Influence of Nitrogen Applications during Grain-Filling Stage on Rice (Oryza sativa L.) Yield and Grain Quality under High Temperature
Abstract
1. Introduction
2. Materials and Methods
2.1. Experimental Site, Plant Material and Soil Information
2.2. Experiment Design
2.3. Sampling and Measurement Methods
2.3.1. Rice Plant Temperature
2.3.2. Rice Yield, Components and Grain-Filling Duration
2.3.3. Flag Leaf Photosynthesis and Chlorophyll Fluorescence Parameters
2.3.4. Milling Quality, Chalk Characteristics, Amylose Content and Crude Protein Content
2.3.5. Relative Crystallinity
2.3.6. Pasting Properties
2.3.7. Thermal Properties
2.4. Statistical Analysis
3. Results
3.1. Rice Yield, Components and Grain-Filling Duration
3.2. Temperature of Rice Organs
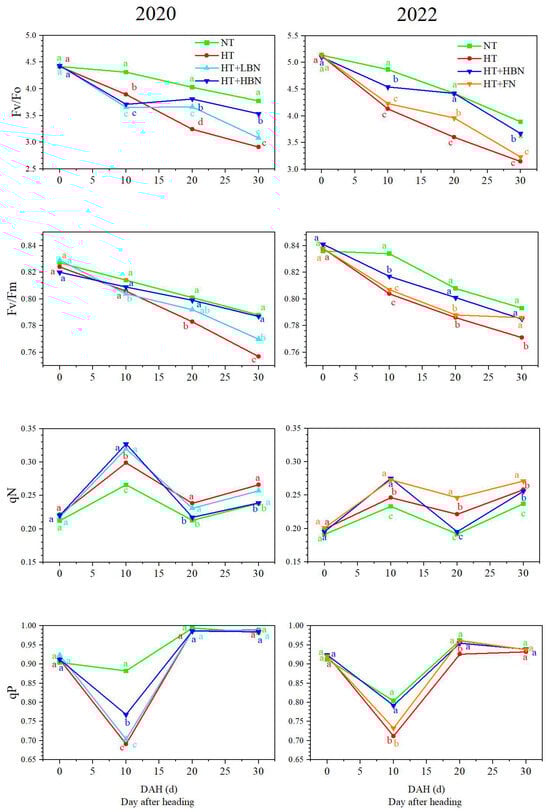
3.3. Flag Leaf Photosynthesis and Chlorophyll Fluorescence Parameters
3.4. Grain Quality
3.4.1. Rice Characteristics, Milling Quality, Amylose Content and Crude Protein Content
3.4.2. RVA Profiles
3.4.3. Thermal Properties
3.5. Correlation Analysis
3.5.1. Correlation Analysis between Pn of Flag Leaves and Rice Milling and Chalk Parameters
3.5.2. Correlation Analysis between Rice Amylose Content, Crude Protein Content, Relative Crystallinity and Pasting and Thermal Properties
4. Discussion
4.1. Regulation Influence of Nitrogen Application Measures on Rice Yield and Leaf Photosynthesis under High Grain-Filling Temperature
4.2. Regulation Influence of Nitrogen Application Measures on Rice Grain Quality under High Grain-Filling Temperature
5. Conclusions
Author Contributions
Funding
Data Availability Statement
Acknowledgments
Conflicts of Interest
References
- Bandumula, N. Rice production in Asia: Key to global food security. Proc. Natl. Acad. Sci. India B Biol. Sci. 2018, 88, 1323–1328. [Google Scholar] [CrossRef]
- Nie, L.; Peng, S. Rice Production in China. In Rice Production Worldwide; Chauhan, B., Jabran, K., Mahajan, G., Eds.; Springer: Cham, Switzerland, 2017. [Google Scholar] [CrossRef]
- Adhikari, U.; Nejadhashemi, A.P.; Woznicki, S.A. Climate change and eastern Africa: A review of impact on major crops. Food Energy Secur. 2015, 4, 110–132. [Google Scholar] [CrossRef]
- Lv, Z.; Zhu, Y.; Liu, X.; Ye, H.; Tian, Y.; Li, F. Climate change impacts on regional rice production in China. Clim. Chang. 2018, 147, 523–537. [Google Scholar] [CrossRef]
- Chen, Y.; Chen, H.; Xiang, J.; Zhang, Y.; Wang, Z.; Zhu, D.; Wang, J.; Zhang, Y.; Wang, Y. Rice spikelet formation inhibition caused by decreased sugar utilization under high temperature is associated with brassinolide decomposition. Environ. Exp. Bot. 2021, 190, 104585. [Google Scholar] [CrossRef]
- Endo, M.; Tsuchiya, T.; Hamada, K.; Kawamura, S.; Yano, K.; Ohshima, M.; Higashitani, A.; Watanabe, M. High temperatures cause male sterility in rice plants with transcriptional alterations during pollen development. Plant Cell Physiol. 2009, 50, 1911–1922. [Google Scholar] [CrossRef] [PubMed]
- Jagadish, S.V.K.; Craufurd, P.Q.; Wheeler, T.R. High temperature stress and spikelet fertility in rice (Oryza sativa L.). J. Exp. Bot. 2007, 58, 1627–1635. [Google Scholar] [CrossRef]
- Morita, S.; Yonemaru, J.; Takanashi, J. Grain growth and endosperm cell size under high night temperatures in rice (Oryza sativa L.). Ann. Bot. 2005, 95, 695–701. [Google Scholar] [CrossRef]
- Ahmed, N.; Tetlow, I.J.; Nawaz, S.; Iqbal, A.; Mubin, M.; Rehman, M.S.N.U.; Butt, A.; Lightfoot, D.A.; Maekawa, M. Effect of high temperature on grain filling period, yield, amylose content and activity of starch biosynthesis enzymes in endosperm of basmati rice. J. Sci. Food Agric. 2015, 95, 2237–2243. [Google Scholar] [CrossRef] [PubMed]
- Dou, Z.; Tang, S.; Chen, W.; Zhang, H.; Li, G.; Liu, Z.; Ding, C.; Chen, L.; Wang, S.; Zhang, H.; et al. Effects of open-field warming during grain-filling stage on grain quality of two japonica rice cultivars in lower reaches of Yangtze River delta. J. Cereal Sci. 2018, 81, 118–126. [Google Scholar] [CrossRef]
- Dou, Z.; Zhang, H.; Chen, W.; Li, G.; Liu, Z.; Ding, C.; Chen, L.; Wang, S.; Ding, Y.; Tang, S. Grain-filling of superior spikelets and inferior spikelets for japonica rice under low-amplitude warming regime in lower reaches of Yangtze River Basin. J. Agric. Sci. 2021, 159, 59–68. [Google Scholar] [CrossRef]
- Al-Khatib, K.; Paulsen, G.M. High-temperature effects on photosynthetic processes in temperate and tropical cereals. Crop Sci. 1999, 39, 119–125. [Google Scholar] [CrossRef]
- Kim, J.; Shon, J.; Lee, C.K.; Yang, W.; Yoon, Y.; Yang, W.H.; Kim, Y.G.; Lee, B.W. Relationship between grain filling duration and leaf senescence of temperate rice under high temperature. Field Crop. Res. 2011, 122, 207–213. [Google Scholar] [CrossRef]
- Mohammed, A.R.; Tarpley, L. Impact of high nighttime temperature on respiration, membrane stability, antioxidant capacity, and yield of rice plants. Crop Sci. 2009, 49, 313–322. [Google Scholar] [CrossRef]
- Ito, S.; Hara, T.; Kawanami, Y.; Watanabe, T.; Thiraporn, K.; Ohtake, N.; Sueyoshi, K.; Mitsui, T.; Fukuyama, T.; Takahashi, Y.; et al. Carbon and nitrogen transport during grain filling in rice under high-temperature conditions. J. Agron. Crop Sci. 2009, 195, 368–376. [Google Scholar] [CrossRef]
- Takai, T.; Yano, M.; Yamamoto, T. Canopy temperature on clear and cloudy days can be used to estimate varietal differences in stomatal conductance in rice. Field Crop. Res. 2010, 115, 165–170. [Google Scholar] [CrossRef]
- Yan, C.; Chen, H.; Fan, T.; Huang, Y.; Yu, S.; Chen, S.; Hong, X. Rice flag leaf physiology, organ and canopy temperature in response to water stress. Plant Prod. Sci. 2012, 15, 92–99. [Google Scholar] [CrossRef]
- Jiang, M.; Zhang, C.; Yuan, L.; Huang, X.; Huang, L.; Huo, Z. Rice canopy temperature as affected by nitrogen fertilizer. J. Integr. Agric. 2023; in press. [Google Scholar] [CrossRef]
- Singh, D.P.; Sarkar, R.K. Distinction and characterisation of salinity tolerant and sensitive rice cultivars as probed by the chlorophyll fluorescence characteristics and growth parameters. Funct. Plant Biol. 2014, 41, 727–736. [Google Scholar] [CrossRef]
- Faseela, P.; Sinisha, A.K.; Brestič, M.; Puthur, J.T. Chlorophyll a fluorescence parameters as indicators of a particular abiotic stress in rice. Photosynthetica 2020, 58, 293–300. [Google Scholar] [CrossRef]
- Shi, W.; Yin, X.; Struik, P.C.; Xie, F.; Schmidt, R.C.; Jagadish, S.V.K. Grain yield and quality responses of tropical hybrid rice to high night-time temperature. Field Crop. Res. 2016, 190, 18–25. [Google Scholar] [CrossRef]
- Ambardekar, A.A.; Siebenmoorgen, T.J.; Counce, P.A.; Lanning, S.B.; Mauromoustakos, A. Impact of field-scale nighttime air temperatures during kernel development on rice milling quality. Field Crop. Res. 2011, 122, 179–185. [Google Scholar] [CrossRef]
- Kato, K.; Suzuki, Y.; Hosaka, Y.; Takahashi, R.; Kodama, I.; Sato, K.; Kawamoto, T.; Kumamaru, T.; Fujita, N. Effect of high temperature on starch biosynthetic enzymes and starch structure in japonica rice cultivar ‘Akitakomachi’ (Oryza sativa L.) endosperm and palatability of cooked rice. J. Cereal Sci. 2019, 87, 209–214. [Google Scholar] [CrossRef]
- Fitzgerald, M.A.; McCouch, S.R.; Hall, R.D. Not just a grain of rice: The quest for quality. Trends Plant Sci. 2009, 14, 133–139. [Google Scholar] [CrossRef]
- Chen, J.; Tang, L.; Shi, P.; Yang, B.; Sun, T.; Cao, W.; Zhu, Y. Effects of short-term high temperature on grain quality and starch granules of rice (Oryza sativa L.) at post-anthesis stage. Protoplasma. 2017, 254, 935–943. [Google Scholar] [CrossRef]
- Feng, B.; Zhang, C.; Chen, T.; Zhang, X.; Tao, L.; Fu, G. Salicylic acid reverses pollen abortion of rice caused by heat stress. BMC Plant Biol. 2018, 18, 245. [Google Scholar] [CrossRef]
- Yang, J.; Fei, K.; Chen, J.; Wang, Z.; Zhang, W.; Zhang, J. Jasmonates alleviate spikelet-opening impairment caused by high temperature stress during anthesis of photo-thermo-sensitive genic male sterile rice lines. Food Energy Secur. 2020, 9, e233. [Google Scholar] [CrossRef]
- Fahad, S.; Hussain, S.; Saud, S.; Hassan, S.; Ihsan, Z.; Shah, A.N.; Wu, C.; Yousaf, M.; Nasim, W.; Alharby, H.; et al. Exogenously applied plant growth regulators enhance the morpho-physiological growth and yield of rice under high temperature. Front. Plant Sci. 2016, 30, 1250. [Google Scholar] [CrossRef]
- Wopereis-Pura, M.M.; Watanabe, H.; Moreira, J. Effect of late nitrogen application on rice yield, grain quality and profitability in the Senegal River valley. Eur. J. Agron. 2002, 17, 191–198. [Google Scholar] [CrossRef]
- Leesawatwong, M.; Jamjod, S.; Kuo, J.; Dell, B.; Rerkasem, B. Nitrogen fertilizer increases seed protein and milling quality of rice. Cereal Chem. 2005, 82, 588–593. [Google Scholar] [CrossRef]
- Xiong, D.; Yu, T.; Ling, X.; Fahad, S.; Peng, S.; Li, Y.; Huang, J. Sufficient leaf transpiration and nonstructural carbohydrates are beneficial for high-temperature tolerance in three rice (Oryza sativa) cultivars and two nitrogen treatments. Funct. Plant Biol. 2014, 42, 347–356. [Google Scholar] [CrossRef]
- Chen, Y.; Liu, Y.; Ge, J.; Rongkai, L.; Zhang, R.; Zhang, Y.; Huo, Z.; Xu, K.; Wei, H.; Dai, Q. Improved physiological and morphological traits of root synergistically enhanced salinity tolerance in rice under appropriate nitrogen application rate. Front. Plant Sci. 2022, 13, 982637. [Google Scholar] [CrossRef]
- Gautam, P.; Lal, B.; Raja, R.; Tripathi, R.; Shahid, M.; Baig, M.J.; Puree, C.; Mohanty, S.; Nayak, A.K. Effect of simulated flash flooding on rice and its recovery after flooding with nutrient management strategies. Ecol. Eng. 2015, 77, 250–256. [Google Scholar] [CrossRef]
- GB/T 17891/1999; Standard for Rice Quality Evaluation. The People’s Republic of China: Beijing, China, 1999. (In Chinese)
- Zhang, J.; Li, G.; Song, Y.; Liu, Z.; Yang, C.; Tang, S.; Zheng, C.; Wang, S.; Ding, Y. Lodging resistance characteristics of high-yielding rice populations. Field Crop. Res. 2014, 161, 64–74. [Google Scholar] [CrossRef]
- Zhu, D.; Zhang, H.; Guo, B.; Xu, K.; Dai, Q.; Wei, H.; Gao, H.; Hu, Y.; Cui, P.; Huo, Z. Effects of nitrogen level on yield and quality of japonica soft super rice. J. Integr. Agric. 2017, 16, 1018–1027. [Google Scholar] [CrossRef]
- Ordóñez, R.A.; Savin, R.; Cossani, C.M.; Slafer, G.A. Yield response to heat stress as affected by nitrogen availability in maize. Field Crop. Res. 2015, 183, 184–203. [Google Scholar] [CrossRef]
- Rang, Z.W.; Jagadish, S.V.K.; Zhou, Q.M.; Craufurd, P.Q.; Heuer, S. Effect of high temperature and water stress on pollen germination and spikelet fertility in rice. Environ. Exp. Bot. 2011, 70, 58–65. [Google Scholar] [CrossRef]
- Cheabu, S.; Moung-Ngam, P.; Arikit, S.; Vanavichit, A.; Malumpong, C. Effects of heat stress at vegetative and reproductive stages on spikelet fertility. Rice Sci. 2018, 25, 218–226. [Google Scholar] [CrossRef]
- Nakano, H.; Makino, A.; Mae, T. The effect of elevated partial pressures of CO2 on the relationship between photosynthetic capacity and N content in rice leaves. Plant Physiol. 1997, 115, 191–198. [Google Scholar] [CrossRef]
- Marchiori, P.E.R.; Machado, E.C.; Ribeiro, R.V. Photosynthetic limitations imposed by self-shading in field-grown sugarcane varieties. Field Crop. Res. 2014, 155, 30–37. [Google Scholar] [CrossRef]
- Oxborough, K.; Baker, N.R. Resolving chlorophyll a fluorescence images of photosynthetic efficiency into photochemical and non-photochemical components–calculation of qP and Fv-/Fm-; without measuring Fo. Photosynth. Res. 1997, 54, 135–142. [Google Scholar] [CrossRef]
- Long, J.; Wan, Y.; Song, C.; Sun, J.; Qin, R. Effects of nitrogen fertilizer level on chlorophyll fluorescence characteristics in flag leaf of super hybrid rice at late growth stage. Rice Sci. 2013, 20, 220–228. [Google Scholar] [CrossRef]
- Peng, J.; Feng, Y.; Wang, X.; Li, J. Effects of nitrogen application rate on the photosynthetic pigment, leaf fluorescence characteristics, and yield of indica hybrid rice and their interrelations. Sci. Rep. 2021, 11, 7485. [Google Scholar] [CrossRef]
- Custodio, M.C.; Cuevas, R.P.; Ynion, J.; Laborte, A.G.; Velasco, M.L.; Demont, M. Rice quality: How is it defined by consumers, industry, food scientists, and geneticists? Trends Food Sci. Tech. 2019, 92, 122–137. [Google Scholar] [CrossRef]
- Kobata, T.; Uemuki, N.; Inamura, T.; Kagata, H. Shortage of assimilate supply to grain increases the proportion of milky white rice kernels under high temperatures. Jpn. J. Crop Sci. 2004, 73, 315–322. [Google Scholar] [CrossRef]
- Song, X.; Du, Y.; Zhao, Q.; Cui, Y. Effects of high night temperature during grain filling on formation of physicochemical properties for japonica rice. J. Cereal Sci. 2015, 66, 74–80. [Google Scholar] [CrossRef]
- Wada, H.; Hatakeyama, Y.; Onda, Y.; Nonami, H.; Nakashima, T.; Erra-Balsells, R.; Morita, S.; Hiraoka, K.; Tanaka, F.; Nakano, H. Multiple strategies for heat adaptation to prevent chalkiness in the rice endosperm. J. Exp. Bot. 2019, 70, 1299–1311. [Google Scholar] [CrossRef]
- Idowu, O.; Katsube-Tanaka, T.; Shiraiwa, T. Nitrogen fertilizer application does not always improve available carbohydrate per spikelet but decreases chalkiness under high temperature in rice (Oryza sativa L.) grains. Field Crop. Res. 2023, 290, 108741. [Google Scholar] [CrossRef]
- Tsukaguchi, T.; Iida, Y. Effects of assimilate supply and high temperature during grain-filling period on the occurrence of various types of chalky kernels in rice plants (Oryza sativa L.). Plant Prod. Sci. 2008, 11, 203–210. [Google Scholar] [CrossRef]
- Tsukaguchi, T.; Ohashi, K.; Sakai, H.; Hasegawa, T. Varietal difference in the occurrence of milky white kernels in response to assimilate supply in rice plants (Oryza sativa L.). Plant Prod. Sci. 2011, 14, 111–117. [Google Scholar] [CrossRef][Green Version]
- Ashida, K.; Araki, E.; Maruyama-Funatsuki, W.; Fujimoto, H.; Ikegami, M. Temperature during grain ripening affects the ratio of type-II/type-I protein body and starch pasting properties of rice (Oryza sativa L.). J. Cereal Sci. 2013, 57, 153–159. [Google Scholar] [CrossRef]
- Liang, C.; Chen, L.; Wang, Y.; Liu, J.; Xu, G.; Li, T. High temperature at grain-filling stage affects nitrogen metabolism enzyme activities in grains and grain nutritional quality in rice. Rice Sci. 2011, 18, 210–216. [Google Scholar] [CrossRef]
- Feng, H.; Li, Y.; Yan, Y.; Wei, X.; Yang, Y.; Zhang, L.; Ma, L.; Li, W.; Tang, X.; Mo, Z. Nitrogen regulates the grain yield, antioxidant attributes, and nitrogen metabolism in fragrant rice grown under lead-contaminated soil. J. Plant Nutr. Soil Sci. 2020, 20, 2099–2111. [Google Scholar] [CrossRef]
- Hu, Y.; Xue, J.; Li, L.; Cong, S.; Yu, E.; Xu, K.; Zhang, H. Influence of dynamic high temperature during grain filling on starch fine structure and functional properties of semi-waxy japonica rice. J. Cereal Sci. 2021, 101, 103319. [Google Scholar] [CrossRef]
- Balindong, J.L.; Ward, R.M.; Liu, L.; Rose, T.J.; Pallas, L.A.; Ovenden, B.W.; Snell, P.J.; Waters, D.L.E. Rice grain protein composition influences instrumental measures of rice cooking and eating quality. J. Cereal Sci. 2018, 79, 35–42. [Google Scholar] [CrossRef]



| Year | Treatment | TNAR (g/Pot) | BNAR (g/Pot) | PNAR (g/Pot) | Nitrogen Application Rates at HS (g/Pot) | P2O5 Application Rates (g/Pot) | KCl Application Rates (g/Pot) |
|---|---|---|---|---|---|---|---|
| 2020 | NT | 1.80 | 1.00 | 0.80 | 0 | 1.00 | 2.00 |
| HT | 1.80 | 1.00 | 0.80 | 0 | 1.00 | 2.00 | |
| HT + LBN | 2.05 | 1.00 | 0.80 | 0.25 | 1.00 | 2.00 | |
| HT + HBN | 2.30 | 1.00 | 0.80 | 0.50 | 1.00 | 2.00 | |
| 2022 | NT | 1.80 | 1.00 | 0.80 | 0 | 1.00 | 2.00 |
| HT | 1.80 | 1.00 | 0.80 | 0 | 1.00 | 2.00 | |
| HT + HBN | 2.30 | 1.00 | 0.80 | 0.50 | 1.00 | 2.00 | |
| HT + FN | 1.82 | 1.00 | 0.80 | 0.023 | 1.00 | 2.00 |
| Temperature Treatment | DAMTC | Temperature Setting of Different Time Periods (°C) | Nighttime (°C) | Daytime (°C) | |||||||
|---|---|---|---|---|---|---|---|---|---|---|---|
| 18:00~ 21:00 | 21:00~ 24:00 | 24:00~ 3:00 | 3:00~ 6:00 | 6:00~ 9:00 | 9:00~ 12:00 | 12:00~ 15:00 | 15:00~ 18:00 | ||||
| NT | 1~5 d | 28 | 25 | 23 | 21 | 28 | 31 | 34 | 31 | 24.25 | 31 |
| 6~10 d | 27 | 24 | 22 | 20 | 27 | 30 | 33 | 30 | 23.25 | 30 | |
| 11~15 d | 25 | 22 | 20 | 18 | 25 | 28 | 31 | 28 | 21.25 | 28 | |
| 16~20 d | 23 | 20 | 18 | 16 | 23 | 26 | 29 | 26 | 19.25 | 26 | |
| HT | 1~5 d | 32 | 29 | 27 | 25 | 31 | 34 | 37 | 34 | 28.25 | 34 |
| 6~10 d | 31 | 28 | 26 | 24 | 30 | 33 | 36 | 33 | 27.25 | 33 | |
| 11~15 d | 29 | 26 | 24 | 22 | 28 | 31 | 34 | 31 | 25.25 | 31 | |
| 16~20 d | 27 | 24 | 22 | 20 | 26 | 29 | 32 | 29 | 23.25 | 29 | |
| Year | Treatment | Panicles per Pot | Spikelets per Panicle | Seed-Setting Rate (%) | 1000-Grain Weight (g) | Yield (g/Pot) | Grain-Filling Duration (d) |
|---|---|---|---|---|---|---|---|
| 2020 | NT | 20.2 a | 119.4 b | 90.27 a | 31.54 a | 68.68 a | 51 |
| HT | 20.6 a | 122.3 a | 86.56 b | 29.30 b | 63.87 c | 47 | |
| HT + LBN | 20.0 a | 121.0 ab | 87.90 b | 29.57 b | 62.87 c | 47 | |
| HT + HBN | 20.2 a | 116.9 c | 89.71 a | 31.23 a | 66.15 b | 49 | |
| 2022 | NT | 19.4 a | 108.7 b | 87.75 a | 31.98 a | 59.18 a | 55 |
| HT | 19.0 a | 109.1 b | 84.74 b | 29.02 b | 50.97 c | 48 | |
| HT + HBN | 19.3 a | 111.1 a | 86.93 a | 30.89 a | 57.60 b | 51 | |
| HT + FN | 19.0 a | 109.1 b | 86.46 a | 31.73 a | 56.85 b | 49 |
| Year | Treatment | Panicle (°C) | Flag Leaf (°C) | ||||||
|---|---|---|---|---|---|---|---|---|---|
| HS | 10 DAH | 20 DAH | 30 DAH | HS | 10 DAH | 20 DAH | 30 DAH | ||
| 2020 | NT | 27.88 a | 30.01 c | 27.24 c | 25.16 b | 27.32 a | 29.97 c | 26.76 c | 24.98 b |
| HT | 27.92 a | 32.95 a | 29.63 a | 25.90 a | 27.40 a | 32.62 a | 29.30 a | 25.93 a | |
| HT + LBN | 27.87 a | 32.45 a | 29.63 a | 25.65 a | 27.45 a | 32.45 a | 29.53 a | 25.58 a | |
| HT + HBN | 27.82 a | 31.80 b | 28.21 b | 25.23 b | 27.20 a | 31.60 b | 28.41 b | 25.15 b | |
| 2022 | NT | 27.40 a | 29.42 d | 26.92 d | 21.78 b | 27.20 a | 29.30 d | 26.69 d | 21.72 b |
| HT | 27.56 a | 32.35 a | 29.80 b | 22.42 a | 27.12 a | 32.27 a | 29.73 b | 22.34 a | |
| HT + HBN | 27.38 a | 31.93 b | 28.83 c | 21.90 b | 27.57 a | 31.67 b | 28.76 c | 21.41 b | |
| HT + FN | 27.54 a | 31.22 c | 30.41 a | 22.60 a | 27.32 a | 31.02 c | 30.20 a | 22.58 a | |
| Year | Treatment | Brown Rice Rate (%) | Milled Rice Rate (%) | Head Rice Rate (%) | Chalky Rate (%) | Chalky Area (%) | Chalky Degree (%) | Amylose Content (%) | Crude Protein Content (%) | Relative Crystallinity (%) |
|---|---|---|---|---|---|---|---|---|---|---|
| 2020 | NT | 83.33 ± 0.11 a | 72.05 ± 0.37 a | 68.51 ± 0.02 a | 39.1 ± 1.4 d | 15.6 ± 1.3 d | 6.1 ± 0.8 d | 18.13 ± 0.12 a | 7.36 ± 0.15 c | 20.54 ± 0.12 b |
| HT | 82.15 ± 0.06 b | 66.13 ± 0.35 d | 62.32 ± 0.15 d | 63.9 ± 1.3 a | 31.8 ± 1.4 a | 20.3 ± 1.9 a | 16.04 ± 0.11 b | 8.19 ± 0.09 b | 22.54 ± 0.27 a | |
| HT + LBN | 82.33 ± 0.15 b | 67.28 ± 0.09 c | 63.25 ± 0.53 c | 52.1 ± 1.3 b | 26.2 ± 0.7 b | 13.7 ± 1.2 b | 15.55 ± 0.17 bc | 9.71 ± 0.11 a | 22.43 ± 0.19 a | |
| HT + HBN | 83.24 ± 0.07 a | 69.07 ± 0.35 b | 66.43 ± 0.11 b | 45.0 ± 1.7 c | 23.1 ± 1.1 c | 10.4 ± 0.6 c | 15.29 ± 0.18 c | 9.75 ± 0.07 a | 22.94 ± 0.17 a | |
| 2022 | NT | 83.57 ± 0.23 a | 72.04 ± 0.11 a | 70.63 ± 0.76 a | 33.3 ± 0.8 c | 20.7 ± 0.9 c | 6.9 ± 0.2 c | 18.67 ± 0.20 a | 7.13 ± 0.12 c | 19.57 ± 0.07 c |
| HT | 82.15 ± 0.09 b | 68.77 ± 0.61 b | 65.46 ± 0.32 c | 58.0 ± 1.0 a | 33.9 ± 0.8 a | 19.7 ± 0.2 a | 16.77 ± 0.17 b | 7.98 ± 0.14 b | 20.05 ± 0.11 ab | |
| HT + HBN | 83.74 ± 0.20 a | 71.89 ± 0.26 a | 68.84 ± 0.26 b | 48.8 ± 2.2 c | 23.8 ± 2.0 b | 11.5 ± 0.6 b | 15.75 ± 0.12 c | 9.27 ± 0.08 a | 20.80 ± 0.06 a | |
| HT + FN | 82.03 ± 0.27 b | 67.22 ± 0.69 b | 64.11 ± 0.36 c | 51.3 ± 1.2 b | 24.4 ± 1.0 b | 12.5 ± 0.2 b | 15.42 ± 0.16 c | 8.23 ± 0.06 b | 19.76 ± 0.13 bc |
| Year | Treatment | Peak Viscosity (cP) | Hot Viscosity (cP) | Final Viscosity (cP) | Breakdown (cP) | Setback (cP) | Consistency (cP) | Pasting Temperature (°C) |
|---|---|---|---|---|---|---|---|---|
| 2020 | NT | 2562.67 ± 25.44 b | 1955.67 ± 16.76 a | 2777.33 ± 17.89 b | 607.00 ± 42.20 b | 214.67 ± 19.60 b | 821.67 ± 31.48 bc | 76.02 ± 0.02 b |
| HT | 2632.67 ± 5.36 a | 2018.67 ± 14.40 a | 2905.67 ± 21.99 a | 614.00 ± 19.09 b | 273.00 ± 25.40 a | 887.00 ± 26.21 ab | 78.60 ± 0.69 a | |
| HT + LBN | 2360.67 ± 12.44 c | 1846.00 ± 26.50 b | 2638.00 ± 19.66 c | 514.67 ± 38.93 c | 277.33 ± 32.10 a | 792.00 ± 7.09 c | 78.90 ± 0.50 a | |
| HT + HBN | 2550.00 ± 7.55 b | 1829.67 ± 29.33 b | 2783.33 ± 2.40 b | 720.33 ± 31.86 a | 233.33 ± 5.90 b | 953.67 ± 31.27 a | 78.88 ± 0.56 a | |
| 2022 | NT | 2749.67 ± 18.81 d | 2156.00 ± 18.56 c | 3172.33 ± 32.33 b | 593.67 ± 3.76 b | 422.66 ± 43.28 a | 1016.33 ± 45.49 a | 73.87 ± 0.25 b |
| HT | 3085.67 ± 31.25 a | 2280.67 ± 17.13 b | 3242.67 ± 16.17 a | 805.00 ± 41.86 a | 157.00 ± 31.23 d | 962.00 ± 11.93 a | 77.03 ± 0.24 a | |
| HT + HBN | 2825.33 ± 81.63 c | 2034.00 ± 13.20 d | 3018.00 ± 32.14 c | 791.33 ± 74.80 a | 192.67 ± 56.31 c | 984.00 ± 20.84 a | 77.25 ± 0.28 a | |
| HT + FN | 2947.33 ± 24.03 b | 2433.67 ± 85.89 a | 3287.33 ± 32.11 a | 513.66 ± 85.23 c | 340.00 ± 25.06 b | 853.66 ± 60.19 b | 77.05 ± 0.53 a |
| Year | Treatment | Gelatinization | Retrogradation | ||||
|---|---|---|---|---|---|---|---|
| ΔHg (J/g) | Tp (°C) | To (°C) | Tc (°C) | ΔHr (J/g) | R (%) | ||
| 2020 | NT | 10.65 ± 0.15 b | 67.68 ± 0.18 c | 59.65 ± 0.28 b | 75.57 ± 0.15 c | 5.65 ± 0.01 d | 53.04 ± 0.37 c |
| HT | 10.66 ± 0.25 b | 69.85 ± 0.15 b | 58.88 ± 0.03 c | 78.93 ± 0.12 a | 6.69 ± 0.04 a | 62.75 ± 0.49 a | |
| HT + LBN | 11.20 ± 0.17 a | 70.63 ± 0.15 a | 60.50 ± 0.48 a | 78.25 ± 0.25 b | 6.17 ± 0.04 c | 55.13 ± 0.86 c | |
| HT + HBN | 10.99 ± 0.05 ab | 70.68 ± 0.28 a | 58.90 ± 0.38 c | 78.90 ± 0.21 a | 6.47 ± 0.03 b | 58.95 ± 0.08 b | |
| 2022 | NT | 11.79 ± 0.15 b | 66.13 ± 0.18 d | 58.47 ± 0.28 c | 75.17 ± 0.15 c | 3.77 ± 0.01 c | 31.95 ± 0.37 d |
| HT | 11.66 ± 0.25 b | 71.03 ± 0.15 b | 59.43 ± 0.03 b | 79.77 ± 0.12 a | 5.38 ± 0.04 a | 46.20 ± 0.49 a | |
| HT + HBN | 12.94 ± 0.17 a | 72.37 ± 0.15 a | 60.37 ± 0.48 a | 78.70 ± 0.25 b | 5.48 ± 0.04 a | 42.39 ± 0.86 c | |
| HT + FN | 11.18 ± 0.05 c | 70.47 ± 0.28 c | 57.23 ± 0.38 d | 78.80 ± 0.21 b | 4.97 ± 0.03 b | 44.48 ± 0.08 b | |
| BRR | MRR | HRR | Chalky Rate | Chalky Area | Chalky Degree | |
|---|---|---|---|---|---|---|
| Pn at 10 DAH | 0.567 ** | 0.446 * | 0.434 * | −0.691 ** | −0.736 ** | −0.706 ** |
| Pn at 20 DAH | 0.327 | 0.3 | 0.266 | −0.475 * | −0.523 ** | −0.478 * |
| Pn at 30 DAH | 0.629 ** | 0.769 ** | 0.776 ** | −0.544 ** | −0.335 | −0.380 |
| AC | CPC | RC | PKV | HTV | FLV | BD | SB | Cos | PT | ΔHg | Tp | To | Tc | ΔHr | R | |
|---|---|---|---|---|---|---|---|---|---|---|---|---|---|---|---|---|
| AC | 1 | 0.822 ** | 0.545 ** | 0.075 | 0.119 | 0.170 | −0.058 | 0.234 | 0.159 | −0.758 ** | −0.069 | −0.869 ** | −0.007 | −0.818 ** | −0.826 ** | −0.825 ** |
| CPC | −0.822 ** | 1 | 0.693 ** | −0.390 | −0.505 * | −0.495 * | 0.114 | −0.266 | −0.112 | 0.750 ** | 0.353 | 0.768 ** | 0.209 | 0.576 ** | 0.699 ** | 0.566 ** |
| RC | −0.545 ** | 0.693 ** | 1 | −0.686 ** | −0.750 ** | 0.778 ** | −0.019 | −0.239 | −0.272 | 0.761 ** | 0.089 | 0.461 * | 0.160 | 0.430 * | 0.456 * | 0.424 * |
Disclaimer/Publisher’s Note: The statements, opinions and data contained in all publications are solely those of the individual author(s) and contributor(s) and not of MDPI and/or the editor(s). MDPI and/or the editor(s) disclaim responsibility for any injury to people or property resulting from any ideas, methods, instructions or products referred to in the content. |
© 2024 by the authors. Licensee MDPI, Basel, Switzerland. This article is an open access article distributed under the terms and conditions of the Creative Commons Attribution (CC BY) license (https://creativecommons.org/licenses/by/4.0/).
Share and Cite
Dou, Z.; Zhou, Y.; Zhang, Y.; Guo, W.; Xu, Q.; Gao, H. Influence of Nitrogen Applications during Grain-Filling Stage on Rice (Oryza sativa L.) Yield and Grain Quality under High Temperature. Agronomy 2024, 14, 216. https://doi.org/10.3390/agronomy14010216
Dou Z, Zhou Y, Zhang Y, Guo W, Xu Q, Gao H. Influence of Nitrogen Applications during Grain-Filling Stage on Rice (Oryza sativa L.) Yield and Grain Quality under High Temperature. Agronomy. 2024; 14(1):216. https://doi.org/10.3390/agronomy14010216
Chicago/Turabian StyleDou, Zhi, Yicheng Zhou, Yaoyuan Zhang, Wei Guo, Qiang Xu, and Hui Gao. 2024. "Influence of Nitrogen Applications during Grain-Filling Stage on Rice (Oryza sativa L.) Yield and Grain Quality under High Temperature" Agronomy 14, no. 1: 216. https://doi.org/10.3390/agronomy14010216
APA StyleDou, Z., Zhou, Y., Zhang, Y., Guo, W., Xu, Q., & Gao, H. (2024). Influence of Nitrogen Applications during Grain-Filling Stage on Rice (Oryza sativa L.) Yield and Grain Quality under High Temperature. Agronomy, 14(1), 216. https://doi.org/10.3390/agronomy14010216

