Enhancing the Photon Yield of Hydroponic Lettuce Through Stage-Wise Optimization of the Daily Light Integral in an LED Plant Factory
Abstract
1. Introduction
2. Materials and Methods
2.1. Plant Materials and Growth Conditions
2.2. Light Treatments
2.3. Evaluation of the Logistic Growth Model
2.4. Measurement Indexes and Methods
2.4.1. Growth Parameters
2.4.2. Leaf Absorption Rate
2.4.3. Chlorophyll Fluorescence Parameters
2.4.4. Photosynthesis Traits
2.4.5. Photon Yield
2.5. Statistical Analysis
3. Results
3.1. Growth Stage Classification Based on Logistic Growth Models
3.2. Effects of DLI and Photoperiod on Growth and Photon Yield of Hydroponic Lettuce in the Slow Growth Stage
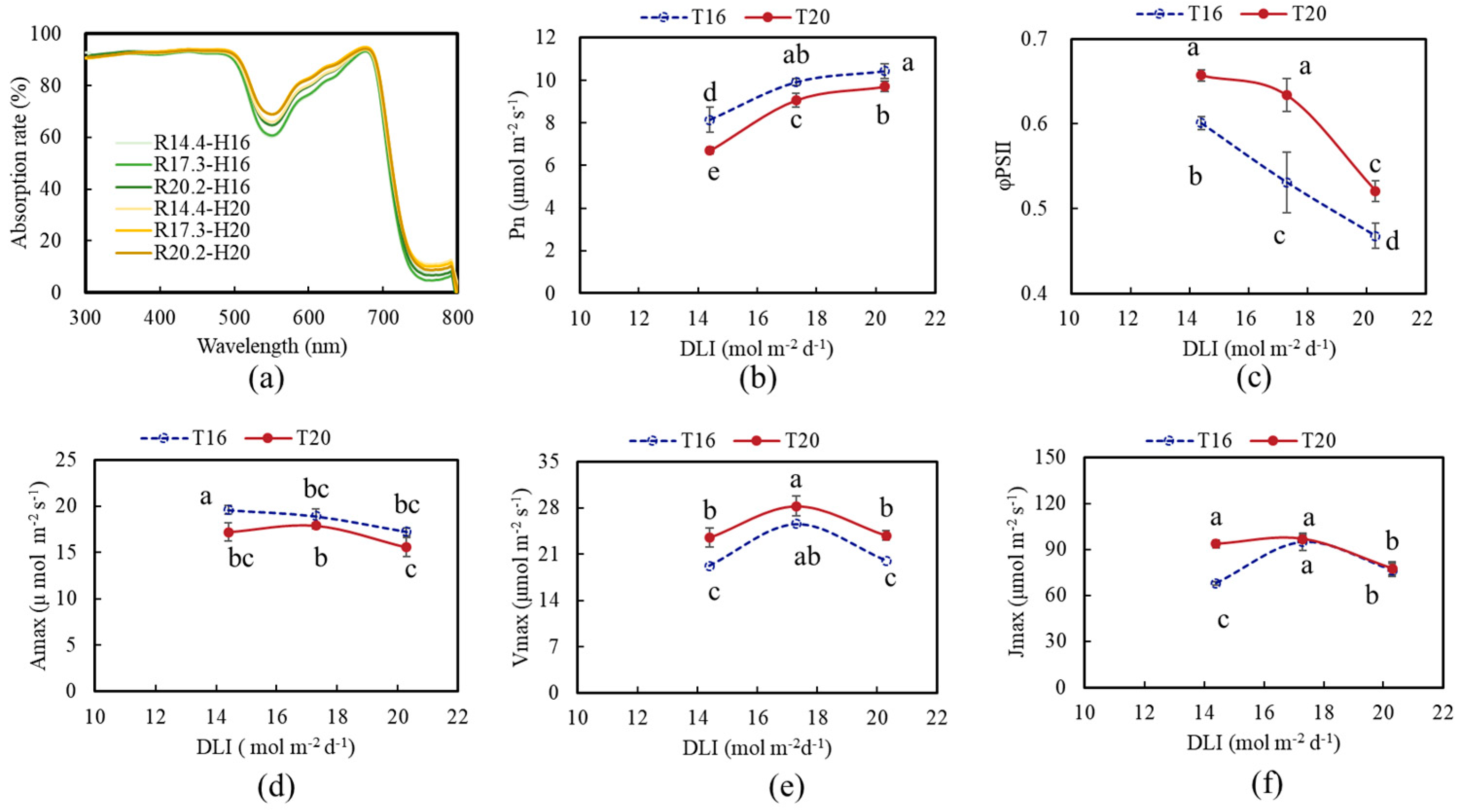
3.3. Effects of DLI and Photoperiod on Growth and Photon Yield of Hydroponic Lettuce at the Rapid Growth Stage
4. Discussion
4.1. Describing the Growth Process Based on the Logistic Model Is Beneficial for Guiding Environmental Control
4.2. The Stage-Wise Optimization of DLI Significantly Enhanced the Photon Yield of Hydroponic Lettuce
5. Conclusions
Author Contributions
Funding
Data Availability Statement
Conflicts of Interest
References
- SharathKumar, M.; Heuvelink, E.; Marcelis, L.F.M. Vertical Farming: Moving from Genetic to Environmental Modification. Trends Plant Sci. 2020, 25, 724–727. [Google Scholar] [CrossRef] [PubMed]
- Van Delden, S.H.; SharathKumar, M.; Butturini, M.; Graamans, L.J.A.; Heuvelink, E.; Kacira, M.; Kaiser, E.; Klamer, R.S.; Klerkx, L.; Kootstra, G.; et al. Current Status and Future Challenges in Implementing and Upscaling Vertical Farming Systems. Nat. Food 2021, 2, 944–956. [Google Scholar] [CrossRef] [PubMed]
- Song, R.; Liu, D.; Pan, Y.; Cheng, Y.; Meng, C. Container Farms: Energy Modeling Considering Crop Growth and Energy-Saving Potential in Different Climates. J. Clean. Prod. 2023, 420, 138353. [Google Scholar] [CrossRef]
- Zhou, H.; Beynon-Davies, R.; Carslaw, N.; Dodd, I.C.; Ashworth, K. Yield, Resource Use Efficiency or Flavour: Trade-Offs of Varying Blue-to-Red Lighting Ratio in Urban Plant Factories. Sci. Hortic. 2022, 295, 110802. [Google Scholar] [CrossRef]
- Balasus, J.; Blank, J.; Babilon, S.; Hegemann, T.; Khanh, T.Q. Energy Efficient Lighting in Plant Factories: Addressing Utilance. Agronomy 2021, 11, 2570. [Google Scholar] [CrossRef]
- Thoma, F.; Somborn-Schulz, A.; Schlehuber, D.; Keuter, V.; Deerberg, G. Effects of Light on Secondary Metabolites in Selected Leafy Greens: A Review. Front. Plant Sci. 2020, 11, 497. [Google Scholar] [CrossRef]
- Gao, W.; He, D.; Ji, F.; Zhang, S.; Zheng, J. Effects of Daily Light Integral and LED Spectrum on Growth and Nutritional Quality of Hydroponic Spinach. Agronomy 2020, 10, 1082. [Google Scholar] [CrossRef]
- Kelly, N.; Choe, D.; Meng, Q.; Runkle, E.S. Promotion of Lettuce Growth under an Increasing Daily Light Integral Depends on the Combination of the Photosynthetic Photon Flux Density and Photoperiod. Sci. Hortic. 2020, 272, 109565. [Google Scholar] [CrossRef]
- Yan, Z.; He, D.; Niu, G.; Zhou, Q.; Qu, Y. Growth, Nutritional Quality, and Energy Use Efficiency of Hydroponic Lettuce as Influenced by Daily Light Integrals Exposed to White versus White Plus Red Light-Emitting Diodes. HortScience 2019, 54, 1737–1744. [Google Scholar] [CrossRef]
- Zhang, X.; He, D.; Niu, G.; Yan, Z.; Song, J. Effects of Environment Lighting on the Growth, Photosynthesis, and Quality of Hydroponic Lettuce in a Plant Factory. Int. J. Agric. Biol. Eng. 2018, 11, 33–40. [Google Scholar] [CrossRef]
- Nozue, H.; Oono, K.; Ichikawa, Y.; Tanimura, S.; Shirai, K.; Sonoike, K.; Nozue, M.; Hayashida, N. Significance of Structural Variation in Thylakoid Membranes in Maintaining Functional Photosystems during Reproductive Growth. Physiol. Plant. 2017, 160, 111–123. [Google Scholar] [CrossRef]
- Chutimanukul, P.; Wanichananan, P.; Janta, S.; Toojinda, T.; Darwell, C.T.; Mosaleeyanon, K. The Influence of Different Light Spectra on Physiological Responses, Antioxidant Capacity and Chemical Compositions in Two Holy Basil Cultivars. Sci. Rep. 2022, 12, 588. [Google Scholar] [CrossRef] [PubMed]
- Jin, W.; Ji, Y.; Larsen, D.H.; Huang, Y.; Heuvelink, E.; Marcelis, L.F.M. Gradually Increasing Light Intensity during the Growth Period Increases Dry Weight Production Compared to Constant or Gradually Decreasing Light Intensity in Lettuce. Sci. Hortic. 2023, 311, 111807. [Google Scholar] [CrossRef]
- Wong, C.E.; Teo, Z.W.N.; Shen, L.; Yu, H. Seeing the Lights for Leafy Greens in Indoor Vertical Farming. Trends Food Sci. Technol. 2020, 106, 48–63. [Google Scholar] [CrossRef]
- Paradiso, R.; Proietti, S. Light-Quality Manipulation to Control Plant Growth and Photomorphogenesis in Greenhouse Horticulture: The State of the Art and the Opportunities of Modern LED Systems. J. Plant Growth Regul. 2022, 41, 742–780. [Google Scholar] [CrossRef]
- Yang, R.; Qiu, C.; Zheng, J.; Ji, F.; He, D.; Yang, P. LED Supplementary Strategy Based on Hourly Light Integral for Improving the Yield and Quality of Greenhouse Strawberries. Int. J. Agric. Biol. Eng. 2024, 17, 96–104. [Google Scholar] [CrossRef]
- Boros, I.F.; Székely, G.; Balázs, L.; Csambalik, L.; Sipos, L. Effects of LED Lighting Environments on Lettuce (Lactuca sativa L.) in PFAL Systems—A Review. Sci. Hortic. 2023, 321, 112351. [Google Scholar] [CrossRef]
- Sari, B.G.; Lúcio, A.D.; Santana, C.S.; Savian, T.V. Describing Tomato Plant Production Using Growth Models. Sci. Hortic. 2019, 246, 146–154. [Google Scholar] [CrossRef]
- Jiao, X.; Zhang, H.; Zheng, J.; Yin, Y.; Wang, G.; Chen, Y.; Yu, J.; Ge, Y. Comparative Analysis of Nonlinear Growth Curve Models for Arabidopsis Thaliana Rosette Leaves. Acta Physiol. Plant. 2018, 40, 114. [Google Scholar] [CrossRef]
- Karadavut, U.; Palta, Ç.; Kökten, A.; Bako, A. Comparative Study on Some Non-Linear Growth Models for Describing Leaf Growth of Maize. Int. J. Agric. Biol. 2010, 12, 227–230. [Google Scholar]
- Carini, F.; Cargnelutti Filho, A.; Pezzini, R.V.; Souza, J.M.D.; Chaves, G.G.; Procedi, A. Nonlinear Models for Describing Lettuce Growth in Autumn-Winter. Cienc. Rural. 2020, 50, e20190534. [Google Scholar] [CrossRef]
- Li, Q.; Gao, H.; Zhang, X.; Ni, J.; Mao, H. Describing Lettuce Growth Using Morphological Features Combined with Nonlinear Models. Agronomy 2022, 12, 860. [Google Scholar] [CrossRef]
- Yan, Z.; He, D.; Niu, G.; Zhai, H. Evaluation of Growth and Quality of Hydroponic Lettuce at Harvest as Affected by the Light Intensity, Photoperiod and Light Quality at Seedling Stage. Sci. Hortic. 2019, 248, 138–144. [Google Scholar] [CrossRef]
- Ye, Z.; Suggett, D.J.; Robakowski, P.; Kang, H. A Mechanistic Model for the Photosynthesis–Light Response Based on the Photosynthetic Electron Transport of Photosystem II in C3 and C4 Species. New Phytol. 2013, 199, 110–120. [Google Scholar] [CrossRef] [PubMed]
- Farquhar, G.D.; Von Caemmerer, S.; Berry, J.A. A Biochemical Model of Photosynthetic CO2 Assimilation in Leaves of C3 Species. Planta 1980, 149, 78–90. [Google Scholar] [CrossRef]
- Mello, A.; Toebe, M.; Marchioro, V.S.; De Souza, R.R.; Paraginski, J.A.; Somavilla, J.C.; Martins, V.; Manfio, G.L.; Junges, D.L.; Da Rocha Borges, M.E. Nonlinear Models in the Description of Sunflower Cultivars Growth Considering Heteroscedasticity. J. Plant Growth Regul. 2023, 42, 7215–7228. [Google Scholar] [CrossRef]
- Panta, S.; Zhou, B.; Zhu, L.; Maness, N.; Rohla, C.; Costa, L.; Ampatzidis, Y.; Fontainer, C.; Kaur, A.; Zhang, L. Selecting Non-Linear Mixed Effect Model for Growth and Development of Pecan Nut. Sci. Hortic. 2023, 309, 111614. [Google Scholar] [CrossRef]
- Jane, S.A.; Fernandes, F.A.; Silva, E.M.; Muniz, J.A.; Fernandes, T.J.; Pimentel, G.V. Adjusting the Growth Curve of Sugarcane Varieties Using Nonlinear Models. Cienc. Rural. 2020, 50, e20190408. [Google Scholar] [CrossRef]
- Xu, C.; Li, R.; Song, W.; Wu, T.; Sun, S.; Han, T.; Wu, C. High Density and Uniform Plant Distribution Improve Soybean Yield by Regulating Population Uniformity and Canopy Light Interception. Agronomy 2021, 11, 1880. [Google Scholar] [CrossRef]
- Chung, H.-Y.; Chang, M.-Y.; Wu, C.-C.; Fang, W. Quantitative Evaluation of Electric Light Recipes for Red Leaf Lettuce Cultivation in Plant Factories. HortTechnology 2018, 28, 755–763. [Google Scholar] [CrossRef]
- Palmer, S.; Van Iersel, M.W. Increasing Growth of Lettuce and Mizuna under Sole-Source LED Lighting Using Longer Photoperiods with the Same Daily Light Integral. Agronomy 2020, 10, 1659. [Google Scholar] [CrossRef]
- Fu, W.; Li, P.; Wu, Y. Effects of Different Light Intensities on Chlorophyll Fluorescence Characteristics and Yield in Lettuce. Sci. Hortic. 2012, 135, 45–51. [Google Scholar] [CrossRef]
- Poorter, H.; Niinemets, Ü.; Ntagkas, N.; Siebenkäs, A.; Mäenpää, M.; Matsubara, S.; Pons, T. A Meta-analysis of Plant Responses to Light Intensity for 70 Traits Ranging from Molecules to Whole Plant Performance. New Phytol. 2019, 223, 1073–1105. [Google Scholar] [CrossRef] [PubMed]
- Carotti, L.; Graamans, L.; Puksic, F.; Butturini, M.; Meinen, E.; Heuvelink, E.; Stanghellini, C. Plant Factories Are Heating Up: Hunting for the Best Combination of Light Intensity, Air Temperature and Root-Zone Temperature in Lettuce Production. Front. Plant Sci. 2021, 11, 592171. [Google Scholar] [CrossRef] [PubMed]
- Peguero-Pina, J.J.; Sisó, S.; Flexas, J.; Galmés, J.; García-Nogales, A.; Niinemets, Ü.; Sancho-Knapik, D.; Saz, M.Á.; Gil-Pelegrín, E. Cell-level Anatomical Characteristics Explain High Mesophyll Conductance and Photosynthetic Capacity in Sclerophyllous Mediterranean Oaks. New Phytol. 2017, 214, 585–596. [Google Scholar] [CrossRef]
- Liang, S.-Z.; Shi, P.; Ma, W.-D.; Xing, Q.-G.; Yu, L.-J. Relational analysis of spectra and red-edge characteristics of plant leaf and leaf biochemical constituent: Relational analysis of spectra and red-edge characteristics of plant leaf and leaf biochemical constituent. Chin. J. Eco-Agric. 2010, 18, 804–809. [Google Scholar] [CrossRef]
- Clavijo-Herrera, J.; Van Santen, E.; Gómez, C. Growth, Water-Use Efficiency, Stomatal Conductance, and Nitrogen Uptake of Two Lettuce Cultivars Grown under Different Percentages of Blue and Red Light. Horticulturae 2018, 4, 16. [Google Scholar] [CrossRef]
- Gaofeng, X.; Shicai, S.; Fudou, Z.; Yun, Z.; Hisashi, K.-N.; David, R.C. Relationship Between Allelopathic Effects and Functional Traits of Different Allelopathic Potential Rice Accessions at Different Growth Stages. Rice Sci. 2018, 25, 32–41. [Google Scholar] [CrossRef]
- Zhao, X.; Sui, X.; Zhao, L.; Gao, X.; Wang, J.; Wen, X.; Li, Y. Morphological and Physiological Response Mechanism of Lettuce (Lactuca sativa L.) to Consecutive Heat Stress. Sci. Hortic. 2022, 301, 111112. [Google Scholar] [CrossRef]
- Zhou, R.; Yu, X.; Li, X.; Mendanha Dos Santos, T.; Rosenqvist, E.; Ottosen, C.-O. Combined High Light and Heat Stress Induced Complex Response in Tomato with Better Leaf Cooling after Heat Priming. Plant Physiol. Biochem. 2020, 151, 1–9. [Google Scholar] [CrossRef]
- Fu, W.; Li, P.; Wu, Y.; Tang, J. Effects of Different Light Intensities on Anti-Oxidative Enzyme Activity, Quality and Biomass in Lettuce. Hortic. Sci. 2012, 39, 129–134. [Google Scholar] [CrossRef]





| Growth Stage | Treatment | PPFD (μmol m−2 s−1) | Photoperiod (h d−1) | DLI (mol m−2 d−1) |
|---|---|---|---|---|
| The slow growth stage | S11.5-H16 | 200 | 16 | 11.52 |
| S14.4-H16 | 250 | 16 | 14.40 | |
| S18.0-H16 | 315 | 16 | 18.00 | |
| S11.5-H20 | 160 | 20 | 11.52 | |
| S14.4-H20 | 200 | 20 | 14.40 | |
| S18.0-H20 | 250 | 20 | 18.00 | |
| The rapid growth stage | R14.4-H16 | 250 | 16 | 14.40 |
| R17.3-H16 | 300 | 16 | 17.28 | |
| R20.2-H16 | 350 | 16 | 20.16 | |
| R14.4-H20 | 200 | 20 | 14.40 | |
| R17.3-H20 | 240 | 20 | 17.28 | |
| R20.2-H20 | 280 | 20 | 20.16 |
| Models | Formula | R2 | MAPE |
|---|---|---|---|
| Logistic | 0.99 | 0.12 | |
| Gompertz | 0.96 | 0.23 | |
| Von Bertalanffy | 0.98 | 0.26 |
| Treatment | Leaf Area (cm2) | SLA (cm2 g−1) | Shoot Fresh Weight (g) | Photon Yield (g mol−1) | ||||
|---|---|---|---|---|---|---|---|---|
| S11.5-H16 | 557 ± 47 | ab | 470 ± 62 | a | 28.4 ± 1.1 | c | 7.5 ± 0.3 | ab |
| S14.4-H16 | 577 ± 23 | ab | 359 ± 21 | b | 35.9 ± 1.2 | b | 7.7 ± 0.3 | a |
| S18.0-H16 | 598 ± 44 | a | 378 ± 48 | b | 40.2 ± 1.6 | a | 6.9 ± 0.3 | b |
| S11.5-H20 | 530 ± 40 | b | 516 ± 85 | a | 26.5 ± 0.7 | c | 7.0 ± 0.2 | b |
| S14.4-H20 | 524 ± 28 | b | 313 ± 13 | bc | 36.1 ± 1.7 | b | 7.7 ± 0.4 | a |
| S18.0-H20 | 559 ± 18 | ab | 268 ± 29 | c | 40.8 ± 1.2 | a | 7.0 ± 0.2 | b |
| Treatment | Leaf Area (cm2) | SLA (cm2 g−1) | Shoot Fresh Weight (g) | |||
|---|---|---|---|---|---|---|
| R14.4-H16 | 2122 ± 88 | NS | 447 ± 44 | a | 129.7 ± 3.0 | b |
| R17.3-H16 | 2254 ± 102 | NS | 376 ± 38 | b | 155.4 ± 4.6 | a |
| R20.2-H16 | 2209 ± 199 | NS | 372 ± 47 | b | 155.0 ± 5.3 | a |
| R14.4-H20 | 2071 ± 119 | NS | 469 ± 36 | a | 120.4 ± 2.4 | c |
| R17.3-H20 | 2148 ± 114 | NS | 382 ± 26 | b | 155.1 ± 7.7 | a |
| R20.2-H20 | 2109 ± 90 | NS | 364 ± 34 | b | 161.8 ± 2.6 | a |
Disclaimer/Publisher’s Note: The statements, opinions and data contained in all publications are solely those of the individual author(s) and contributor(s) and not of MDPI and/or the editor(s). MDPI and/or the editor(s) disclaim responsibility for any injury to people or property resulting from any ideas, methods, instructions or products referred to in the content. |
© 2024 by the authors. Licensee MDPI, Basel, Switzerland. This article is an open access article distributed under the terms and conditions of the Creative Commons Attribution (CC BY) license (https://creativecommons.org/licenses/by/4.0/).
Share and Cite
Yang, R.; Yang, H.; Ji, F.; He, D. Enhancing the Photon Yield of Hydroponic Lettuce Through Stage-Wise Optimization of the Daily Light Integral in an LED Plant Factory. Agronomy 2024, 14, 2949. https://doi.org/10.3390/agronomy14122949
Yang R, Yang H, Ji F, He D. Enhancing the Photon Yield of Hydroponic Lettuce Through Stage-Wise Optimization of the Daily Light Integral in an LED Plant Factory. Agronomy. 2024; 14(12):2949. https://doi.org/10.3390/agronomy14122949
Chicago/Turabian StyleYang, Ruimei, Hao Yang, Fang Ji, and Dongxian He. 2024. "Enhancing the Photon Yield of Hydroponic Lettuce Through Stage-Wise Optimization of the Daily Light Integral in an LED Plant Factory" Agronomy 14, no. 12: 2949. https://doi.org/10.3390/agronomy14122949
APA StyleYang, R., Yang, H., Ji, F., & He, D. (2024). Enhancing the Photon Yield of Hydroponic Lettuce Through Stage-Wise Optimization of the Daily Light Integral in an LED Plant Factory. Agronomy, 14(12), 2949. https://doi.org/10.3390/agronomy14122949
