Winter Cover Crops Affect Aggregate-Associated Carbon, Nitrogen and Enzyme Activities from Black Soil Cropland
Abstract
1. Introduction
2. Materials and Methods
2.1. Experimental Design
2.2. Soil Sampling and Laboratory Measurements
2.3. Statistical Analysis
3. Results
3.1. Effect of Winter Cover Crops on the Compositional Characteristics of the Soil Aggregates
3.2. Effect of Winter Cover Crops on the Carbon and Nitrogen Content of Soil Aggregates
3.2.1. Soil’s Total Carbon Content
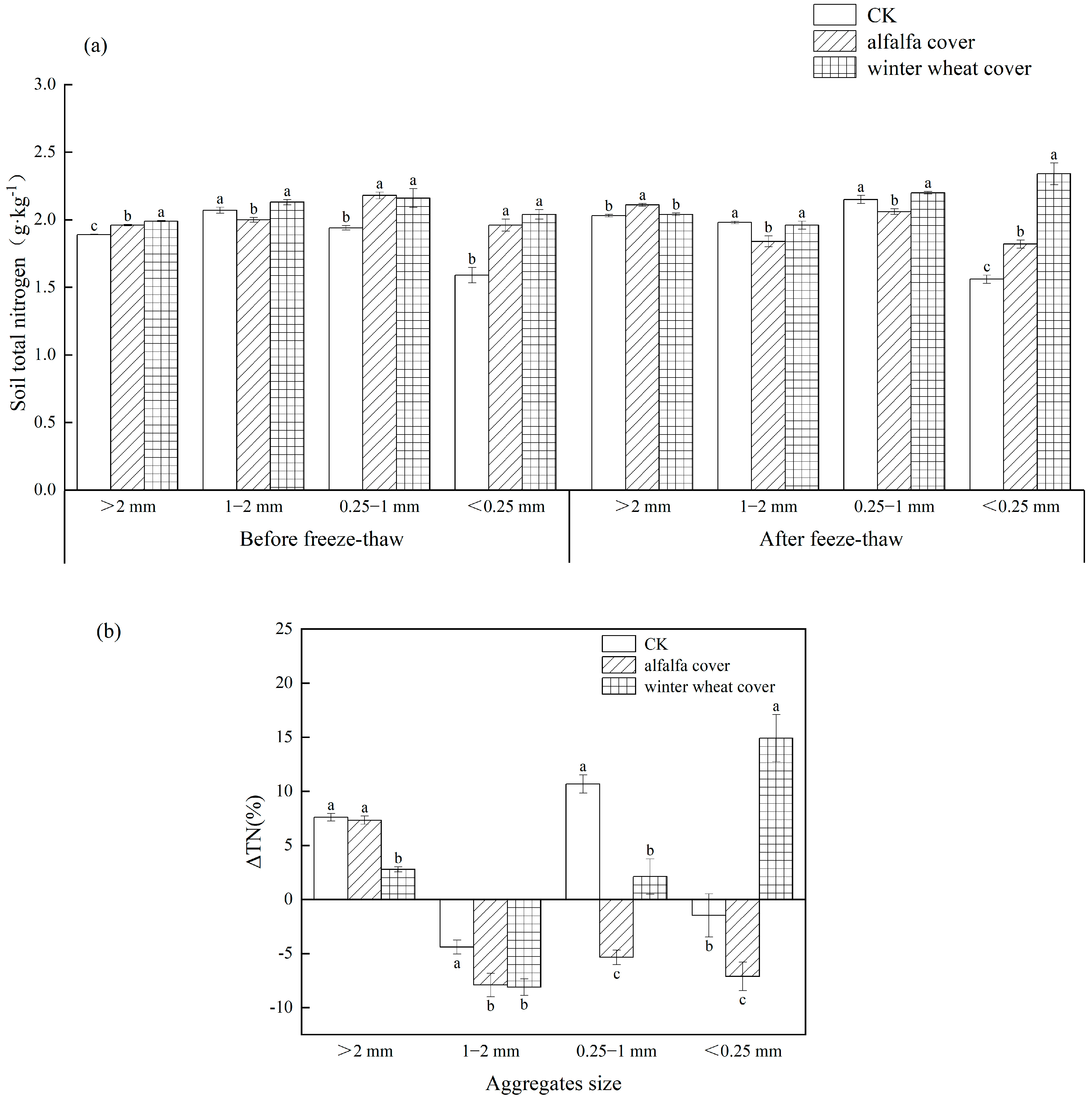
3.2.2. Soil’s Total Nitrogen Content
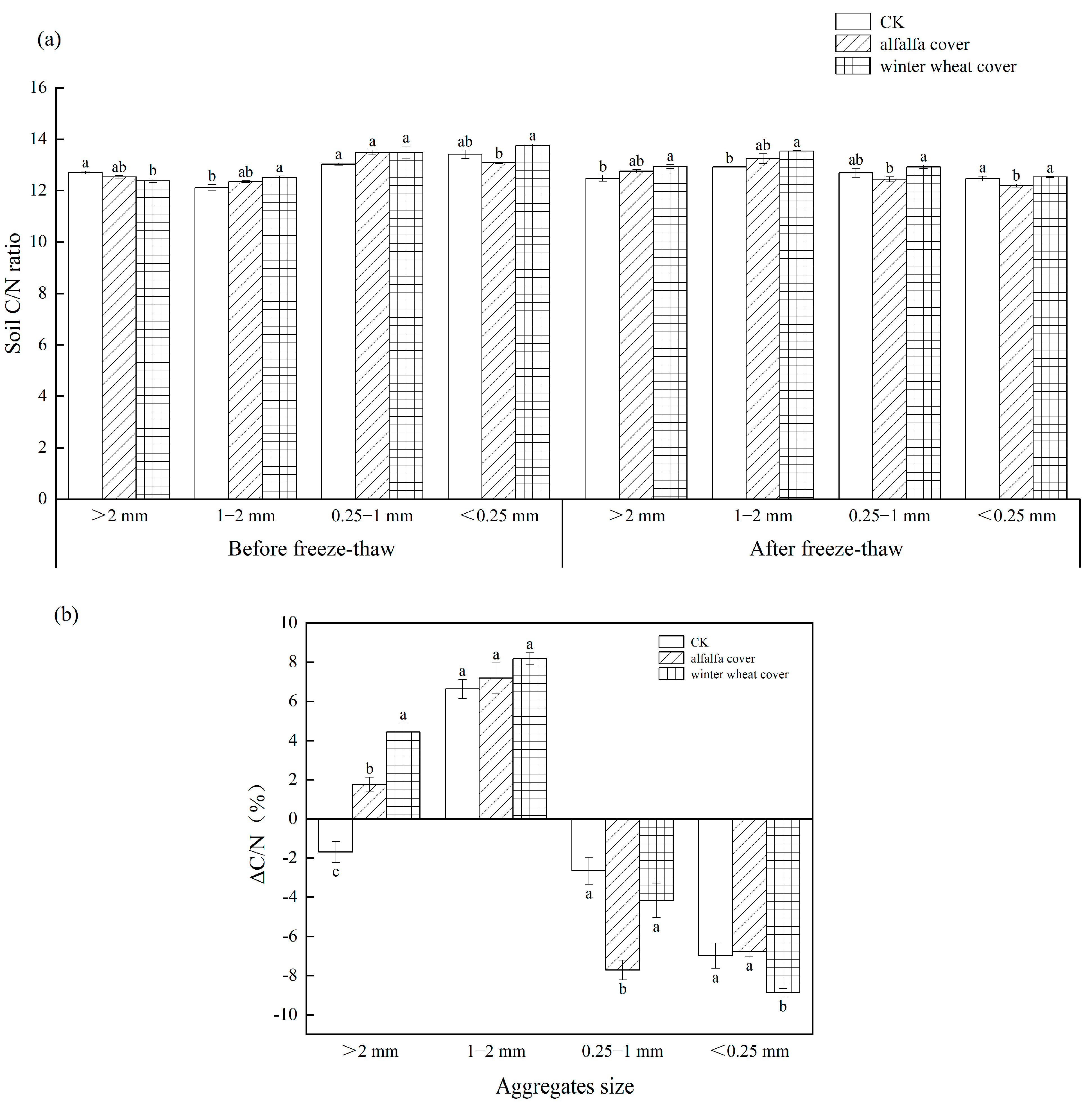
3.2.3. Soil C/N Ratio
3.3. Effect of Winter Cover Crops on the Enzymatic Activity of Soil Aggregates
3.3.1. Soil’s Catalase Activity
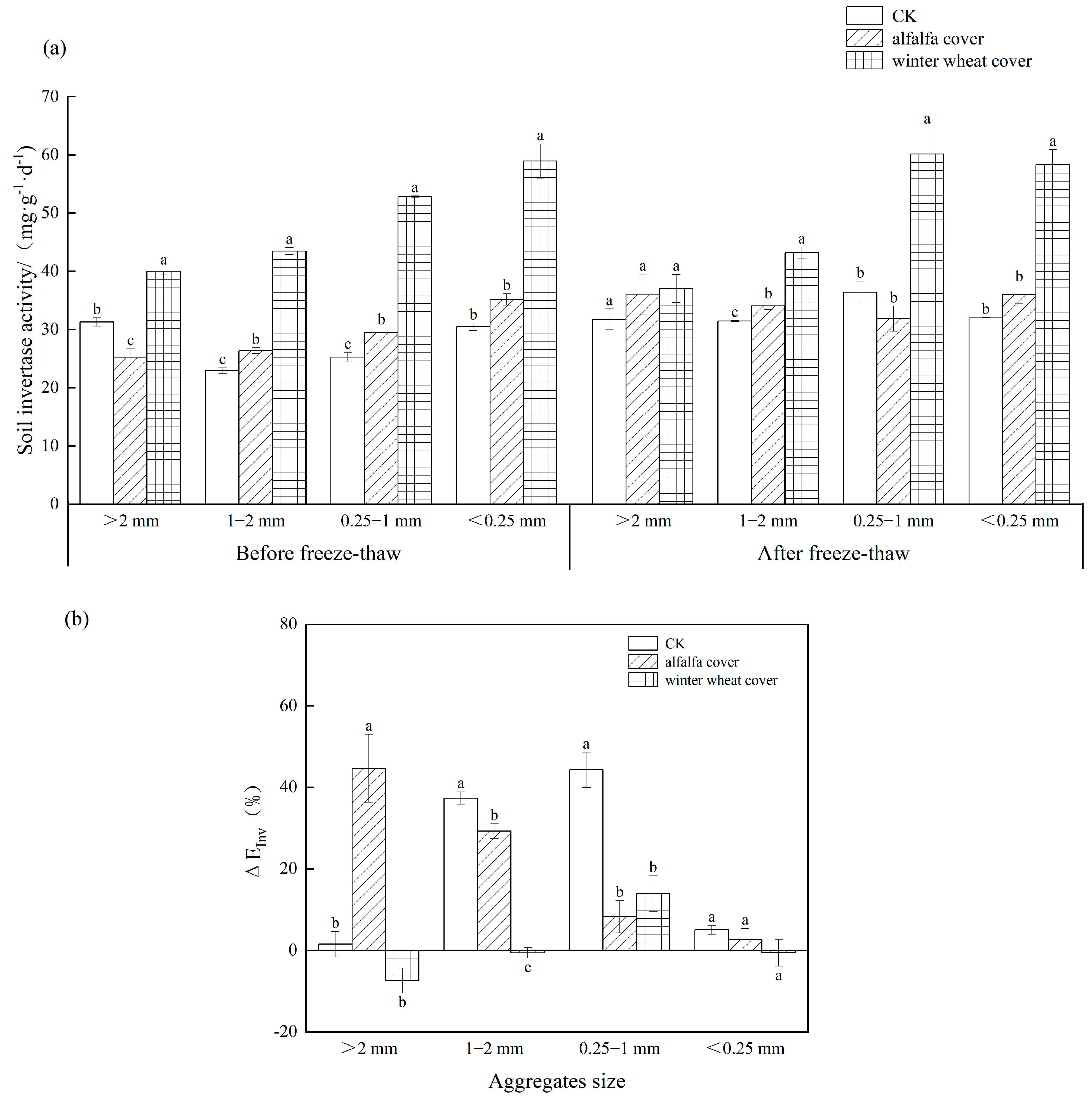
3.3.2. Soil’s Invertase Activity
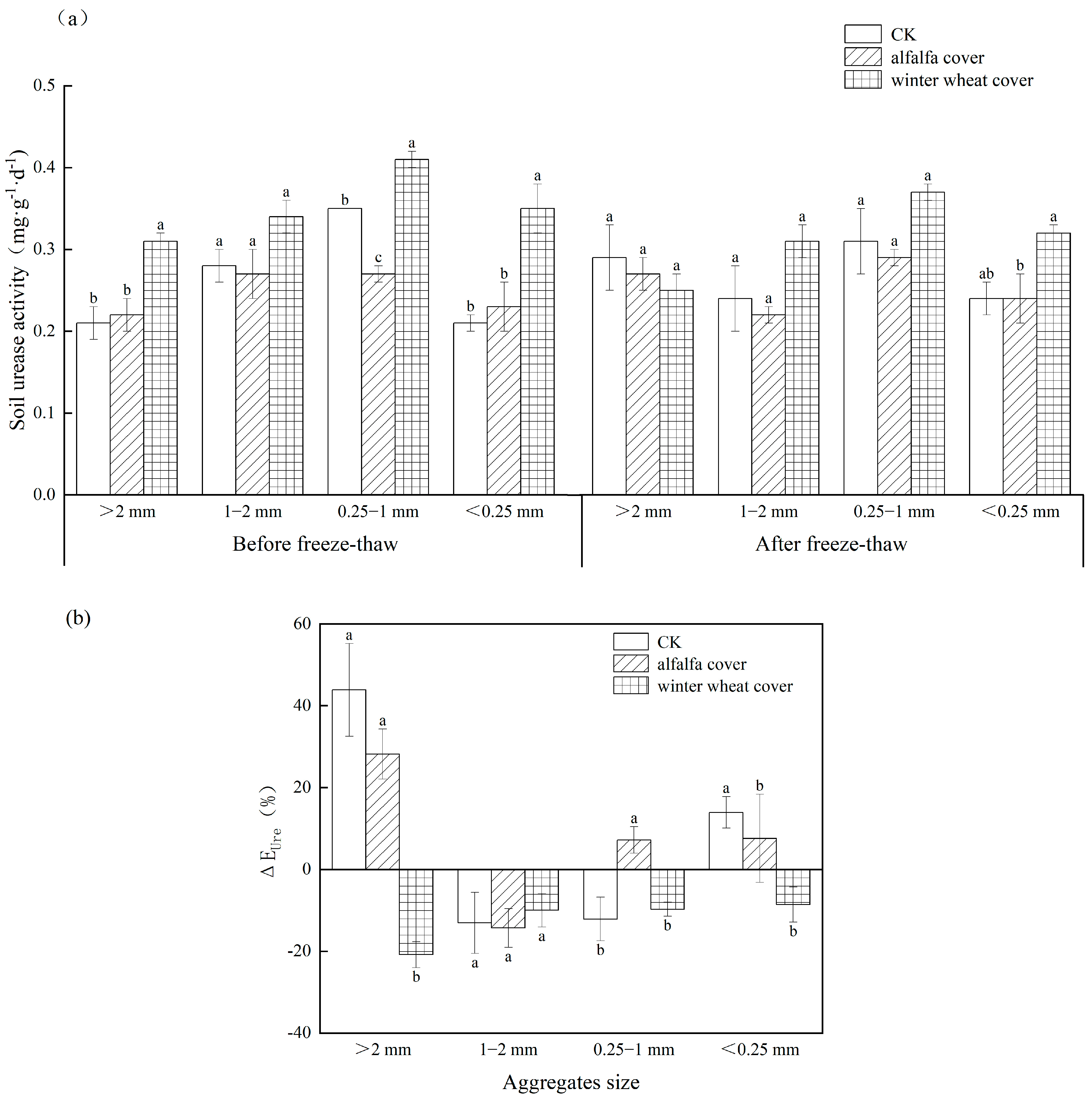
3.3.3. Soil’s Urease Activity
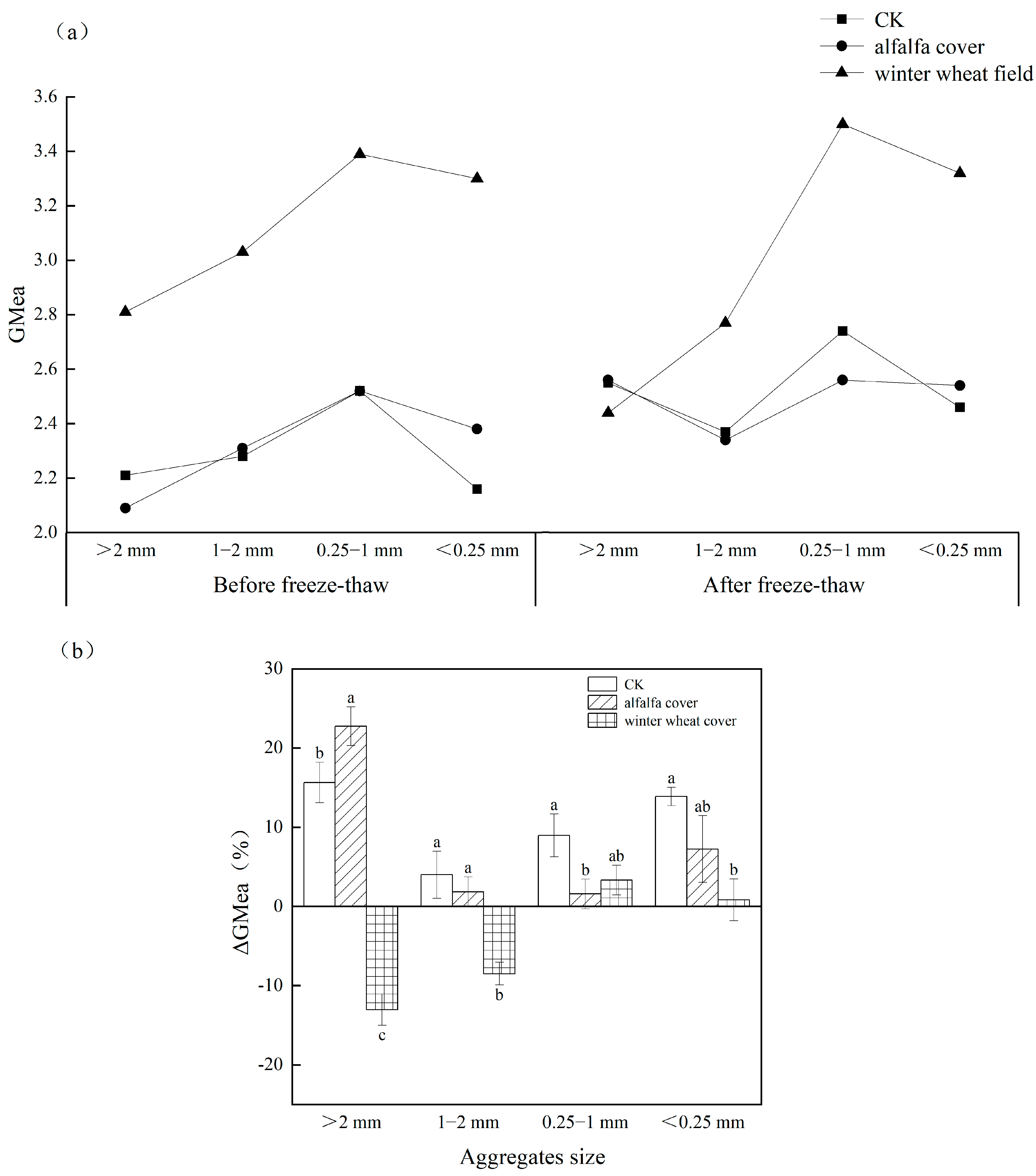
3.3.4. Soil Geometric Mean Soil Enzyme Activity of Soil Aggregates
4. Discussion
5. Conclusions
Author Contributions
Funding
Data Availability Statement
Conflicts of Interest
References
- Xu, Y.D.; Pei, J.B.; Li, S.S.; Zou, H.T.; Wang, J.K.; Zhang, J.B. Main Characteristics and Utilization Countermeasures for Black Soils in Different Regions of Northeast China. Chin. J. Soil Sci. 2023, 54, 495–504. [Google Scholar]
- Zhang, G.H.; Yang, Y.; Liu, Y.; Wang, Z.Q. Advances and prospects of Soil erosion research in the black soil region of northeast China. Soil Water Conserv. 2022, 36, 1–12. [Google Scholar]
- Hudek, C.; Putinica, C.; Otten, W.; De Baets, S. Functional root trait-based classification of cover crops to improve soil physical properties. Eur. J. Soil Sci. 2021, 73, 13147. [Google Scholar] [CrossRef]
- Wallander, S.; Smith, D.; Bowman, M.; Claassen, R. Cover Crop Trends, Programs, and Practices in the United States. Econ. Inf. Bull. 2021. [Google Scholar] [CrossRef]
- Poeplau, C.; Don, A. Carbon sequestration in agricultural soils via cultivation of cover crops—A meta-analysis. Agric. Ecosyst. Environ. 2015, 200, 33–41. [Google Scholar] [CrossRef]
- Jian, J.; Du, X.; Reiter, M.S.; Stewart, R.D. A meta-analysis of global cropland soil carbon changes due to cover cropping. Soil Biol. Biochem. 2020, 143, 107735. [Google Scholar] [CrossRef]
- Dorji, T.; Field, D.J.; Odeh, I.O.A. Soil aggregate stability and aggregate-associated organic carbon under different land use or land cover types. Soil Use Manag. 2020, 36, 308–319. [Google Scholar] [CrossRef]
- Wang, S.; Yao, X.; Ye, S. Soil aggregate-related organic carbon and relevant enzyme activities as affected by tea (Camellia sinensis L.) planting age in hilly region of southern Guangxi, China. Appl. Soil Ecol. 2019, 150, 103444. [Google Scholar] [CrossRef]
- Xu, W.W.; Zhao, Y.Q.; Wang, N.; Zhao, Y. Effects of Artificial Cyanobacterial Crusts on Enzyme Activities and Recovery Rate of Surface Soil in Sandy Areas. Acta Ecol. Sin. 2023, 43, 2856–2864. [Google Scholar]
- Li, W.T.; Liu, M.; Jiang, C.Y.; Wu, M.; Chen, X.F. Changes in soil aggregate-associated enzyme activities and nutrients under long-term chemical fertilizer applications in a phosphorus-limited paddy soil. Soil Use Manag. 2017, 33, 25–33. [Google Scholar] [CrossRef]
- Mao, L.; He, X.; Ye, S.; Wang, S. Soil Aggregate-Associated Carbon-Cycle and Nitrogen-Cycle Enzyme Activities as Affected by Stand Age in Chinese Fir Plantations. J. Soil Sci. Plant Nutr. 2023, 23, 4361–4372. [Google Scholar] [CrossRef]
- Liu, A.; Ma, B.L.; Bomke, A.A. Effects of Cover Crops on Soil Aggregate Stability, Total Organic Carbon, and Polysaccharides. Soil Sci. Soc. Am. J. 2005, 69, 2041–2048. [Google Scholar] [CrossRef]
- Wang, M.L.; Liu, H.F.; Wang, L.L.; Yang, D.L.; Lin, Y.Y.; Xiu, W.M.; Wang, H.; Huang, J.; Zhang, X.F. Effects of different cropping patterns on soil microbial community functional diversity in tea gardens. J. Agric. Resour. Environ. 2020, 37, 332–339. [Google Scholar]
- Lal, R. Soil carbon sequestration and aggregation by cover cropping. J. Soil Water Conserv. 2015, 70, 329–339. [Google Scholar] [CrossRef]
- Wang, W.; Zhang, X.; Ren, D.D. Effects of Different Cover Crops on Soil’s Physical Property and Wind Erosion Resistance of Potato Fallow in Winter. J. Yulin Univ. 2018, 28, 67–70. [Google Scholar]
- Hashemi, M.; Farsad, A.; Sadeghpour, A.; Weis, S.A.; Herbert, S.J. Cover-crop seeding-date influence on fall nitrogen recovery. J. Plant Nutr. Soil Sci. 2013, 176, 69–75. [Google Scholar] [CrossRef]
- Barel, J.M.; Kuyper, T.W.; de Boer, W.; Douma, J.C.; De Deyn, G.B. Legacy effects of diversity in space and time driven by winter cover crop biomass and nitrogen concentration. J. Appl. Ecol. 2018, 55, 299–310. [Google Scholar] [CrossRef]
- Kaspar, T.C.; Radke, J.K.; Laflen, J.M. Small Grain Cover Crops and Wheel Traffic Effects on Infiltration, Runoff, and Erosion. J. Soil Water Conserv. 2001, 56, 160–164. [Google Scholar]
- Li, W.; Shen, F.; Liu, Y.; Li, Z.; Jiang, J.; Li, Q.; Zheng, H.; Wang, X.; Wu, J. Soil depth determine the ecological stoichiometry of soil aggregates after returning ancient rice terraces to forest. Catena 2022, 219, 106587. [Google Scholar] [CrossRef]
- Elliott, E.T. Aggregate Structure and Carbon, Nitrogen, and Phosphorus in Native and Cultivated Soils. Soil Sci. Soc. Am. J. 1986, 50, 627–633. [Google Scholar] [CrossRef]
- Guan, S.Y. Soil Enzymes and Their Research Methods; China Agriculture Press: Beijing, China, 1986. [Google Scholar]
- Raiesi, F.; Salek-Gilani, S. The potential activity of soil extracellular enzymes as an indicator for ecological restoration of rangeland soils after agricultural abandonment. Appl. Soil Ecol. 2018, 126, 140–147. [Google Scholar] [CrossRef]
- Rashid, M.I.; Mujawar, L.H.; Shahzad, T.; Almeelbi, T.; Oves, M. Bacteria and fungi can contribute to nutrients bioavailability and aggregate formation in degraded soils. Microbiol. Res. 2016, 183, 26–41. [Google Scholar] [CrossRef]
- Wang, M.L.; Liu, H.F.; Wang, L.L.; Yang, D.L.; Wang, Y.H. Effects of Different Cover Crop Patterns on Physical Properties of the Soil Profiles in Tea Garden. J. Tianjin Norm. Univ. (Nat. Sci. Ed.) 2020, 40, 56–62. [Google Scholar]
- Blanco-Canqui, H.; Shaver, T.M.; Lindquist, J.L.; Shapiro, C.A.; Elmore, R.W.; Francis, C.A.; Hergert, G.W. Cover Crops and Ecosystem Services: Insights from Studies in Temperate Soils. Agron. J. 2015, 107, 2449–2474. [Google Scholar] [CrossRef]
- Zhao, Q.; Gao, X.B.; Ning, X.G.; Cao, W.D. Carbon-nitrogen fixation and effects on the physical and chemical properties in winter cover crop in north China. Ecol. Environ. Sci. 2011, 20, 750–753. [Google Scholar]
- Six, J.; Elliott, E.T.; Paustian, K. Soil macroaggregate turnover and microaggregate formation: A mechanism for C sequestration under no-tillage agriculture. Soil Biol. Biochem. 2000, 32, 2099–2103. [Google Scholar] [CrossRef]
- Wang, Y.; Yang, D.L.; Wang, L.L.; Shen, X.L.; Zhao, J.N.; Wang, H.; Huang, J.; Zhang, X.F. Effects of cover crops on soil enzyme activity and organic carbon mineralization in a tea plantation. J. Agric. Resour. Environ. 2020, 37, 371–380. [Google Scholar]
- Wei, J.; Guo, S.F.; Sun, B.H.; Zhai, L.M.; Wang, H.Y.; Liu, H.B.; Hua, L.L.; Yang, B. Effects of winter cover crops on soil nutrients and microbial properties of cinnamon soil. J. Ecol. Rural Environ. 2018, 34, 426–432. [Google Scholar]
- Jastrow, J.D.; Amonette, J.E.; Bailey, V.L. Mechanisms controlling soil carbon turnover and their potential application for enhancing carbon sequestration. Clim. Chang. 2007, 80, 5–23. [Google Scholar] [CrossRef]
- Zhang, X.; Guo, J.; Vogt, R.D.; Mulder, J.; Zhang, X. Soil acidification as an additional driver to organic carbon accumulation in major Chinese croplands. Geoderma 2020, 366, 114234. [Google Scholar] [CrossRef]
- Zhang, C.H.; Wang, Z.M.; Ju, W.M.; Ren, C.Y. Spatial and temporal variability of soil C/N ratio in Songnen Plain maize belt. Environ. Sci. 2011, 32, 1407–1414. [Google Scholar]
- Miao, S.J.; Zhou, L.R.; Qiao, Y.F.; Qu, J.F.; Xu, W.Y. Organic carbon mineralization and carbon contribution in aggregates as affected by long-term fertilization. Acta Pedol. Sin. 2009, 46, 1068–1075. [Google Scholar]
- Shi, Y.; Chen, X.; Wen, D.Z. Advance in water stability of black soil aggregates in Northeast China. Chin. J. Eco-Agric. 2005, 4, 95–98. [Google Scholar]
- Zhou, Y.Y.; Wang, E.H.; Chen, X.W. Splash erosion of black soil with different reclamation years its relations to soil aggregates selective characteristics. J. Appl. Ecol. 2009, 20, 2411–2416. [Google Scholar]
- Zhao, P.Z.; Chen, X.W.; Wang, E.H. Responses of accumulation-loss patterns for soil organic carbon and its fractions to tillage and water erosion in black soil area. J. Appl. Ecol. 2017, 28, 3634–3642. [Google Scholar]
- Wang, Y.; Zhang, J.H.; Zhang, Z.H.; Jia, L.Z. Impact of tillage erosion on water erosion in a hilly landscape. Sci. Total Environ. 2016, 551, 522–532. [Google Scholar] [CrossRef]
- Wang, Y.; Zhang, J.H.; Zhang, Z.H. Influences of intensive tillage on water-stable aggregate distribution on a steep hillslope. Soil Tillage Res. 2015, 151, 82–92. [Google Scholar] [CrossRef]












Disclaimer/Publisher’s Note: The statements, opinions and data contained in all publications are solely those of the individual author(s) and contributor(s) and not of MDPI and/or the editor(s). MDPI and/or the editor(s) disclaim responsibility for any injury to people or property resulting from any ideas, methods, instructions or products referred to in the content. |
© 2024 by the authors. Licensee MDPI, Basel, Switzerland. This article is an open access article distributed under the terms and conditions of the Creative Commons Attribution (CC BY) license (https://creativecommons.org/licenses/by/4.0/).
Share and Cite
Zhu, Q.; Wang, X.; Liu, S.; Zhang, Y.; Pang, Z.; Wang, E. Winter Cover Crops Affect Aggregate-Associated Carbon, Nitrogen and Enzyme Activities from Black Soil Cropland. Agronomy 2024, 14, 177. https://doi.org/10.3390/agronomy14010177
Zhu Q, Wang X, Liu S, Zhang Y, Pang Z, Wang E. Winter Cover Crops Affect Aggregate-Associated Carbon, Nitrogen and Enzyme Activities from Black Soil Cropland. Agronomy. 2024; 14(1):177. https://doi.org/10.3390/agronomy14010177
Chicago/Turabian StyleZhu, Qin, Xiaoting Wang, Shuang Liu, Yang Zhang, Zhonglin Pang, and Enheng Wang. 2024. "Winter Cover Crops Affect Aggregate-Associated Carbon, Nitrogen and Enzyme Activities from Black Soil Cropland" Agronomy 14, no. 1: 177. https://doi.org/10.3390/agronomy14010177
APA StyleZhu, Q., Wang, X., Liu, S., Zhang, Y., Pang, Z., & Wang, E. (2024). Winter Cover Crops Affect Aggregate-Associated Carbon, Nitrogen and Enzyme Activities from Black Soil Cropland. Agronomy, 14(1), 177. https://doi.org/10.3390/agronomy14010177
