Next Article in Journal
Meta-Study on Sulphur Supply of Various Crop Species in Organic Farming Between 1998 and 2023 in European Countries—Part 1: Effects of Sulphur Supply on Plant Dry Biomass, Nitrogen Uptake, Legume N2 Fixation and Sulphur Fertiliser Requirement Determinations
Previous Article in Journal
Influence of Effective Microbial Additives Inoculation on Indigenous Bacterial Community Dynamics and Co-Occurrence Patterns During the Composting of Mixed Food Waste and Livestock Manure
 
 
Font Type:
Arial Georgia Verdana
Font Size:
Aa Aa Aa
Line Spacing:
Column Width:
Background:
Article

Cycas Leaf:Seed Ratios Do Not Influence Seed Size, Gametophyte Carbohydrates, or Leaf Photosynthesis

Philippine Native Plants Conservation Society Inc., Ninoy Aquino Parks and Wildlife Center, Quezon City 1101, Philippines
Agronomy 2024, 14(12), 2974; https://doi.org/10.3390/agronomy14122974
Submission received: 26 October 2024 / Revised: 4 December 2024 / Accepted: 11 December 2024 / Published: 13 December 2024
(This article belongs to the Section Horticultural and Floricultural Crops)

Abstract

Experimental manipulations of the balance between leaves as source organs and reproductive structures as sink organs have contributed greatly to our understanding of the assimilate partitioning and regulation of leaf photosynthesis. In order to add cycads to this research agenda, the full range in natural variation in leaf:seed ratio and incident light level of in situ Cycas micronesica was augmented with the experimental manipulation of leaf:seed ratios of C. micronesica and Cycas edentata in Guam and the Philippines. In every study, individual seed size and concentrations of megagametophyte carbon, starch, and sugars were not influenced by leaf:seed ratio. The leaf net photosynthesis (Pn) and operational efficiency of photosystem II were also quantified for the in situ studies, and leaf:seed ratio did not influence these leaf physiology traits. The natural variation in incident light revealed increased net Pn for C. micronesica trees receiving greater levels of light, but the sink traits of seeds were not influenced by these differences in source strength. The findings indicated that the size and sink activity of individual cycad seeds are constitutive traits that are not influenced by the relative balance between leaf source and seed sink size at the individual plant level. The results also reveal that upregulation or downregulation of cycad leaf Pn is not influenced by sink size or source:sink ratio. The massive amounts of nonstructural carbohydrates in cycad stems and roots may explain these findings, as these organs may be the primary source for strobilus and seed growth independently from leaf Pn.

1. Introduction

Reproductive organ growth and maturation are crucial processes for sustaining the regeneration of tree species. The relationships among sink activities of reproductive organs and the source activities of leaves encompass a tree research agenda that has received considerable attention. Within this tree research agenda, the source is manipulated by partial defoliation treatments [1,2,3,4,5,6,7]. Additionally, the sink is manipulated by thinning young reproductive structures before their sink strength becomes substantial [2,6,8,9,10]. A common goal in these source:sink ratio manipulation protocols is to understand the determinants of the processes that influence fertility and fitness. Variation in source:sink ratio may alter the plant’s distribution of photosynthates as they become available, a process known as assimilate partitioning [11]. Therefore, the size of individual reproductive organs is a commonly measured trait in this research. At the global scale, individual seed size is negatively correlated with whole plant seed number, indicating a strong tradeoff exists between size and number as a determinant of plant behavior [12]. Equally important is the upregulation or downregulation of leaf photosynthesis after manipulation of source or sink strength [1,2,3,8,9,10,13,14,15].
The majority of this research has focused on angiosperm species that produce fruits that contribute to the human food chain, and cycads have been largely ignored to date. In fact, our knowledge of all facets of cycad physiology has suffered from inadequate research [16]. As a result, our understanding of cycad leaf:seed relations on assimilate partitioning is incomplete. Several reports illuminate the considerable costs of cycad seed production. For example, male plants produced more frequent cones than female plants for Cycas micronesica K.D. Hill [17], Macrozamia riedlei (Fisch. ex Gaudich.) C.A. Gardner [18], Zamia integrifolia L.f. [19], and Zamia neurophyllida D.W. Stev. (reported as Zamia skinneri) [20]. These reports indicate the cost of seed production within megastrobili exceeded the cost of microstrobili production. Cycad stems have been exploited as a source of starch in some countries [16], and the traditional knowledge that supports these methods indicates male stems yield more starch than female stems [21]. The best time for harvesting a stem for starch extraction is known to occur at the end of a quiescent period during which no primary growth occurred [21]. Moreover, larger plants of Z. neurophyllida [22] and C. micronesica [23] produced larger megastrobili, indicating increases in source strength as defined by vegetative organ source size engendered increases in reproductive organ sink size.
The role of leaf photosynthesis in leaf:seed relations is also not understood for female cycad plants, but several reports indirectly inform this agenda. Available light energy drives leaf source capacity, and Z. neurophyllida plants in sites with greater incident light produced cones more frequently than plants in shaded sites [22]. Leaf photosynthesis and dark respiration were not influenced by sex for five cycad species [24]. Additionally, nonconing male Zamia portoricensis Urb. plants exhibited greater area-based photosynthesis than coning plants, indicating this cycad species may not exhibit upregulation of photosynthesis in the presence of sink activities of growing reproductive organs [25]. To date, there are no reports that directly determine the influence of seed growth as a sink on concurrent leaf photosynthesis for any cycad species.
A majority of cycad species are endangered [26], and two of these are Cycas micronesica [27,28] and Cycas edentata de Laub. [29]. The leaf source and seed sink relations of these species have not been adequately studied. The threats to cycad persistence are consistent for most species, and among the list of threats is reproductive failures [30]. Becoming better conservation stewards of these imperiled plants will require a greater understanding of all facets of regeneration and recruitment. My objectives were to determine the influence of leaf number and available light in relation to seed number to determine the influences on seed traits for these two Cycas species. To accomplish this, I combined results from seven studies from 2003 until 2024, including unmanipulated in situ plant material representing the natural range in leaf:seed ratio, in situ plants exposed to experimental source:sink manipulations, and ex situ plants following source:sink manipulations. I predicted that increases in leaf:seed ratio would generate larger seeds with greater concentrations of carbon resources. I also predicted that substantial decreases in leaf:seed ratio would generate upregulation of photosynthesis to accommodate the substantial increase in sink strength.

2. Materials and Methods

2.1. In Situ Leaf:Seed Relations

The initial study sites included one habitat in southern Guam and one in northern Guam. The southern site was positioned within the east flanks of the Ajayan River valley on volcanic soils formed in residuum derived from tuff (very fine, kaolinitic, isohyperthermic Oxic Haplustalfs). The site was centered approximately 13°15′56″ N, 144°42′41″ E, and ranged in elevation from 23 to 72 m above sea level. The river was undulating within the footprint of the study, and the aspect was 232–243°. The northern site was positioned on terracing with an aspect of 209–213°. The soils were formed in slope alluvium, loess, and residuum overlying coralline limestone (clayey-skeletal, gibbsitic, nonacid, isohyperthermic Lithic Ustorthents). The site was centered approximately 13°38′44″ N, 144°51′29″ E, and ranged in elevation from 73 to 116 m above sea level. The climate of Guam is classified as Köppen Af. General physiognomy contrasted sharply between the two sites (Figure 1).
Megastrobili that emerged in April 2003 were labeled and monitored until seed maturity in February 2005. This ensured a homogeneous 22 months in seed age at harvest. The primary threat to Guam’s C. micronesica is herbivory by the armored scale Aulacaspis yasumatsui Takagi [27,28]. The habitats had not been invaded by this herbivore prior to seed harvest. Each of the trees was inspected prior to seed harvest, and 20 trees with a wide range in leaf:seed ratio were exploited to determine the influence of source:sink relations on leaf and seed traits. There were no attempts to manipulate C. micronesica leaves or seeds. Therefore, the variation in leaf:seed ratio among the replications was characteristic of the natural variation in the forest.
The response variables were designed to characterize the sink strength of seeds and source strength of leaves as a function of source:sink ratio. Preharvest variables were determined from 15 to 25 January 2005. The number of leaves and number of seeds were counted, and stem height was measured. The level of shade influences C. micronesica photosynthesis [31], so canopy cover was determined for each sampled tree with hemispherical photography. A Nikon Coolpix 995 camera fitted with a fisheye lens was positioned above each tree and held horizontally to capture the canopy image. Image analysis (described below) was accomplished after harvest. Leaf Pn was quantified with a CIRAS-1 portable open-flow system fitted with a PLC4(B) (PP Systems, Amesbury, MA, USA). The reference carbon dioxide was 380 µmol·mol−1, the air flow rate was 250 mL·min−1, the temperature was 33–35 °C, and the vapor pressure deficit was 0.9–1.5 kPa. Chlorophyll fluorescence was measured with an FMS-1 pulse-modulated fluorometer (Hansatech, Norfolk, UK). The operational efficiency of photosystem II photochemistry (ΦPSII) [32] was quantified during exposure of the test leaflets to the incident light. The leaf physiology measurements were conducted on mostly sunny days, with gas exchange accomplished at 0900–1100 HR to capture the mid-morning maximum and fluorescence measurements accomplished at 1100–1300 HR during the midday minimum (see [33]). As leaf age influences C. micronesica Pn [34], the test leaves were selected exclusively from the youngest cohort of exposed leaves on each tree.
Seeds were harvested from every tree from 4 to 13 February 2005. The fresh weight of the total harvest from each tree was weighed on the same date of harvest, and mean seed fresh weight was calculated by dividing the total weight by the seed number. The length of each seed was measured directly, then mean seed length was calculated for each tree. The gametophyte tissue was extracted from each seed, sliced, frozen at −40 °C, lyophilized, and then processed using the traditional approach of pulverizing the dried tissue to create flour. The powder was then stored at −80 °C until carbohydrate traits were measured in 2019. This stored gametophyte tissue was invaluable because it represented a period of time prior to the invasion of A. yasumatsui, and no unprotected trees on Guam have been suitable for studying source:sink relations since the invasion. Total carbon (C) was determined by dry combustion (FLASH EA1112 CHN Analyzer, Thermo Fisher, Waltham, MA, USA) [35]. Soluble sugar extraction was conducted using hot-water extraction with acetonitrile (80 °C). The concentrations of the hexose fructose and glucose and the disaccharides sucrose and maltose were determined by HPLC-RI (Thermo Scientific RI-150, AS3000 autosampler, P2000 pump, Waltham, MA, USA). Starch was quantified following hydrolyzation by amyloglucosidase to glucose [36].
The source:sink ratio was calculated for each tree by dividing the seed number into the leaf number. The full ratio range for the southern site was created by one replication with a 55:92 ratio and one replication with a 113:2 ratio. The full ratio range for the northern site was created by one replication with a 54:83 ratio and one replication with a 121:2 ratio. The individuals from each site were sorted into four source:sink categories with five replications by considering the full range in leaf:seed ratio. The mean leaf:seed ratio for the five trees within each of the four categories was considered the independent variable in the analyses. This procedure created ratio categories of 61:70, 65:33, 70:16, and 105:2 for the southern site. The same procedure created categories of 62:67, 66:35, 71:17, and 87:4 for the northern site.
The percent canopy openness was determined from each digital canopy image with WinSCANOPY Version 2004a proprietary software (Regent Instruments, Inc., Sainte-Foy, Quebec, QC, Canada). The data were subjected to one-way ANOVA with tree height, percent canopy openness, seed fresh weight, seed length, Pn, and ΦPSII as the field response variables (SAS Institute, Cary, NC, USA). Additionally, gametophyte C, fructose, glucose, maltose, sucrose, and starch were analyzed as the carbon relations response variables. The seed and leaf numbers did not conform to parametric requirements, and the Kruskal–Wallis H test was employed to determine differences among the leaf:seed ratio categories. To more fully understand the plant responses, the variables were subjected to Pearson Correlation analysis.

2.2. In Situ Available Light

A second study from the same population of trees described in Section 2.1 was designed to determine the relative level of canopy openness as a source modulator on seed sink and leaf photosynthesis traits. There was no attempt to manipulate the emergent canopy cover from co-occurring trees, so the relative available light for each replication was characteristic of the natural variation in the forest habitats. The plant and canopy traits were measured as described in Section 2.1. The trees were sorted into four light categories with six single-tree replications each by considering the natural range in canopy cover.
For the southern Guam site, these categories were 11–20%, 21–40%, 41–60%, or 61–83% canopy openness as calculated from the canopy images. For the northern Guam site, the categories were 20–35%, 36–50%, 51–70%, or 71–85% canopy openness in the canopy images. The differences among the four light categories were determined by ANOVA (SAS) for each of the response variables in the two locations. For significant response variables, regression analysis was employed, with mean canopy openness treated as the independent variable. Moreover, the variables were subjected to Pearson Correlation analysis.

2.3. Manipulated Leaf:Seed Relations

A follow-up in situ study was conducted to manipulate C. micronesica source:sink ratio by using leaf and seed removal. This work was conducted several years after the A. yasumatsui invasion had damaged the island’s cycad population in an east Guam site. The substrate was coralline, and the soils were the same series as the northern site described in Section 2.1 (Figure 2a). The site was centered approximately 13°27′52″ N, 144°50′57″ E, and an elevation centered at 34 m above sea level. The site was positioned with an aspect of 128–135°. A high-density plot was designated in 2007, and protection from A. yasumatsui herbivory was accomplished with imidacloprid drenches. The manufacturer’s recommendations were employed, whereby 0.3 g of active ingredient was applied for each cm in stem diameter at breast height. The fieldwork was initiated in May 2013 when megastrobili emerged in synchrony, and natural pollination was allowed.
The population of megastrobili was surveyed in August 2013 when the size differences between un-pollinated ovules and pollinated developing seeds were unambiguous [37]. Leaves were counted on each tree and ranged from 46 to 79. Developing seeds were counted and ranged from 26 to 59. Leaf number was standardized to 40 by pruning the oldest leaves on each tree until 40 of the youngest leaves remained. The number of seeds was manipulated to create four seed number treatments: 5, 20, 35, or 50 per tree. The seeds that were thinned were selected to ensure sporophylls contained only one or two remaining seeds each. In addition, female trees with no seeds were selected as control plants for the leaf physiology measurements, and leaf number was reduced to 40. There were five single-tree replications for each leaf:seed ratio category of 40:0, 40:5, 40:20, 40:35, or 40:50.
Sustaining the prescribed leaf:seed ratio for each replication required follow-up manual defoliation as each new leaf growth event occurred. This was accomplished by counting the number of leaves within each newly added leaf growth event when leaves were ≈20 cm in length and removing the same number of leaves from the oldest leaf cohorts on each tree. The leaf emergence dates were recorded for each tree to ensure the mean new leaf age was similar and the number of leaves younger than the seeds versus older than the seeds was similar among the treatments at the end of the study. Guam is prone to frequent tropical cyclones, which cause heterogeneous defoliation among trees [38], but no tropical cyclones impacted the island during the timeline of this study. Three of the 40:0 trees and one of the 40:5 trees initiated a new megastrobilus during the study period, and the sporophylls were pruned after three weeks of growth when the base of each sporophyll became visible above the cataphylls [37]. This ensured none of the ovules were pollinated prior to the removal of the strobilus, so new seed sink demands were disallowed.
Leaf physiology traits were quantified as described in Section 2.1 during several sunny days in September 2013 when the seeds were four months in age. These dates were selected because a linear increase in seed diameter growth is sustained until about 4.5 months [37]. The measurements were repeated during several sunny days in October 2014 when the seeds were 17 months in age. These dates were selected because a linear increase in megagametophyte starch concentration is sustained for 18 months [39]. Therefore, the daily sink demands of the seeds may decline after these growth phases because gametophyte starch and seed size do not continue to increase in a linear pattern. Leaf Pn was quantified with a CIRAS-2 portable open-flow system fitted with a PLC6(U) cuvette (PP Systems). The reference carbon dioxide was 400 µmol·mol−1, the air flow rate was 250 mL·min−1, the temperature was 32–35 °C, and the vapor pressure deficit was 0.9–1.4 kPa. Leaf ΦPSII was measured with an FMS-2 pulse-modulated fluorometer (Hansatech). Additionally, the incident photosynthetic photon flux density (PPF) was determined with a 0.75-m line quantum sensor (EMS-7, PP Systems, Amesbury, MA, USA) positioned horizontally above the canopy of each tree during midday. The sensor was oriented east–west, and measurements were taken at the north periphery, center, and south periphery of each canopy. The mean of these three measurements was used as the incident light availability to the tree. A corresponding measurement was made under direct sun exposure, and the percentage of incident light reaching the C. micronesica canopy was calculated.
All seeds were harvested from 25 to 29 March 2015. The collection of the data on dates of harvest and during subsequent seed preparations was as described in Section 2.1. Five seeds for each of the leaf:seed ratio categories were used for chemical analyses. The gametophyte tissue was stored until 2019 for the carbohydrate analyses. The only difference was the use of a percentage of incident PPF rather than the percent canopy openness to compare light availability among the replications. There were four leaf:seed ratio levels for seed response variables and five levels for leaf physiology response variables. The data were subjected to ANOVA (SAS).
The remaining seeds were used for germination studies. There were no seeds for the 40:0 and 40:5 replications, 15 seeds for the 40:20 replications, 30 seeds for the 40:35 replications, and 45 seeds for the 40:50 replications. Sarcotesta tissue was removed, and then the cleaned seeds were stored in ambient conditions for nine months to enable embryo maturation. The seeds were soaked in municipal water for 24 h, then sown on 21 December 2016 in perlite beds at the University of Guam campus. A suspended plastic cover enabled 100% humidity, and the beds were irrigated one time per week. Every two weeks, the seeds that germinated were counted, then returned to the original in situ site and planted within the protected plot’s footprint. The ultimate number of seeds that germinated for each replication was recorded until July 2017, when the study was terminated. The percentage of seeds that germinated for each replication was calculated to produce a single response variable that was consistent among the three leaf:seed ratio categories. The germination data did not conform to parametric prerequisites, so the Kruskal–Wallis H test was employed to determine differences among the treatment categories. The variables were also subjected to Pearson Correlation analysis.

2.4. Ex Situ Controlled Studies

An ex situ cycad germplasm garden in Barangay Sapang Bato, Angeles City, Philippines, was exploited to manipulate leaf:seed ratio in young C. micronesica and C. edentata plants (Figure 2b). The plants were growing in a 3 × 3 m grid in an open field with loam soil (coarse loamy, isohyperthermic, Typic Untipsamment). The climate for the location is classified as Köppen Am.
The C. micronesica study was initiated with megastrobili that emerged in April and May 2018 on trees derived from Guam and Yap. The ovules were hand-pollinated using pollen collected from the same germplasm collection. The ovulate and pollen parents were not derived from the same areas of occupancy due to the limited number of coning individuals in the young germplasm. Therefore, the resulting seeds were of no value for re-introduction due to genetic reasons. The defoliation and seed thinning treatments were conducted on 31 July 2019, when the fertilized seeds were easily distinguished from unpollinated ovules. These small trees contained fewer leaves than the in situ mature trees described in Section 2.3, so the manipulated leaf:seed ratios were not similar to that study. Leaf number ranged from 21 to 39, and fertilized seed number ranged from 28 to 36. There were 12 trees available, so two source:sink categories were created using defoliation of the oldest leaves and selective seed thinning. These leaf:seed categories were 10:30 and 30:10, and there were six replications per category. The leaf number was maintained for each tree with the methods described in Section 2.3.
The seeds were harvested in February 2020. The length of every seed was measured. Five seeds per replication were destructively analyzed to determine fresh and dry weight traits. Each seed was cut open, and gametophyte tissue was extracted from the interior of the sclerotesta. The sarcotesta tissue was subsequently removed from the exterior surface of the sclerotesta. Fresh weight was recorded for each of the three tissue categories, then the tissue was dried for 48 h at 75 °C, and the dry weight was recorded. The dry matter content was calculated for each tissue category as (dry weight/fresh weight) × 100. The remaining seeds were used for germination trials by cleaning sarcotesta, storing in ambient conditions, and then sowing on 4 November 2021. The germination medium was silica sand. Germination was checked every week, germinated seeds were removed from the experimental bed, and dates were recorded and collated among the treatment categories. Germination was monitored until 2 June 2022, when the study was terminated. The germination percentage was calculated for each replication to create a single response variable. The Mann–Whitney U test was employed to determine differences between the treatment categories for germination percentage, and a standard t-test was used for the remainder of the response variables.
The C. edentata study was initiated with megastrobili that emerged in July 2021. The ovules were open-pollinated by the native beetle pollinator population, and no attempts of hand pollination were conducted. The defoliation and seed thinning protocols were performed on 29 October 2021. Leaf number ranged from 24 to 44, and fertilized seed number ranged from 22 to 46. There were three leaf:seed ratio categories after defoliation and seed thinning, each with five replications. The categories were 10:40, 25:25, and 40:10.
The seeds were harvested in May 2023. The length of every seed was measured. Five seeds per replication were destructively analyzed to determine tissue weight as previously described. The remaining seeds were used for germination trials by cleaning sarcotesta, storing in ambient conditions, and then sowing on 5 March 2024. Germination was checked every week, germinated seeds were removed from the experimental bed, and dates were recorded and collated among the treatment categories. Germination was monitored until 19 September 2024, when the study was terminated, and germination percentage was calculated for each replication. The Kruskal–Wallis H test was employed to determine differences among treatment categories for germination percentage, and ANOVA was used to analyze the remainder of the response variables. The variables were subjected to Pearson Correlation analysis.

3. Results

3.1. In Situ Leaf:Seed Relations

The C. micronesica population from southern Guam was characterized by homogeneous canopy cover and stem height among the four leaf:seed ratio categories (Table 1). This habitat exhibited a mean canopy openness of 40% to 50%. Similarly, the Pn and ΦPSII traits were not different among the four leaf:seed ratio categories. Contrarily, a 1.7-fold difference in leaf number occurred among the treatments, indicating leaf number significantly contributed to the creation of the leaf:seed treatment levels.
Differences among the four leaf:seed categories in a northern Guam forest were similar to those for the southern Guam forest (Table 2). Canopy cover, stem height, Pn, and ΦPSII traits were not different among the four leaf:seed ratio categories. Canopy openness was greater in this habitat than in the southern habitat, with mean canopy openness of 55% to 60%. Differences in mean leaf number per tree were less than in the southern Guam habitat, but again, the natural range in leaf number significantly contributed to the creation of the leaf:seed treatment levels.
The number of seeds per tree contrasted among the four treatment levels in the southern Guam location, indicating unmanipulated seed number significantly contributed to the creation of the leaf:seed ratio categories (Table 3). The indicators of seed size were unaffected by the leaf:seed ratio categories as revealed by individual seed weight and length. Moreover, the megagametophyte traits were also unaffected by the leaf:seed ratio categories, as revealed by total dry weight and the concentrations of carbon, starch, and four sugars (Table 3).
The number of seeds per tree differed among the source:sink treatments in the northern Guam location, revealing a significant contribution of seed number toward the creation of the leaf:seed ratio categories (Table 4). Individual seed weight and length were much greater than for the southern site but were unaffected by the leaf:seed ratio categories. Therefore, the highly contrasting leaf:seed categories did not influence individual seed size. The megagametophyte dry weight and concentrations of starch and sugars were also unaffected by the leaf:seed ratio categories. Carbon and carbohydrate concentrations were remarkably similar to those in the southern habitat.
The continuous variables in the southern Guam site exhibited varied relations as determined by correlation analyses (Appendix A). Leaf number and seed number were prescribed variables, so their strong correlation with the derived leaf:seed ratio was predetermined by the methods. However, the variation in every response variable was not correlated with leaf:seed ratio, corroborating the results shown in Table 1 and Table 3. The only response variables that revealed considerable correlations were the physiological traits. The greatest level of positive correlation occurred for pairwise comparison of canopy openness with leaf Pn and starch concentration with total nonstructural carbohydrate concentration. Moderate positive correlations also occurred for starch with sucrose, glucose with maltose, and sucrose with total nonstructural carbohydrate concentration. The greatest negative correlations occurred for leaf Pn with ΦPSII and canopy openness with ΦPSII.
The continuous variables in the northern Guam site exhibited correlations that were similar to those of the southern site (Appendix B). Again, no response variable exhibited a strong correlation with leaf:seed ratio. The greatest level of positive correlation occurred for pairwise comparison of canopy openness with leaf Pn and starch concentration with total nonstructural carbohydrate concentration. The other positive correlations were less strong than in the southern site. The greatest negative correlations were leaf Pn with ΦPSII and canopy openness with ΦPSII.

3.2. In Situ Shade Relations

The trees in the southern habitat that were exploited to determine the influence of canopy openness on leaf:seed relations were similar in stem height, total leaf number, and total seed number (Table 5). In contrast, maximum Pn and midday ΦPSII differed among the four canopy openness categories. Individual seed size traits were not influenced by canopy openness, exemplified by similar seed lengths, total seed fresh weight, and gametophyte dry weight. Additionally, the sink activities of megagametophytes were not influenced by canopy openness, as the carbon and carbohydrate traits were similar among the four treatment categories.
The range in canopy openness was characterized by a linear increase in Pn and a linear decrease in ΦPSII (Figure 3a). Interestingly, the greater carbon acquisition exemplified by the trees receiving greater relative light energy did not translate into any measurable change in the sink strength of the seeds (Table 5).
The trees that were used to determine the influence of canopy openness on leaf:seed relations in the northern habitat were similar in stem height, total leaf number, and total seed number (Table 6). In contrast, canopy openness significantly influenced maximum Pn and midday ΦPSII. Individual seed fresh weight and gametophyte dry weight were not different among the canopy openness categories. Moreover, the carbon, starch, and sugar concentrations of the gametophytes were not influenced by canopy openness.
The range in canopy openness in the northern site was less than in the southern site. Within this range, both Pn and ΦPSII were characterized by linear relationships with canopy openness (Figure 3b). As with the southern site, the greater Pn for the trees receiving greater canopy openness did not influence individual seed sink strength as characterized by seed size and carbon resource concentration traits (Table 6).
The continuous variables in the canopy openness study in the southern Guam site (Appendix C) and the northern Guam site (Appendix D) exhibited similar correlation results among the response variables. The greatest positive correlation occurred for pairwise comparison of canopy openness with leaf Pn, starch concentration with total nonstructural carbohydrate concentration, and seed fresh weight with gametophyte dry weight. Negative correlations occurred for leaf Pn with ΦPSII and canopy openness with ΦPSII. Notably, the numerous response variables were not strongly correlated with leaf:seed ratio for either study site, corroborating the results in Table 5 and Table 6.

3.3. Manipulated Leaf:Seed Relations

The incoming incident light impacting the trees in an eastern Guam habitat that were exploited for manipulated leaf:seed ratio categories was homogeneous among the five categories (Table 7). The trees also exhibited similar stem heights, indicating no differences in storage organ size contributed to any differences in the response variables. The presence of seeds within the range of 0 to 50 exerted no influence on Pn or ΦPSII during the growth phase of linear seed size expansion, indicating the differences in whole-plant seed sink strength did not cause a plastic response of leaf function. The presence of seeds on the same trees during the growth phase of linear megagametophyte starch accumulation did not influence Pn or ΦPSII, indicating the differences in starch accumulation did not cause a plastic response of leaf function.
The fresh weights of whole seeds and dry weights of megagametophytes of the trees in this eastern Guam habitat were greater than for trees in the southern habitat but less than for trees in the northern Guam habitat. These seed size metrics were not influenced by the number of seeds per tree (Table 8). Seed length and megagametophyte concentrations of carbon, starch, and sugars were also not influenced by the leaf:seed ratio categories. Germination of the seeds in the 40:20, 40:35, and 40:50 categories ranged from 51% to 55%. Germination was not influenced by the experimental range in leaf:seed ratio (Table 8).
The Pearson Correlation coefficients for the manipulated leaf:seed ratio categories revealed that none of the response variables were correlated with the leaf:seed ratio (Appendix E), confirming the findings reported in Table 7 and Table 8. As expected, leaf Pn during the first growth phase was correlated with leaf Pn during the second growth phase, and ΦPSII during the first phase was correlated with ΦPSII during the second phase. As with the southern and northern Guam studies, the greatest positive correlations occurred for starch with total nonstructural carbohydrates and seed fresh weight with gametophyte dry weight. Sucrose exhibited a moderate correlation with total nonstructural carbohydrates. No strong negative correlations occurred among the pairwise comparisons in this eastern Guam habitat.

3.4. Ex Situ Controlled Studies

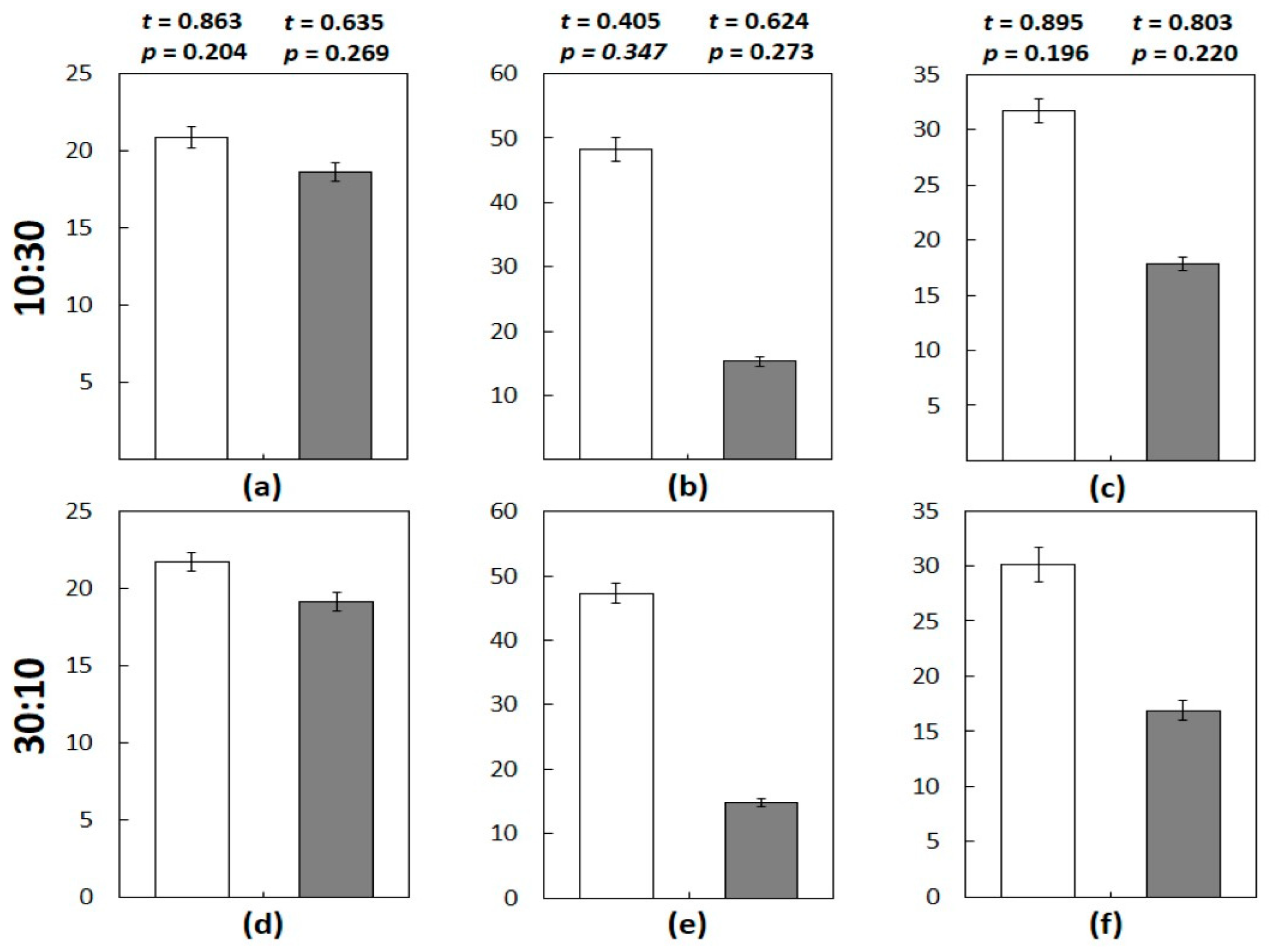
The C. micronesica plants used for the ex situ manipulation study were similar in height, indicating stem source size did not differ between the two leaf:seed ratio categories (Table 9). Treatments characterized by leaf number that was triple that of seed number versus seed number that was triple that of leaf number did not differ in individual seed fresh weight or length. Moreover, the dry matter content in all three seed tissue categories was not influenced by the leaf:seed ratio categories. The germination of these seeds was 50% to 54%, and the leaf:seed ratio treatments did not influence germination.
The contributions of each C. micronesica seed tissue category to seed fresh weight ranked in the order sclerotesta < gametophyte < sarcotesta (Figure 4). In contrast, the contributions of each seed tissue category to seed dry weight ranked in the order sarcotesta < gametophyte < sclerotesta. The contribution of water weight to fresh weight was clearly minimal for sclerotesta and maximal for sarcotesta tissues. The greatly different leaf:seed ratio categories did not influence fresh or dry weight for any of the tissue categories.
The Pearson Correlations revealed that leaf:seed ratio did not exhibit a strong correlation with any of the response variables (Appendix F), confirming the data that revealed source:sink ratio did not influence seed traits (Table 9, Figure 4). Although none of the fresh and dry weight traits were correlated with leaf:seed ratio, each seed weight trait exhibited strong correlations with the other seed weight traits.
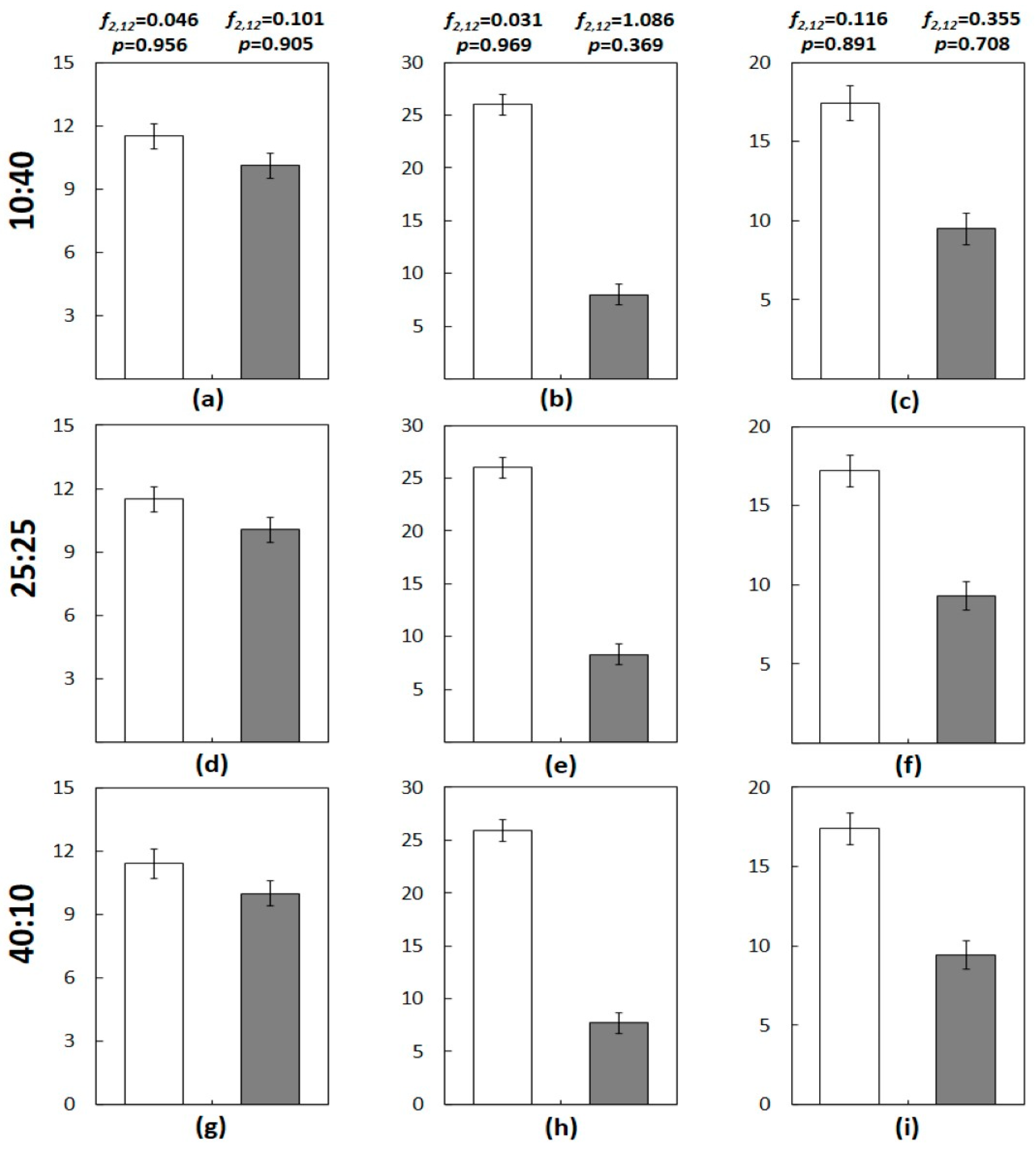
Stem height of the C. edentata plants in the ex situ manipulation study did not differ among the three leaf:seed ratio categories (Table 10). The highly contrasting leaf:seed ratio categories did not differ in individual seed fresh weight or length. Similarly, the dry matter content in all three seed tissue categories was not influenced by the defoliation and seed thinning treatments. The germination of these seeds was ≈48%, and the leaf:seed ratio treatments did not influence germination.
The relative patterns of fresh and dry weights among the three C. edentata seed tissue categories were similar to those of C. micronesica (Figure 5). The contrasting experimental leaf:seed ratio categories did not influence fresh weight or dry weight for any of the tissue categories.
The Pearson Correlations for these C. edentata plants were similar to those of the C. micronesica plants in the same research garden. As with every other study, the leaf:seed ratio did not exhibit a strong correlation with any of the response variables (Appendix G). The various seed weight traits exhibited some correlations, but they were not as strong as the correlations among the C. micronesica seed weight traits.

4. Discussion

Cycads are highly threatened, and the threats to persistence are consistent among most of the described species [26,40]. Among the list of threats is general reproductive failure [30]. Research to support the reasons behind reproductive failure among cycad species has been insufficient. The findings reported herein contribute to this agenda by improving our understanding of source:sink relations on cycad seed sink behaviors for two Cycas species.
The first prediction indicated that individual trees with maximal leaf:seed ratio would produce larger individual seeds than trees with minimal leaf:seed ratio. This prediction was based on the fact that greater leaf:fruit ratio in many angiosperm species generates greater individual fruit size [6,10,14,15,41]. Furthermore, a negative correlation between individual seed size and whole plant seed number indicates a strong tradeoff between these two seed traits as a general determinant of plant behavior [12]. My results do not conform to the prediction and instead reveal that highly contrasting natural and experimentally created leaf:seed ratios did not influence C. micronesica or C. edentata seed size in any measurable manner.
The second prediction was that individual trees with increased leaf:seed ratio would exhibit greater levels of carbohydrate resources in the seed megagametophytes than trees with minimal leaf:seed ratio. This prediction was based on fruit thinning studies with angiosperm species, which have revealed greater concentrations of carbohydrates in experimental plants with greater leaf:fruit ratio [10,15,42]. My results do not conform to the prediction and instead reveal that concentrations of total C, starch, hexose sugars, and disaccharide sugars in C. micronesica megagametophyte tissues were remarkably homogeneous among the highly contrasting leaf:seed ratio categories. These megagametophyte carbohydrate concentrations were also consistent among the disparate studies spanning numerous years, dissimilar habitats, and contrasting levels of light availability.
The third prediction was that substantial decreases in leaf:seed ratio at the tree level would lead to upregulation of leaf photosynthesis to accommodate the increased collective seed sink strength. This prediction was based on the highly reported upregulation of Pn in remaining leaves following source reduction by partial defoliation or a downregulation of Pn following sink reduction by partial flower or fruit removal [1,2,3,4,5,8,9,10,13,14,43,44,45]. Moreover, downregulation of ΦPSII may accompany downregulation of Pn following experimental manipulation of source:sink relations to provide a photoprotective mechanism to sustain leaf health [46]. Contrary to the literature, the Pn and ΦPSII results in every study reported herein revealed no influence of C. micronesica leaf:seed ratio on Pn or ΦPSII. These results included leaf physiology data obtained during the rapid linear seed size growth phase, the rapid linear megagametophyte starch accumulation phase, and the seed maturity phase.
The inclusion of two studies that determined the influence of highly divergent incident light availability on in situ C. micronesica seed traits was based on the reports that the reproductive behaviors of Z. neurophyllida plants were influenced by light availability at the plant level [22]. This population of C. micronesica trees did not exhibit any influence of Pn increases or decreases in response to light availability at the individual plant level on seed size or gametophyte carbohydrate traits.

4.1. Interpretations

Experimental manipulation of source:sink relations is a useful protocol for developing a greater understanding of how reproductive organs perform their functions. The findings herein collectively indicated that individual seed size and carbohydrate resource acquisition behaviors of Cycas seeds are constitutive traits whereby considerable changes in source:sink relations do not alter these fixed seed traits. Similarly, area-based leaf photosynthetic source activities of these Cycas species are fixed at moderate values of Pn, and are not readily influenced by whole-plant source:sink behaviors. Moreover, two of the studies herein documented greater leaf Pn for trees with greater available light energy at the individual tree level, yet seed size and carbohydrate accumulation were unaffected by these considerable differences in Pn among the treatments. A clear relationship among reproductive organ sink demands, the abundance of leaf source capacity in relation to those sink demands, and concurrent leaf Pn is therefore not confirmed.
These results are contrary to most of the relevant information reported in the literature. One potential explanation for these non-plastic seed and leaf behaviors is that the storage of resources in stems and roots is abundant, and the sink strength of these vegetative organs exerts the initial sink demands on the deployment of leaf photosynthates. This satisfaction of stem sink strength by leaf exports occurs in a manner that is disconnected from concurrent reproductive organ sink strength. Subsequently, strobilus sink demands may be satisfied from stored resources that are deployed from stems in a manner that is disconnected from the volume and timing of leaf resources being imported by the stem tissues. Moreover, cycad megastrobilus and seed growth sink demands are not ephemeral but instead are spread out over a long period of time (22 months for C. micronesica in this study). This long-term, steady sink behavior of the strobilus tissues may be sustainably satisfied each day by the stored stem and root resources without a concurrent direct connection to leaf Pn.
Two recent papers on microstrobilus sink relations inform this discussion. First, C. micronesica stem carbohydrate concentrations substantially declined during sink activities of the rapid primary growth period for microstrobilus development [47]. Reproductive female trees were not included in this study because of the multi-year nature of the megastrobilus growth. The results provide direct evidence that stored stem resources were exploited to meet the sink demands of a growing strobilus. Second, male Z. portoricensis plants supporting microstrobili exhibited area-based leaf photosynthesis that was less than male plants with no strobili [25]. These results are difficult to resolve based on the literature, as they indicate downregulation of photosynthesis in the presence of microstrobilus sink tissues. But the results are consistent with the view of stems imposing the primary sink demands for leaf photosynthates, with strobilus sink activities being disconnected from leaf photosynthates by the intermediary stem behaviors. The results may also be consistent with the well-known source:sink ratio influence on instantaneous leaf Pn if the currency of sink strength in the model is stem sink rather than strobilus sink. Indeed, the coning Z. portorcensis male plants were supported by more than twice the number of leaves than the non-coning plants. For this study, source:sink ratio, as defined by leaf:stem ratio, was much greater for the coning plants. This view would reconcile the increase in leaf Pn reported for the non-coning plants because of their decreased source:sink ratio compared with the coning plants. Regardless, the results are consistent with my results in that no upregulation of photosynthesis occurred in the presence of active sink activities of a strobilus.

4.2. Timing of Research Methods

This study provides an example of the adaptive management approach to conservation physiology research in relation to the timing of sink strength. When the data were collected in 2005, phenology traits of C. micronesica megastrobili and seed growth were not understood. As a result, the leaf physiology methods designed to determine the influence of leaf:seed ratio on leaf function were carried out immediately prior to seed harvest. Subsequent research revealed that the linear seed expansion growth phase terminates after about 4.5 months of seed growth [37], maximum seed size occurs after about 10 months of seed growth [37], the increase in dry matter content of gametophytes reaches a plateau after about 12 months of growth [48], and the linear increase in gametophyte starch concentration terminates after about 18 months [49]. This new knowledge on megastrobilus ontogeny defined the timing of 2015 leaf physiology data collection by ensuring the dates were within the linear growth phases when seed sink strength was at a maximum. In contrast, the 2005 leaf physiology data were collected when the daily strobilus sink demands were likely minimal and restricted to compensating for the maintenance respiration of the mature sporophylls and seeds.
Knowledge of the timing of sink strength of microstrobili may be equally important for interpreting leaf Pn research results in male cycad plants. Sporophylls in male cycad cones contain copious levels of starch [49]. Changes in starch content during the pollen dispersal stage have been determined for several cycad species to reveal sporophyll starch was at a maximum prior to then declined during pollen dispersal [49,50,51]. The results reveal the stored starch was exploited for metabolism during the final thermogenic stages of microstrobilus maturity. These findings indicated the primary sink activities of the strobili preceded the thermogenic, pollen-dispersal stages, and research designed to determine the influence of microstrobilus sink activity on leaf Pn would need to be conducted early in cone growth in order to ensure maximum reproductive sink activity.
In order to address these issues of timing of reproductive sink activity, research methods should acknowledge that small changes in strobilus age may greatly influence the extent of daily reproductive sink strength. Reporting the precise cycad strobilus age is therefore mandatory for defendable source:sink ratio leaf physiology methods to ensure unambiguous results and repeatability of the protocols.

4.3. Off-Site Germplasm

This study provides an example of the value of ex situ germplasm collections for conservation research. The plants described in Section 2.4 were growing in an off-site collection established by the University of Guam, a collection constructed to enable the continuation of research that could no longer be conducted on the island of Guam because of compromised in situ tree health. Botanical gardens and research collections are ideal for comparing various species in a common garden environment. For example, the various multi-species comparisons that have contributed to cycad leaf physiology knowledge have been conducted in botanic garden settings [33,52,53]. Moreover, the first published article reporting the presence of free sugars stored in cycad tissues [54] and the first publications to report the influences of cycad strobili on leaf photosynthesis [24,25] were based on data collected in botanic gardens.
Research on C. micronesica in Guam’s environment is currently disadvantaged by ubiquitous A. yasumatsui damage caused by the 2003 invasion and research restrictions imposed by the federal government due to the 2015 listing on the United States Endangered Species Act [27]. These disadvantages do not occur in the off-site germplasm collections, where C. micronesica is being grown in gardens established prior to the federal listing.

4.4. Future Directions

The number of cycad species that have been investigated in this research agenda is severely limited, and more species among the 10 genera and two families of cycads need to be considered. Although many publications indirectly inform the source:sink ratio research agenda, very few directly improve our understanding of how sink activities throughout the various tissues influence source activities of leaf Pn and stored carbohydrates. Considering how important cycad starch has been in historical consumption by humans and the toxicology and medical research that has resulted from that consumption [16], the need for continuing this research cannot be overestimated.
One advantage that may be exploited in cycad research is the relative ease of counting seeds. Indeed, seed number is exceedingly difficult to measure for most angiosperm species because of the variability in space and time and the number of fruits displayed on a single tree [12]. By contrast, the visible naked seeds in a Cycadaceae megastrobilus are readily observed, and the number of seeds within harvested Zamiaceae female cones can be easily counted due to the minimal number of concurrent cones.
Contrarily, a disadvantage is that some of the traditional methods exploited in source:sink relations research are not possible for cycads. For example, phloem girdling to create multiple isolated single-stem experimental units that are individually manipulated with leaf and/or fruit removal is valuable because inherent plant-to-plant variability is controlled by the methods. Unfortunately, this protocol cannot be applied to cycads due to the unique pachycaulous stem with internal phloem which disallows a girdling protocol. Therefore, whole-plant source:sink manipulations are the only option for continued source:sink research in cycads. These limitations in experimental methods demand that future protocols ensure that incident light availability is measured for every whole-plant experimental unit because this generates the data to statistically prove that differences among replications and treatments are not experimental noise created by plant-to-plant heterogeneity of incoming light energy. Indeed, area-based photosynthesis, chlorophyll content, and stomatal density are among the traits that are heavily influenced by incident light during the leaf expansion phase, and minimal differences in spatial heterogeneity may create consequential differences in available light energy and cycad reproductive growth [22,55]. This experimental requirement may be addressed by calculating canopy openness from hemispherical photographs above each replication (Section 2.1 and Section 2.2), direct measurement of incident light above each replication (Section 2.3), or ensuring every replication is growing under homogeneous synthetic shade fabric or full sun conditions (Section 2.4).
The lengthy lifespan of cycad leaves and megastrobili and the conservative growth strategies of cycad plants indicate future research methods will require a multi-faceted and long-term approach to ensure relevance. The developing cycad megastrobilus may have access to three distinct carbohydrate sources, which may cooperate in a facultative manner: first, the primary source of photosynthates from leaf Pn; second, the abundant stored resources readily available for deployment from vegetative organs; and third, direct Pn from seed and strobilus surfaces. All cycads produce cones as microstrobili, and all Zamiaceae species also produce cones as megastrobili [16]. Most of the sporophyll surfaces in these cones are green during the initial rapid growth stages. In addition, the green ovules in Cycadaceae megastrobili are often directly exposed to ambient light and develop into green seeds during the initial rapid growth stages when seed sink demands are substantial. Green surfaces of angiosperm reproductive organs may contribute substantially to the carbon needs of the organ’s growth, especially under suboptimal growing conditions that compromise leaf Pn [56,57,58,59]. Green surfaces of non-cycad gymnosperm strobili may also contribute substantially to the carbon relations of strobilus growth [60,61,62,63]. To my knowledge, the relative contributions of carbohydrates by sporophyll and seed photosynthesis in cycads have not been reported. Therefore, the interplay among sporophyll photosynthesis, seed photosynthesis, import of concurrent photosynthates from leaves, and import of stored resources from subtending stem tissues to support seed growth is not known for cycads. The study of any one of these sources cannot reliably be conducted without acknowledging the contributions of the other sources.
Reproductive output at the plant level is a result of the size of reproductive structures, but it is also a result of the return time and number of reproductive events throughout a lifetime. Source:sink relations in cycads may therefore exhibit a time:size tradeoff in defining reproductive output. For example, Z. neurophyllida plants with more available light energy produced cones more frequently than plants in shaded sites [22]. Similarly, male C. micronesica [17], M. riedlei [18], Z. integrifolia [19], and Z. neurophyllida plants [20] produced cones more often than female plants of the same species, indicating return time of female plants is longer than male plants as mediated by greater sink demands of female reproductive growth. Studies designed to inform this research agenda may best combine measurements of instantaneous Pn, concurrent strobilus size and seed number, direct measures of carbohydrates in strobilus and seed tissues, and return times of subsequent reproductive events.
The influence of source:sink ratio on instantaneous leaf Pn is of importance in this research agenda, but other physiological traits may also be considered in future protocols. For example, dark respiration of leaves may play a role in how carbon gain and allocation are influenced by source:sink ratio [4]. Similarly, the upregulation or downregulation of chlorophyll fluorescence traits such as ΦPSII may accompany the plasticity of Pn following experimental manipulation of source:sink relations [46]. Cycad leaves are long-lived organs that exhibit gradual declines in Pn with leaf age [34]. Marino et al. [4] reported that a low source:sink ratio hastened this age-related decline in leaf Pn for Pistacia vera L. when compared with a high source:sink ratio. Future goals of learning more about cycad source:sink relations would benefit from adding these less-studied leaf physiology behaviors to the research approaches.
Finally, manipulations of reproductive structures by directed shading or partial removal of photosynthetic tissues on reproductive structures can be highly informative for understanding non-leaf photosynthetic traits in angiosperms [64,65,66]. These forms of manipulation may be applied to non-leaf photosynthetic tissues in cycad species to more fully understand whole-plant carbon relations.

5. Conclusions

Considerable differences in leaf:seed ratio for female C. micronesica and C. edentata plants have been shown to exert no measurable influence on single seed size or carbohydrate accumulation. The results indicate that cycad seed sink activities are constitutive traits rather than facultative traits. These same differences in leaf:seed ratio did not generate measurable upregulation or downregulation of leaf Pn. The results indicate that cycad leaf physiology is disconnected from seed sink strength, possibly by the timing of sink (first) and source (second) behaviors of subtending stem tissues. The results illuminate the need to refine future research methods. Instantaneous strobilus sink strength does not act in isolation from the return time of subsequent strobilus construction, indicating long-term methods will be required to develop a full understanding. Small differences in space may influence available light and resulting source activities of leaf Pn, indicating available light should be measured for each experimental unit. Differences in leaf age influence leaf Pn source strength, indicating the youngest expanded leaves should be used for accurate Pn research results, and leaf age should be reported. Small differences in strobilus age may influence sink strength, and reporting exact strobilus age will be required to avoid ambiguous results.

Funding

This research was supported by US Forest Service Project No. 06-DG-11052021-206, 13-DG-11052021-210, and 17-DG-11052021-217 and USDA National Institute of Food and Agriculture McIntire-Stennis project 1005274.

Data Availability Statement

The raw data supporting the conclusions of this article will be made available by the author upon request.

Acknowledgments

Gil Cruz, Nirmala Dongol, and Frankie Matanane are thanked for their support of the in situ methods. Gerard Sigua is thanked for logistical and materials support for the ex situ methods.

Conflicts of Interest

The author declares no conflict of interest.

Appendix A

Figure A1. Heat map and coefficients for Pearson correlations among traits of Cycas micronesica plants growing in southern Guam and sorted by leaf:seed ratio categories.
Figure A1. Heat map and coefficients for Pearson correlations among traits of Cycas micronesica plants growing in southern Guam and sorted by leaf:seed ratio categories.
Agronomy 14 02974 g0a1

Appendix B

Figure A2. Heat map and coefficients for Pearson correlations among traits of Cycas micronesica plants growing in northern Guam and sorted by leaf:seed ratio categories.
Figure A2. Heat map and coefficients for Pearson correlations among traits of Cycas micronesica plants growing in northern Guam and sorted by leaf:seed ratio categories.
Agronomy 14 02974 g0a2

Appendix C

Figure A3. Heat map and coefficients for Pearson correlations among traits of Cycas micronesica plants growing in southern Guam and sorted by canopy openness categories.
Figure A3. Heat map and coefficients for Pearson correlations among traits of Cycas micronesica plants growing in southern Guam and sorted by canopy openness categories.
Agronomy 14 02974 g0a3

Appendix D

Figure A4. Heat map and coefficients for Pearson correlations among traits of Cycas micronesica plants growing in northern Guam and sorted by canopy openness categories.
Figure A4. Heat map and coefficients for Pearson correlations among traits of Cycas micronesica plants growing in northern Guam and sorted by canopy openness categories.
Agronomy 14 02974 g0a4

Appendix E

Figure A5. Heat map and coefficients for Pearson correlations among traits of Cycas micronesica plants growing in eastern Guam and sorted by manipulated leaf:seed ratio categories. Leaf Pn 1 and PSII 1 data from linear growth phase of seeds; leaf Pn 2 and PSII 2 data from linear gametophyte starch concentration accumulation phase.
Figure A5. Heat map and coefficients for Pearson correlations among traits of Cycas micronesica plants growing in eastern Guam and sorted by manipulated leaf:seed ratio categories. Leaf Pn 1 and PSII 1 data from linear growth phase of seeds; leaf Pn 2 and PSII 2 data from linear gametophyte starch concentration accumulation phase.
Agronomy 14 02974 g0a5

Appendix F

Figure A6. Heat map and coefficients for Pearson correlations among traits of Cycas micronesica plants growing in off-site garden in the Philippines and sorted by manipulated leaf:seed ratio categories. DW = dry weight, FW = fresh weight, DMC = dry matter content.
Figure A6. Heat map and coefficients for Pearson correlations among traits of Cycas micronesica plants growing in off-site garden in the Philippines and sorted by manipulated leaf:seed ratio categories. DW = dry weight, FW = fresh weight, DMC = dry matter content.
Agronomy 14 02974 g0a6

Appendix G

Figure A7. Heat map and coefficients for Pearson correlations among traits of Cycas edentata plants growing in off-site garden in the Philippines and sorted by manipulated leaf:seed ratio categories. DW = dry weight, FW = fresh weight, DMC = dry matter content.
Figure A7. Heat map and coefficients for Pearson correlations among traits of Cycas edentata plants growing in off-site garden in the Philippines and sorted by manipulated leaf:seed ratio categories. DW = dry weight, FW = fresh weight, DMC = dry matter content.
Agronomy 14 02974 g0a7

References

  1. Iglesias, D.J.; Lliso, I.; Tadeo, F.R.; Talon, M. Regulation of photosynthesis through source: Sink imbalance in citrus is mediated by carbohydrate content in leaves. Physiol. Plant. 2002, 116, 563–572. [Google Scholar] [CrossRef]
  2. Zhou, R.; Quebedeaux, B. Changes in photosynthesis and carbohydrate metabolism in mature apple leaves in response to whole plant source-sink manipulation. J. Am. Soc. Hortic. Sci. 2003, 128, 113–119. [Google Scholar] [CrossRef]
  3. DaMatta, F.M.; Cunha, R.L.; Antunes, W.C.; Martins, S.C.V.; Araujo, W.L.; Fernie, A.R.; Moraes, G.A.B.K. In field-grown coffee trees source–sink manipulation alters photosynthetic rates, independently of carbon metabolism, via alterations in stomatal function. New Phytol. 2008, 178, 348–357. [Google Scholar] [CrossRef] [PubMed]
  4. Marino, G.; Guzman-Delgado, P.; Santos, E.; Adaskaveg, J.A.; Blanco-Ulate, B.; Ferguson, L.; Zwieniecki, M.A.; Fernández-Suela, E. Interactive effect of branch source-sink ratio and leaf aging on photosynthesis in pistachio. Front. Plant Sci. 2023, 14, 1194177. [Google Scholar] [CrossRef]
  5. Li, S.; Hussain, S.B.; Vincent, C. Response of carbon fixation, allocation, and growth to source-sink manipulation by defoliation in vegetative citrus trees. Physiol. Plant. 2024, 176, e14304. [Google Scholar] [CrossRef]
  6. Plavcová, L.; Jupa, R.; Hoch, G.; Mészáros, M.; Scháňková, K. Seasonal coordination of aboveground vegetative and reproductive growth and storage in apple trees subjected to defoliation, flower and fruit thinning. Trees 2024, 38, 1109–1118. [Google Scholar] [CrossRef]
  7. Su, M.-X.; Han, Z.-J.; Liu, Y.; Zhao, Z.; Wu, J.-J. Compensatory growth and physiological protective mechanisms of Populus talassica Kom. × Populus euphratica Oliv. in response to leaf damage. Forests 2023, 14, 1713. [Google Scholar] [CrossRef]
  8. DeJong, T.M. Fruit effects on photosynthesis in Prunus persica. Physiol. Plant. 1986, 66, 149–153. [Google Scholar] [CrossRef]
  9. Vaast, P.; Angrand, J.; Franck, N.; Dauzat, J.; Génard, M. Fruit load and branch ring-barking affect carbon allocation and photosynthesis of leaf and fruit of Coffea arabica in the field. Tree Physiol. 2005, 25, 753–760. [Google Scholar] [CrossRef]
  10. Zhang, B.; Chen, H.; Zhang, Y.; Guo, S.; Wang, X.; Sun, M.; Yu, M.; Ma, R. Effects of blooming and fruit thinning on the yield, fruit quality, and leaf photosynthesis of peach cultivar ‘Xiahui 5’ in China. Food Qual. Saf. 2024, 8, fyae019. [Google Scholar] [CrossRef]
  11. Gifford, R.M.; Thorne, J.H.; Hitz, W.D.; Giaquinta, R.T. Crop productivity and photoassimilate partitioning. Science 1984, 225, 801–808. [Google Scholar] [CrossRef] [PubMed]
  12. Bogdziewicz, M.; Acuña, M.-C.; Andrus, R.; Ascoli, D.; Bergeron, Y.; Brveiller, D.; Boivin, T.; Bonal, R.; Caignard, T.; Cailleret, M.; et al. Linking seed size and number to trait syndromes in trees. Glob. Ecol. Biogeogr. 2023, 32, 683–694. [Google Scholar] [CrossRef]
  13. Urban, L.; Le Roux, X.; Sinoquet, H.; Jaffuel, S.; Jannoyer, M. A biochemical model of photosynthesis for mango leaves: Evidence for the effect of fruit on photosynthetic capacity of nearby leaves. Tree Physiol. 2003, 23, 289–300. [Google Scholar] [CrossRef] [PubMed][Green Version]
  14. Baïram, E.; leMorvan, C.; Delaire, M.; Buck-Sorlin, G. Fruit and leaf response to different source–sink ratios in apple, at the scale of the fruit-bearing branch. Front. Plant Sci. 2019, 10, 1039. [Google Scholar] [CrossRef]
  15. Rossouw, G.C.; Orr, R.; Bennett, D.; Bally, I.S.E. The roles of non-structural carbohydrates in fruiting: A review focusing on mango (Mangifera indica). Funct. Plant Biol. 2024, 51, FP23195. [Google Scholar] [CrossRef]
  16. Norstog, K.J.; Nicholls, T.J. The Biology of the Cycads; Cornell University Press: Ithaca, NY, USA, 1997; ISBN 978-0-8014-3033-6. [Google Scholar]
  17. Dongol, N.; Marler, T.E. Season and frequency of Cycas micronesica leaf and reproductive events. Mem. N. Y. Bot. Gard. 2018, 117, 497–503. [Google Scholar] [CrossRef]
  18. Ornduff, R. Coning phenology of the cycad Macrozamia riedlei (Zamiaceae) over a five-year interval. Bull. Torrey Bot. Club 1991, 118, 6–11. [Google Scholar] [CrossRef]
  19. Ornduff, R. Gender performance in a cultivated cohort of the cycad Zamia integrifolia (Zamiaceae). Am. J. Bot. 1996, 83, 1006–1015. [Google Scholar] [CrossRef]
  20. Clark, D.B.; Clark, D.A. Leaf production and the cost of reproduction in the Neotropical rain Forest cycad, Zamia skinneri. J. Ecol. 1988, 76, 1153–1163. [Google Scholar] [CrossRef]
  21. Thieret, J.W. Economic botany of the cycads. Econ. Bot. 1958, 12, 3–41. [Google Scholar] [CrossRef]
  22. Clark, D.A.; Clark, D.B. Temporal and environmental patterns of reproduction in Zamia skinneri, a tropical rain forest cycad. J. Ecol. 1987, 75, 135–149. [Google Scholar] [CrossRef]
  23. Marler, T.E.; Niklas, K.J. Reproductive effort and success of Cycas micronesica K.D. Hill are affected by habitat. Int. J. Plant Sci. 2011, 172, 700–706. [Google Scholar] [CrossRef]
  24. Krieg, C.; Watkins, J.E.; Chambers, S.; Husby, C.E. Sex-specific differences in functional traits and resource acquisition in five cycad species. AoB Plants 2017, 9, plx013. [Google Scholar] [CrossRef]
  25. Krieg, C.P.; Gosetti, S.; Watkins, J.E., Jr.; Griffith, M.P.; McCulloh, K.A. Reproductive phases coincide with changes in morphology and photosynthetic physiology in an endangered cycad species. Conserv. Physiol. 2023, 11, coad020. [Google Scholar] [CrossRef]
  26. Fragniere, Y.; Bétrisey, S.; Cardinaux, L.; Stoffel, M.; Kozlowski, G. Fighting their last stand? A global analysis of the distribution and conservation status of gymnosperms. J. Biogeogr. 2015, 42, 809–820. [Google Scholar] [CrossRef]
  27. United States Fish & Wildlife Service. Endangered and threatened wildlife and plants; endangered status for 16 species and threatened status for 7 species in Micronesia. Fed. Regist. 2015, 80, 59424–59497. [Google Scholar]
  28. Bösenberg, J.D. Cycas micronesica. The IUCN Red List of Threatened Species 2022: E.T61316A68906033. Available online: https://www.iucnredlist.org/species/61316/68906033 (accessed on 21 September 2024).
  29. Lindstrom, A. Cycas edentata. The IUCN Red List of Threatened Species 2023: E.T216470314A68900236. Available online: https://www.iucnredlist.org/species/216470314/68900236 (accessed on 23 September 2024).
  30. Mankga, L.T.; Yessoufou, K. Factors driving the global decline of cycad diversity. AoB Plants 2017, 9, plx022. [Google Scholar] [CrossRef]
  31. Marler, T.E. Artifleck: The study of artifactual responses to light flecks with inappropriate leaves. Plants 2020, 9, 905. [Google Scholar] [CrossRef]
  32. Swoczyna, T.; Kalaji, H.M.; Bussotti, F.; Mojski, J.; Pollastrini, M. Environmental stress—What can we learn from chlorophyll a fluorescence analysis in woody plants? A review. Front. Plant Sci. 2022, 13, 1048582. [Google Scholar] [CrossRef]
  33. Marler, T.E.; Willis, L.E. Leaf gas-exchange characteristics of sixteen cycad species. J. Am. Soc. Hortic. Sci. 1997, 122, 38–42. [Google Scholar] [CrossRef]
  34. Marler, T.E. Age influences photosynthetic capacity of Cycas micronesica leaves. Mem. N. Y. Bot. Gard. 2007, 97, 193–203. [Google Scholar]
  35. Dumas, J.B.A. Procedes de L’analyse Organique. Ann. Chim. Phys. 1831, 47, 198–205. [Google Scholar]
  36. American Association of Cereal Chemists (AACC). Method 76-11. In Approved Methods of the American Association of Cereal Chemists, 8th ed.; AACC: St. Paul, MN, USA, 1985. [Google Scholar]
  37. Marler, T.E.; Dongol, N. Models to describe Cycas micronesica leaf and strobili development. HortScience 2011, 46, 1333–1337. [Google Scholar] [CrossRef]
  38. Stone, B.C. America’s Asiatic flora: The plants of Guam. Am. Sci. 1971, 59, 308–319. [Google Scholar]
  39. Marler, T.E.; Dongol, N. Seed ontogeny and nonstructural carbohydrates of Cycas micronesica megagametophyte tissue. HortScience 2016, 51, 1144–1147. [Google Scholar] [CrossRef]
  40. Yessoufou, K.; Daru, B.H.; Tafirei, R.; Elansary, H.O.; Rampedi, I. Integrating biogeography, threat and evolutionary data to explore extinction crisis in the taxonomic group of cycads. Ecol. Evol. 2017, 7, 2735–2746. [Google Scholar] [CrossRef]
  41. Link, H. Significance of flower and fruit thinning on fruit quality. Plant Growth Regul. 2000, 31, 17–26. [Google Scholar] [CrossRef]
  42. Costa, G.; Botton, A. Thinning in peach: Past, present and future of an indispensable practice. Sci. Hortic. 2022, 296, 110895. [Google Scholar] [CrossRef]
  43. Syvertsen, J.P. Partial shoot removal increases net CO2 assimilation and alters water relations of Citrus seedlings. Tree Physiol. 1994, 14, 497–508. [Google Scholar] [CrossRef]
  44. Fischer, G.; Almanza-Merchán, P.J.; Ramírez, F. Source-sink relationships in fruit species: A review. Rev. Colomb. Cienc. Hortícolas 2013, 6, 238–253. [Google Scholar] [CrossRef]
  45. Pawar, R.; Rana, V.S. Manipulation of source-sink relationship in pertinence to better fruit quality and yield in fruit crops: A review. Agric. Rev. 2019, 40, 200–207. [Google Scholar] [CrossRef]
  46. López, R.; Brossa, R.; Gil, L.; Pita, P. Stem girdling evidences a trade-off between cambial activity and sprouting and dramatically reduces plant transpiration due to feedback inhibition of photosynthesis and hormone signaling. Front. Plant Sci. 2015, 6, 285. [Google Scholar] [CrossRef]
  47. Marler, T.E.; Cruz, G.N. Cycas micronesica stem carbohydrates decline following leaf and male cone growth events. Plants 2020, 9, 517. [Google Scholar] [CrossRef]
  48. Marler, T.E.; Shaw, C.A. Fresh and dry weight relations are predictors of Cycas micronesica seed age. Horticulturae 2020, 6, 29. [Google Scholar] [CrossRef]
  49. Vovides, A.P. Cone idioblasts of eleven cycad genera: Morphology, distribution, and significance. Bot. Gaz. 1991, 152, 91–99. [Google Scholar] [CrossRef]
  50. Tang, W. Heat production in cycad cones. Bot. Gaz. 1987, 148, 165–174. [Google Scholar] [CrossRef]
  51. Tang, W.; Sternberg, L.; Price, D. Metabolic aspects of thermogenesis in male cones of five cycad species. Am. J. Bot. 1987, 74, 1555–1559. [Google Scholar] [CrossRef]
  52. Zhang, Y.J.; Cao, K.F.; Sack, L.; Li, N.; Wei, X.M.; Goldstein, G. Extending the generality of leaf economic design principles in the cycads, an ancient lineage. New Phytol. 2015, 206, 817–829. [Google Scholar] [CrossRef]
  53. Meng, Y.Y.; Xiang, W.; Wen, Y.; Huang, D.L.; Cao, K.F.; Zhu, S.D. Correlations between leaf economics, mechanical resistance and drought tolerance across 41 cycad species. Ann. Bot. 2022, 130, 345–354. [Google Scholar] [CrossRef]
  54. Marler, T.E.; Lindström, A.J. Free sugar profile in cycads. Front. Plant Sci. 2014, 5, 526. [Google Scholar] [CrossRef]
  55. Clark, D.B.; Clark, D.A. Plant phenology: Patterns and consequences in a tropical rain-forest cycad. In Plant-Animal Interactions: Evolutionary Ecology in Tropical and Temperate Regions; Price, P.W., Lewinsohn, T.M., Fernandez, G.W., Benson, W.W., Eds.; John Wiley & Sons, Inc.: New York, NY, USA, 1991; pp. 209–225. [Google Scholar]
  56. Raven, J.A.; Griffiths, H. Photosynthesis in reproductive structures: Costs and benefits. J. Exp. Bot. 2015, 66, 1699–1705. [Google Scholar] [CrossRef] [PubMed]
  57. Henry, R.J.; Furtado, A.; Rangan, P. Pathways of photosynthesis in non-leaf tissues. Biology 2020, 9, 438. [Google Scholar] [CrossRef] [PubMed]
  58. Garrido, A.; Conde, A.; Serôdio, J.; De Vos, R.C.H.; Cunha, A. Fruit photosynthesis: More to know about where, how and why. Plants 2023, 12, 2393. [Google Scholar] [CrossRef] [PubMed]
  59. Lawson, T.; Milliken, A.L. Photosynthesis—Beyond the leaf. New Phytol. 2023, 238, 55–61. [Google Scholar] [CrossRef]
  60. McDowell, S.C.L.; McDowell, N.G.; Marshall, J.D.; Hultine, K. Carbon and nitrogen allocation to male and female reproduction in Rocky Mountain Douglas-fir (Pseudotsuga menziesii var. glauca, Pinaceae). Am. J. Bot. 2000, 87, 539–546. [Google Scholar] [CrossRef]
  61. Matyssek, R.; Benecke, U. Gas exchange and crop yield of the reproductive organs in hybrid larch (Larix decidua × L. kaempferi) in relation to the vegetative carbon demand. Phyton Ann. Rei Bot. 2005, 45, 179–193. [Google Scholar]
  62. Wang, W.J.; Watanabe, Y.; Endo, I.; Kitaoka, S.; Koike, T. Seasonal changes in the photosynthetic capacity of cones on a larch (Larix kaempferi) canopy. Photosynthetica 2006, 44, 345–348. [Google Scholar] [CrossRef]
  63. Wang, W.J.; Zu, Y.G.; Cui, S.; Hirano, T.; Watanabe, Y.; Koike, T. Carbon dioxide exchange of larch (Larix gmelinii) cones during development. Tree Physiol. 2006, 26, 1363–1368. [Google Scholar] [CrossRef]
  64. Hamerlynck, E.P.; O’Connor, R.C.; Copeland, S.M. Reproductive compensatory photosynthesis in a semi-arid rangeland bunchgrass. Oecologia 2023, 201, 625–635. [Google Scholar] [CrossRef]
  65. Hamerlynck, E.P.; Quigley, K.M.; O’Connor, R.C. Variation in the role of the flag-leaf in reproductive effort of semiarid rangeland bunchgrasses. Ecosphere 2024, 15, e4870. [Google Scholar] [CrossRef]
  66. Quigley, K.M.; O’Connor, R.C.; Monaco, T.A.; Hamerlynck, E.P. Variation in reproductive photosynthetic compensation of distinct germplasm varieties of a native rangeland grass, Pseudoroegneria spicata, following floral defoliation. Conserv. Physiol. 2024, 12, coae078. [Google Scholar] [CrossRef]
Figure 1. Cycas micronesica habitats in Guam: (a) southern Guam riparian habitat on volcanic acid substrates; (b) northern Guam upland habitat on karst alkaline substrates.
Figure 1. Cycas micronesica habitats in Guam: (a) southern Guam riparian habitat on volcanic acid substrates; (b) northern Guam upland habitat on karst alkaline substrates.
Agronomy 14 02974 g001
Figure 2. Cycas plants exploited for experimental manipulation of leaf and seed number: (a) Cycas micronesica in an eastern Guam karst forest; (b) reproductive Cycas edentata plant in ex situ germplasm garden in the Philippines.
Figure 2. Cycas plants exploited for experimental manipulation of leaf and seed number: (a) Cycas micronesica in an eastern Guam karst forest; (b) reproductive Cycas edentata plant in ex situ germplasm garden in the Philippines.
Agronomy 14 02974 g002
Figure 3. Leaf physiology traits of Cycas micronesica trees grown under various percentages of canopy openness. Net carbon dioxide assimilation (Pn, circles with solid lines) and operational efficiency of photosystem II (ΦPSII, diamonds with dashed lines): (a) Riparian forest in southern Guam; (b) Karst forest in northern Guam. Markers are mean ± SE, n = 6.
Figure 3. Leaf physiology traits of Cycas micronesica trees grown under various percentages of canopy openness. Net carbon dioxide assimilation (Pn, circles with solid lines) and operational efficiency of photosystem II (ΦPSII, diamonds with dashed lines): (a) Riparian forest in southern Guam; (b) Karst forest in northern Guam. Markers are mean ± SE, n = 6.
Agronomy 14 02974 g003
Figure 4. The influence of two leaf:seed ratio categories on Cycas micronesica seed tissue weights: open bars = fresh weight (g); shaded bars = dry weight (g); (a) 10:30 sclerotesta; (b) 10:30 sarcotesta; (c) 10:30 megagametophyte; (d) 30:10 sclerotesta; (e) 30:10 sarcotesta; (f) 30:10 megagametophyte. Statistics above each column compare 10:30 and 30:10 results for each of the six weights. Bars are mean ± SE, n = 6.
Figure 4. The influence of two leaf:seed ratio categories on Cycas micronesica seed tissue weights: open bars = fresh weight (g); shaded bars = dry weight (g); (a) 10:30 sclerotesta; (b) 10:30 sarcotesta; (c) 10:30 megagametophyte; (d) 30:10 sclerotesta; (e) 30:10 sarcotesta; (f) 30:10 megagametophyte. Statistics above each column compare 10:30 and 30:10 results for each of the six weights. Bars are mean ± SE, n = 6.
Agronomy 14 02974 g004
Figure 5. The influence of three leaf:seed ratio categories on Cycas edentata seed tissue weights: open bars = fresh weight (g); shaded bars = dry weight (g); (a) 10:40 sclerotesta; (b) 10:40 sarcotesta; (c) 10:40 megagametophyte; (d) 25:25 sclerotesta; (e) 25:25 sarcotesta; (f) 25:25 megagametophyte; (g) 40:10 sclerotesta; (h) 40:10 sarcotesta; (i) 40:10 megagametophyte. Statistics above each column compare the three leaf:seed categories for each of the six weights. Bars are mean ± SE, n = 5.
Figure 5. The influence of three leaf:seed ratio categories on Cycas edentata seed tissue weights: open bars = fresh weight (g); shaded bars = dry weight (g); (a) 10:40 sclerotesta; (b) 10:40 sarcotesta; (c) 10:40 megagametophyte; (d) 25:25 sclerotesta; (e) 25:25 sarcotesta; (f) 25:25 megagametophyte; (g) 40:10 sclerotesta; (h) 40:10 sarcotesta; (i) 40:10 megagametophyte. Statistics above each column compare the three leaf:seed categories for each of the six weights. Bars are mean ± SE, n = 5.
Agronomy 14 02974 g005
Table 1. Canopy openness and vegetative traits of Cycas micronesica trees in a southern Guam habitat as influenced by four leaf:seed ratio categories. Net carbon dioxide assimilation (Pn) was measured late morning at daily maximum, and operational efficiency of photosystem II photochemistry (ΦPSII) was measured midday at daily minimum. Mean ± SE, n = 5.
Table 1. Canopy openness and vegetative traits of Cycas micronesica trees in a southern Guam habitat as influenced by four leaf:seed ratio categories. Net carbon dioxide assimilation (Pn) was measured late morning at daily maximum, and operational efficiency of photosystem II photochemistry (ΦPSII) was measured midday at daily minimum. Mean ± SE, n = 5.
Vegetative Trait61:7065:3370:16105:2f3,16p
Canopy openness (%)42.41 ± 7.5244.42 ± 6.7947.79 ± 6.8145.04 ± 6.930.0890.965
Stem ht (m)3.01 ± 0.173.12 ± 0.213.07 ± 0.163.29 ± 0.140.7080.561
Leaf number61 ± 565 ± 470 ± 5105 ± 611.642 10.009
Pn (μmol·m−2·s−1)6.72 ± 0.396.70 ± 0.416.63 ± 0.426.44 ± 0.320.2180.883
ΦPSII0.44 ± 0.030.43 ± 0.030.42 ± 0.030.43 ± 0.030.0300.993
1 Kruskal–Wallis H statistic.
Table 2. Canopy openness and vegetative traits of Cycas micronesica trees in a northern Guam habitat as influenced by four leaf:seed ratio categories. Net carbon dioxide assimilation (Pn) was measured late morning at daily maximum, and operational efficiency of photosystem II photochemistry (ΦPSII) was measured midday at daily minimum. Mean ± SE, n = 5.
Table 2. Canopy openness and vegetative traits of Cycas micronesica trees in a northern Guam habitat as influenced by four leaf:seed ratio categories. Net carbon dioxide assimilation (Pn) was measured late morning at daily maximum, and operational efficiency of photosystem II photochemistry (ΦPSII) was measured midday at daily minimum. Mean ± SE, n = 5.
Vegetative Trait62:6766:3571:1787:4f3,16p
Canopy openness (%)59.67 ± 6.1257.25 ± 7.0455.44 ± 7.0856.67 ± 7.680.0670.977
Stem ht (m)3.11 ± 0.133.18 ± 0.183.16 ± 0.143.11 ± 0.100.0580.981
Leaf number62 ± 466 ± 371 ± 487 ± 810.645 10.014
Pn (μmol·m−2·s−1)7.56 ± 0.597.32 ± 0.577.13 ± 0.547.22 ± 0.670.1390.935
ΦPSII0.38 ± 0.030.41 ± 0.040.41 ± 0.030.40 ± 0.040.1720.914
1 Kruskal–Wallis H statistic.
Table 3. Traits of Cycas micronesica individual seeds (S) and megagametophytes (G) in a southern Guam habitat as influenced by four leaf:seed ratio categories. Mean ± SE, n = 5.
Table 3. Traits of Cycas micronesica individual seeds (S) and megagametophytes (G) in a southern Guam habitat as influenced by four leaf:seed ratio categories. Mean ± SE, n = 5.
Seed Trait61:7065:3370:16105:2f3,16p
S number70 ± 633 ± 616 ± 12 ± 0.217.716 10.001
S fresh wt (g)55.2 ± 1.953.8 ± 2.253.6 ± 1.954.8 ± 2.10.1210.947
S length (mm)38.3 ± 3.241.1 ± 2.440.8 ± 2.341.2 ± 1.40.5410.661
G dry wt (g)8.4 ± 0.28.2 ± 0.18.3 ± 0.28.3 ± 0.20.2210.881
G total carbon (mg·g−1)390.1 ± 4.2392.3 ± 3.4392.4 ± 3.1393.8 ± 3.30.1800.908
G starch (mg·g−1)549.4 ± 32.2546.1 ± 32.1556.7 ± 29.4542.4 ± 31.20.0430.988
G fructose (mg·g−1)11.1 ± 1.19.4 ± 1.210.8 ± 1.110.2 ± 1.22.2460.122
G glucose (mg·g−1)15.4 ± 2.117.8 ± 1.415.3 ± 1.216.3 ± 2.01.679 0.211
G maltose (mg·g−1)7.9 ± 1.08.0 ± 1.18.1 ± 1.28.1 ± 1.10.2740.843
G sucrose (mg·g−1)27.2 ± 1.327.9 ± 1.128.4 ± 1.328.9 ± 1.20.5890.631
1 Kruskal–Wallis H statistic.
Table 4. Traits of Cycas micronesica individual seeds (S) and megagametophytes (G) in a northern Guam habitat as influenced by four leaf:seed ratio categories. Mean ± SE, n = 5.
Table 4. Traits of Cycas micronesica individual seeds (S) and megagametophytes (G) in a northern Guam habitat as influenced by four leaf:seed ratio categories. Mean ± SE, n = 5.
Seed Trait62:6766:3571:1787:4f3,16p
S number67 ± 635 ± 417 ± 34 ± 117.609 10.001
S fresh wt (g)84.2 ± 2.679.9 ± 2.181.0 ± 1.979.8 ± 2.60.5040.816
S length (cm)6.0 ± 0.36.0 ± 0.25.9 ± 0.25.7 ± 0.20.3600.783
G dry wt (g)12.6 ± 0.512.1 ± 0.412.2 ± 0.712.0 ± 0.50.4570.716
G total carbon (mg·g−1)395.2 ± 2.2394.9 ± 3.0395.3 ± 3.1394.5 ± 2.30.0500.985
G starch (mg·g−1)542.2 ± 18.1546.2 ± 16.3543.4 ± 18.1549.1 ± 16.00.0370.990
G fructose (mg·g−1)10.1 ± 1.19.4 ± 1.29.9 ± 1.29.8 ± 1.32.0360.149
G glucose (mg·g−1)15.4 ± 1.216.1 ± 1.216.3 ± 1.316.8 ± 1.11.7030.205
G maltose (mg·g−1)8.0 ± 1.17.4 ± 1.17.3 ± 1.28.1 ± 1.21.4180.274
G sucrose (mg·g−1)28.4 ± 1.229.1 ± 1.329.2 ± 1.230.0 ± 1.30.6490.569
1 Kruskal–Wallis H statistic.
Table 5. Vegetative, individual seed (S), and megagametophyte (G) traits of Cycas micronesica trees in a southern Guam habitat as influenced by canopy openness. Net carbon dioxide assimilation (Pn) was measured late morning at daily maximum, and operational efficiency of photosystem II photochemistry (ΦPSII) was measured midday at daily minimum. Mean ± SE, n = 5.
Table 5. Vegetative, individual seed (S), and megagametophyte (G) traits of Cycas micronesica trees in a southern Guam habitat as influenced by canopy openness. Net carbon dioxide assimilation (Pn) was measured late morning at daily maximum, and operational efficiency of photosystem II photochemistry (ΦPSII) was measured midday at daily minimum. Mean ± SE, n = 5.
Trait11–20%21–40%41–60%61–83%f3,20p
Stem ht (m)3.39 ± 0.213.45 ± 0.193.37 ± 0.203.49 ± 0.190.0790.971
Leaf number65 ± 763 ± 465 ± 463 ± 40.0430.988
Pn (μmol·m−2·s−1)4.82 ± 0.225.61 ± 0.226.80 ± 0.217.73 ± 0.2269.030<0.001
ΦPSII0.51 ± 0.010.47 ± 0.010.45 ± 0.010.37 ± 0.0119.425<0.001
Seed number62 ± 451 ± 657 ± 554 ± 40.7010.563
S fresh wt (g)61.91 ± 3.3259.82 ± 3.2162.82 ± 3.8361.79 ± 3.600.1080.955
S length (cm)4.11 ± 0.214.12 ± 0.224.12 ± 0.214.20 ± 0.210.0650.978
G dry wt (g)9.02 ± 0.419.21 ± 0.519.29 ± 0.589.28 ± 0.520.0970.961
G total carbon (mg·g−1)393.11 ± 3.45392.08 ± 4.29393.32 ± 4.12391.09 ± 4.210.0680.977
G starch (mg·g−1)554.24 ± 25.12552.23 ± 24.08560.17 ± 22.32551.33 ± 26.080.0270.994
G fructose (mg·g−1)11.21 ± 1.1110.23 ± 1.0711.18 ± 1.2410.44 ± 1.310.4450.724
G glucose (mg·g−1)17.41 ± 1.4218.04 ± 1.1218.09 ± 1.2218.11 ± 1.230.270 0.846
G maltose (mg·g−1)8.48 ± 1.449.01 ± 1.229.10 ± 1.159.05 ± 1.070.4480.722
G sucrose (mg·g−1)28.11 ± 1.1228.09 ± 1.2229.12 ± 1.1728.89 ± 1.090.1990.896
Table 6. Vegetative, individual seed (S), and megagametophyte (G) traits of Cycas micronesica trees in a northern Guam habitat as influenced by canopy openness. Net carbon dioxide assimilation (Pn) was measured late morning at daily maximum, and operational efficiency of photosystem II photochemistry (ΦPSII) was measured midday at daily minimum. Mean ± SE, n = 6.
Table 6. Vegetative, individual seed (S), and megagametophyte (G) traits of Cycas micronesica trees in a northern Guam habitat as influenced by canopy openness. Net carbon dioxide assimilation (Pn) was measured late morning at daily maximum, and operational efficiency of photosystem II photochemistry (ΦPSII) was measured midday at daily minimum. Mean ± SE, n = 6.
Trait20–35%36–50%51–70%71–85%f3,20p
Stem ht (m)3.37 ± 0.183.26 ± 0.163.38 ± 0.173.35 ± 0.160.0990.959
Leaf number61 ± 559 ± 462 ± 364 ± 50.3060.821
Pn (μmol·m−2·s−1)5.54 ± 0.145.82 ± 0.136.91 ± 0.207.83 ± 0.2247.177<0.001
ΦPSII0.50 ± 0.010.42 ± 0.010.39 ± 0.010.37 ± 0.0121.664<0.001
Seed number63 ± 459 ± 459 ± 361 ± 40.3400.796
S fresh wt (g)80.54 ± 2.9281.14 ± 2.9181.31 ± 3.2282.81 ± 2.800.1470.930
S length (cm)6.22 ± 0.216.03 ± 0.286.04 ± 0.226.20 ± 0.240.1550.925
G dry wt (g)12.04 ± 0.4412.21 ± 0.4212.24 ± 0.5112.31 ± 0.420.1170.949
G total carbon (mg·g−1)399.02 ± 3.11396.05 ± 5.32394.34 ± 4.11394.41 ± 4.080.3210.810
G starch (mg·g−1)548.23 ± 15.02550.12 ± 16.08545.32 ± 13.11545.25 ± 13.220.0290.993
G fructose (mg·g−1)10.12 ± 1.1110.08 ± 1.1810.24 ± 1.2010.07 ± 1.080.1680.917
G glucose (mg·g−1)16.08 ± 1.3217.16 ± 1.4117.20 ± 1.4417.09 ± 1.311.059 0.388
G maltose (mg·g−1)8.02 ± 1.147.94 ± 1.088.18 ± 1.238.33 ± 1.410.1680.917
G sucrose (mg·g−1)29.23 ± 1.4429.17 ± 1.3128.77 ± 1.2429.04 ± 1.330.2190.882
Table 7. Incident light, stem height, net carbon dioxide assimilation (Pn), and operational efficiency of photosystem II photochemistry (ΦPSII) of Cycas micronesica trees in an eastern Guam habitat as influenced by five leaf:seed ratio categories. Mean ± SE, n = 5.
Table 7. Incident light, stem height, net carbon dioxide assimilation (Pn), and operational efficiency of photosystem II photochemistry (ΦPSII) of Cycas micronesica trees in an eastern Guam habitat as influenced by five leaf:seed ratio categories. Mean ± SE, n = 5.
Leaf:Seed RatioIncidentStemPn Pn
light (%)ht (m)(μmol·m−2·s−1)ΦPSII(μmol·m−2·s−1)ΦPSII
40:025.23 ± 1.843.43 ± 0.216.41 ± 0.30 10.35 ± 0.02 16.21 ± 0.22 20.37 ± 0.02 2
40:526.24 ± 1.893.52 ± 0.216.42 ± 0.310.34 ± 0.026.13 ± 0.230.39 ± 0.02
40:2025.61 ± 1.563.46 ± 0.246.54 ± 0.310.35 ± 0.025.91 ± 0.220.38 ± 0.03
40:3527.03 ± 1.913.41 ± 0.246.41 ± 0.290.35 ± 0.026.11 ± 0.210.38 ± 0.02
40:5026.64 ± 1.543.59 ± 0.216.52 ± 0.280.34 ± 0.026.14 ± 0.230.38 ± 0.02
f4,200.1790.0950.0340.0890.3190.138
p0.9470.9830.9980.9850.8620.966
1 September 2013 measurements within the linear seed size expansion phase. 2 October 2014 measurements within the linear megagametophyte starch accumulation phase.
Table 8. Individual seed (S) and megagametophyte (G) traits of Cycas micronesica trees in an eastern Guam habitat as influenced by manipulated leaf:seed ratio categories. Mean ± SE, n = 5.
Table 8. Individual seed (S) and megagametophyte (G) traits of Cycas micronesica trees in an eastern Guam habitat as influenced by manipulated leaf:seed ratio categories. Mean ± SE, n = 5.
Trait40:540:2040:3540:50f3,16p
S fresh wt (g)70.2 ± 1.972.6 ± 2.169.4 ± 2.173.2 ± 1.80.9110.458
S length (cm)4.6 ± 0.24.5 ± 0.24.6 ± 0.24.6 ± 0.20.0220.995
G dry wt (g)10.6 ± 0.310.8 ± 0.410.2 ± 0.410.6 ± 0.20.6330.604
G total carbon (mg·g−1)395.1 ± 5.3397.2 ± 5.1396.7 ± 7.4397.0 ± 7.30.0350.991
G starch (mg·g−1)556.7 ± 25.4557.2 ± 28.3564.5 ± 23.4557.1 ± 23.10.0230.995
G fructose (mg·g−1)10.4 ± 1.310.8 ± 1.211.0 ± 1.310.9 ± 1.20.0140.998
G glucose (mg·g−1)18.4 ± 1.418.9 ± 1.318.3 ± 1.119.2 ± 1.30.1840.906
G maltose (mg·g−1)8.4 ± 1.49.1 ± 1.29.0 ± 1.48.9 ± 1.30.5270.670
G sucrose (mg·g−1)28.3 ± 2.428.9 ± 2.129.1 ± 2.229.3 ± 2.20.0440.987
Germination (%)-51.4 ± 5.355.1 ± 4.151.4 ± 4.41.505 10.471
1 Kruskal–Wallis H statistic. No data for 40:5 leaf:seed ratio.
Table 9. Stem height, seed size traits, seed tissue dry matter content (DMC), and germination percentage of ex situ Cycas micronesica plants as influenced by two experimentally created leaf:seed ratio categories. Mean ± SE, n = 6.
Table 9. Stem height, seed size traits, seed tissue dry matter content (DMC), and germination percentage of ex situ Cycas micronesica plants as influenced by two experimentally created leaf:seed ratio categories. Mean ± SE, n = 6.
TraitLeaf:SeedLeaf:Seed
30:1010:30tp
Stem ht (cm)43.7 ± 1.641.7 ± 1.40.9240.189
Seed fresh wt (g)101.0 ± 3.699.2 ± 3.20.4140.344
Seed length (mm)59.5 ± 0.960.5 ± 1.00.7990.221
Sclerotesta DMC (%)89.1 ± 1.288.3 ± 1.10.7060.248
Sarcotesta DMC (%)31.6 ± 0.331.1 ± 0.21.1840.132
Gametophyte DMC (%)55.9 ± 0.256.3 ± 0.11.1440.140
Germination (%)50.4 ± 5.154.1 ± 4.40.658 10.511
1 Mann–Whitney test z statistic.
Table 10. Stem height, seed size traits, seed tissue dry matter content (DMC), and germination percentage of ex situ Cycas edentata plants as influenced by three experimentally created leaf:seed ratio categories. Mean ± SE, n = 5.
Table 10. Stem height, seed size traits, seed tissue dry matter content (DMC), and germination percentage of ex situ Cycas edentata plants as influenced by three experimentally created leaf:seed ratio categories. Mean ± SE, n = 5.
Trait40:1025:2510:40f2,12p
Stem ht (cm)39.2 ± 2.638.8 ± 2.937.6 ± 2.70.0100.906
Seed fresh wt (g)55.1 ± 1.254.3 ± 1.255.4 ± 1.10.1830.836
Seed length (mm)54.8 ± 1.555.2 ± 1.455.8 ± 1.10.1220.886
Sclerotesta DMC (%)87.8 ± 1.588.1 ± 1.587.9 ± 1.40.0280.973
Sarcotesta DMC (%)29.8 ± 0.929.8 ± 0.930.9 ± 1.10.9710.407
Gametophyte DMC (%)54.3 ± 0.453.9 ± 0.454.5 ± 0.51.0210.390
Germination (%)48.4 ± 5.149.1 ± 3.448.3 ± 4.20.201 10.905
1 Kruskal–Wallis H statistic.
Disclaimer/Publisher’s Note: The statements, opinions and data contained in all publications are solely those of the individual author(s) and contributor(s) and not of MDPI and/or the editor(s). MDPI and/or the editor(s) disclaim responsibility for any injury to people or property resulting from any ideas, methods, instructions or products referred to in the content.

Share and Cite

MDPI and ACS Style

Marler, T.E. Cycas Leaf:Seed Ratios Do Not Influence Seed Size, Gametophyte Carbohydrates, or Leaf Photosynthesis. Agronomy 2024, 14, 2974. https://doi.org/10.3390/agronomy14122974

AMA Style

Marler TE. Cycas Leaf:Seed Ratios Do Not Influence Seed Size, Gametophyte Carbohydrates, or Leaf Photosynthesis. Agronomy. 2024; 14(12):2974. https://doi.org/10.3390/agronomy14122974

Chicago/Turabian Style

Marler, Thomas E. 2024. "Cycas Leaf:Seed Ratios Do Not Influence Seed Size, Gametophyte Carbohydrates, or Leaf Photosynthesis" Agronomy 14, no. 12: 2974. https://doi.org/10.3390/agronomy14122974

APA Style

Marler, T. E. (2024). Cycas Leaf:Seed Ratios Do Not Influence Seed Size, Gametophyte Carbohydrates, or Leaf Photosynthesis. Agronomy, 14(12), 2974. https://doi.org/10.3390/agronomy14122974

Note that from the first issue of 2016, this journal uses article numbers instead of page numbers. See further details here.

Article Metrics

Back to TopTop