Spatial Variation and Stock Estimation of Soil Organic Carbon in Cropland in the Black Soil Region of Northeast China
Abstract
1. Introduction
2. Materials and Methods
2.1. Study Area and Sampling
2.1.1. Study Area
2.1.2. Soil Sampling and Preconditioning
2.2. Environmental Variables
2.2.1. Natural Factors
2.2.2. Cropping and Management Factors
2.2.3. Landscape Metrics
2.3. Modelling Methodology
2.4. Environmental Variable Analyses for SOC
2.4.1. Stepwise Regression Model
2.4.2. Structure Equation Modeling
2.5. Estimation of SOC Stocks and Sequestration Potential
3. Results and Discussion
3.1. Descriptive Statistic
3.2. Environment Variables
3.2.1. Natural Factors Analyses
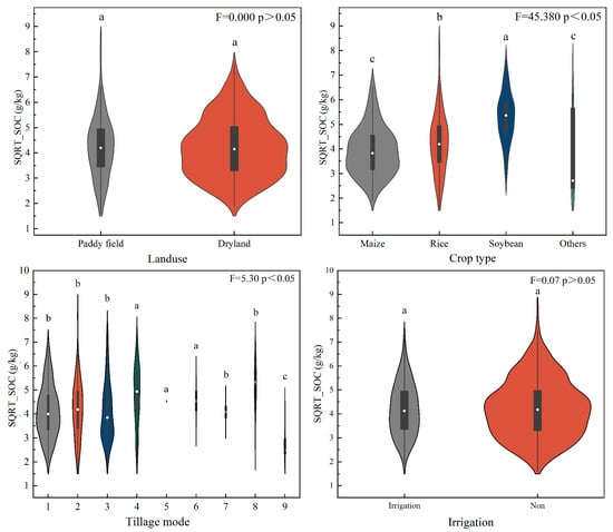
3.2.2. Cropping and Management Factors Analyses
3.2.3. Landscape Metrics Analyses
3.3. Spatial Distribution of Predicted SOC
3.3.1. Model Performance
3.3.2. Spatial Distribution of SOC
3.4. Environmental Variable Analyses for SOC
3.4.1. Stepwise Regression Model Analyses
3.4.2. Structure Equation Modeling Analyses
3.5. Stock and Sequestration Potential of SOC
3.5.1. Spatial Distribution of Predicted SOCD
3.5.2. Assessment of SOCsp of Cropland
4. Conclusions
Supplementary Materials
Author Contributions
Funding
Data Availability Statement
Conflicts of Interest
References
- Schlesinger, W.H. On fertilizer-induced soil carbon sequestration in China’s croplands. Glob. Change Biol. 2010, 16, 849–850. [Google Scholar] [CrossRef]
- Qin, Z.C.; Huang, Y.; Zhuang, Q.L. Soil organic carbon sequestration potential of cropland in China. Glob. Biogeochem. Cycles 2013, 27, 711–722. [Google Scholar] [CrossRef]
- Lal, R. Soil carbon sequestration impacts on global climate change and food security. Science 2004, 304, 1623–1627. [Google Scholar] [CrossRef]
- Bangroo, S.A.; Najar, G.R.; Rasool, A. Effect of altitude and aspect on soil organic carbon and nitrogen stocks in the Himalayan Mawer Forest Range. Catena 2017, 158, 63–68. [Google Scholar] [CrossRef]
- Teixeira, R.F.M.; Morais, T.G.; Domingos, T. Global process-based characterization factors of soil carbon depletion for life cycle impact assessment. Sci. Data 2021, 8, 237. [Google Scholar] [CrossRef]
- Zuo, W.A.; Gu, B.X.; Zou, X.W.; Peng, K.; Shan, Y.L.; Yi, S.Q.; Shan, Y.H.; Gu, C.H.; Bai, Y.C. Soil organic carbon sequestration in croplands can make remarkable contributions to China’s carbon neutrality. J. Clean. Prod. 2023, 382, 135268. [Google Scholar] [CrossRef]
- IEA. CO2 Emissions in 2023: A New Record High, But Is There Light at the End of the Tunnel? International Energy Agency: Paris, French, 2024; Available online: https://www.iea.org/reports/co2-emissions-in-2023 (accessed on 30 March 2024).
- Qiao, L.; Wang, X.H.; Smith, P.; Fan, J.L.; Lu, Y.L.; Emmett, B.; Li, R.; Dorling, S.; Chen, H.Q.; Liu, S.G.; et al. Soil quality both increases crop production and improves resilience to climate change. Nat. Clim. Chang. 2022, 12, 574–580. [Google Scholar] [CrossRef]
- Ma, Y.Q.; Woolf, D.; Fan, M.S.; Qiao, L.; Li, R.; Lehmann, J. Global crop production increase by soil organic carbon. Nat. Geosci. 2023, 16, 1159–1165. [Google Scholar] [CrossRef]
- Odebiri, O.; Mutanga, O.; Odindi, J.; Naicker, R.; Masemola, C.; Sibanda, M. Deep learning approaches in remote sensing of soil organic carbon: A review of utility, challenges, and prospects. Environ. Monit. Assess. 2021, 193, 802. [Google Scholar] [CrossRef]
- Wang, M.M.; Guo, X.W.; Zhang, S.; Xiao, L.J.; Mishra, U.; Yang, Y.H.; Zhu, B.A.; Wang, G.C.; Mao, X.L.; Qian, T.; et al. Global soil profiles indicate depth-dependent soil carbon losses under a warmer climate. Nat. Commun. 2022, 13, 5514. [Google Scholar] [CrossRef]
- Luo, C.; Zhang, W.; Zhang, X.; Liu, H. Mapping of soil organic matter in a typical black soil area using Landsat-8 synthetic images at different time periods. Catena 2023, 231, 107336. [Google Scholar] [CrossRef]
- Guo, L.; Fu, G.; Shi, T.; Chen, Y.; Zeng, C.; Zhang, H.; Wang, S. Exploring influence factors in mapping soil organic carbon on low-relief agricultural lands using time series of remote sensing data. Soil Tillage Res. 2021, 210, 104982. [Google Scholar] [CrossRef]
- Lal, R. World cropland soils as a source or sink for atmospheric carbon. Adv. Agron. 2001, 71, 145–191. [Google Scholar] [CrossRef]
- Bowie, M.H.; Black, L.; Boyer, S.; Dickinson, N.M.; Hodge, S. Persistence of biodiversity in a dryland remnant within an intensified dairy farm landscape. N. Z. J. Ecol. 2016, 40, 121–130. [Google Scholar] [CrossRef]
- Didham, R.K.; Barker, G.M.; Bartlam, S.; Deakin, E.L.; Denmead, L.H.; Fisk, L.M.; Peters, J.M.; Tylianakis, J.M.; Wright, H.R.; Schipper, L.A. Agricultural intensification exacerbates spillover effects on soil biogeochemistry in adjacent forest remnants. PLoS ONE 2015, 10, e0116474. [Google Scholar] [CrossRef]
- Amelung, W.; Bossio, D.; de Vries, W.; Kogel-Knabner, I.; Lehmann, J.; Amundson, R.; Bol, R.; Collins, C.; Lal, R.; Leifeld, J.; et al. Towards a global-scale soil climate mitigation strategy. Nat. Commun. 2020, 11, 5427. [Google Scholar] [CrossRef] [PubMed]
- Zhu, K.; Ran, H.Y.; Wang, F.F.; Ye, X.; Niu, L.A.; Schulin, R.; Wang, G. Conservation tillage facilitated soil carbon sequestration through diversified carbon conversions. Agric. Ecosyst. Environ. 2022, 337, 108080. [Google Scholar] [CrossRef]
- Yang, X.L.; Xiong, J.R.; Du, T.S.; Ju, X.T.; Gan, Y.T.; Li, S.; Xia, L.L.; Shen, Y.J.; Pacenka, S.; Steenhuis, T.S.; et al. Diversifying crop rotation increases food production, reduces net greenhouse gas emissions and improves soil health. Nat. Commun. 2024, 15, 198. [Google Scholar] [CrossRef]
- Gorooei, A.; Aynehband, A.; Rahnama, A.; Gaiser, T.; Kamali, B. Cropping systems and agricultural management strategies affect soil organic carbon dynamics in semi-arid regions. Front. Sustain. Food Syst. 2023, 6, 1016000. [Google Scholar] [CrossRef]
- Chen, F.Z.; Feng, P.Y.; Harrison, M.T.; Wang, B.; Liu, K.; Zhang, C.X.; Hu, K.L. Cropland carbon stocks driven by soil characteristics, rainfall and elevation. Sci. Total Environ. 2023, 862, 160602. [Google Scholar] [CrossRef]
- CAS. Northeast Black Land Protection and Utilization Report (2021); China academic of science: Beijing, China, 2022; Available online: https://www.cas.cn/sygz/202210/t20221002_4849787.shtml (accessed on 30 March 2023).
- Shi, J.P.; Song, G. Native Database in China--Based on the Second National Soil Soil Survey Data Sets [DS/OL]. V1. Science Data Bank, 2016. Available online: https://www.scidb.cn/en/detail?dataSetId=633694460877733888 (accessed on 4 April 2024).
- Gong, Z. Chinese Soil Taxonomy; China Science Press: Beijing, China, 2001. [Google Scholar]
- You, N.; Dong, J.; Huang, J.; Du, G.; Zhang, G.; He, Y.; Yang, T.; Di, Y.; Xiao, X. The 10-m crop type maps in Northeast China during 2017–2019. Sci. Data 2021, 8, 41. [Google Scholar] [CrossRef] [PubMed]
- Zhang, C.; Dong, J.; Ge, Q. Mapping 20 years of irrigated croplands in China using MODIS and statistics and existing irrigation products. Sci. Data 2022, 9, 407. [Google Scholar] [CrossRef] [PubMed]
- Xu, X.L. Annual spatially interpolated dataset of meteorological elements in China. Resour. Environ. Sci. Data Regist. Publ. Syst. 2022. [Google Scholar] [CrossRef]
- Gscloud. ASTER GDEM 30M Resolution Digital Elevation Data. Geospatial Data Cloud. 2023. Available online: https://www.gscloud.cn/#page1/2 (accessed on 30 October 2022).
- LAADS&DAAC. MODIS—Level-0 and Level-1. The Level-1 and Atmosphere Archive & Distribution System (LAADS) Distributed Active Archive Center (DAAC). 2024. Available online: https://ladsweb.modaps.eosdis.nasa.gov/ (accessed on 1 March 2023).
- Liu, X.C.; Bian, Z.X.; Sun, Z.T.; Wang, C.Q.; Sun, Z.Q.; Wang, S.; Wang, G.L. Integrating Landscape Pattern Metrics to Map Spatial Distribution of Farmland Soil Organic Carbon on Lower Liaohe Plain of Northeast China. Land 2023, 12, 1344. [Google Scholar] [CrossRef]
- Saidi, S.; Ayoubi, S.; Shirvani, M.; Azizi, K.; Zhao, S. Digital mapping of soil phosphorous sorption parameters (PSPs) using environmental variables and machine learning algorithms. Int. J. Digit. Earth 2023, 16, 1752–1769. [Google Scholar] [CrossRef]
- Lefcheck, J.S. PIECEWISESEM: Piecewise structural equation modelling in R for ecology, evolution, and systematics. Methods Ecol. Evol. 2016, 7, 573–579. [Google Scholar] [CrossRef]
- Tarka, P. An overview of structural equation modeling: Its beginnings, historical development, usefulness and controversies in the social sciences. Qual. Quant. 2018, 52, 313–354. [Google Scholar] [CrossRef]
- Schwager, S.J.; Mikhailova, E.A.J.S.S. Estimating Variability in Soil Organic Carbon Storage Using the Method Of Statistical Differentials. Soil Sci. 2002, 167, 194–200. [Google Scholar] [CrossRef]
- Wu, Z. Research on Spatial Variation and Mechanism of Farmland Soil Organic Carbon in Plains, Wuhan, China. Ph.D. Thesis, Wuhan University, Wuhan, China, 2021. [Google Scholar]
- Hu, N.J.; Shi, H.; Wang, B.J.; Gu, Z.H.; Zhu, L.Q. Effects of different wheat straw returning modes on soil organic carbon sequestration in a rice-wheat rotation. Can. J. Soil Sci. 2019, 99, 25–35. [Google Scholar] [CrossRef]











| Drivers | Environmental Variables | Resolution | Abbreviation | Unit | Data Origin and Reference |
|---|---|---|---|---|---|
| Natural factors | Soil type | 1 km | ST | - | https://www.resdc.cn/ (accessed on 20 March 2023) |
| Soil texture | 1 km | TT | % | ||
| Mean annual temperature | 1 km | MAT | °C | ||
| Mean annual precipitation | 1 km | MAP | mm | ||
| Elevation | 30 m | DEM | m | https://www.gscloud.cn/ (accessed on 17 September 2023) | |
| Slope | 30 m | Slope | ° | ||
| Distance to water | 300 m | Distowater | m | ||
| Distance to green space | 300 m | Distogreen | m | ||
| Cropping and management factors | Crop type | 10 m | CT | - | [25] |
| Cropland land-use | 30 m | CL | - | https://www.resdc.cn/ (accessed on 20 March 2023) | |
| Normalized difference vegetation index | 250 m | NDVI | - | ||
| Irrigation | 30 m | IR | - | [26] | |
| Tillage modes | 10 m | TM | - | ||
| Landscape metrics | Percentage of landscape | 300 m | PLAND | % | |
| Patch cohesion index | 300 m | COHESION | - | ||
| Shannon’s diversity index | 300 m | SHDI | - |
| Data | Number | Mean | SD | Skew | CV (%) | Maximum | Minimum | Median |
|---|---|---|---|---|---|---|---|---|
| Dataset | 555 | 19.20 | 10.67 | 1.27 | 55.58 | 72.39 | 2.55 | 17.34 |
| Training set | 444 | 19.13 | 10.71 | 1.01 | 56.01 | 72.39 | 2.54 | 17.35 |
| Validation set | 111 | 19.48 | 10.54 | 1.07 | 54.11 | 52.57 | 5.42 | 17.05 |
| Variable Types | Variable | Regression | Parameters | |||||
|---|---|---|---|---|---|---|---|---|
| F | Sig. | Adj. R2 | Ratio | Error | t | Sig. | ||
| Nature factors | Constant | 122.828 | <0.001 | 0.488 | 4.819 | 0.176 | 27.434 | <0.001 |
| MAT | −0.251 | −0.263 | −21.074 | <0.001 | ||||
| MAP | 0.01 | 0.000 | 5.147 | <0.001 | ||||
| Distowater | 0.00002 | 0.000 | 5.356 | <0.001 | ||||
| Soiltype4 | 0.743 | 0.225 | −3.034 | <0.001 | ||||
| Soiltype3 | −0.445 | 0.085 | −5.242 | <0.001 | ||||
| Soiltype7 | −1.342 | 0.591 | −2.271 | <0.05 | ||||
| Soiltexture1 | −0.429 | 0.193 | −2.227 | <0.05 | ||||
| Human activities factors | Constant | 69.573 | <0.001 | 0.430 | 1.814 | 0.456 | 3.982 | <0.001 |
| NDVI202202 | −5.046 | 0.486 | −10.376 | <0.001 | ||||
| Croptype3 | 0.787 | 0.114 | 6.879 | <0.001 | ||||
| NDVImax | 3.293 | 0.523 | 6.300 | <0.001 | ||||
| Tillagemode8 | 0.457 | 00.207 | 2.205 | <0.05 | ||||
| Tillagemode9 | −0.913 | 0.345 | −2.650 | <0.05 | ||||
| Tillagemode3 | −0.231 | 0.099 | −2.346 | <0.05 | ||||
| All factors | Constant | 80.232 | <0.001 | 0.566 | 3.891 | 0.446 | 8.728 | <0.001 |
| MAT | −0.255 | 0.017 | −15.233 | <0.001 | ||||
| Soiltype3 | −0.450 | 0.101 | −4.468 | <0.001 | ||||
| Soiltype4 | −0.888 | 0.203 | −4.370 | <0.001 | ||||
| Distowater | 0.00003 | 0.000 | 4.791 | <0.001 | ||||
| NDVImax | 1.828 | 0.106 | 3.807 | <0.001 | ||||
| Soiltype1 | 0.285 | 0.091 | 3.133 | <0.05 | ||||
| Croptype1 | −0.247 | 0.075 | −3.283 | <0.05 | ||||
| Croptype4 | −0.450 | 0.191 | −2.352 | <0.05 | ||||
| PLAND6 | 0.013 | 0.006 | 2.161 | <0.05 | ||||
| Soil Type | SOCDmean (kg/m2) | SOCDmax (kg/m2) | Area (109 m2) | SOCs (Tg) | SOCsp (Tg) | SOCpc (Tg) |
|---|---|---|---|---|---|---|
| Luvisols | 3.88 | 9.11 | 84.86 | 329.26 | 773.07 | 443.81 |
| Semi-Luvisols | 3.72 | 7.90 | 60.61 | 225.47 | 478.82 | 253.35 |
| Caliche Soils | 2.65 | 7.81 | 61.52 | 163.03 | 480.47 | 317.44 |
| Skeletol primitive soils | 2.31 | 7.44 | 16.13 | 37.26 | 120.01 | 82.75 |
| Semi-hydromorphic soils | 3.14 | 8.30 | 118.71 | 372.75 | 985.29 | 612.54 |
| Hydromorphic soils | 3.91 | 8.29 | 16.25 | 63.54 | 134.71 | 71.17 |
| Saline soils | 1.97 | 5.30 | 1.68 | 3.31 | 8.90 | 5.59 |
| Anthrosols | 2.78 | 6.63 | 11.52 | 32.03 | 76.38 | 44.35 |
| Sum | 1226.64 | 3057.65 | 1831.01 |
Disclaimer/Publisher’s Note: The statements, opinions and data contained in all publications are solely those of the individual author(s) and contributor(s) and not of MDPI and/or the editor(s). MDPI and/or the editor(s) disclaim responsibility for any injury to people or property resulting from any ideas, methods, instructions or products referred to in the content. |
© 2024 by the authors. Licensee MDPI, Basel, Switzerland. This article is an open access article distributed under the terms and conditions of the Creative Commons Attribution (CC BY) license (https://creativecommons.org/licenses/by/4.0/).
Share and Cite
Li, W.; Yang, Z.; Jiang, J.; Sun, G. Spatial Variation and Stock Estimation of Soil Organic Carbon in Cropland in the Black Soil Region of Northeast China. Agronomy 2024, 14, 2744. https://doi.org/10.3390/agronomy14112744
Li W, Yang Z, Jiang J, Sun G. Spatial Variation and Stock Estimation of Soil Organic Carbon in Cropland in the Black Soil Region of Northeast China. Agronomy. 2024; 14(11):2744. https://doi.org/10.3390/agronomy14112744
Chicago/Turabian StyleLi, Wenwen, Zhen Yang, Jie Jiang, and Guoxin Sun. 2024. "Spatial Variation and Stock Estimation of Soil Organic Carbon in Cropland in the Black Soil Region of Northeast China" Agronomy 14, no. 11: 2744. https://doi.org/10.3390/agronomy14112744
APA StyleLi, W., Yang, Z., Jiang, J., & Sun, G. (2024). Spatial Variation and Stock Estimation of Soil Organic Carbon in Cropland in the Black Soil Region of Northeast China. Agronomy, 14(11), 2744. https://doi.org/10.3390/agronomy14112744
