Assessing Roles of Aggregate Structure on Hydraulic Properties of Saline/Sodic Soils in Coastal Reclaimed Areas
Abstract
1. Introduction
2. Materials and Methods
2.1. Study Area
2.2. Experimental Design
2.3. Soil Saline−Alkali Characteristic Measurements
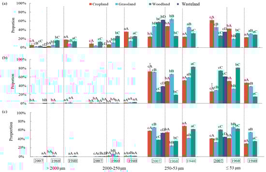
2.4. Soil Water Stable Aggregate Measurements
2.5. SHP Measurements
2.6. Data Analysis
3. Results
3.1. Effects of Reclamation Duration and Land Use Types on Aggregate Stability and SHPs of Saline/Sodic Soils
3.2. Factor Screening Based on PCA
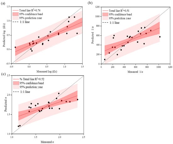
3.3. PTFs of SHPs in the Reclamation Area
4. Discussion
4.1. Factors That Affect Soil Aggregate Stability and SHPs of Saline/Sodic Soils
4.2. Effects of Soil Salinity and Alkalinization Characteristics on SHPs
4.3. Incorporate Soil Structure into PTFs for SHPs
5. Conclusions
Supplementary Materials
Author Contributions
Funding
Data Availability Statement
Conflicts of Interest
References
- Xie, T. Study on Salt Characteristics and Changes of Soil Profile in Coastal Beach with Different Reclamation Years-A Case Study of Rudong County, Jiangsu Province; Nanjing University: Nanjing, China, 2013. (In Chinese) [Google Scholar]
- Wang, G.; Xu, C.; Huang, R.; Han, X.; Zhao, J.; She, D. Research on driving forces of reclamation dynamics and land use change in coastal areas of Jiangsu Province. J. Hohai Univ. 2020, 48, 163–170. (In Chinese) [Google Scholar]
- Xie, X.; Pu, L.; Wang, Q.; Zhu, M.; Xu, Y.; Zhang, M. Response of soil physicochemical properties and enzyme activities to long-term reclamation of coastal saline soil, Eastern China. Sci. Total Environ. 2017, 607–608, 1419–1427. [Google Scholar] [CrossRef]
- Yao, R.; Yang, J.; Zhao, X.; Chen, X.; Han, J.; Li, X.; Liu, M.; Shao, H. A new soil sampling design in coastal saline region using EM38 and VQT method. Clean Soil Air Water 2012, 40, 972–979. [Google Scholar] [CrossRef]
- Fei, Y.; She, D.; Yi, J.; Sun, X.; Han, X.; Liu, D.; Liu, M.; Zhang, H. Roles of soil amendments in the water and salt transport of coastal saline soils through regulation of microstructure. Land Degrad. Dev. 2024, 35, 2382–2394. [Google Scholar] [CrossRef]
- Ghosh, B.N.; Meena, V.S.; Singh, R.J.; Alam, N.M.; Patra, S.; Bhattacharyya, R.; Sharma, N.K.; Dadhwal, K.S.; Mishra, P.K. Effects of fertilization on soil aggregation, carbon distribution and carbon management index of maize-wheat rotation in the north-western Indian Himalayas. Ecol. Indic. 2019, 105, 415–424. [Google Scholar] [CrossRef]
- Halder, M.; Islam, M.U.; Liu, S.; Guo, Z.; Zhang, Z.; Peng, X. Organic materials quality to control soil aggregation: A meta-analysis. J. Soil Sci. Plant Nutr. 2024, 24, 1857–1870. [Google Scholar] [CrossRef]
- Kasper, M.; Buchan, G.D.; Mentler, A.; Blum, W.E.H. Influence of soil tillage systems on aggregate stability and the distribution of C and N in different aggregate fractions. Soil Tillage Res. 2009, 105, 192–199. [Google Scholar] [CrossRef]
- Spohn, M.; Giani, L. Impacts of land use change on soil aggregation and aggregate stabilizing compounds as dependent on time. Soil Biol. Biochem. 2011, 43, 1081–1088. [Google Scholar] [CrossRef]
- Mohammed, A.K.; Hirmas, D.R.; Nemes, A.; Giménez, D. Exogenous and endogenous controls on the development of soil structure. Geoderma 2020, 357, 113945. [Google Scholar] [CrossRef]
- Vereecken, H.; Diels, J.; Van orshoven, J.; Feyen, J.; Bouma, J. Functional evaluation of pedotransfer functions for the estimation of soil hydraulic properties. Astron. Astrophysical 1992, 446, 747–771. [Google Scholar] [CrossRef]
- Zhang, J.; Chen, H.; Fu, Z.; Wang, K. Effects of vegetation restoration on soil properties along an elevation gradient in the karst region of southwest China. Agric. Ecosyst. Environ. 2021, 320, 107572. [Google Scholar] [CrossRef]
- van Genuchten, M.T.; Leij, F.J. Indirect methods for estimating the hydraulic properties of unsaturated soils. Soil Sci. 1992, 157, 615–627. [Google Scholar]
- Schaap, M.G.; Leij, F.J.; van Genuchten, M.T. Rosetta: A computer program for estimating soil hydraulic parameters with hierarchical pedotransfer functions. J. Hydrol. 2001, 251, 163–176. [Google Scholar] [CrossRef]
- Wösten, J.H.M.; Pachepsky, Y.A.; Rawls, W.J. Pedotransfer functions: Bridging the gap between available basic soil data and missing soil hydraulic characteristics. J. Hydrol. 2001, 251, 123–150. [Google Scholar] [CrossRef]
- Vereecken, H.; Weynants, M.; Javaux, M.; Pachepsky, Y.; Schaap, M.G.; van Genuchten, M.T. Using pedotransfer functions to estimate the van Genuchten-Mualem soil hydraulic properties: A review. Vadose Zone J. 2010, 9, 795–820. [Google Scholar] [CrossRef]
- Looy, V.K.; Bouma, J.; Herbst, M.; Koestel, J.; Minasny, B.; Mishra, U.; Montzka, C.; Nemes, A.; Pachepsky, Y.; Padarian, J.; et al. Pedotransfer functions in Earth system science: Challenges and perspectives. Rev. Geophys. 2017, 55, 1199–1256. [Google Scholar] [CrossRef]
- Lebron, I.; Schaap, M.G.; Suarez, D.L. Saturated hydraulic conductivity prediction from microscopic pore geometry measurements and neural network analysis. Water Resour. Res. 1999, 35, 3149–3158. [Google Scholar] [CrossRef]
- Arrington, K.E.; Ventura, S.J.; Norman, J.M. Predicting saturated hydraulic conductivity for estimating maximum soil infiltration rates. Soil Sci. Soc. Am. J. 2013, 77, 748–758. [Google Scholar] [CrossRef]
- Szabó, B.; Szatmári, G.; Takács, K.; Laborczi, A.; Makó, A.; Rajkai, K.; Pásztor, L. Mapping soil hydraulic properties using random-forest-based pedotransfer functions and geostatistics. Hydrol. Earth Syst. Sci. 2019, 23, 2615–2635. [Google Scholar] [CrossRef]
- Cao, T.; She, D.; Zhang, X.; Yang, Z.; Wang, G. Pedotransfer functions developed for calculating soil saturated hydraulic conductivity in check dams on the Loess Plateau in China. Vadose Zone J. 2022, 21, e20217. [Google Scholar] [CrossRef]
- Yao, R.; Yang, J.; Wu, D.; Li, F.; Gao, P.; Wang, X. Evaluation of pedotransfer functions for estimating saturated hydraulic conductivity in coastal salt-affected mud farmland. J. Soils Sediments 2015, 15, 902–916. [Google Scholar] [CrossRef]
- Bonetti, S.; Wei, Z.; Or, D. A framework for quantifying hydrologic effects of soil structure across scales. Commun. Earth Environ. 2021, 2, 107. [Google Scholar] [CrossRef]
- Fatichi, S.; Or, D.; Walko, R.; Vereecken, H.; Young, M.H.; Ghezzehei, T.A.; Hengl, T.; Kollet, S.; Agam, N.; Avissar, R. Soil structure is an important omission in earth system models. Nat. Commun. 2020, 11, 522. [Google Scholar] [CrossRef] [PubMed]
- Pires, L.F.; Roque, W.L.; Rosa, J.A.; Mooney, S.J. 3D analysis of the soil porous architecture under long term contrasting management systems by X-ray computed tomography. Soil Tillage Res. 2019, 191, 197–206. [Google Scholar] [CrossRef]
- Kutílek, M. Soil hydraulic properties as related to soil structure. Soil Till. Res. 2004, 79, 175–184. [Google Scholar] [CrossRef]
- IUSS Working Group WRB. World Reference Base for Soil Resources. In International Soil Classification System for Naming Soils and Creating Legends for Soil Maps, 4th ed.; International Union of Soil Sciences (IUSS): Vienna, Austria, 2022. [Google Scholar]
- Bao, S.D. Soil Analysis in Agricultural Chemistry; Agricultural Press: Beijing, China, 2005. (In Chinese) [Google Scholar]
- Elliott, E.T. Aggregate structure and carbon, nitrogen, and phosphorus in native and cultivated soils. Soil Sci. Soc. Am. J. 1986, 50, 627–633. [Google Scholar] [CrossRef]
- Wang, Y.; Zhang, J.; Zhang, Z. Influences of intensive tillage on water-stable aggregate distribution on a steep hillslope. Soil Till. Res. 2015, 151, 82–92. [Google Scholar] [CrossRef]
- van Genuchten, M.T. A closed-form equation for predicting the hydraulic conductivity of unsaturated soils. Soil Sci. Soc. Am. J. 1980, 44, 892–898. [Google Scholar] [CrossRef]
- van Genuchten, M.T.; Leij, F.J.; Yates, S.R. The RETC Code for Quantifying the Hydraulic Functions of Unsaturated Soils; Version 1.0. EPA Report 600/2-91/065; U.S. Salinity Laboratory, USDA, ARS: Riverside, CA, USA, 1991.
- Akaike, H. Information Theory and an Extension of the Maximum Likelihood Principle. 2nd International Symposium. Information Theory; Akademia Kiado: Budapest, Hungary, 1973; pp. 267–281. [Google Scholar]
- Davis, J.G.; Woscom, R.M.; Boulder, T.A.; Cardam, G.E. Managing Sodic Soils. Extension Document No 0.504; Colorado State University Extension: Fort Collins, CO, USA, 2007. [Google Scholar]
- Franzluebbers, A.J. Soil mean-weight diameter and stability index under contrasting tillage systems for cotton production in North Carolina. Soil Sci. Soc. Am. J. 2022, 86, 1327–1337. [Google Scholar] [CrossRef]
- Liu, C.; Xu, J.; Ding, N.; Fu, Q.; Guo, B.; Lin, Y.; Li, H.; Li, N. The effect of long-term reclamation on enzyme activities and microbial community structure of saline soil at Shangyu, China. Environ. Earth Sci. 2013, 69, 151–159. [Google Scholar] [CrossRef]
- Xie, X.; Pu, L.; Zhu, M.; Wu, T.; Xu, Y.; Wang, X. Effect of long-term reclamation on soil quality in agricultural reclaimed coastal saline soil, Eastern China. J. Soils Sediments 2020, 20, 3909–3920. [Google Scholar] [CrossRef]
- Fei, Y.; She, D.; Yao, Z.; Li, L.; Ding, J.; Hu, W. Hierarchical Bayesian models for predicting soil salinity and sodicity characteristics in a coastal reclamation region. Ecol. Eng. 2017, 104, 45–56. [Google Scholar] [CrossRef]
- Li, J.; Yang, W.; Li, Q.; Pu, L.; Xu, Y.; Zhang, Z.; Liu, L. Effect of reclamation on soil organic carbon pools in coastal areas of eastern China. Front. Earth Sci. 2018, 12, 339–348. [Google Scholar] [CrossRef]
- Yin, A.; Zhang, M.; Gao, C.; Yang, X.; Xu, Y.; Wu, P.; Zhang, H. Salinity evolution of coastal soils following reclamation and intensive usage, Eastern China. Environ. Earth Sci. 2016, 75, 1281. [Google Scholar] [CrossRef]
- Tisdall, J.M.; Oades, J.M. Organic matter and water-stable aggregates in soils. Eur. J. Soil Sci. 1982, 33, 141–163. [Google Scholar] [CrossRef]
- Erktan, A.; Balmot, J.; Merino-Martín, L.; Monnier, Y.; Pailler, F.; Coq, S.; Abiven, S.; Stokes, A.; Le Bissonnais, Y. Immediate and long-term effect of tannins on the stabilization of soil aggregates. Soil Biol. Biochem. 2017, 105, 197–205. [Google Scholar] [CrossRef]
- Feng, H.; Wang, S.; Gao, Z.; Pan, H.; Zhuge, Y.; Ren, X.; Hu, S.; Li, C. Aggregate stability and organic carbon stock under different land uses integrally regulated by binding agents and chemical properties in saline-sodic soils. Land Degrad. Dev. 2021, 32, 4151–4161. [Google Scholar] [CrossRef]
- Klopp, H.W.; Arriaga, F.A.; Daigh, A.L.M.; Bleam, W.F. Development of functions to predict soil hydraulic properties that account for solution sodicity and salinity. Catena 2021, 204, 105389. [Google Scholar] [CrossRef]
- She, D.; Fei, Y.; Chen, Q.; Timm, L.C. Spatial scaling of soil salinity indices along a temporal coastal reclamation area transect in China using wavelet analysis. Arch. Agron. Soil Sci. 2016, 62, 1625–1639. [Google Scholar] [CrossRef]
- Xie, X.; Pu, L.; Shen, H.; Wang, X.; Zhu, M.; Ge, Y.; Sun, L. Effects of soil reclamation on the oat cultivation in the newly reclaimed coastal land, eastern China. Ecol. Eng. 2019, 129, 115–122. [Google Scholar] [CrossRef]
- Ben-Hur, M.; Yolcu, G.; Uysal, H.; Lado, M.; Paz, A. Soil structure changes: Aggregate size and soil texture effects on hydraulic conductivity under different saline and sodic conditions. Aust. J. Soil Res. 2009, 47, 688–696. [Google Scholar] [CrossRef]
- Xing, X.; Kang, D.; Ma, X. Differences in loam water retention and shrinkage behavior: Effects of various types and concentrations of salt ions. Soil Till. Res. 2017, 167, 61–72. [Google Scholar] [CrossRef]
- She, D.; Gao, X.; Wang, P.; Xu, W.; Liu, Y.; Liu, Y. Comparison of soil hydraulic properties with different levels of soil salinity and sodicity. Arab. J. Geosci. 2015, 8, 5351–5360. [Google Scholar] [CrossRef]
- Rezaei, M.; Shahbazi, K.; Shahidi, R.; Davatgar, N.; Bazargan, K.; Rezaei, H.; Saadat, S.; Seuntjens, P.; Cornelis, W. How to relevantly characterize hydraulic properties of saline and sodic soils for water and solute transport simulations. J. Hydrol. 2021, 598, 125777. [Google Scholar] [CrossRef]
- Zhang, Y.; Yang, J.; Yao, R.; Wang, X.; Xie, W. Short-term effects of biochar and gypsum on soil hydraulic properties and sodicity in a saline-alkali soil. Pedosphere 2020, 30, 694–702. [Google Scholar] [CrossRef]
- Bouma, J.; Lanen, H.V. Transfer functions and threshold values: From soil characteristics to land qualities. In Quantified land evaluation. In Proceedings of the International Workshop on Quantified Land Evaluation Procedures, Washington, DC, USA, 27 April–2 May 1986; pp. 106–110. [Google Scholar]
- Gamie, R.; De Smedt, F. Experimental and statistical study of saturated hydraulic conductivity and relations with other soil properties of a desert soil. Eur. J. Soil Sci. 2018, 69, 256–264. [Google Scholar] [CrossRef]
- Flarmery, B.P.; Deckman, H.W.; Roberge, W.G.; D’Amico, K.L. Three-dimensional microtomography. Science 1987, 237, 1439–1444. [Google Scholar] [CrossRef]
- Spanne, P.; Thovert, J.F.; Jacquin, C.J.; Lindquist, W.B.; Jonea, K.W.; Adler, P.M. Synchrotron computed microtomography of porous media. Phys. Rev. Lett. 1994, 73, 2001–2004. [Google Scholar] [CrossRef]
- Bayat, H.; Neyshabouri, M.R.; Mohammadi, K.; Nariman-Zadeh, N. Estimating water retention with Pedotransfer functions using multi-Objective group method of data handling and ANNs. Pedosphere 2011, 21, 107–114. [Google Scholar] [CrossRef]
- Duffera, M.; White, J.G.; Weisz, R. Spatial variability of Southeastern U.S. Coastal plain soil physical properties: Implications for site-specific management. Geoderma 2007, 137, 327–339. [Google Scholar] [CrossRef]
- Rogiers, B.; Mallants, D.; Batelaan, O.; Gedeon, M.; Huysmans, M.; Dassargues, A. Estimation of hydraulic conductivity and its uncertainty from grain-size data using GLUE and Artificial neural networks. Math. Geosci. 2012, 44, 739–763. [Google Scholar] [CrossRef]






| Soil Properties | Year 2007 (N = 36) | Year 1960 (N = 27) | Year 1940 (N = 27) |
|---|---|---|---|
| Ks (cm/h) | 2.90 ± 1.91 a | 1.20 ± 0.85 b | 1.58 ± 2.83 b |
| BD (g/cm3) | 1.37 ± 0.10 a | 1.40 ± 0.09 a | 1.39 ± 0.12 a |
| MWD (mm) | 0.23 ± 0.10 a | 0.31 ±0.26 a | 0.60 ± 0.54 b |
| CCa (g/kg) | 1.19 ± 0.21 a | 1.33 ± 0.28 a | 0.95 ± 0.31 b |
| CK (g/kg) | 0.22 ± 0.10 a | 0.14 ± 0.05 b | 0.07 ± 0.02 c |
| CMg (g/kg) | 0.033 ± 0.02 a | 0.035 ±0.01 a | 0.026 ± 0.01 b |
| CNa (g/kg) | 0.48 ± 0.44 a | 0.27 ± 0.12 b | 0.24 ± 0.05 b |
| CEC (cmol/kg) | 3.64 ± 4.88 a | 16.95 ± 3.33 b | 7.95 ± 1.63 ab |
| Silt (%) | 62.16 ± 9.50 a | 74.67 ± 4.54 b | 80.30 ± 3.37 c |
| Clay (%) | 3.63 ± 1.51 a | 7.89 ± 6.20 b | 8.63 ± 1.95 b |
| SOM (g/kg) | 5.28 ± 3.96 a | 10.09 ± 14.08 b | 9.41 ± 7.77 ab |
| EC1:5 (μs/cm) | 4397 ± 3100 a | 3676 ± 808 a | 3483 ± 734 a |
| ESP (%) | 17.88 ± 10.74 ab | 19.19 ± 9.13 a | 14.17 ± 3.70 b |
| SAR (g/kg)0.5 | 0.92 ± 0.85 a | 0.50 ± 0.24 b | 0.44 ± 0.09 b |
| θs (cm3/cm3) | 0.35 ± 0.03 a | 0.55 ± 0.05 a | 0.43 ± 0.05 b |
| Ks | BD | MWD | CCa | CK | CMg | CNa | CEC | Silt | Clay | SOM | EC1:5 | ESP | SAR | θs | α | n | |
|---|---|---|---|---|---|---|---|---|---|---|---|---|---|---|---|---|---|
| Ks | 1 | ||||||||||||||||
| BD | 0.44 | 1 | |||||||||||||||
| MWD | 0.05 | 0.58 | 1 | ||||||||||||||
| CCa | −0.005 | 0.14 | 0.3 | 1 | |||||||||||||
| CK | 0.14 | 0.11 | −0.13 | −0.21 | 1 | ||||||||||||
| CMg | −0.12 | −0.08 | 0.05 | −0.15 | 0.73 * | 1 | |||||||||||
| CNa | −0.22 | −0.24 | −0.15 | −0.32 | 0.74 * | 0.84 ** | 1 | ||||||||||
| CEC | −0.1 | 0.07 | 0.19 | −0.06 | 0.69 * | 0.69 * | 0.76 ** | 1 | |||||||||
| Silt | −0.15 | −0.03 | 0.28 | 0.32 | −0.52 | −0.19 | −0.34 | −0.25 | 1 | ||||||||
| Clay | −0.002 | 0.11 | 0.37 | 0.31 | −0.28 | −0.16 | −0.29 | 0.12 | 0.47 | 1 | |||||||
| SOM | 0.17 | 0.47 | 0.57 | 0.36 | 0.04 | −0.07 | −0.15 | 0.42 | 0.07 | 0.59 | 1 | ||||||
| EC1:5 | −0.29 | 0.02 | −0.07 | −0.3 | 0.36 | 0.28 | 0.48 | 0.51 | −0.24 | −0.17 | −0.04 | 1 | |||||
| ESP | −0.38 | −0.38 | −0.27 | −0.38 | 0.43 | 0.58 | 0.80 ** | 0.33 | −0.164 | −0.35 | −0.37 | 0.4 | 1 | ||||
| SAR | −0.22 | −0.24 | −0.166 | −0.35 | 0.75 ** | 0.83 ** | 0.99 ** | 0.75 ** | −0.36 | −0.3 | −0.16 | 0.5 | 0.80 ** | 1 | |||
| θs | 0.005 | 0.37 | 0.58 | 0.3 | −0.06 | 0.01 | −0.12 | 0.21 | 0.18 | 0.36 | 0.49 | −0.04 | −0.28 | −0.14 | 1 | ||
| α | 0.09 | 0.4 | 0.59 | 0.06 | −0.06 | −0.07 | −0.05 | 0.2 | 0.08 | 0.24 | 0.49 | 0.02 | −0.19 | −0.05 | 0.17 | 1 | |
| n | −0.2 | −0.41 | −0.54 | −0.17 | 0.14 | 0.13 | 0.2 | −0.05 | −0.25 | −0.37 | −0.39 | 0.09 | 0.22 | 0.2 | −0.31 | −0.43 | 1 |
| Parameter | Equation | Variable | Coefficient | SD | t-Value | p-Value |
|---|---|---|---|---|---|---|
| log(Ks) | (6) | (Intercept) | 2.567 | 0.598 | 4.292 | 0 |
| 1/EC1:5 | 2.351 | 0.367 | 6.408 | 0 | ||
| log(K) | 0.453 | 0.163 | 2.782 | 0.007 | ||
| BD | −1.854 | 0.482 | −3.847 | 0 | ||
| log(MWD) | −0.412 | 0.164 | −2.509 | 0.014 | ||
| (9) | (Intercept) | 0.524 | 0.034 | 15.475 | 0 | |
| −0.177 | 0.024 | −7.405 | 0 | |||
| −0.093 | 0.016 | −5.897 | 0 | |||
| 0.135 | 0.031 | 4.316 | 0 | |||
| −0.054 | 0.019 | −2.924 | 0.005 | |||
| 1/α | (7) | (Intercept) | −89.502 | 85.761 | −1.044 | 0.299 |
| log(MWD) | −470.599 | 67.615 | −6.96 | 0 | ||
| log(K) | −335.691 | 80.25 | −4.183 | 0 | ||
| (10) | (Intercept) | 477.244 | 17.911 | 26.645 | 0 | |
| −91.732 | 9.374 | −9.786 | 0 | |||
| −81.283 | 16.744 | −4.855 | 0 | |||
| 38.106 | 13.042 | 2.922 | 0.005 | |||
| n | (8) | (Intercept) | 1.64 | 0.109 | 15.033 | 0 |
| log(MWD) | −0.44 | 0.09 | −4.886 | 0 | ||
| Sqrt(Clay) | −0.088 | 0.033 | −2.671 | 0.009 | ||
| (11) | (Intercept) | 1.679 | 0.026 | 64.288 | 0 | |
| −0.086 | 0.014 | −6.194 | 0 | |||
| 0.045 | 0.012 | 3.625 | 0.001 | |||
| −0.042 | 0.019 | −2.221 | 0.03 |
| Evaluation Parameters | Equation | |||||
|---|---|---|---|---|---|---|
| (6) | (9) | (7) | (10) | (8) | (11) | |
| AIC | −193.58 | −265.15 | 1016.83 | 938.86 | −262.95 | −315.48 |
| BIC | −180.76 | −252.33 | 1024.52 | 949.11 | −255.26 | −305.22 |
| Loglik | 100.79 | 136.57 | −506.41 | −466.43 | 133.47 | 160.74 |
| MRE | 80.91% | 79.30% | 37.20% | 36.10% | 10.26% | 9.89% |
| RMSE | 0.412 | 0.305 | 184.23 | 173.83 | 0.251 | 0.221 |
| R2 | 0.68 | 0.74 | 0.50 | 0.51 | 0.5 | 0.52 |
Disclaimer/Publisher’s Note: The statements, opinions and data contained in all publications are solely those of the individual author(s) and contributor(s) and not of MDPI and/or the editor(s). MDPI and/or the editor(s) disclaim responsibility for any injury to people or property resulting from any ideas, methods, instructions or products referred to in the content. |
© 2024 by the authors. Licensee MDPI, Basel, Switzerland. This article is an open access article distributed under the terms and conditions of the Creative Commons Attribution (CC BY) license (https://creativecommons.org/licenses/by/4.0/).
Share and Cite
Fei, Y.; She, D.; Tang, S.; Wang, H.; Sun, X.; Han, X.; Liu, D. Assessing Roles of Aggregate Structure on Hydraulic Properties of Saline/Sodic Soils in Coastal Reclaimed Areas. Agronomy 2024, 14, 2877. https://doi.org/10.3390/agronomy14122877
Fei Y, She D, Tang S, Wang H, Sun X, Han X, Liu D. Assessing Roles of Aggregate Structure on Hydraulic Properties of Saline/Sodic Soils in Coastal Reclaimed Areas. Agronomy. 2024; 14(12):2877. https://doi.org/10.3390/agronomy14122877
Chicago/Turabian StyleFei, Yuanhang, Dongli She, Shengqiang Tang, Hongde Wang, Xiaoqin Sun, Xiao Han, and Dongdong Liu. 2024. "Assessing Roles of Aggregate Structure on Hydraulic Properties of Saline/Sodic Soils in Coastal Reclaimed Areas" Agronomy 14, no. 12: 2877. https://doi.org/10.3390/agronomy14122877
APA StyleFei, Y., She, D., Tang, S., Wang, H., Sun, X., Han, X., & Liu, D. (2024). Assessing Roles of Aggregate Structure on Hydraulic Properties of Saline/Sodic Soils in Coastal Reclaimed Areas. Agronomy, 14(12), 2877. https://doi.org/10.3390/agronomy14122877
