physiological Parameters of Corn Plants and Affects Soil Microbiological Attributes. Agronomy, 14(12), 3006. https://doi.org/10.3390/agronomy14123006

