Next Article in Journal
State-of-the-Art Techniques for Fruit Maturity Detection
Previous Article in Journal
Functional Analysis of Two Carboxylesterase Genes Involved in Beta-Cypermethrin and Phoxim Resistance in Plutella xylostella (L.)
 
 
Font Type:
Arial Georgia Verdana
Font Size:
Aa Aa Aa
Line Spacing:
Column Width:
Background:
Article

Conservation Agriculture Boosts Soil Health, Wheat Yield, and Nitrogen Use Efficiency After Two Decades of Practice in Semi-Arid Tunisia

1
Agronomic Sciences and Techniques Laboratory (LR16 INRAT 05), National Institute of Agricultural Research of Tunisia (INRAT), Carthage University, Ariana 2049, Tunisia
2
Agronomy Laboratory, National Institute Agronomic of Tunisia (INAT), Carthage University, BP 43, Avenue Charles Nicolle, Tunis-Mahrajene 1082, Tunisia
3
Agronomic Sciences and Techniques Laboratory (LR16 INRAT 05), National Research Institute of Rural Engineering, Water and Forests (INRGREF), Carthage University, Ariana 2049, Tunisia
4
International Center for Agricultural Research in the Dry Areas (ICARDA), Rue Hédi Karray, Menzah 1, 1004, Ariana 2049, Tunisia
*
Author to whom correspondence should be addressed.
Agronomy 2024, 14(12), 2782; https://doi.org/10.3390/agronomy14122782
Submission received: 21 September 2024 / Revised: 16 October 2024 / Accepted: 29 October 2024 / Published: 23 November 2024
(This article belongs to the Section Innovative Cropping Systems)

Abstract

Conservation agriculture (CA) has been proposed as a viable strategy to enhance soil health and the resilience of farms to climate change, and to support the sustainability of agricultural production systems. While CA is a well-established approach, research results are lacking regarding its long-term impact on nitrogen (N) dynamics in the soil–plant system. In this study, a 20-year experiment was used to investigate the long-term effects of no-tillage in CA on soil organic carbon (SOC) and nitrogen (N) mineralization, plant N uptake, grain yields, and the grain quality of durum wheat. A CA system based on no-tillage (NT) was evaluated and compared with conventional tillage (CT) used for wheat/legumes biennial crop rotation. Results showed that soil samples from CA plots experienced significantly more N mineralization than those under CT, which was attributed to increased SOC and N. Topsoil sampled from the CA plots 20 years after the implementation of the experiment had 43% more absolute potentially mineralizable N (N0) than the CT plots, with no significant differences observed in deeper soil layers (15–30 cm and 30–45 cm). The absolute potentially mineralizable carbon (C0) in soils from the CA system was 49% and 35% higher than in soils from the CT system, at soil depths of 0–15 and 15–30 cm, respectively. Furthermore, CA resulted in higher amounts of remobilized N and higher rates of N uptake during the critical growth stages of durum wheat. The amount of N remobilized during the kernel-filling phase under CA was 59% higher than under CT. Total N uptake in wheat plants was 45% greater under CA compared to CT. The most significant differences in N uptake between the CA and CT systems were observed during two critical growth stages: late tillering to heading (1.7 times higher in CA than CT) and heading to anthesis (1.5 times higher in CA than CT). The most significant differences for N uptake were shown during the late tillering to heading stage and the heading to anthesis stage. The amount of N remobilized during the kernel filling phase under CA was 59% higher than CT. CA adoption resulted in 21% and 35% higher grain and straw yields, respectively, compared to CT. The grain and straw N yields were 21% and 51% higher, respectively, under CA than CT. Moreover, the CA system exhibited higher partial factor productivity of nitrogen fertilizer (PFP N) for both grain and straw yields. Thousand kernel weight (TKW) and hectoliter weight were also significantly higher under CA than CT. The grain protein content, wet gluten content, vitreousness, and falling number were similar between the CA and CT systems. These results highlight the benefits of long-term CA adoption to increase soil N mineralization, providing a substantial base for N uptake during the critical growth stages of durum wheat, thus leading to increased crop yield. The findings underscore the potential of CA systems in promoting sustainable agriculture and mitigating the impacts of soil degradation.

1. Introduction

Conservation agriculture (CA) is a sustainable farming approach aimed at reducing soil degradation and improving soil health through practices, such as no-till (NT), crop residue retention, and crop rotations [1]. In contrast to conventional tillage (CT), the NT practice is recognized for its ability to improve soil physical properties, reduce soil erosion and run-off, increase soil water retention, enhance soil organic matter content (SOM), and mitigate the adverse effects of climate change and soil fertility decline on crop yield [2,3,4,5].
Mediterranean regions are particularly vulnerable to climate change due to their unique climatic characteristics, including hot, dry summers and mild, wet winters. This climate is projected to become increasingly erratic. Particularly in North Africa, climatic indices may reach extremely high values [6]. Future warming is expected to exceed global rates by 25%, notably with summer warming at a pace 40% greater than the global mean [7]. Such predicted changes are expected to drastically affect soil water availability, soil organic matter, and crop production [8]. In this way, the adoption of “climate-smart” agriculture innovations, such as conservation agriculture (CA), is urgently needed to build the resilience of agricultural production systems.
However, the long-term impacts of CA on nitrogen (N) dynamics in the soil–plant system and wheat yield remain uncertain, particularly in Mediterranean environments where water and N limitations often restrict grain production.
Changes in soil N dynamics occur when transitioning from conventional tillage (CT) to no-till in CA, often resulting in reduced soil N availability. This reduction can lead to decreased plant N uptake and N use efficiency [9,10,11]. Soil N availability largely relies on the turnover of soil—from organic N into inorganic N—through mineralization, which is typically higher in CT than conservation tillage due to buried organic materials [12,13]. CT improves soil aeration and mixing and incorporates crop residues into the soil, stimulating the decomposition of organic matter by exposing it to microbial attacks. This process leads to the faster release of N compared to during conservation tillage [14,15,16]. Moreover, retaining crop residues on the soil surface when using no-till can increase the immobilization rate of both indigenous soil N and fertilizer N, thereby reducing N availability for crops in CA-based systems [10].
However, long-term no-till management in CA systems increases the organic matter content of the soil surface layer, compared to CT, as a result of various interacting factors—such as increased residue return, less mixing and soil disturbance, reduced surface soil temperature, proliferation of root growth and biological activity, and decreased risks of soil erosion [17,18,19,20]. In contrast, in tilled soils (CT), the faster rate of organic matter decomposition over time usually decreases soil organic matter (SOM) relative to NT soils [21]. Therefore, after many years, soils under no-till management may mineralize more N than tilled soils, following an increase in the amount of SOC and soil organic nitrogen (SON), and intensification of soil microbial activity [10,22].
It has also been previously demonstrated that the immobilization phase when adopting no-till practices is transitory [23]. Thus, studies suggest that the effects of no-till on soil N availability to crops change over time, as several years of continuous NT application is usually required before a new soil–plant equilibrium is reached [24,25]. According to estimates from several studies, CA systems based on wheat rotation, that undergo a change to no-till, reach an equilibrium after 15–20 years [26,27]. However, soil N mineralization and wheat N uptake after such a period remains poorly understood, and these research gaps need to be addressed for the successful promotion of CA globally [28].
Moreover, by adopting CA, the improved soil surface covering achieved through CA helps conserve soil moisture, thereby creating favorable conditions for soil microbial activity during dry periods. Along with an increase in soil organic C and N, this may increase soil N mineralization, N availability for crop growth, and N uptake [10]. This aspect is particularly relevant for durum wheat in Mediterranean environments, where climate conditions during anthesis and early grain filling often limit grain yield and quality. The Mediterranean climate is characterized by hot, dry summers and cool, wet winters [29]. Durum wheat is typically sown in late autumn or early winter and harvested in late spring or early summer [30]. It is generally assumed that the crop is grown when rainfall and temperatures are favorable, until anthesis [31]. However, around anthesis, limited rainfall and high temperatures can lead to water and N deficit. These conditions are known to induce flower abortion, resulting in reduced grain numbers per unit of land area [32]. During the grain filling period, water and N shortages influence the rate and duration of wheat grain development, N remobilization, protein accumulation, starch deposition, and overall grain yield, quality, and technological traits [32,33].
We hypothesize that after decades of CA adoption, soils will exhibit increased nitrogen mineralization due to higher soil organic C and N pools and better moisture conservation, ultimately enhancing crop N uptake during critical growth stages. In addition to improved N cycling, we expect CA to contribute to sustained grain yields and improved grain quality, making CA systems more resilient to climate change than CT.
In this study, a 20-year experiment was conducted to investigate the long-term effects of a conservation agriculture (CA) system, based on wheat–legume rotation and no-till practices, on the mineralization processes of soil organic matter (SOM). Specifically, the research focuses on analyzing the kinetics of carbon (C) and nitrogen (N) mineralization. Additionally, the study evaluates the impact of the CA system on nitrogen uptake by wheat at various growth stages, as well as its influence on nitrogen use efficiency, grain yield, and grain quality.

2. Materials and Methods

2.1. Site Characteristics

The experiment was conducted at a farm (on-farm experiment) in the El-Alia region of the El Krib delegation, belonging to the governorate of Siliana (36.32° N lat, 9.13° E long, and 481 m altitude) (Figure 1). The climate of the region is semi-arid Mediterranean, with a mean annual rainfall of 478 mm. The soil is clay–loamy (35% clay, 34% silt, and 31% sand), classified as regosols according to the WRB system.

2.2. Weather Conditions

During the 2018–2019 cropping season (the period of soil and plant sampling), the El-Krib region recorded a rainfall of 844 mm between September 2018 and the end of May 2019, which exceeds the regional average annual precipitation (478 mm). The monthly precipitation during the 2018–2019 cropping season exceeded the average monthly precipitation recorded in the region during the 20 years of the experiment, especially for the months of October, January, February, March, and May (Figure 2). The average temperature varied between 18.9 °C and 26.9 °C. The monthly minimum and maximum temperatures ranged from 3.3 °C to 18.9 °C and 12.8 °C to 35.4 °C, respectively.

2.3. Experimental Design and Crop Management

The experiment was part of a long-term study comparing the agro-physiological performance of durum wheat under two cropping systems: conventional tillage (CT) and conservation agriculture based on no-till (CA). A complete randomized design with three replicates was implemented, using plots of 0.33 ha each and a row spacing of 17 cm. Plots of durum wheat were implemented according to the two treatments (CT and CA) for nineteen (19) successive cropping seasons, with biannual rotation (durum wheat/faba bean) adopted throughout. Presented data were recorded only on durum wheat plants. CT consisted of one moldboard plowing to a depth of 0.30 m in the summer, followed by two shallow harrowing (0–0.15 m) operations before sowing. For CA based on no-till, durum wheat seeds were directly sown into untilled soil. Under CA, an application of glyphosate herbicide was performed two weeks prior to sowing to control weeds. For sowing, a disc no-till seeder (SEMEATO SHM-15/17) was used for CA plots, while a conventional seeder (SULKY-BURREL) was used for CT plots. For both systems, durum wheat was sown at a rate of 125 kg ha−1. A di-ammonium phosphate fertilizer was applied as a basal fertilizer, at a rate of 100 kg ha−1 for both systems. The sowing and harvesting dates are November 8, 2018, and June 20, 2019, respectively. Standard post-seeding agricultural practices (herbicide treatments and fertilization) were carried out in the same manner and at the same time for both systems. Ammonium nitrate (33.5% of N) was applied at 100 kg ha−1 at the 1 cm spike stage, and 100 kg ha−1 was applied at the end of the tillering stage. No irrigation was applied.

2.4. Soil Analysis

-
Soil sampling, total N and C content determination
Soil samples were collected in 2019 (20 years after the implementation of the experiment). After drying and finely grinding the soil samples, total organic carbon (C) was determined using the Walkey and Black method [34]. Total N content was determined using the Kjeldahl method [35].
-
C and N mineralization measurements
Soil C and N mineralization were analyzed based on the laboratory incubation experiment for 77 days. Soil samples used in the incubations were air-dried and passed through a 2 mm sieve. The water content of the soil was adjusted to match the soil water-holding capacity (225 g kg−1 soil). Soil samples were then incubated in hermetically sealed 500 mL glass jars and kept in the dark at a temperature of 28 °C under aerobic conditions.
C mineralization (CO2 production) was measured by placing a 10 mL CO2 trap (a vial containing 1 mol L−1 NaOH) in a sealed jar containing the soil sample. Eight (8) jars without soil samples were set up as controls to eliminate the influence of atmospheric CO2. The jars were incubated in the dark and kept at a temperature of 28 °C, being temporarily removed on days 3, 7, 14, 25, 40, and 77 to evaluate the amount of CO2 that had evolved. After removal, 1 mL of saturated BaCl2 solution (∼1 mol L−1) was added to each trap to stop CO2 absorption. The released CO2 was determined by titrating unreacted NaOH using HCl (0.25 N). Soil C mineralization (Cm) was expressed as g CO2 kg−1 soil. C mineralizability was expressed as mg CO2 g−1 SOC [36]. Equation (1) is as follows:
C mineralizability = Cm/SOC content
where Cm (g CO2 kg−1 soil) represents the total cumulative SOC mineralization within 77 days. The SOC content (g kg−1) represents the SOC content of the tested soil sample [37].
Net N mineralization was determined on days 3, 7, 14, 25, 40, and 77. At each measurement date, mineral N was extracted from a 25 g soil sample after 1 h of shaking with 50 mL of a KCl solution (1 M), followed by filtration through Whatman’s No. 40 filter paper. The mineral N concentration in the extract was determined using the distillation and titration method according to [38].
Net N mineralization from incubated soil samples was calculated by subtracting the average mineral N content at the start of the incubation from the mineral N content measured at each measurement date. As for C, N mineralizability was determined.
-
Simulation of C and N mineralization kinetics
The C and N mineralization kinetics determined over the 77 days of incubation were fitted to a first-order kinetic exponential model to simulate the absolute (expressed per unit of soil) and specific C (expressed per unit of SOC) and N (expressed per unit of SON) mineralization. The two unknown values, the potentially mineralizable C (C0) or N (N0) and the rate constant (k), were are estimated the ‘SPSS 23.0’ package
The data from CO2 production were fitted to the following model to obtain the kinetics of SOC mineralization as follows [39]:
[Cm = C0(1 − eKt)]
where Cm represents the cumulative value of mineralized C during t days, and C0 is the potentially mineralizable C (mg of C kg−1 soil). K is the rate constant of labile pool mineralization, which is expressed in mg C kgsoil−1 days−1.
The kinetic parameters of N mineralization were obtained from the following first-order kinetic model [40]:
[Nm = N0(1 − eKt)]
where Nm is the cumulative value of mineralized N during t days. N0 represents the potentially mineralizable N (mg of N kg−1 soil), and k is the mineralization constant (or the rate constant of labile pool mineralization), expressed in mg N kg soil−1 days−1.

2.5. Plant N Content, N Uptake, N Remobilization, and N Use Efficiency

Durum wheat plants were sampled at the late tillering, heading, anthesis, and maturity stages. At each stage, five (5) samples of above-ground plant material from each treatment were taken using a 0.25 m2 quadrat, then dried in an oven at 45 °C to a constant weight. Plant N content was determined according to the Kjeldahl method, after dry samples were milled into a fine powder using a mixer–grinder. At late tillering, heading, and anthesis, N content was determined using the whole shoot, while at maturity, the shoots were separated into straw (leaves, stems, and spike chaff) and grains. Grain N yield was calculated by multiplying the grain yield by the grain N content. Straw N yield was determined by multiplying the straw yield by the straw N content [41].
N uptake (kg N ha−1) during different wheat stages was determined using the following equation [42]:
N uptake by plant = plant dry matter (kg ha−1) × plant N content (%)
The amount of N remobilized (kg N ha−1) during the grain filling period was obtained as the difference between the maximum (at anthesis) and final N content of the plant aboveground (without grain) [43].
N use efficiency includes partial factor productivity of nitrogen fertilizer (PFP N) and N utilization efficiency (NUtE). The partial factor productivity is calculated as crop yield (grain yield and straw yield) per unit of applied N fertilizer (kg) [44]. NutE (kg/kg) is the quantity of grain yield produced per kilogram of total N accumulation in aboveground plant dry matter and is calculated by dividing the grain yield (kg ha−1) by the plant N content (NT) (kg ha−1) [45].

2.6. Grain Quality Analysis

The harvested grains from each plot were accurately mixed, cleaned, and used for wheat grain quality determination. The hectoliter weight (kg L−1) was determined using a NILEMATIC tool (Tripette & Renaud Chopin, Villeneuve-La-Garenne, France). Thousand kernel weight (TKW) was determined by an analytical balance (±0.1 mg) after counting 1000 grains using a seed counting machine (Chopin Technologies, Villeneuve-la-Garenne, France). The grain protein content, wet gluten content, and vitreousness were determined by a near-infrared grain analyzer (PERTEN Inframatic 9500, USA). The grains were ground to obtain whole durum wheat flour, which was used to analyze the falling number parameter. The falling number, as an indirect measure of α-amylase activity, was determined by the Hagberg–Perten method.

2.7. Statistical Analysis

For all parameters, mean comparisons were performed using the least significant difference (LSD) method at a significance level of 0.05 using SPSS software (IBM SPSS statistics version 23). The LSD option was utilized to conduct paired t-tests for the different means between the CA and CT systems. Data concerning CO2-C evolution and inorganic N were fitted to kinetic functions using the non-linear regression program (Levenberg–Marquardt algorithm) with the SPSS software (IBM SPSS statistics version 23).

3. Results

3.1. Soil Moisture Content and C and N Mineralization

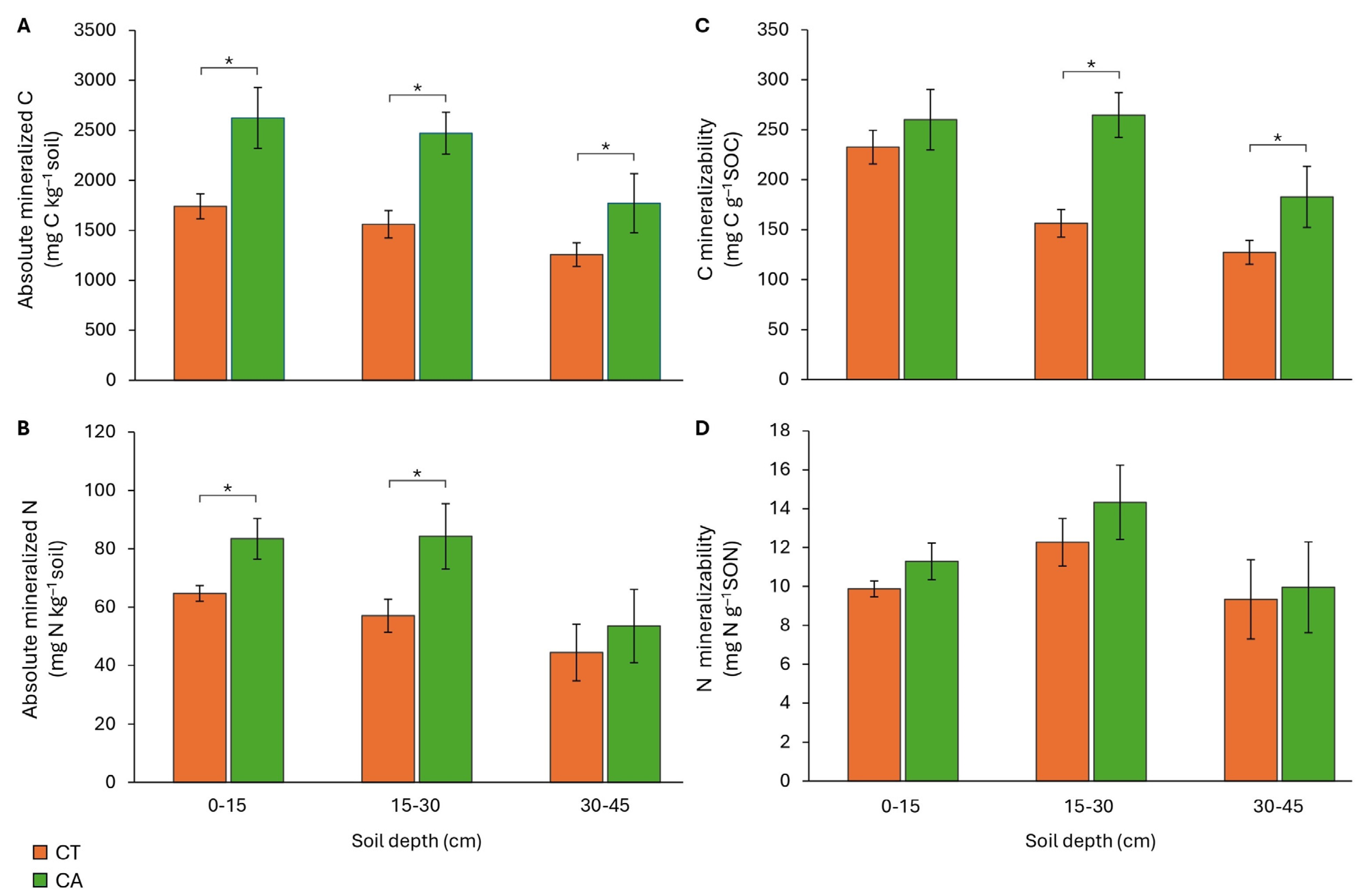
Soil moisture content, determined in different soil layers (0–15 cm; 15–30 cm; 30–45 cm) during different growth stages of durum wheat, was not significantly (p > 0.05) affected by the cropping systems (CA vs. CT) (Figure 2). However, the cumulative amount of mineralized C, expressed per unit of soil mass, after 77 days of incubation, was significantly influenced by the cropping system in all studied soil layers (0–15 cm, 15–30 cm, and 30–45 cm) (Figure 3). Soil samples from the CA system mineralized significantly more carbon than those from the CT system. Mineralized C was 50%, 58%, and 41% higher under CA compared to CT in the 0–15 cm, 15–30 cm, and 30–45 cm soil layers, respectively. SOC mineralizability at the 0–15 cm soil depth did not significantly differ between the two systems. At the 15–30 cm and 30–45 cm soil depths, the SOC mineralizability under CA was 69% and 43% higher than under CT, respectively (Figure 3).
At the end of incubation, the cumulative amounts of mineralized N expressed per unit of soil mass significantly differed between soils from the two cropping systems (CA and CT), at the top two layers (Figure 4). Soil samples from CA plots mineralized significantly more N than those from CT plots. Mineralized N in the soil from CA plots was 29% and 47% higher than in the soil from CT plots, at soil depths of 0–15 cm and 15–30 cm, respectively. The difference in SON mineralizability between the two systems was not significant at any studied soil depths.

3.2. C and N Mineralization Kinetics

The C mineralization kinetics were well simulated by the first-order kinetic model (Figure 5). The cropping systems induced significant changes in CO2 production patterns at the top two soil layers (0–15 cm and 15–30 cm) (Table 1). The absolute potential C0 values in soils from the CA system plots were 49% and 35% higher than in soils from CT system plots, respectively, at the 0–15 cm and 15–30 cm soil depths. The specific potentially C0, expressed per unit of SOC, was found to be statistically similar between the two cropping systems. The rate constants of SOC mineralization at the three soil depths did not differ significantly (p > 0.05) between the CA and CT systems, both for absolute and specific C mineralization.
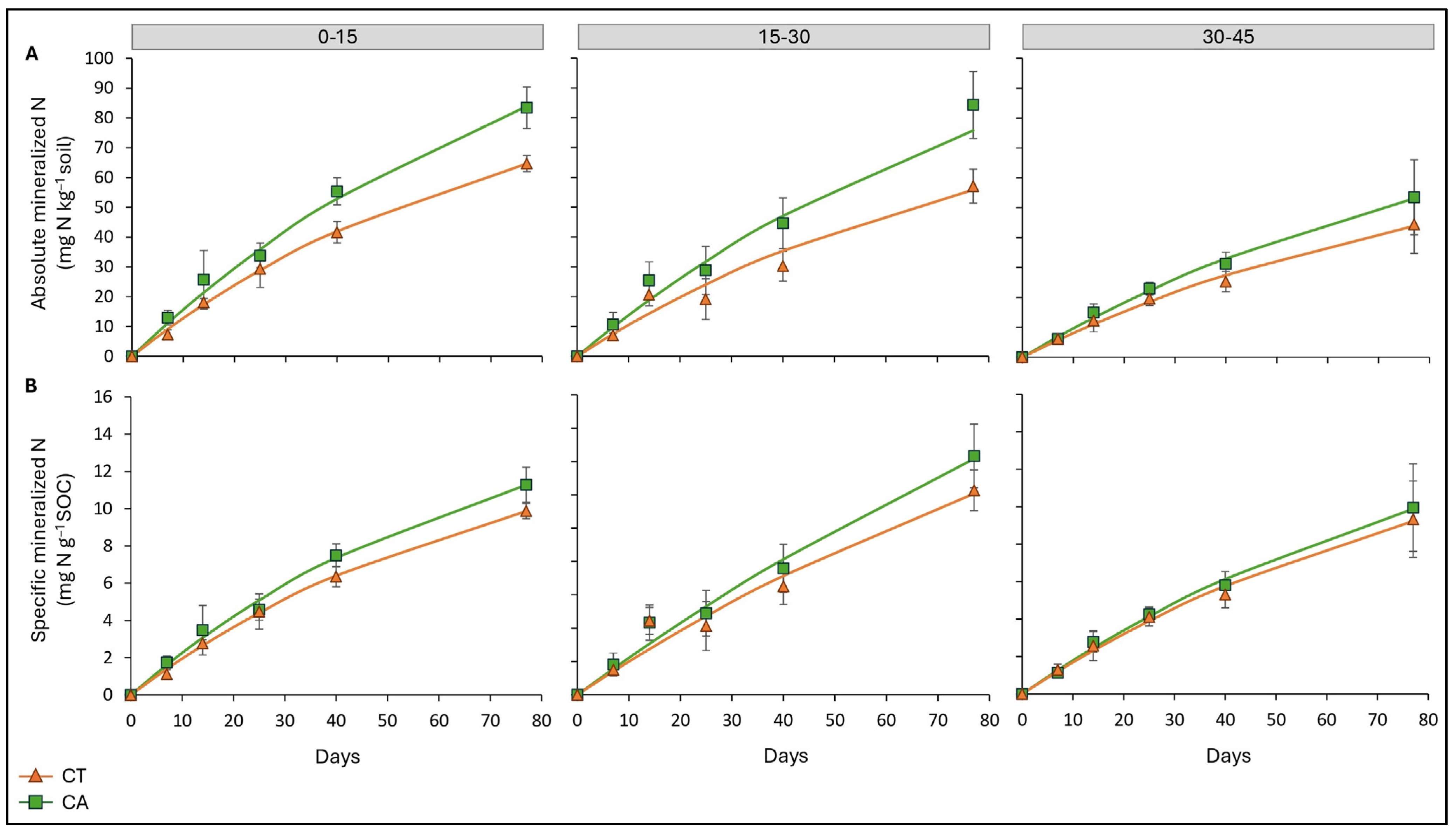
The N mineralization kinetics were well fitted by the first-order kinetic model (Figure 6). The cropping system induced significant changes in N mineralization patterns, but only at the topsoil layer (Table 2). Soil from the CA system showed the highest value of potential N0, expressed per unit of soil mass (+42.8%, compared to the CT system). However, there were no significant changes in specific potential N0 expressed per unit of SON between the two cropping systems. The rate constants of SON mineralization at the three soil depths did not differ significantly (p > 0.05) between systems, both for absolute and specific N mineralization.

3.3. N Uptake and Remobilization

Durum wheat N uptake during different growth periods, total N uptake, and N remobilization were significantly different between the CA and CT systems (Table 3). For the period between sowing and late tillering, a higher N uptake was registered under the CT system. However, from late tillering to heading and heading to anthesis, N uptake was 1.7 and 1.5 times higher under CA compared to CT, respectively. The highest N uptake under CA was shown during the period between heading and anthesis. N uptake during the period between anthesis and maturity was statistically similar between the two systems. Total N uptake was 45% higher under CA compared to CT. The amount of N remobilized during the kernel-filling phase under CA was 59% higher than under CT.

3.4. Yield, N Yield, and NUtE

The cropping system significantly affected the grain and straw yields, N yield, and the PFP N fertilizer (p ≤ 0.05) (Table 4). Adoption of the CA system resulted in a 21% and 35% higher grain and straw yield, respectively, compared to the CT system. The grain and straw N yields were 21% and 51% greater under CA than CT, respectively. The PFP N for grain yield (grain yield per unit N fertilizer) was 52.01 kg kg−1 and 42.94 kg kg−1, respectively, under the CA and CT systems. The PFP N for straw yield was 146.43 kg kg−1 and 107.93 kg kg−1, respectively, under the CA and CT systems. Thus, the CA system allows for an additional 9.07 kg of grains and 38.5 kg of straw per kg of applied N fertilizer. NUtE was not significantly (p > 0.05) affected by the cropping system (CA vs. CT).

3.5. Grain Quality

The cropping system significantly affected the wheat TKW and grain hectoliter weight (p < 0.05). The CA system resulted in a higher TKW and hectoliter weight compared to the CT system (Table 5). However, there was no significant effect (p > 0.05) of the cropping system on the protein content, wet gluten content, vitreousness, and falling number.

4. Discussion

In the present study, the effects of the CA system on soil N mineralization and uptake by wheat plants, as well as on N use efficiency, yields, and grain quality, were evaluated after 20 years of CA practices and compared to those of CT system.
The kinetics of C and N mineralization have been widely used to gain a deeper understanding of SOM pools and to predict the potentially mineralizable N status of soils [40,46]. The potential C0 and N0—the biologically active fractions of SOM—are more sensitive to land and crop management practices than total N and total organic C [47]. Results showed that, after 20 years of consistent management, soils under the CA system based on no-till had 49% and 35% higher C0 than soils under the CT system, at soil depths of 0–15 cm and 15–30 cm, respectively. Previous studies have reported that, in the short term, CA decreases C0 compared to CT; however, over time, C0 shows an increasing trend, possibly due to a gradual increase in SOC concentration [48]. Refs. [26,27] previously indicated that, following a change to no-till, CA systems based on wheat rotation reach a new SOC equilibrium 15–20 years after adoption. Once saturated, mineralization was enhanced by converting C from crop sources to mineralizable SOC, due to the cessation of SOC accumulation [49]. The results recorded from the present long-term experiment confirm these findings. Recently, [49] demonstrated that CA significantly increased C mineralization in surface soil (0–5 cm) and subsoil (>20 cm), when practiced over a long-term period (>15 years). Accordingly, [50] showed that, after 40 years, both absolute and specific C mineralized were greater under CA than CT, which was attributed to increased microbial biomass and SOC concentrations over time [48,50]. Soil microbial biomass plays a major role as a catalyst in the decomposition of soil organic matter and the release of inorganic nutrients in bulk soil, where they become available for plant uptake. The microbial biomass is the driving force behind SOM transformations and nutrient cycling in soil systems [51]. However, in the present study, all the observed differences in C mineralization are explained by a variation in SOC concentration, as the specific potentially mineralization expressed per unit of SOC was statistically similar between the CA and CT systems. The results align with estimates of CA’s potential to sequester significant amounts of carbon and to increase SOC stocks over time in semi-arid environments.
Additionally, the results revealed an increase in soil N mineralization under the CA system, relative to CT system. In the topsoil layer, N0—the fraction which measures the release of plant-available N under laboratory incubations—was 43% higher under CA than CT. Similar results were also reported by [22,52]. Regarding N mineralizability and specific N0, expressed per unit of SON, the results showed no significant difference between the CA and CT systems, suggesting that the observed differences in N mineralization may be primarily explained by a variation in SON concentration. Overall, our findings indicate that potentially mineralizable C and N were improved under the CA system as a result of a higher stock of C and N, which supports the first part of our hypothesis. Previous studies reported that the mineralization rate constant kC (the mineralization rate of labile C pool under standard conditions of temperature and moisture) was inversely related to C0 as well as kN to N0 [40]; yet, in our study, soils from the CA and CT systems did not exhibit any difference in their absolute and specific k values. Our results align with those of [53,54]. The similar specific mineralization rates suggest that the chemical and physical properties of SOM and the composition and functioning of soil microorganisms were similar between cropping systems [54,55].
Long-term CA management in the present study resulted in an improvement in wheat N uptake, N remobilization, grain and straw yields, and N yields compared to CT. Accordingly, [10] reported that, after 15 years of adoption, CA can ensure equivalent or even higher wheat yields than CT—as long as it is accompanied by a rational crop sequence, particularly when wheat is grown after a legume crop, as in the present study. In line with findings of the present study, [42] reported an improvement in N availability and uptake in maize crops during a decade of CA adoption. Similar results were also reported by [22] on corn plants after 17 years of CA management. This is probably due to the larger stock of soil N and C and higher soil N mineralization. In fact, there is evidence that the differences between the CT and CA systems in both grain yield and N uptake are attributable more to differences in the native soil mineral N (that mineralized during the vegetative phase of the crop cycle) than to differences in efficiency between systems in taking up N from fertilizer [56]. Thus, by building up a larger stock of N relative to CT, the long-term CA system makes more N available to the wheat crop, as indicated in our study by an increase in soil potential N0.
In addition to the increased soil N stock under CA, the increased crop N uptake can be attributed to improved soil water storage, which may enhance soil N availability [16]. However, in the present study, there was no significant difference between CA and CT in soil moisture at different soil layers during different wheat growth stages—which contrasts with findings from other studies [57,58]. In this study, such a result may be expected given the high rainfall registered in the field in 2019 (higher than the long-term rainfall average). Accordingly, ref. [59] previously demonstrated that the potential of CA to increase soil moisture was not evident when there was no significant drought period in the cropping season. Consequently, our results suggest that the greater N uptake in the CA system was due primarily to its greater soil N stock, rather than to differences in soil moisture between the two systems.
Furthermore, the observed CA benefit may be explained by the potential effect of long-term CA practices on root system architecture, which plays a key role in nutrient uptake. No-till practice when combined with crop rotation often promotes more extensive root growth due to the reduced soil disturbance [60]. This may enhance nutrient availability and uptake. In addition, long-term CA adoption is known to stimulate soil biodiversity, particularly through earthworm activity and mycorrhizal fungi. Earthworms improve soil structure and nutrient availability through their burrowing and casting activities, which may contribute to enhanced soil C and N mineralization rates [61]. Mycorrhizal fungi, on the other hand, form symbiotic relationships with plant roots, facilitating nutrient uptake—particularly phosphorus—and promoting overall plant health [62]. The increased microbial biomass observed in CA systems may further contribute to more efficient nutrient cycling and improve nutrient availability to plants [63]. These biotic interactions, coupled with improved soil health, could explain the greater N mineralization and plant N uptake observed in our study.
In the present study, the highest N uptake under the CA system was shown in the period from heading to anthesis, suggesting greater N availability and greater soil N mineralization during this period. This may be explained by the larger soil N stock under CA, along with the elevated temperature during this stage (23 March−15 April). In fact, temperature is a major environmental factor controlling the activity of soil microorganisms, which in turn influence N mineralization [64,65]. Ref. [66] found that, under semi-arid Mediterranean conditions, higher temperatures in the spring season led to greater mineralization of the labile fraction of SOM.
In the periods from late tillering to heading and heading to anthesis, N uptake was, respectively, 1.7 and 1.5 times higher under CA compared to CT. Higher pre-anthesis N uptake under CA compared to CT allows for greater N remobilization during grain filling, leading to higher grain yield, TKW, and hectoliter weight. Grain yield increase may be explained by the high contribution of the pre-anthesis N uptake to the number of grains per m2 [67] and the kernel weight [68]. A recent study indicated that higher grain yield is a consequence of higher N uptake at anthesis rather than at the post-anthesis stage [67]. A positive effect of the CA system on the pre-anthesis N uptake and N remobilization of durum wheat is of high concern, because this crop is primarily grown in areas where climatic conditions are mostly favorable to pre-anthesis growth. However, drought conditions may severely limit C assimilation and mineral uptake during grain filling. Thus, the reserves deposited in vegetative plant parts before anthesis may buffer grain yields when conditions during grain filling become adverse for photosynthesis and mineral uptake [68]. In the present study, the grain protein content and quality traits seem to be unaffected by the improved N uptake in CA. This may be explained by the strong negative correlation between grain protein concentration and grain yield in wheat, which makes it difficult to improve both traits simultaneously [67].
While CA systems show clear benefits in terms of improving soil health, enhancing nutrient cycling, and increasing crop yields, it is important to acknowledge the potential trade-offs associated with CA adoption, particularly for smallholder farmers. Economic constraints, lack of access to no-till equipment, and increased labor demands for weed control in the absence of tillage can limit the widespread adoption of CA [69]. Future research should focus on identifying context-specific strategies that make CA more accessible and economically viable for smallholder farmers, while also considering the potential long-term ecological benefits.

5. Conclusions

Our long-term study on the CA system based on wheat–legume rotation and no-till practice—compared to the CT system—revealed significant improvements in N mineralization, N uptake, and wheat performance. The CA system exhibited higher potentially mineralizable carbon and nitrogen, leading to increased N uptake by wheat plants and higher grain yield, without compromising grain quality. These findings highlight the benefits of CA practices in enhancing soil fertility, productivity in semi-arid environments and sustainability in agricultural systems. These findings have significant implications for farmers and agricultural policymakers in similar regions, advocating for the adoption of CA to mitigate soil degradation and enhance food security. However, its economic feasibility remains a challenge for smallholder farmers due to higher equipment costs and labor for weed control. To promote wider adoption, policymakers should support CA through accessible strategies, considering its long-term environmental benefits, such as improved soil fertility and reduced erosion.

Author Contributions

Conceptualization, H.C.M., K.S. and M.A.; Methodology, H.C.M., N.M., H.B. and M.A.; Software, W.T. and M.B.; Validation, H.C.M., N.F., W.T. and M.R.; Formal analysis, N.F., M.B. and N.M.; Investigation, N.F., M.B., N.M., M.R. and H.B.; Resources, H.C.M., H.B., K.S., A.F. and M.A.; Data curation, N.F. and N.M.; Writing—original draft, H.C.M. and N.F.; Visualization, W.T.; Supervision, K.S. and M.A.; Project administration, H.C.M. and A.F.; Funding acquisition, H.C.M. and A.F. All authors have read and agreed to the published version of the manuscript.

Funding

This research was funded by: (1) the Tunisian Ministry of Higher Education and Scientific Research through the Agronomic Sciences and Techniques Laboratory of INRAT (LR16INRAT2016); (2) the CLCA project, “Use of conservation agriculture in crop-livestock systems (CLCA) in the drylands for enhanced water use efficiency, soil fertility, and productivity in NEN and LAC countries”, managed by ICARDA and funded by IFAD (Agreement #20016); (3) the CGIAR Research Initiative on Agroecology, supported by contributors to the CGIAR Trust Fund; and (4) the PEER project, “Developing organic soil management technologies to enhance carbon capture and climate adaptability of smallholder farms in Tunisia”, funded by USAID.

Data Availability Statement

The original contributions presented in the study are included in the article, further inquiries can be directed to the corresponding author.

Acknowledgments

This work is part of the Agroecology Initiative. We would like to thank all funders who partially supported this research through their contributions to the CGIAR Trust Fund: https://www.cgiar.org/funders.

Conflicts of Interest

The authors declare no conflict of interest.

References

  1. Bhattacharjee, S.; Panja, A.; Panda, M.; Dutta, S.; Dutta, S.; Kumar, R.; Kumar, D.; Yadav, M.R.; Minkina, T.; Kalinitchenko, V.P.; et al. How Did Research on Conservation Agriculture Evolve over the Years? A Bibliometric Analysis. Sustainability 2023, 15, 2040. [Google Scholar] [CrossRef]
  2. Sithole, N.J.; Magwaza, L.S. Long-Term Changes of Soil Chemical Characteristics and Maize Yield in No-till Conservation Agriculture in a Semi-Arid Environment of South Africa. Soil Tillage Res. 2019, 194, 104317. [Google Scholar] [CrossRef]
  3. Boselli, R.; Fiorini, A.; Santelli, S.; Ardenti, F.; Capra, F.; Maris, S.C.; Tabaglio, V. Cover Crops during Transition to No-till Maintain Yield and Enhance Soil Fertility in Intensive Agro-Ecosystems. Field Crop. Res. 2020, 255, 107871. [Google Scholar] [CrossRef]
  4. Busari, M.A.; Kukal, S.S.; Kaur, A.; Bhatt, R.; Dulazi, A.A. Conservation Tillage Impacts on Soil, Crop and the Environment. Int. Soil Water Conserv. Res. 2015, 3, 119–129. [Google Scholar] [CrossRef]
  5. Stagnari, F.; Galieni, A.; Speca, S.; Cafiero, G.; Pisante, M. Effects of Straw Mulch on Growth and Yield of Durum Wheat during Transition to Conservation Agriculture in Mediterranean Environment. Field Crop. Res. 2014, 167, 51–63. [Google Scholar] [CrossRef]
  6. Santillán, D.; Garrote, L.; Iglesias, A.; Sotes, V. Climate Change Risks and Adaptation: New Indicators for Mediterranean Viticulture. Mitig. Adapt. Strateg. Glob. Chang. 2020, 25, 881–899. [Google Scholar] [CrossRef]
  7. Cramer, W.; Guiot, J.; Fader, M.; Garrabou, J.; Gattuso, J.P.; Iglesias, A.; Lange, M.A.; Lionello, P.; Llasat, M.C.; Paz, S.; et al. Climate Change and Interconnected Risks to Sustainable Development in the Mediterranean. Nat. Clim. Chang. 2018, 8, 972–980. [Google Scholar] [CrossRef]
  8. Malhi, G.S.; Kaur, M.; Kaushik, P. Impact of Climate Change on Agriculture and Its Mitigation Strategies: A Review. Sustainability 2021, 13, 1318. [Google Scholar] [CrossRef]
  9. Ingraffia, R.; Lo Porto, A.; Ruisi, P.; Amato, G.; Giambalvo, D.; Frenda, A.S. Conventional Tillage versus No-Tillage: Nitrogen Use Efficiency Component Analysis of Contrasting Durum Wheat Genotypes Grown in a Mediterranean Environment. Field Crop. Res. 2023, 296, 108904. [Google Scholar] [CrossRef]
  10. Ruisi, P.; Saia, S.; Badagliacca, G.; Amato, G.; Frenda, A.S.; Giambalvo, D.; Di Miceli, G. Long-Term Effects of No Tillage Treatment on Soil N Availability, N Uptake, and 15N-Fertilizer Recovery of Durum Wheat Differ in Relation to Crop Sequence. Field Crop. Res. 2016, 189, 51–58. [Google Scholar] [CrossRef]
  11. Yang, H.; Wu, G.; Mo, P.; Chen, S.; Wang, S.; Xiao, Y.; Ma, H.A.; Wen, T.; Guo, X.; Fan, G. The Combined Effects of Maize Straw Mulch and No-Tillage on Grain Yield and Water and Nitrogen Use Efficiency of Dry-Land Winter Wheat (Triticum aestivum L.). Soil Tillage Res. 2020, 197, 104485. [Google Scholar] [CrossRef]
  12. Li, Z.; Zeng, Z.; Tian, D.; Wang, J.; Wang, B.; Chen, H.Y.H.; Quan, Q.; Chen, W.; Yang, J.; Meng, C.; et al. Global Variations and Controlling Factors of Soil Nitrogen Turnover Rate. Earth-Sci. Rev. 2020, 207, 103250. [Google Scholar] [CrossRef]
  13. Yuan, L.; Liu, Y.; He, H.; Zhu, T.; Chen, X.; Zhang, X.; Liang, C.; Xie, H.; Zhang, J.; Müller, C.; et al. Effects of Long-Term No-Tillage and Maize Straw Mulching on Gross Nitrogen Transformations in Mollisols of Northeast China. Geoderma 2022, 428, 116194. [Google Scholar] [CrossRef]
  14. Al-Kaisi, M.M.; Yin, X.; Licht, M.A. Soil Carbon and Nitrogen Changes as Affected by Tillage System and Crop Biomass in a Corn-Soybean Rotation. Appl. Soil Ecol. 2005, 30, 174–191. [Google Scholar] [CrossRef]
  15. Kristensen, H.L.; Debosz, K.; McCarty, G.W. Short-Term Effects of Tillage on Mineralization of Nitrogen and Carbon in Soil. Soil Biol. Biochem. 2003, 35, 979–986. [Google Scholar] [CrossRef]
  16. Sapkota, T.B. Conservation Tillage Impact on Soil Aggregation, Organic Matter Turnover and Biodiversity. In Organic Fertilisation, Soil Quality and Human Health; Springer: Dordrecht, The Netherlands, 2012. [Google Scholar]
  17. Chabert, A.; Sarthou, J.P. Conservation Agriculture as a Promising Trade-off between Conventional and Organic Agriculture in Bundling Ecosystem Services. Agric. Ecosyst. Environ. 2020, 292, 106815. [Google Scholar] [CrossRef]
  18. dos Reis Ferreira, C.; da Silva Neto, E.C.; Pereira, M.G.; do Nascimento Guedes, J.; Rosset, J.S.; dos Anjos, L.H.C. Dynamics of Soil Aggregation and Organic Carbon Fractions over 23 Years of No-till Management. Soil Tillage Res. 2020, 198, 104533. [Google Scholar] [CrossRef]
  19. Kan, Z.R.; Liu, Q.Y.; Virk, A.L.; He, C.; Qi, J.Y.; Dang, Y.P.; Zhao, X.; Zhang, H.L. Effects of Experiment Duration on Carbon Mineralization and Accumulation under No-Till. Soil Tillage Res. 2021, 209, 104939. [Google Scholar] [CrossRef]
  20. Li, Y.; Li, Z.; Chang, S.X.; Cui, S.; Jagadamma, S.; Zhang, Q.; Cai, Y. Residue Retention Promotes Soil Carbon Accumulation in Minimum Tillage Systems: Implications for Conservation Agriculture. Sci. Total Environ. 2020, 740, 140147. [Google Scholar] [CrossRef]
  21. Zhang, X.; Shen, S.; Xue, S.; Hu, Y.; Wang, X. Long-Term Tillage and Cropping Systems Affect Soil Organic Carbon Components and Mineralization in Aggregates in Semiarid Regions. Soil Tillage Res. 2023, 231, 105742. [Google Scholar] [CrossRef]
  22. Pecci Canisares, L.; Grove, J.; Miguez, F.; Poffenbarger, H. Long-Term No-till Increases Soil Nitrogen Mineralization but Does Not Affect Optimal Corn Nitrogen Fertilization Practices Relative to Inversion Tillage. Soil Tillage Res. 2021, 213, 105080. [Google Scholar] [CrossRef]
  23. Verachtert, E.; Govaerts, B.; Lichter, K.; Sayre, K.D.; Ceballos-Ramirez, J.M.; Luna-Guido, M.L.; Deckers, J.; Dendooven, L. Short Term Changes in Dynamics of C and N in Soil When Crops Are Cultivated on Permanent Raised Beds. Plant Soil 2009, 320, 281–293. [Google Scholar] [CrossRef]
  24. Pittelkow, C.M.; Linquist, B.A.; Lundy, M.E.; Liang, X.; van Groenigen, K.J.; Lee, J.; van Gestel, N.; Six, J.; Venterea, R.T.; van Kessel, C. When Does No-till Yield More? A Global Meta-Analysis. Field Crop. Res. 2015, 183, 156–168. [Google Scholar] [CrossRef]
  25. Rice, C.W.; Smith, M.S.; Blevins, R.L. Soil Nitrogen Availability after Long-Term Continuous No-Tillage and Conventional Tillage Corn Production. Soil Sci. Soc. Am. J. 1986, 50, 1206–1210. [Google Scholar] [CrossRef]
  26. Baker, C.; Justice, S.; Saxton, K.; Hobbs, P.; Ritchie, W.; Chamen, W.; Reicosky, D.; Ribeiro, F. No Tillage Seeding in Conservation Agriculture; CABI Digital Library: Wallingford, UK, 2006; ISBN 978-1-84593-116-235. Available online: https://www.cabidigitallibrary.org/doi/book/10.1079/9781845931162.0000 (accessed on 20 September 2024).
  27. Francaviglia, R.; Almagro, M.; Vicente-Vicente, J.L. Conservation Agriculture and Soil Organic Carbon: Principles, Processes, Practices and Policy Options. Soil Syst. 2023, 7, 17. [Google Scholar] [CrossRef]
  28. Grahmann, K.; Verhulst, N.; Buerkert, A.; Ortiz-Monasterio, I.; Govaerts, B. Nitrogen Use Efficiency and Optimization of Nitrogen Fertilization in Conservation Agriculture. CAB Rev. Perspect. Agric. Vet. Sci. Nutr. Nat. Resour. 2013, 8, 1–19. [Google Scholar] [CrossRef]
  29. Jacobsen, S.E.; Jensen, C.R.; Liu, F. Improving Crop Production in the Arid Mediterranean Climate. Field Crop. Res. 2012, 128, 34–47. [Google Scholar] [CrossRef]
  30. Pampana, S.; Mariotti, M. Durum Wheat Yield and N Uptake as Affected by N Source, Timing, and Rate in Two Mediterranean Environments. Agronomy 2021, 11, 1299. [Google Scholar] [CrossRef]
  31. Campiglia, E.; Mancinelli, R.; De Stefanis, E.; Pucciarmati, S.; Radicetti, E. The Long-Term Effects of Conventional and Organic Cropping Systems, Tillage Managements and Weather Conditions on Yield and Grain Quality of Durum Wheat (Triticum durum Desf.) in the Mediterranean Environment of Central Italy. Field Crop. Res. 2015, 176, 34–44. [Google Scholar] [CrossRef]
  32. Ierna, A.; Lombardo, G.M.; Mauromicale, G. Yield, nitrogen use efficiency and grain quality in durum wheat as affected by nitrogen fertilization under A mediterranean environment. Exp. Agric. 2016, 52, 314–329. [Google Scholar] [CrossRef]
  33. Galieni, A.; Stagnari, F.; Visioli, G.; Marmiroli, N.; Speca, S.; Angelozzi, G.; D’Egidio, S.; Pisante, M. Nitrogen Fertilisation of Durum Wheat: A Case of Study in Mediterranean Area during Transition to Conservation Agriculture. Ital. J. Agron. 2016, 11, 12–23. [Google Scholar] [CrossRef]
  34. Sleutel, S.; De Neve, S.; Singier, B.; Hofman, G. Quantification of Organic Carbon in Soils: A Comparison of Methodologies and Assessment of the Carbon Content of Organic Matter. Commun. Soil Sci. Plant Anal. 2007, 38, 2647–2657. [Google Scholar] [CrossRef]
  35. Kjeldahl, C. A New Method for the Determination of Nitrogen in Organic Matter. Z. Anal. Chem. 1883, 22, 366. [Google Scholar] [CrossRef]
  36. Das, S.; Richards, B.K.; Hanley, K.L.; Krounbi, L.; Walter, M.F.; Walter, M.T.; Steenhuis, T.S.; Lehmann, J. Lower Mineralizability of Soil Carbon with Higher Legacy Soil Moisture. Soil Biol. Biochem. 2019, 130, 94–104. [Google Scholar] [CrossRef]
  37. Qi, J.Y.; Jing, Z.H.; He, C.; Liu, Q.Y.; Wang, X.; Kan, Z.R.; Zhao, X.; Xiao, X.P.; Zhang, H.L. Effects of Tillage Management on Soil Carbon Decomposition and Its Relationship with Soil Chemistry Properties in Rice Paddy Fields. J. Environ. Manag. 2021, 279, 111595. [Google Scholar] [CrossRef]
  38. Keeney, D.R.; Nelson, D.W. Nitrogen—Inorganic Forms. In Methods of Soil Analysis, Part 2: Chemical and Microbiological Properties 1982; Page, A.L., Miller, R.H., Keeney, D.R., Eds.; Wiley: New York, NY, USA, 1982. [Google Scholar]
  39. Riffaldi, R.; Saviozzi, A.; Levi-Minzi, R. Carbon Mineralization Kinetics as Influenced by Soil Properties. Biol. Fertil. Soils 1996, 22, 293–298. [Google Scholar] [CrossRef]
  40. Marinari, S.; Lagomarsino, A.; Moscatelli, M.C.; Di Tizio, A.; Campiglia, E. Soil Carbon and Nitrogen Mineralization Kinetics in Organic and Conventional Three-Year Cropping Systems. Soil Tillage Res. 2010, 109, 161–168. [Google Scholar] [CrossRef]
  41. Ottman, M.J.; Doerge, T.A.; Martin, E.C. Durum Grain Quality as Affected by Nitrogen Fertilization near Anthesis and Irrigation during Grain Fill. Agron. J. 2000, 92, 1035–1041. [Google Scholar] [CrossRef]
  42. Nayak, H.S.; Parihar, C.M.; Mandal, B.N.; Patra, K.; Jat, S.L.; Singh, R.; Singh, V.K.; Jat, M.L.; Garnaik, S.; Nayak, J.; et al. Point Placement of Late Vegetative Stage Nitrogen Splits Increase the Productivity, N-Use Efficiency and Profitability of Tropical Maize under Decade Long Conservation Agriculture. Eur. J. Agron. 2022, 133, 126417. [Google Scholar] [CrossRef]
  43. Cox, M.C.; Qualset, C.O.; Rains, D.W. Genetic Variation for Nitrogen Assimilation and Translocation in Wheat. I. Dry Matter and Nitrogen Accumulation 1. Crop Sci. 1985, 25, 430–435. [Google Scholar] [CrossRef]
  44. Dobermann, A.R. Nitrogen Use Efficiency—State of the Art; University of Nebraska: Lincoln, NE, USA, 2005. [Google Scholar]
  45. Allart, K.; Almoussawi, A.; Kerbey, L.; Catterou, M.; Roger, D.; Mortier, D.; Blanc, E.; Robert, B.; Spicher, F.; Emery, L.; et al. Splitting Nitrogen Fertilization Is More Important than Nitrogen Level When Mixed Wheat Varieties Are Cultivated in a Conservation Agriculture System. Agronomy 2023, 13, 1295. [Google Scholar] [CrossRef]
  46. Rakesh, S.; Sarkar, D.; Sinha, A.K.; Shikha; Mukhopadhyay, P.; Danish, S.; Fahad, S.; Datta, R. Carbon Mineralization Rates and Kinetics of Surface-Applied and Incorporated Rice and Maize Residues in Entisol and Inceptisol Soil Types. Sustainability 2021, 13, 7212. [Google Scholar] [CrossRef]
  47. Sahoo, S.K.; Mishra, K.N.; Panda, N.; Sethi, D.; Dey, P. Carbon and Nitrogen Mineralization Kinetics in Soil Under Differential Nutrient Management Regimes in Inceptisols of Coastal India. Commun. Soil Sci. Plant Anal. 2023, 54, 2782–2799. [Google Scholar] [CrossRef]
  48. Kan, Z.R.; Virk, A.L.; He, C.; Liu, Q.Y.; Qi, J.Y.; Dang, Y.P.; Zhao, X.; Zhang, H.L. Characteristics of Carbon Mineralization and Accumulation under Long-Term Conservation Tillage. CATENA 2020, 193, 104636. [Google Scholar] [CrossRef]
  49. He, C.; Chen, Z.; Qiu, K.Y.; Chen, J.S.; Bohoussou, Y.N.D.; Dang, Y.P.; Zhang, H.L. Effects of Conservation Agriculture on Carbon Mineralization: A Global Meta-Analysis. Soil Tillage Res. 2023, 229, 105685. [Google Scholar] [CrossRef]
  50. Dimassi, B.; Mary, B.; Fontaine, S.; Perveen, N.; Revaillot, S.; Cohan, J.P. Effect of Nutrients Availability and Long-Term Tillage on Priming Effect and Soil C Mineralization. Soil Biol. Biochem. 2014, 78, 332–339. [Google Scholar] [CrossRef]
  51. Smith, J.L. Cycling of Nitrogen through Microbial Activity. In Soil Biology: Effects on Soil Quality; CRC Press: Boca Raton, FL, USA, 2018. [Google Scholar]
  52. Mahal, N.K.; Castellano, M.J.; Miguez, F.E. Conservation Agriculture Practices Increase Potentially Mineralizable Nitrogen: A Meta-Analysis. Soil Sci. Soc. Am. J. 2018, 82, 1270–1278. [Google Scholar] [CrossRef]
  53. Gómez-Rey, M.X.; Couto-Vázquez, A.; González-Prieto, S.J. Nitrogen Transformation Rates and Nutrient Availability under Conventional Plough and Conservation Tillage. Soil Tillage Res. 2012, 124, 144–152. [Google Scholar] [CrossRef]
  54. Autret, B.; Guillier, H.; Pouteau, V.; Mary, B.; Chenu, C. Similar Specific Mineralization Rates of Organic Carbon and Nitrogen in Incubated Soils under Contrasted Arable Cropping Systems. Soil Tillage Res. 2020, 204, 104712. [Google Scholar] [CrossRef]
  55. Cannell, M.G.R.; Thornley, J.H.M. Ecosystem Productivity Is Independent of Some Soil Properties at Equilibrium. Plant Soil 2003, 257, 193–204. [Google Scholar] [CrossRef]
  56. Giambalvo, D.; Amato, G.; Badagliacca, G.; Ingraffia, R.; Di Miceli, G.; Frenda, A.S.; Plaia, A.; Venezia, G.; Ruisi, P. Switching from Conventional Tillage to No-Tillage: Soil N Availability, N Uptake, 15N Fertilizer Recovery, and Grain Yield of Durum Wheat. Field Crop. Res. 2018, 218, 171–181. [Google Scholar] [CrossRef]
  57. Abdallah, A.M.; Jat, H.S.; Choudhary, M.; Abdelaty, E.F.; Sharma, P.C.; Jat, M.L. Conservation Agriculture Effects on Soil Water Holding Capacity and Water-Saving Varied with Management Practices and Agroecological Conditions: A Review. Agronomy 2021, 11, 1681. [Google Scholar] [CrossRef]
  58. Zhang, Q.; Wang, S.; Sun, Y.; Zhang, Y.; Li, H.; Liu, P.; Wang, X.; Wang, R.; Li, J. Conservation Tillage Improves Soil Water Storage, Spring Maize (Zea mays L.) Yield and WUE in Two Types of Seasonal Rainfall Distributions. Soil Tillage Res. 2022, 215, 105237. [Google Scholar] [CrossRef]
  59. Thierfelder, C.; Wall, P.C. Effects of Conservation Agriculture Techniques on Infiltration and Soil Water Content in Zambia and Zimbabwe. Soil Tillage Res. 2009, 105, 217–227. [Google Scholar] [CrossRef]
  60. Fiorini, A.; Boselli, R.; Amaducci, S.; Tabaglio, V. Effects of No-till on Root Architecture and Root-Soil Interactions in a Three-Year Crop Rotation. Eur. J. Agron. 2018, 99, 156–166. [Google Scholar] [CrossRef]
  61. Blouin, M.; Hodson, M.E.; Delgado, E.A.; Baker, G.; Brussaard, L.; Butt, K.R.; Dai, J.; Dendooven, L.; Peres, G.; Tondoh, J.E.; et al. A Review of Earthworm Impact on Soil Function and Ecosystem Services. Eur. J. Soil Sci. 2013, 64, 161–182. [Google Scholar] [CrossRef]
  62. Säle, V.; Aguilera, P.; Laczko, E.; Mäder, P.; Berner, A.; Zihlmann, U.; van der Heijden, M.G.A.; Oehl, F. Impact of Conservation Tillage and Organic Farming on the Diversity Ofarbuscular Mycorrhizal Fungi. Soil Biol. Biochem. 2015, 84, 38–52. [Google Scholar] [CrossRef]
  63. Li, Y.; Chang, S.X.; Tian, L.; Zhang, Q. Conservation Agriculture Practices Increase Soil Microbial Biomass Carbon and Nitrogen in Agricultural Soils: A Global Meta-Analysis. Soil Biol. Biochem. 2018, 121, 50–58. [Google Scholar] [CrossRef]
  64. Hu, R.; Wang, X.P.; Pan, Y.X.; Zhang, Y.F.; Zhang, H. The Response Mechanisms of Soil N Mineralization under Biological Soil Crusts to Temperature and Moisture in Temperate Desert Regions. Eur. J. Soil Biol. 2014, 62, 66–73. [Google Scholar] [CrossRef]
  65. Lei, L.; McDonald, L.M. Soil Moisture and Temperature Effects on Nitrogen Mineralization in a High Tunnel Farming System. Commun. Soil Sci. Plant Anal. 2019, 50, 2140–2150. [Google Scholar] [CrossRef]
  66. Madejón, E.; Moreno, F.; Murillo, J.M.; Pelegrín, F. Soil Biochemical Response to Long-Term Conservation Tillage under Semi-Arid Mediterranean Conditions. Soil Tillage Res. 2007, 94, 346–352. [Google Scholar] [CrossRef]
  67. Sharma, S.; Kumar, T.; Foulkes, M.J.; Orford, S.; Singh, A.M.; Wingen, L.U.; Karnam, V.; Nair, L.S.; Mandal, P.K.; Griffiths, S.; et al. Nitrogen Uptake and Remobilization from Pre- and Post-Anthesis Stages Contribute towards Grain Yield and Grain Protein Concentration in Wheat Grown in Limited Nitrogen Conditions. CABI Agric. Biosci. 2023, 4, 1–20. [Google Scholar] [CrossRef] [PubMed]
  68. Arduini, I.; Masoni, A.; Ercoli, L.; Mariotti, M. Grain Yield, and Dry Matter and Nitrogen Accumulation and Remobilization in Durum Wheat as Affected by Variety and Seeding Rate. Eur. J. Agron. 2006, 25, 309–318. [Google Scholar] [CrossRef]
  69. Kassam, A.; Friedrich, T.; Derpsch, R. Global Spread of Conservation Agriculture. Int. J. Environ. Stud. 2019, 76, 29–51. [Google Scholar] [CrossRef]
Figure 1. Map of the experimental area.
Figure 1. Map of the experimental area.
Agronomy 14 02782 g001
Figure 2. Minimum, maximum, and average temperatures during the 2018–2019 cropping season; monthly precipitation during the 2018–2019 cropping season; average monthly long-term rainfall (1999–2019) in the El-Alia region of the El Krib delegation.
Figure 2. Minimum, maximum, and average temperatures during the 2018–2019 cropping season; monthly precipitation during the 2018–2019 cropping season; average monthly long-term rainfall (1999–2019) in the El-Alia region of the El Krib delegation.
Agronomy 14 02782 g002
Figure 3. Soil moisture content in different soil layers during different wheat growth stages under CT and CA systems. DAS: days after sowing. Bars indicate standard error (n = 5).
Figure 3. Soil moisture content in different soil layers during different wheat growth stages under CT and CA systems. DAS: days after sowing. Bars indicate standard error (n = 5).
Agronomy 14 02782 g003
Figure 4. Soil C and N mineralized at the last day of incubation (day 77) (A,B), and SOC and SON mineralizability (C,D) in different soil layers, under CT and CA, respectively. Bars represent the standard deviations. Asterisk “*” indication significant differences (p < 0.05).
Figure 4. Soil C and N mineralized at the last day of incubation (day 77) (A,B), and SOC and SON mineralizability (C,D) in different soil layers, under CT and CA, respectively. Bars represent the standard deviations. Asterisk “*” indication significant differences (p < 0.05).
Agronomy 14 02782 g004
Figure 5. C mineralization kinetics in different soil layers per kg of soil (A) and per g of SOC (B) under CT and CA systems. Dots are observed values and full lines represent the fitted curves of C mineralization. Bars indicate standard error (n = 5).
Figure 5. C mineralization kinetics in different soil layers per kg of soil (A) and per g of SOC (B) under CT and CA systems. Dots are observed values and full lines represent the fitted curves of C mineralization. Bars indicate standard error (n = 5).
Agronomy 14 02782 g005
Figure 6. N mineralization kinetics in different soil layers per kg of soil (A) and per g of SON (B) under CT and CA systems. Dots are observed values and full lines represent the fitted curves of C mineralization. Bars indicate standard error (n = 5).
Figure 6. N mineralization kinetics in different soil layers per kg of soil (A) and per g of SON (B) under CT and CA systems. Dots are observed values and full lines represent the fitted curves of C mineralization. Bars indicate standard error (n = 5).
Agronomy 14 02782 g006
Table 1. Carbon mineralization kinetic parameters in each layer of soil samples under CA and CT.
Table 1. Carbon mineralization kinetic parameters in each layer of soil samples under CA and CT.
Soil Layer (cm)Cropping SystemAbsolute C MineralizationSpecific C Mineralization
(per Unit of SOC)
C0 (mg C kgsoil−1)k (mg C kgsoil−1 d−1)C0 (mg C gSOC−1)k (mg C gSOC−1 d−1)
0–15CA3649 ± 421.77 a0.016 ± 0.003 a361.63 ± 41.79 a0.016 ± 0.003 a
CT2450 ± 272.44 b0.016 ± 0.003 a327.54 ± 36.41 a0.016 ± 0.003 a
15–30CA3330 ± 266.31 a0.017 ± 0.002 a356.58 ± 28.51 a0.017 ± 0.002 a
CT2437 ± 337.36 b0.013 ± 0.003 a244.34 ± 33.82 b0.013 ± 0.003 a
30–45CA2987 ± 629.27 a0.011 ± 0.003 a308.4 ± 64.94 a0.011 ± 0.003 a
CT2336 ± 649.28 a0.01 ± 0.004 a236.95 ± 65.82 a0.010 ± 0.002 a
C0: potentially mineralizable carbon; k: first-order rate constant of carbon mineralization. Letters indicate significant differences in each layer between the two cropping systems (p < 0.05).
Table 2. Nitrogen mineralization kinetic parameters in each layer of soil samples under CA and CT.
Table 2. Nitrogen mineralization kinetic parameters in each layer of soil samples under CA and CT.
Soil Layer (cm)Cropping SystemAbsolute N MineralizationSpecific N Mineralization
(per Unit of SON)
N0 (mg N kgsoil−1)k (mg N kgsoil−1 d−1)N0 (mg N gSON−1)k (mg N gSON−1 d−1)
0–15CA141.23 ± 19.49 a0.012 ± 0.002 a16.88 ± 2.49 a0.014 ± 0.003 a
CT98.86 ± 10.88 b0.014± 0.002 a15.08 ± 1.66 a0.014 ± 0.002 a
15–30CA134.36 ± 36 a0.011 ± 0.004 a39.57 ± 24.2 a0.006 ± 0.004 a
CT92.48 ± 22.5 a0.012 ± 0.004 a27.39 ± 13.45 a0.008 ± 0.005 a
30–45CA94.59± 29.41 a0.011 ± 0.005 a17.59 ± 5.47 a0.011 ± 0.005 a
CT76.33 ± 22.88 a0.011 ± 0.005 a16.03 ± 4.8 a0.011 ± 0.005 a
N0: potentially mineralizable nitrogen; k: first-order rate constant of nitrogen mineralization. Letters indicate significant differences in each layer between the two cropping systems (p < 0.05).
Table 3. N uptake during different growth periods and N remobilization of durum wheat under CA and CT.
Table 3. N uptake during different growth periods and N remobilization of durum wheat under CA and CT.
Cropping SystemN Uptake (kg N ha−1)N Remobilization (kg N ha−1)
Sowing to Late TilleringLate Tillering to HeadingHeading to AnthesisAnthesis to MaturityTotal
CA51.15 ± 5.84 b56.67 ± 10.06 a69 ± 11.2 a40.88 ± 7.42 a217.72 ± 10.65 a53.51 ± 9.1 a
CT67.59 ± 6.69 a20.67 ± 7.62 b27.73 ± 4.46 b33.21 ± 15.85 a149.82 ± 11.13 b33.61 ± 10.75 b
Letters indicate significant differences between the two cropping systems (p < 0.05).
Table 4. Grain and straw yield, N yield, and NUtE of durum wheat under CA and CT.
Table 4. Grain and straw yield, N yield, and NUtE of durum wheat under CA and CT.
Cropping SystemYield (kg ha−1)N Yield (kg N ha−1)NUtE
GrainStrawGrainStrawPFP N Grain
(kg kg−1)
PFP N Straw
(kg kg−1)
NUtE
(kg kg−1)
CA4369 ± 305.2 a12,299 ± 600.9 a94.4 ± 6.97 a123.32 ± 7.58 a52.01 ± 3.63 a146.43 ± 7.15 a46.3 ± 0.41 a
CT3607.1 ± 243.7 b9065.9 ± 280.2 b77.75 ± 4.87 b72.09 ± 9.16 b42.94 ± 2.9 b107.93 ± 3.33 b46.39 ± 0.5 a
PFP N grain: partial factor productivity of nitrogen for grain yield. PFP N straw: partial factor productivity of nitrogen for straw yield. Letters indicate significant differences between the two cropping systems (p < 0.05).
Table 5. The hectoliter weight, TWK, protein content, wet gluten content, vitreousness, and falling number in durum wheat grain under CA and CT.
Table 5. The hectoliter weight, TWK, protein content, wet gluten content, vitreousness, and falling number in durum wheat grain under CA and CT.
Cropping SystemHectoliter Weight (kg h L−1)TKW (g)Protein Content (%/dw)Wet Gluten Content (%/dw)Vitreousness (%)Falling Number (s)
CA81.1 a52.10 a13.5 a25.85 a83.25 a363.75 a
CT80.6 b48.59 b13.47 a25.87 a81.75 a380.5 a
Letters indicate significant differences between the two cropping systems (p < 0.05).
Disclaimer/Publisher’s Note: The statements, opinions and data contained in all publications are solely those of the individual author(s) and contributor(s) and not of MDPI and/or the editor(s). MDPI and/or the editor(s) disclaim responsibility for any injury to people or property resulting from any ideas, methods, instructions or products referred to in the content.

Share and Cite

MDPI and ACS Style

Cheikh M’hamed, H.; Ferchichi, N.; Toukabri, W.; Barbouchi, M.; Moujahed, N.; Rezgui, M.; Bahri, H.; Sassi, K.; Frija, A.; Annabi, M. Conservation Agriculture Boosts Soil Health, Wheat Yield, and Nitrogen Use Efficiency After Two Decades of Practice in Semi-Arid Tunisia. Agronomy 2024, 14, 2782. https://doi.org/10.3390/agronomy14122782

AMA Style

Cheikh M’hamed H, Ferchichi N, Toukabri W, Barbouchi M, Moujahed N, Rezgui M, Bahri H, Sassi K, Frija A, Annabi M. Conservation Agriculture Boosts Soil Health, Wheat Yield, and Nitrogen Use Efficiency After Two Decades of Practice in Semi-Arid Tunisia. Agronomy. 2024; 14(12):2782. https://doi.org/10.3390/agronomy14122782

Chicago/Turabian Style

Cheikh M’hamed, Hatem, Nouha Ferchichi, Wael Toukabri, Meriem Barbouchi, Nawel Moujahed, Mohsen Rezgui, Haithem Bahri, Khaled Sassi, Aymen Frija, and Mohamed Annabi. 2024. "Conservation Agriculture Boosts Soil Health, Wheat Yield, and Nitrogen Use Efficiency After Two Decades of Practice in Semi-Arid Tunisia" Agronomy 14, no. 12: 2782. https://doi.org/10.3390/agronomy14122782

APA Style

Cheikh M’hamed, H., Ferchichi, N., Toukabri, W., Barbouchi, M., Moujahed, N., Rezgui, M., Bahri, H., Sassi, K., Frija, A., & Annabi, M. (2024). Conservation Agriculture Boosts Soil Health, Wheat Yield, and Nitrogen Use Efficiency After Two Decades of Practice in Semi-Arid Tunisia. Agronomy, 14(12), 2782. https://doi.org/10.3390/agronomy14122782

Note that from the first issue of 2016, this journal uses article numbers instead of page numbers. See further details here.

Article Metrics

Back to TopTop