Next Article in Journal
Genome-Wide Identification of the PAP Gene Family in Potatoes and Its Expression Response to Phosphorus-Solubilizing Bacteria, Freezing Stresses, and Phytohormonal Regulation
Previous Article in Journal
YOLOv8-GDCI: Research on the Phytophthora Blight Detection Method of Different Parts of Chili Based on Improved YOLOv8 Model
 
 
Font Type:
Arial Georgia Verdana
Font Size:
Aa Aa Aa
Line Spacing:
Column Width:
Background:
Article

Relay Intercropping of Soybean and Winter Barley in Polish Climatic Conditions—Importance of Strip Width and Yearly Weather

by
Stanisław Świtek
1,*,
Wiktor Majchrzycki
2,
Aleksander Taras
1 and
Tomasz Piechota
1
1
Department of Agronomy, Poznań University of Life Sciences, 60-632 Poznan, Poland
2
Department of Biosystems Engineering, Poznań University of Life Sciences, 60-637 Poznan, Poland
*
Author to whom correspondence should be addressed.
Agronomy 2024, 14(11), 2736; https://doi.org/10.3390/agronomy14112736
Submission received: 23 September 2024 / Revised: 8 November 2024 / Accepted: 14 November 2024 / Published: 20 November 2024
(This article belongs to the Section Innovative Cropping Systems)

Abstract

Climate change and the increasing demand for food necessitate innovative agricultural methods. Relay intercropping, where one crop is sown into another already-grown crop, offers a promising alternative to traditional systems. In the 2021/22 and 2022/23 seasons, a field experiment was conducted to assess the relay intercropping of winter barley (Hordeum vulgare L. ssp. polistichon) with soybean (Glycine max (L.) Merr). This experiment took place at the Brody Experimental and Educational Station of the University of Life Sciences in Poznań, Poland. Soybean was sown into designated strips within the barley field, and both crops were cultivated simultaneously until the barley was harvested. After the barley harvest, the soybean plants continued to grow and were harvested at full maturity. The results varied between the two years of this experiment. In the first year, characterized by drought conditions, the soybean yield was completely lost, while the barley maintained a stable yield. In the second year, with more favorable weather, the yields of barley and soybean were interdependent. The use of the relay intercropping system did not increase the Land Equivalent Ratio (LER) above 1. Additionally, total protein yield remained consistent across different cultivation systems. Relay intercropping can serve as a method for protecting crop protein yields under adverse weather conditions and may offer a viable alternative for soybean cultivation in challenging climates.

1. Introduction

1.1. Relay Intercropping

Relay intercropping systems offer numerous benefits and can be implemented in conventional, organic, or conservation agriculture. Despite evidence showing their positive impact on both the environment and farmer’s incomes, the adoption of this practice among farmers in developed countries remains low [1]. However, it is a well-known and widely used method among small farmers in developing countries, where it helps optimize space and time, allowing for the maximization of available resources.
The success of relay cropping depends on several factors, particularly the period during which plants coexist in a field, as this time is marked by mutual competition. Initially, the first sown crop experiences a phase of competition, followed by a recovery phase. The effective management of the period when both crops share the field is crucial to the success of relay cropping. This technique is the most beneficial when the overlap of their growing periods is minimal [2]. Therefore, the harvest of the primary crop should occur as early as possible (Figure 1).
Winter barley has the earliest harvest date among grain crops in Poland’s climatic conditions, typically falling in the first and second weeks of July [3,4]. This timing, however, depends on weather conditions—rainfall at the end of the growing season can delay harvest, while drought tends to accelerate it. Early barley harvest allows for more efficient farm management and facilitates the sowing of catch crops [5]. One of the key advantages of winter barley is its high resistance to drought. This resilience is largely due to its low transpiration coefficient and early ripening date. The high yield of winter barley is primarily determined by the development of a large number of ears, and winter barley consistently produces the highest yields of all cereals grown in Poland [6].
In many countries, soybean is a frequently chosen plant for intercropping with cereals. This crop is well known for its high protein and fat content. Additionally, through its symbiotic relationship with nitrogen-fixing nodule bacteria, soybean can effectively synthesize atmospheric nitrogen, enhancing soil fertility [7]. Soybean is a legume with the latest sowing date in Polish climatic conditions, which is the beginning of May [8], while for other legumes, it is in March and the beginning of April. Only a slight delay is possible without affecting the yield (with the exception of winter forms) [9]. The combination of winter barley and soybean offers the shortest period of phase overlap, thereby minimizing competition between the two crops and increasing the likelihood of a successful yield (Figure 2).

1.2. Pros and Cons of Soybean Cultivation

The selection of soybean to cultivate in pair with winter barley is also significant in terms of the need to expand the soybean area. Despite its numerous advantages, marketing efforts, and government programs aimed at supporting farmers, soybean is still cultivated on a relatively small scale in Poland [10]. Domestic legume production currently meets only 11% of the demand for feed and consumption.
Several risks associated with soybean cultivation in Poland exhibit considerable temporal variability, including an increase in the frequency of moderate to severe frosts and deficiencies in rainfall during the growing season [11]. Soybean yields in Poland are estimated to range from 1.5 to 2.5 t/ha, although yields of 3 t/ha or more have also been recorded. It is estimated that the cost of cultivation is compensated by a yield of approximately 2 t/ha [12].
Successful soybean production is heavily dependent on moisture and temperature conditions during the growing season. Given that Poland is situated between 49° and 54° N latitude, it does not have the most favorable climate for soybean cultivation. Legumes grown in Poland fulfill only 11% of the protein demand from animal production. Drought occurrences during the flowering and fruit-setting phases can significantly affect soybean yields, with reductions exceeding 50% and potentially reaching up to 88%. This considerable risk discourages farmers from cultivating soybean, leading them to favor winter crops and reluctantly grow spring-planted crops like soybean. The implementation of a relay cropping system, which enables the harvest of both the main crop and the intersown crop, has the potential to increase the cultivation area of soybean. This approach not only maximizes land use but also enhances overall productivity, making soybean cultivation more attractive to farmers. By allowing for the simultaneous growth of crops, relay cropping can mitigate some of the risks associated with growing soybean alone and provide additional economic benefits.

1.3. Relay Intercropping and Row Width

The success of intercropping largely depends on selecting the appropriate row proportions [13]. One critical factor is the spacing and arrangement of rows for both the main and intersown crops. The width of the rows must allow for adequate sowing and create optimal growth conditions for both plants.
Narrow row widths may limit the growth of the plants, while excessively wide rows can diminish the beneficial interactions between the crops [14]. The width of the rows of the main plant and the relay sown plant determines the proportion of one species and the other and also the mutual interactions [15] or the possibilities of carrying out agrotechnical treatments [1] and the availability of light [16]. There is very little research on the intercropping of winter barley and soybean. The most common plant is wheat–soybean. It occurs with a row range of 33 cm:33 cm [17], 19 cm:38 cm [18], and 20:61 cm [19]. Wide rows are conducive to the emergence of sown plants, but this can translate into poor yields of the main crop. Cereals are considered a very plastic species that can give stable yields even in rows up to 40 cm wide [1].

1.4. Objectives and Hypotheses

The aims of our study were to evaluate the feasibility of cultivating winter barley and soybeans in a relay intercropping system and to assess the outcomes of this cultivation based on different row widths. We aimed to determine how varying row spacings affect crop yields, growth dynamics, and overall system productivity. By analyzing these factors, we sought to identify optimal row configurations that maximize the benefits of intercropping, thereby contributing to sustainable agricultural practices. Our hypothesis is that the integration of relay intercropping into soybean cultivation may be an opportunity to expand the area dedicated to soybean cultivation while simultaneously increasing the use of environmental resources.

2. Materials and Methods

2.1. Experiment Location and Scheme

This field experiment was established at the Research and Education Center in Gorzyń with a branch in Brody (52°25′ N; 16°18′ E), belonging to the Poznań University of Life Sciences. This experiment was established on soil classified as Albic Luvisols, according to the WRB classification, developed on loamy sands overlying loamy material. In the field where winter barley grew in the seasons 2021/22 and 2022/23, one factor experiment was conducted, in a complete randomized block arrangement, in 4 repetitions. Within each plot, an appropriate number of barley rows were removed to create strips for sowing the second plant. The number of removed rows corresponded to the level of the research factor levels, listed below.

2.2. Weather Condition

The weather in the two years of this experiment differed from the multi-year average. Figure 3 shows temperature and precipitation in a decadal approach. In spring, in the months of April and May, the temperature remained within the multi-year norm. Above-average temperatures were recorded in the winter and summer seasons. Precipitation in the winter months was greater than that in the multi-year period.
The highest rainfall occurred in the summer months. The 2022/23 season was definitely wetter. Rainfall in the April–August period amounted to 342 mm, while in the 2021/22 season, it was 187 mm, nearly half of April–August’s. The month of August deserves to be mentioned, which was exceptionally rainy in the 2021/22 season. Rainfall amounted to 150 mm. However, this was an exception. Summer 2023 was characterized by less rainfall than the multi-annual average. The 2021/2022 season was characterized by rainfall below average and amounted to 72%. During the entire growing season, 125 L/m2 less fell than in the multi-annual period. During the soybean growing season, i.e., from May to September, all periods showed rainfall below average. The largest decrease was recorded in the months of July–August, which, combined with high temperatures, negatively affected the development of soybean. Water, however, remains a key factor determining the plant’s yield.

2.3. Treatments

In this way, treatments were created and characterized by different widths of empty strips in relation to the sown ones. The width of a single row of barley was 11.7 cm. Thus, leaving two rows without plants resulted in a strip 35 cm wide from border to border. Three unsown rows resulted in a width of 46.8 cm. Each plot had the same dimensions, measuring 270 cm wide and 800 cm long. The width of the plot corresponded to the width of the seeder used to establish the barley plantation. This was a disc seeder, without depth wheels, standardly used at the plant.
As part of the plantation, control plots of barley were also prepared, where the rows were not modified, and a control plot of the soybean was also prepared, where all rows of barley were removed. The empty strips were used in the 2nd decade of May to sow soybeans. Soybean sowing was carried out using a modified grain seeder of our own design. It allowed for seeding the next crop without damaging the winter barley. The seeder had 6 sowing elements with the possibility of adjusting their position. The number of seeds sown was constant for each row (25 seeds/meter of row). The number of seeds sown in the control treatments and 4b/3s(2) was the same (55 seeds/m2), whereas in the remaining treatment, the number of seeds per 1 m2 was reduced by half to 3, instead of 6, sown rows (Figure 4).
During the growth of the plants, monitoring was carried out, and the yield of the plants was determined.

2.4. Machines and Devices Used in This Experiment

In this experiment, modified tools were used from the experimental station equipment. The seeder used for sowing the second crop, soybeans, was built on the basis of a mechanical “Poznaniak” seeder. Shoe openers were replaced with shovel-type coulters and chains, mounted on weeder parallelograms with covering chains. These adaptations allowed the machine to be lifted above the barley canopy and seeding without tillage. Additionally, the support ground wheels were removed to protect the barley crop. The seeder for inter-row sowing was mounted on an MF 255 tractor. It was specially adapted for this purpose—the wheel track was widened to the maximum width. This allowed it to enter the plots without destroying the middle barley rows.
Barley was harvested using a harvester “Wintersteiger” with a header width of 150 cm (Figure 5). The header was adapted for harvesting in such a way that special covers were mounted on the crop lifters, which protected the soybean plants growing in the inter-rows from being cut by the combine. Soybean harvesting was performed manually by harvesting plants from a single row along the entire length of the plot. Yield parameters were determined in the laboratory after seed harvest and during vegetation.
Plant protein yield was determined using the Foss Infratec 1241 device, designed to measure protein in the whole plant grain. Total protein yield was calculated by multiplying plant yield and seed protein content.

2.5. Management of Field Trials

The fungicidal, herbicidal, and insecticidal protection of plantations was conducted using common recommendations at the Polish Institute of Plant Protection in Poznań. The nitrogen fertilization rate for barley was 90 kg/ha in the form of ammonium nitrate. Before sowing, phosphorus–potassium fertilizers (20% phosphorus and 30% potassium) were applied at a rate of 250 kg/ha. For broad weed control, Chwastox Nowy Trio 390 SL (MCPA 200 g/L, mekoprop-P 150 g/L, and dicamba 40 g/L) was used. Axial 50 EC (pinoksaden—50 g/L) was used at a rate of 0.9 L/ha to control monocotyledonous weeds. Moddus 250 EC (trineksapak etyl 250 g/L) was used to regulate crop growth. The barley sowing date was in the 3rd week of September, and the soybean sowing date took place in the 2nd and 3rd decades of May (Table 1).
In the first year of this experiment, due to unfavorable weather conditions it was not possible to determine the yield or yield parameters of soybean.

2.6. Statistical Analysis

A statistical analysis of data and creating a graphic presentation of the results were performed using the R statistical program, specifically R studio version 1.4.1106. Before analysis, data were collected in a spreadsheet and checked for correctness.
Statistical analysis was based on a typical one- and two-factor analysis of variance (ANOVA). The analyzed research factor was the varied width of rows in the coordinated cultivation of barley and soybean. The second research factor was the year of experience. Where possible, the interaction of research factors was also analyzed.
Before each analysis of the next parameter, it was checked whether the data had a normal distribution. The Shapiro–Wilk normality test was used for this purpose. The nature of variance was assessed using the Barlett test. Additionally, the data were assessed using the evaluation of residual graphs. In the case of the analyzed data, they met the assumptions and did not differ significantly from the adopted patterns.
An ANOVA was used to determine the significance of treatments based on p. Next, Tukey post hoc analysis was performed, indicating the smallest significant difference. The “agricole” package (version 1.3-7) in Rstudio was used for this purpose. The results were presented using box-plot graphs with marked median (line) and mean (dot) values. Significance was additionally marked with the * symbol.
To assess the efficiency of crop cultivation, the LER (Land Equivalent Ratio) index was used defined by Mead and Willey, 1980 [20], based on Yu in [21], as follows:
LER = Y 1 M 1 + Y 2 M 2
Y1 and Y2 denote the yield per unit of species 1 (barley) and 2 (soybean) sown in intercrop. M1 and M2 denote the yield of plants grown in monoculture.

3. Results

3.1. Barley Yield

The yield of barley obtained from two years gives a varied picture of the effect of relay intercropping cultivation on barley yield. In the first year of this experiment, the barley yields obtained on the sole cultivated barley with empty rows (5. 4b/3s(0)) did not differ significantly from barley grown on the control plot (6. B-control). Differences in yield were noted only between treatment 3b/3s(1) and treatment 4b/3s(1). The average barley yield was 59.9 dt/ha (Table 2). The year 2023 was different. The average barley yield from all treatments was 46.7 dt/ha and was significantly lower than that in the previous year. The highest yield was obtained from the control treatment (b-control) and was significantly different from the treatment on which soybean was intercropped. The barley yield on b-control was 69.3 dt/ha. Despite the visible difference in yield in relation to treatment 4b/3s(0), it was not significantly different from it. This may suggest that the yield was influenced by soybean plants growing in the inter-rows. In 2023, the lowest yield was recorded in the 2b/3s plot, the one with the smallest number of rows per plot. However, this yield was not significantly different from the other plots where barley was grown with soybeans (Figure 6).

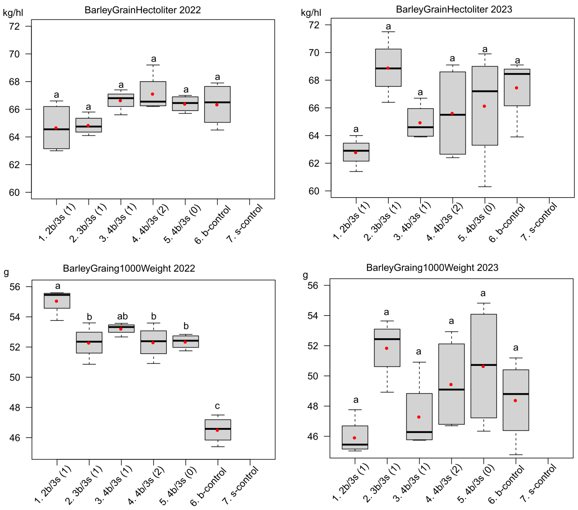
3.2. Barley Grain Parameters

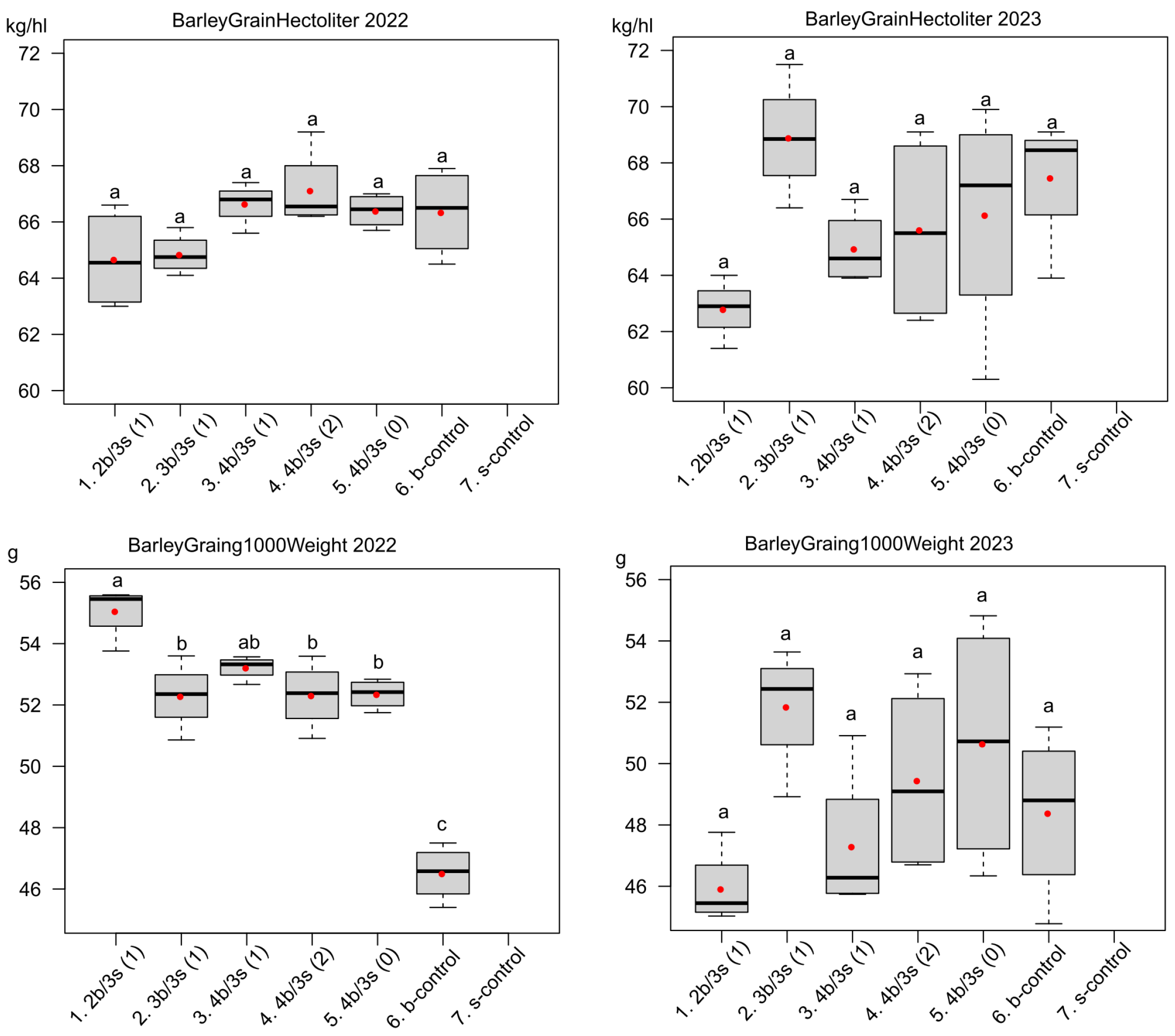
There were no significant differences between years or between factor levels in the case of the hectoliter weight of barley grain. However, the weight of one thousand seeds differed significantly. In 2022, it averaged 51.9 g and was higher than that in 2023, when it was 48.9 g. In the first year of this experiment, statistically significant differences were noted between the treatments. The highest weight of one thousand seeds was noted in the 2b/3s treatment (1), i.e., where the smallest number of barley rows was. The lowest 1000 seed weight was noted in the control treatment. It differed significantly from all other factor levels. In the second year of this experiment, due to the large variances in the results, no significant differences were noted. The highest weight (without significant difference) was noted in the control treatment, without soybean (Figure 7, Table 2).

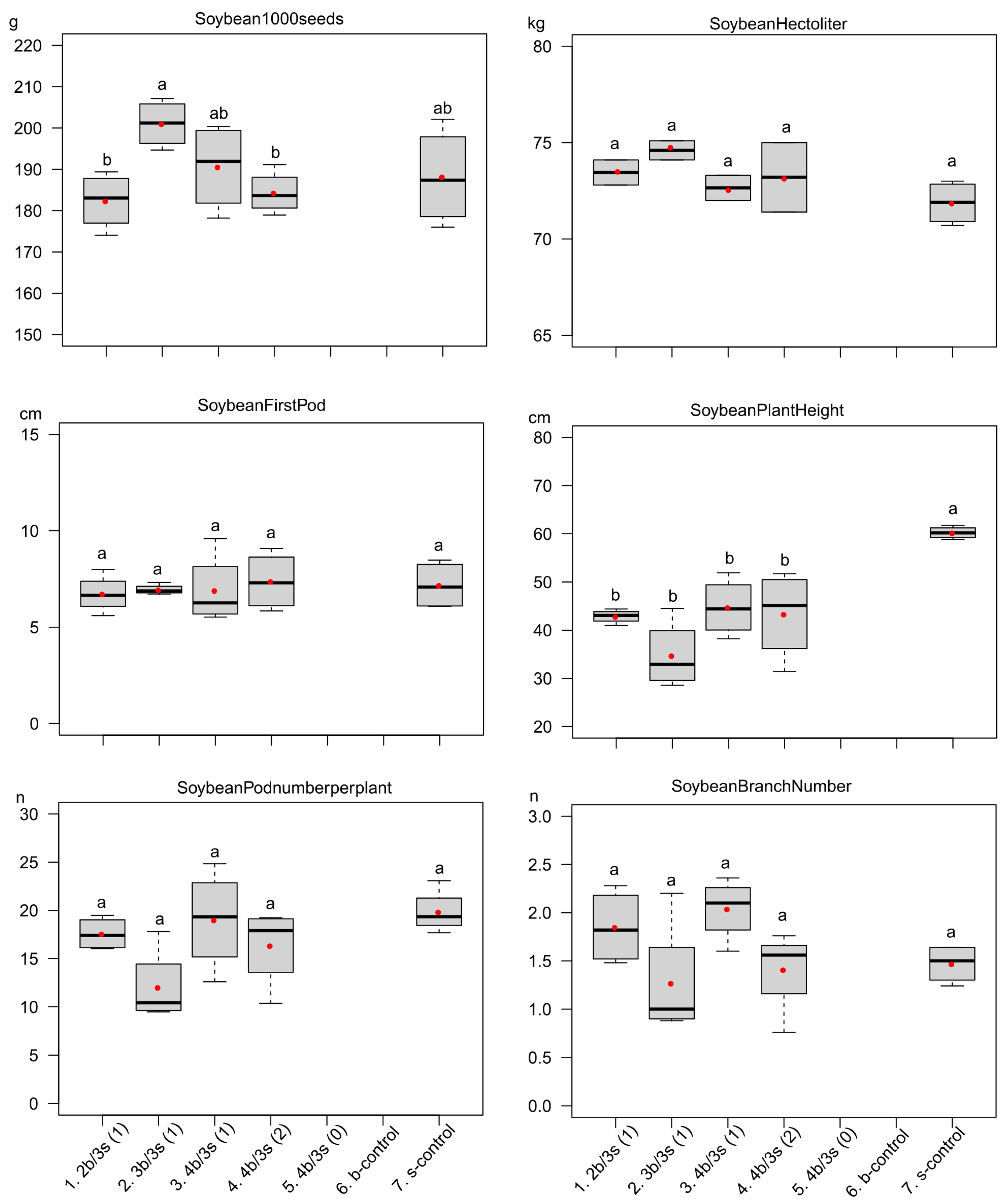
3.3. Soybean Yield

In 2023, the highest soybean yield was obtained in the control treatment (15.6 dt/ha), and it was significantly different from the yield of soybean grown in relay cropping (mean 6.3 dt/ha). Soybean yield in all four intercropped variants did not differ significantly from each other (Figure 8). The average yield achieved from all plots was 6.7 dt (Table 3, Figure 8).

3.4. Soybean Parameters

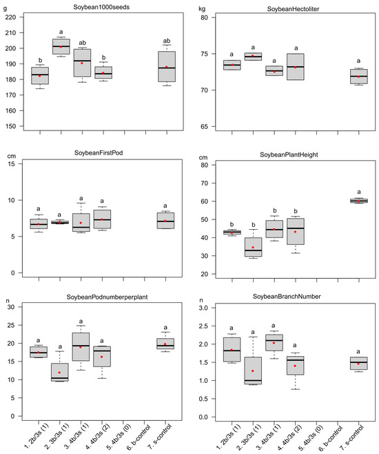
The weight of one thousand seeds of plants grown in the control treatment did not differ significantly from that of those grown between barley rows. The average weight of one thousand seeds was 189 g. However, differences were noted between the intercropped treatment. The highest weight of one thousand seeds was obtained from treatment 3b/3d(1) and the lowest from treatment 2b/3s(1) and 4b/3s(2). The weight of a hectoliter of obtained seeds did not differ significantly. On average, it was 72.94 g. There was also no significant difference between the number of branches. Soybean had the same number of branches whether grown alone or in relay. The number of seeds per pod did not differ either. One of the most important parameters in soybean cultivation is the height of the first pod. However, no significant difference was noted between them (Figure 9).
Soybean plants significantly differed in height. The tallest plants were in the control treatment, while in the relay treatment, they were shorter.

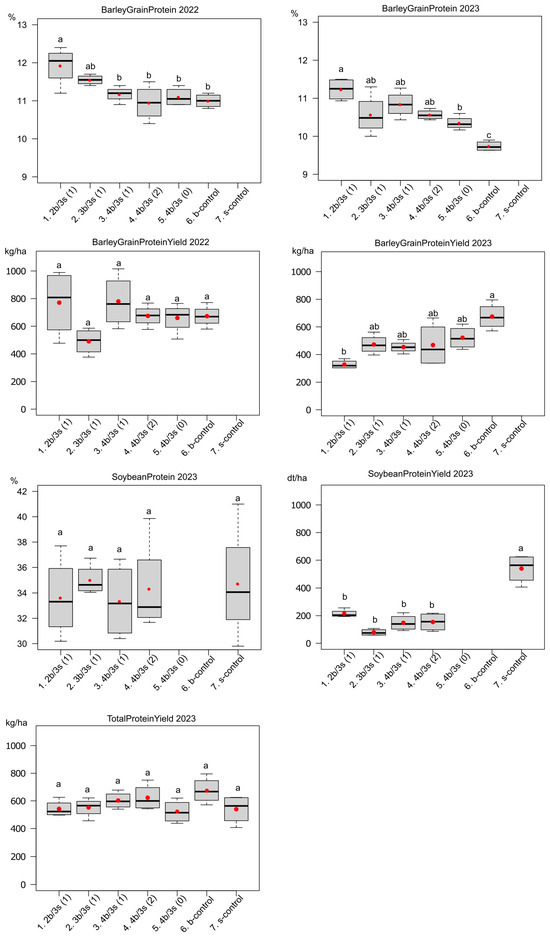
3.5. Soybean and Barley Protein Content and Yield

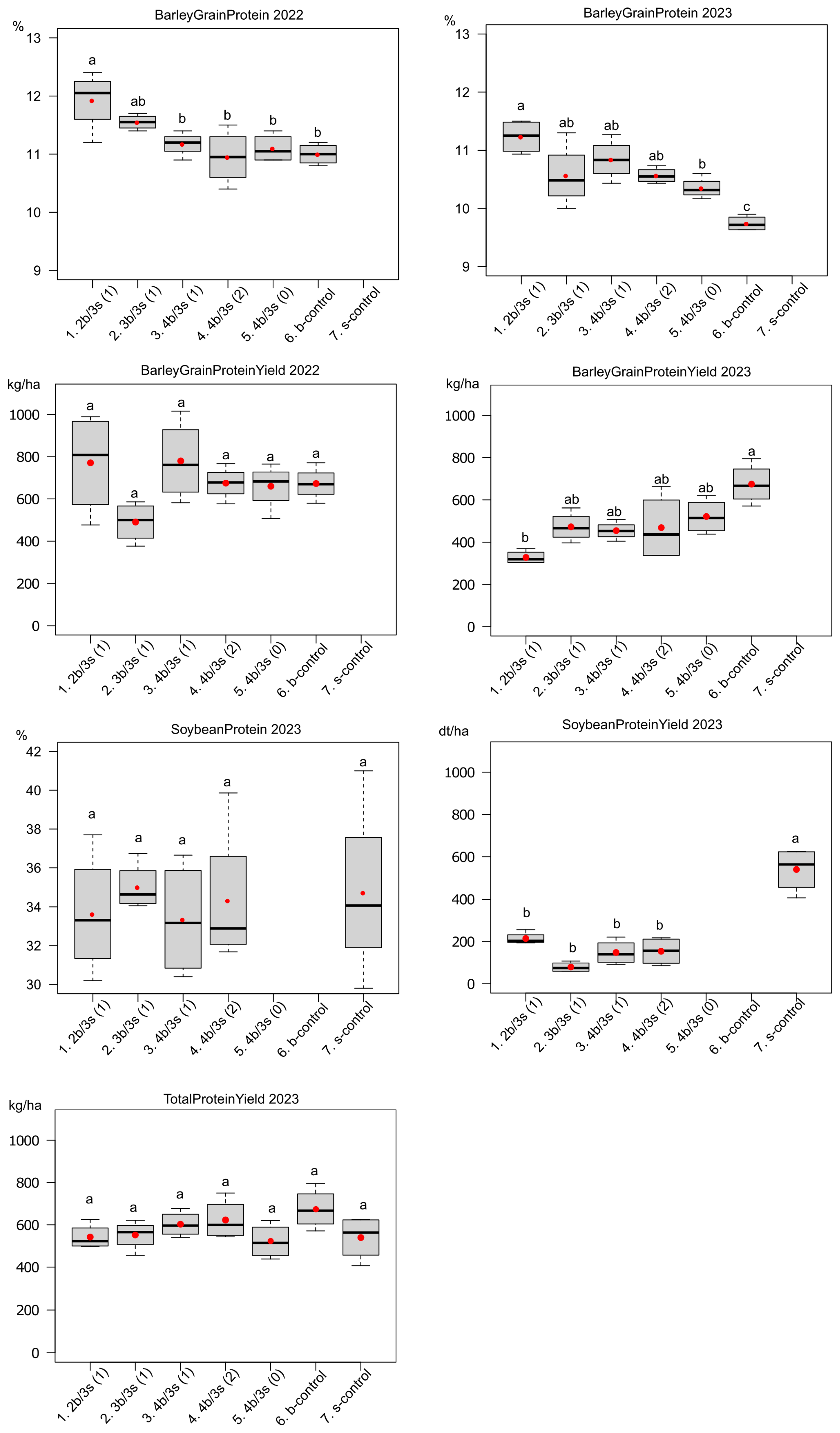
Based on the yield of both plants and the protein content, the total protein yield collected from the treatment was calculated. No significant differences were noted between the treatment in vegetation season 2021/22, in which only barley contributed to the protein yield (Figure 10). The protein yield was similar for both the control treatment, where soybean and barley were grown in pure sowing, and for the treatment with undersown crops.

3.6. Land Equivalent Ratio

Compared to monoculture, the intercropping system had a different LER index between years and treatments. In 2022, for treatments 2j/3s(1), 4j/3s(1), and 4j/3s(2), it was possible to exceed an index of 1. For the remaining treatments, including the whole year of 2023, the LER index was below 1. Therefore, it was not possible to achieve increased productivity from unit ha in 2023. Similar results apply to protein yield. Here, too, in the whole year of 2023, an index of 1 was not exceeded. The differences were not statistically significant (Table 4).

4. Discussion

4.1. Barley Yield and Grain Parameters

We observed varying responses of barley in relay cropping across the individual years of this experiment. In the first year, an increase in barley yield was noted for specific cultivation width treatments, 2j/3s(1), 4j/3s(1), and 4j/3s(2), with respective increases of 5%, 13%, and 1% compared to monoculture sowing. However, in the same year, variants 3j/3s(1) and 4j/3s(0) showed decreases of 30% and 2%, respectively. In the second year, all barley cultivation width treatments demonstrated a yield decline. The variability in yield response across years can be attributed to the different weather conditions during each growing season. Precipitation in each month of 2023 was, on average, higher than in the previous year but lower than the multi-year average, with August experiencing exceptionally high precipitation.
When different plant species, each with varying vegetative requirements, are grown, certain years may favor one species over another, which can offset lower yields of the other species. Ambiguous results due to variable weather conditions are not uncommon. For example, a 3-year experiment in Italy with wheat and lentils showed inconsistent outcomes. In one of the years, grain yield increased, while in the other two, no differences were observed [22]. Similar effects were seen in experiments involving oats and clover [23].
The protein yields obtained in our experiment did not show statistically significant differences between treatments. Barley strip cropping in both 2022 and 2023 increased the protein content in the grain. The increase in protein content in cereal grains may be linked to a higher availability of nitrogen per plant, as cereal density in relay cropping is lower. The total biomass of barley per area is lower. Legumes, which fix nitrogen, do not compete for soil nitrogen, allowing cereals to concentrate more protein per unit. Consequently, nitrogen per unit of grain is greater in relay cropping compared to pure sowing. Furthermore, evidence from N15 labeling studies suggests that legumes may enhance nitrogen uptake by cereals, possibly due to nitrogen-rich root exudates from legumes, improving soil nitrogen availability in relay cropping systems [24]. In winter wheat grown together with faba bean, the protein content increased by 8%. Protein concentration depended on the effect of soy on wheat. In plots where soy was poorly developed, no increase in protein was observed in wheat [25].
In a related experiment conducted in France, the presence of companion plants led to reduced soil moisture and nutrient availability, resulting in a decrease in grain protein content without affecting overall yield. This effect was observed in one-third of the cases and was dependent on the developmental stage of the wheat plants [26].

4.2. Soybean Yield and Grain Parameters

The first year of this experiment resulted in a failed soybean cultivation. Key factors contributing to this outcome included adverse weather conditions, particularly drought during the soybean growth period. Rainfall during this period was 59% lower compared to the multi-year average, resulting in a deficit of 131 L of water over the entire growing season. These weather conditions significantly reduced plant yield, ultimately preventing the harvest of soybeans. Additionally, air temperatures were higher than average, exacerbating water loss. Another factor contributing to the poor harvest was the delayed sowing date. To reduce competition between plants, sowing was postponed by three weeks to the third week of May, later than the recommended agronomic schedule.
The unreliability of soybean cultivation, as well as legumes and spring crops in general, is well known among farmers and serves as a deterrent to their cultivation. Similar adverse conditions, as observed in the first year of this experiment, lead to significant economic losses for farmers. The cultivation of barley with soybean in a relay cropping system helped stabilize protein yields. In 2022, only the 2j/3s(1) variant showed a statistically significant improvement, while in 2023, all intercropping variants led to an increase in protein content. Similar results were observed between 2002 and 2005 in studies of wheat grown with broad beans in Denmark, Germany, Italy, and Great Britain and wheat grown with peas in France. The intercropping of cereals with legumes resulted in an increase in protein content in pea seeds, although this was accompanied by a yield reduction of 25–30%. In our experiment, we also observed a decrease in barley yield [25]. An experiment in barley and pea cultivation in an intercrop conducted in Denmark and France showed that legume crop yield was strongly related to soil moisture. Density and species ratio ultimately have little effect on grain yield [27]. In southern USA, soybean yields in the relay system were the same or higher than those in the double-cropping system. There was no interaction between wheat variety and the tillage method, or the differences were small. Weather conditions influenced the differences [17].

4.3. Intercropping as a Yield Stabilization Method

Intercropping should be considered as a way of ensuring yields when one crop fails, but the other can still be harvested. This approach was popular in the United States and Europe before the 1940s. Cultivating several plants in the field reduced the risk [28]. A review of 94 publications on intercropping sorghum and pigeonpea found that yield stability was greater in the relay system than in the monoculture system. In the case of pigeonpea grown once every five years, the single crop failed once every five years, and sorghum failed once every eight years. However, when grown together in a relay system, they failed once every 36 years [29]. Thus, intercropping provides insurance against the failure of a given crop species. In particular, intercropping can protect against extreme weather events such as frost, drought, and flood, providing greater financial stability to farmers. This also allows farmers to avoid seasonal price fluctuations [30].
Yield stability can be increased by reducing the variability in crop yields over the years in the same location or by increasing consistency. Production stability can also be increased spatially by limiting the zones of reduced production in fields and by growing crops in different fields. A meta-analysis conducted on the basis of 69 studies showed that yield stability in cereal–legume systems is greater than that in monoculture systems [31]. In the first year of our own research, the barley yields obtained in relay cropping were equal to those obtained from pure sowing. This largely compensated for the lack of soybean yield. The conventional planting of two crops in different fields would mean a total loss of yield on half of the area, while relay cropping ensured a normal yield of one crop on the entire field. The reduction in the number of rows of the cultivated plant, in this case barley, must be compensated for by the yield of the sown plant—soybean. In the research of Long li [32], this was the effect obtained. In the conducted experiment, depending on the year of conducting the research, different results were obtained. The year was decisive and so were the conclusions [33]. Soybean grown in relay cropping was shorter, lodged less, and gave lower yields than soybean grown in monoculture. Studies have shown that there is no need to conduct separate breeding work on the selection of plants for monoculture and relay cropping. The interaction of genotypes on the method of cultivation is small. In our experiment, there were also shorter plants [34]. In our own research, the method of soybean cultivation did not affect the height of the first pod. This is a very important feature affecting losses during harvesting and is strongly genetically determined.
The LER (Land Equivalent Ratio) is the sum of the relative yields of the components in relation to their cultivation in pure sowing. Studies indicate a large variability in the LER. Mixing C3 and C4 species in combination with combining different plant traits—plant height, growing season, photosynthetic mechanisms—gives the possibility of increasing the use of resources [35]. In intercropping, the yield of individual crops is usually lower than that of those grown in a pure stand. At the same time, the total yield exceeds that of individual crops in relay cropping. Cereals in comparison to legumes are more efficient in most studies. Usually, when the yield of cereals increases, the yield of legumes decreases. The relationship is not linear—the main crop always provides a certain niche that can be used [24].

5. Conclusions

In a field experiment, relay intercropping was tested, probably for the first time at such a far northern latitude with winter barley and soybean as cultivated crops. Our research showed that it is possible to sow soybean without damaging winter barley plants, within the recommended time of soy planting.
Weather conditions were crucial to the final effect of intercropping, with periods of severe drought negatively influencing yields, especially those of soybeans. The pure crop of soybean gave a yield much less than satisfactory, but barley gave yields much more steadily. Preliminarily, it can be concluded that relay intercropping ensures a stable protein yield. When soybean crops fail, barley helps provide protein.
Based on the conducted research, it is difficult to indicate what row arrangement and the resulting width of strips sown with barley are the best for intercropping with soybean. The results obtained are ambiguous, and further research in this area is required.
The most important conclusion from the conducted research is that the relay intercropping of two plants harvested for seeds is possible under the current climatic conditions in Poland. This opens a new research area in this climate zone.

Author Contributions

Conceptualization, S.Ś. and T.P.; methodology, S.Ś. and T.P.; validation, S.Ś.; formal analysis, S.Ś.; investigation, S.Ś.; data curation, S.Ś.; writing—original draft preparation, S.Ś., T.P., W.M. and A.T.; writing—review and editing, S.Ś. and T.P.; visualization, S.Ś. All authors have read and agreed to the published version of the manuscript.

Funding

This work was supported by Poznań University of Life Sciences as the research program “First grant”, no. 15/2022/Pierwszy grant. The publication was financed by the Polish Minister of Science and Higher Education as part of the Strategy of the Poznan University of Life Sciences for 2024–2026 in the field of improving scientific research and development work in priority research areas.

Data Availability Statement

Data is contained within the article.

Acknowledgments

The authors would like to thank Andrzej Blecharczyk for his invaluable support and discussions throughout this project. Additionally, we thank the members of the Experimental Station in Brody for their technical support and care for this experiment.

Conflicts of Interest

The authors declare no conflicts of interest.

References

  1. Lamichhane, J.R.; Alletto, L.; Cong, W.F.; Dayoub, E.; Maury, P.; Plaza-Bonilla, D.; Reckling, M.; Saia, S.; Soltani, E.; Tison, G.; et al. Relay cropping for sustainable intensification of agriculture across temperate regions: Crop management challenges and future research priorities. Field Crops Res. 2023, 291, 108795. [Google Scholar] [CrossRef]
  2. Yamane, K.; Ikoma, A.; Iijima, M. Performance of double cropping and relay intercropping for black soybean production in small-scale farms. Plant Prod. Sci. 2016, 19, 449–457. [Google Scholar] [CrossRef]
  3. Leszczynska, D.; Patkowski, K. Produkcyjność jęczmienia ozimego w Polsce w zależności od intensywności technologi uprawy. Tech. Rol. Ogrod. Leśna 2016, 1, 23–26. [Google Scholar]
  4. Chrzanowska-Drozdz, B.; Kaczmarek, K. Plonowanie odmian jęczmienia ozimego w warunkach zróżnicowanej technologi uprawy. Fragm. Agron. 2007, 24, 34–40. [Google Scholar]
  5. Adamczewski, K.; Ratajczak, G. Ocena nowych herbicydów do zwalczania chwastów w jęczmieniu ozimym. Pr. Nauk. Inst. Ochr. Roślin 1987, 29, 137–155. [Google Scholar]
  6. Horoszkiewicz-Janka, J.; Korbas, M.; Mrówczyński, M. Metodyka Integrowanej Ochrony Jęczmienia—Poradnik dla Doradców; Instytut Ochrony Roślin—Państwowy Instytut Badawczy: Poznań, Poland, 2017. [Google Scholar]
  7. Santos Hansel, D.S.; Schwalbert, R.A.; Shoup, D.E.; Holshouser, D.L.; Parvej, R.; Prasad, P.V.; Ciampitti, I.A. A review of soybean yield when double-cropped after wheat. Agron. J. 2019, 111, 677–685. [Google Scholar] [CrossRef]
  8. Serafin-Andrzejewska, M.; Helios, W.; Jama-Rodzeńska, A.; Kozak, M.; Kotecki, A.; Kuchar, L. Effect of sowing date on soybean development in South-Western Poland. Agriculture 2021, 11, 413. [Google Scholar] [CrossRef]
  9. Prusiński, J. Overwintering and yield of winter cultivars of field pea Assas and white lupine orus. Electron. J. Pol. Agric. Univ. 2016, 19, 1. [Google Scholar]
  10. Jerzak, M.A.; Krysztofiak, P. Narodowy cel wskaźnikowy jako czynnik rozwoju rynku rodzimego białka roślinnego. Rocz. Nauk. Stowarzyszenia Ekon. Rol. Agrobiznesu 2017, 19, 92–97. [Google Scholar]
  11. Żarski, J.; Kuśmierek-Tomaszewska, R.; Dudek, S.; Kropkowski, M.; Kledzik, R. Identifying climatic risk to soybean cultivation in the transitional type of moderate climate in Central Poland. J. Cent. Eur. Agric. 2019, 20, 143–156. [Google Scholar] [CrossRef]
  12. Kasperska-Wołowicz, W.; Rolbiecki, S.; Sadan, H.A.; Rolbiecki, R.; Jagosz, B.; Stachowski, P.; Pal-Fam, F. Impact of the projected climate change on soybean water needs in the Kuyavia region in Poland. J. Water Land Dev. 2021, 199–207. [Google Scholar] [CrossRef]
  13. Tanveer, M.; Anjum, S.A.; Hussain, S.; Cerdà, A.; Ashraf, U. Relay cropping as a sustainable approach: Problems and opportunities for sustainable crop production. Environ. Sci. Pollut. Res. 2017, 24, 6973–6988. [Google Scholar] [CrossRef] [PubMed]
  14. Van Oort, P.A.J.; Gou, F.; Stomph, T.J.; van der Werf, W. Effects of strip width on yields in relay-strip intercropping: Asimulation study. Eur. J. Agron. 2020, 112, 125936. [Google Scholar] [CrossRef]
  15. Koskey, G.; Avio, L.; Turrini, A.; Sbrana, C.; Bàrberi, P. Durum wheat-lentil relay intercropping enhances soil mycorrhizal activity but does not alter structure of arbuscular mycorrhizal fungal community within roots. Agric. Ecosyst. Environ. 2023, 357, 108696. [Google Scholar] [CrossRef]
  16. Feng, L.; Raza, M.A.; Chen, Y.; Khalid, M.H.B.; Meraj, T.A.; Ahsan, F.; Fan, Y.; Du, J.; Wu, X.; Song, C.; et al. Narrow-wide row planting pattern improves the light environment and seed yields of intercrop species in relay intercropping system. PLoS ONE 2019, 14, e0212885. [Google Scholar] [CrossRef] [PubMed]
  17. Wallace, S.U.; Bacanamwo, M.; Palmer, J.H.; Hull, S.A. Yield and yield components of relay-intercropped wheat and soybean. Field Crops Res. 1996, 46, 161–168. [Google Scholar] [CrossRef]
  18. Sandler, L.; Nelson, K.A.; Dudenhoeffer, C. Winter wheat row spacing and alternative crop effects on relay-intercrop, double-crop, and wheat yields. Int. J. Agron. 2015, 2015, 369243. [Google Scholar] [CrossRef]
  19. Duncan, S.R.; Schapaugh, W.T., Jr. Row orientation and planting pattern of relay intercropped soybean and wheat. J. Prod. Agric. 1993, 6, 360–364. [Google Scholar] [CrossRef]
  20. Mead, R.; Willey, R.W. The concept of a ‘land equivalent ratio’ and advantages in yields from intercropping. Exp. Agric. 1980, 16, 217–228. [Google Scholar] [CrossRef]
  21. Yu, Y.; Makowski, D.; Stomph, T.J.; van Der Werf, W. Robust Increases of Land Equivalent Ratio with Temporal Niche Differentiation: A Meta-Quantile Regression. Agron. J. 2016, 108, 2269–2279. [Google Scholar] [CrossRef]
  22. Koskey, G.; Leoni, F.; Carlesi, S.; Avio, L.; Bàrberi, P. Exploiting plant functional diversity in durum wheat–lentil relay intercropping to stabilize crop yields under contrasting climatic conditions. Agronomy 2022, 12, 210. [Google Scholar] [CrossRef]
  23. Gecaitė, V.; Arlauskienė, A.; Cesevičienė, J. Competition effects and productivity in oat–forage legume relay intercropping systems under organic farming conditions. Agriculture 2021, 11, 99. [Google Scholar] [CrossRef]
  24. Bedoussac, L.; Journet, E.P.; Hauggaard-Nielsen, H.; Naudin, C.; Corre-Hellou, G.; Jensen, E.S.; Prieur, L.; Justes, E. Ecological principles underlying the increase of productivity achieved by cereal-grain legume intercrops in organic farming. A review. Agron. Sustain. Dev. 2015, 35, 911–935. [Google Scholar] [CrossRef]
  25. Gooding, M.J.; Kasyanova, E.; Ruske, R.; Hauggaard-Nielsen, H.; Jensen, E.S.; Dahlmann, C.; von Fragstein Fragstein, P.; Dibet, A.; Corre Hellou, G.; Crozat, Y.; et al. Intercropping with pulses to concentrate nitrogen and sulphur in wheat. J. Agric. Sci. 2007, 145, 469–479. [Google Scholar] [CrossRef]
  26. Amossé, C.; Jeuffroy, M.H.; David, C. Relay intercropping of legume cover crops in organic winter wheat: Effects on performance and resource availability. Field Crops Res. 2013, 145, 78–87. [Google Scholar] [CrossRef]
  27. Launay, M.; Brisson, N.; Satger, S.; Hauggaard-Nielsen, H.; Corre-Hellou, G.; Kasynova, E.; Ruske, R.; Jensen, E.; Gooding, M.J. Exploring options for managing strategies for pea–barley intercropping using a modeling approach. Eur. J. Agron. 2009, 31, 85–98. [Google Scholar] [CrossRef]
  28. Machado, S. Does intercropping have a role in modern agriculture? J. Soil Water Conserv. 2009, 64, 55A–57A. [Google Scholar] [CrossRef]
  29. Rao, M.R.; Willey, R.W. Evaluation of yield stability in intercropping: Studies on Sorghum/Pigeonpea. Exp. Agric. 1980, 16, 105–116. [Google Scholar] [CrossRef]
  30. Hussen, A. Important of applying intercropping for sustainable crop production: A Review. Int. J. Res. Agron. 2021, 4, 37–40. [Google Scholar] [CrossRef]
  31. Bybee-Finley, K.A.; Ryan, M.R. Advancing intercropping research and practices in industrialized agricultural landscapes. Agriculture 2018, 8, 80. [Google Scholar] [CrossRef]
  32. Long, L.; Jianhao, S.; Fusuo, Z.; Xiaolin, L.; Zdenko, R.; Sicun, Y. Wheat/maize or wheat/soybean strip intercroping II. Recovery or compensation of maize and soybean after wheat harvesting. Field Crops Res. 2001, 71, 173–181. [Google Scholar]
  33. Wang, W.; Li, M.Y.; Gong, D.-S.; Zhou, R.; Khan, A.; Zhu, Y.; Zhu, H.; Abrar, M.; Zhu, S.-G.; Wang, B.-Z.; et al. Water use of intercropped species: Maize-soybean, soybean-wheat and wheat-maize. Agric. Water Manag. 2022, 269, 107690. [Google Scholar] [CrossRef]
  34. McBroom, R.L.; Hadley, H.H.; Brown, C.M.; Johnson, R.R. Evaluation of Soybean Cultivars in Monoculture and Relay Intercropping Systems 1. Crop Sci. 1981, 21, 673–676. [Google Scholar] [CrossRef]
  35. Yu, Y.; Stomph, T.J.; Makowski, D.; van Der Werf, W. Temporal niche differentiation increases the land equivalent ratio of annual intercrops: A meta-analysis. Field Crops Res. 2015, 184, 133–144. [Google Scholar] [CrossRef]
Figure 1. Four steps in relay cropping experiment: (A) cultivation of main plants in wide strips, (B) sowing second crop (soybean) into standing first one, (C) vegetation of second plant (soybean) and maturating first crop (barley), and (D) continuing vegetation of second crop (soybean) after barley harvest (photo by Świtek S.).
Figure 1. Four steps in relay cropping experiment: (A) cultivation of main plants in wide strips, (B) sowing second crop (soybean) into standing first one, (C) vegetation of second plant (soybean) and maturating first crop (barley), and (D) continuing vegetation of second crop (soybean) after barley harvest (photo by Świtek S.).
Agronomy 14 02736 g001
Figure 2. Plant vegetation scheme. Roman numerals (I to XII) indicate the month numbers.
Figure 2. Plant vegetation scheme. Roman numerals (I to XII) indicate the month numbers.
Agronomy 14 02736 g002
Figure 3. The weather in the first year of the experiment.
Figure 3. The weather in the first year of the experiment.
Agronomy 14 02736 g003
Figure 4. Sowing system: 1. 2b/3s(1)—in every two rows of barley, one row of soybean was planted in 60 cm width rows; 2. 3b/3s(1)—in every three rows of barley, one row of soybean was planted in 70 cm width rows; 3. 4b.3s(1)—in every four rows of barley, one row of soybean was planted in 80 cm rows; 4. 4b/3s(2)—in every four rows of barley, double row of soybean was planted in 80 cm rows; 5. 4b/3s(0)—barley planted with spaced rows without soybean; 6. B-control—barley in monoculture; 7. S-control—soybean in monoculture, where yellow indicates barley row, gray indicates removed barley row, and green indicates soybean row. In first year of experiment, due to unfavorable weather conditions, soybeans were not harvested.
Figure 4. Sowing system: 1. 2b/3s(1)—in every two rows of barley, one row of soybean was planted in 60 cm width rows; 2. 3b/3s(1)—in every three rows of barley, one row of soybean was planted in 70 cm width rows; 3. 4b.3s(1)—in every four rows of barley, one row of soybean was planted in 80 cm rows; 4. 4b/3s(2)—in every four rows of barley, double row of soybean was planted in 80 cm rows; 5. 4b/3s(0)—barley planted with spaced rows without soybean; 6. B-control—barley in monoculture; 7. S-control—soybean in monoculture, where yellow indicates barley row, gray indicates removed barley row, and green indicates soybean row. In first year of experiment, due to unfavorable weather conditions, soybeans were not harvested.
Agronomy 14 02736 g004
Figure 5. Construction and adaptation of machines for intercropping: (A) tractor adaptation, (B) fragment of constructed seeder, and (C) combine harvester with header unit adapted for strip harvesting (photo Świtek S).
Figure 5. Construction and adaptation of machines for intercropping: (A) tractor adaptation, (B) fragment of constructed seeder, and (C) combine harvester with header unit adapted for strip harvesting (photo Świtek S).
Agronomy 14 02736 g005
Figure 6. Barley yield as affected by strip width and soybean intercropping. Homogeneous groups were designated and marked with letter symbols (a,b).
Figure 6. Barley yield as affected by strip width and soybean intercropping. Homogeneous groups were designated and marked with letter symbols (a,b).
Agronomy 14 02736 g006
Figure 7. Barley grain parameters as affected by strip width and soybean intercropping. Homogeneous groups were designated and marked with letter symbols (a,b).
Figure 7. Barley grain parameters as affected by strip width and soybean intercropping. Homogeneous groups were designated and marked with letter symbols (a,b).
Agronomy 14 02736 g007
Figure 8. Soybean yield as affected by strip width and intercropping. Homogeneous groups were designated and marked with letter symbols (a,b).
Figure 8. Soybean yield as affected by strip width and intercropping. Homogeneous groups were designated and marked with letter symbols (a,b).
Agronomy 14 02736 g008
Figure 9. Soybean yield parameters as affected by strip width and intercropping. Homogeneous groups were designated and marked with letter symbols (a,b).
Figure 9. Soybean yield parameters as affected by strip width and intercropping. Homogeneous groups were designated and marked with letter symbols (a,b).
Agronomy 14 02736 g009
Figure 10. Protein content and protein yield in barley and soybeans as affected by strip width and intercropping. Homogeneous groups were designated and marked with letter symbols (a,b).
Figure 10. Protein content and protein yield in barley and soybeans as affected by strip width and intercropping. Homogeneous groups were designated and marked with letter symbols (a,b).
Agronomy 14 02736 g010
Table 1. Agrotechnics of barley and soybean cultivation.
Table 1. Agrotechnics of barley and soybean cultivation.
NoType of Procedure2021/20222022/2023
1Mineral fertilization (20% P; 30% K)250 kg/ha; 2.08.250 kg/ha; 24.08
2Sowing of winter barley variety SuJule200 kg/ha200 kg/ha; 21.09.180 kg/ha 7.10.
3Herbicide application ”Chwastox Nowy Trio 390 SL”2.0 L/ha; 30.03. 2.0 l/ha; 22.03.
4Nitrogen application 90 kg N/ha 14.03.90 kg N/ha 17.03.
5Herbicide application “Axial”0.9 L/ha 13.04.0.9 L/ha 26.04.
6Growth regulator application “Moddus 250 EC” 0.6 L/ha 9.05.0.4 L/ha 11.05.
8Soybean planting11.05.17.05.
9Soybean–herbicide application “Corum” 0.6 L/ha 2.06, 8.06.Stomp Aqua 455 2.5 L/ha 15.05.
10Barley harvest5.07.7.07.
Table 2. Average results for winter barley parameters and significance of effects of strip width and intercropping.
Table 2. Average results for winter barley parameters and significance of effects of strip width and intercropping.
Mean ValueSignificance (p Value)
Unit20222023LevelYearYear/Level
Barley yielddt/ha59.946.70.004 ***0.017 *0.001 **
Barley protein%11.310.60.000 ***0.000 ***0.049 *
Barley protein yieldkg/ha675486.90.049 *0.005 **0.003 **
Barley hectoliter weightkg/hl66.065.90.0410.9700.051
Barley 1000 grain weightg51.948.90.002 **0.002 ***0.000 ***
Signif. codes: 0 ‘***’, 0.01 ‘**’, 0.05 ‘*’.
Table 3. Soybean parameters and significance of effects of strip width and intercropping.
Table 3. Soybean parameters and significance of effects of strip width and intercropping.
Unit2023F-Valuep
Soybean first podcm7.030.2660.894
SB pod per plantunit17.02.810.073
SB branches numberunit1.612.350.113
SB hectoliterkg/hl72.91.930.269
SB 1000 seedsg1894.880.014
SB yielddt/ha6.723.940.000
SB plant heightcm45.28.820.001
SB protein yieldkg/ha22729.40.000
SB protein%34.20.1550.957
Table 4. LER value.
Table 4. LER value.
TreatmentsLER Yield 2022LER Yield 2023LER Protein Yield 2022LER Protein Yield 2023CV 2023
2j/3s(1)1.070.841.140.910.11
3j/3s(1)0.700.800.730.860.13
4j/3s(1)1.140.911.150.960.10
4j/3s(2)1.020.971.011.020.15
4j/3s(0)0.980.730.990.770.16
Disclaimer/Publisher’s Note: The statements, opinions and data contained in all publications are solely those of the individual author(s) and contributor(s) and not of MDPI and/or the editor(s). MDPI and/or the editor(s) disclaim responsibility for any injury to people or property resulting from any ideas, methods, instructions or products referred to in the content.

Share and Cite

MDPI and ACS Style

Świtek, S.; Majchrzycki, W.; Taras, A.; Piechota, T. Relay Intercropping of Soybean and Winter Barley in Polish Climatic Conditions—Importance of Strip Width and Yearly Weather. Agronomy 2024, 14, 2736. https://doi.org/10.3390/agronomy14112736

AMA Style

Świtek S, Majchrzycki W, Taras A, Piechota T. Relay Intercropping of Soybean and Winter Barley in Polish Climatic Conditions—Importance of Strip Width and Yearly Weather. Agronomy. 2024; 14(11):2736. https://doi.org/10.3390/agronomy14112736

Chicago/Turabian Style

Świtek, Stanisław, Wiktor Majchrzycki, Aleksander Taras, and Tomasz Piechota. 2024. "Relay Intercropping of Soybean and Winter Barley in Polish Climatic Conditions—Importance of Strip Width and Yearly Weather" Agronomy 14, no. 11: 2736. https://doi.org/10.3390/agronomy14112736

APA Style

Świtek, S., Majchrzycki, W., Taras, A., & Piechota, T. (2024). Relay Intercropping of Soybean and Winter Barley in Polish Climatic Conditions—Importance of Strip Width and Yearly Weather. Agronomy, 14(11), 2736. https://doi.org/10.3390/agronomy14112736

Note that from the first issue of 2016, this journal uses article numbers instead of page numbers. See further details here.

Article Metrics

Back to TopTop