A Hybrid Prediction Model for CatBoost Tomato Transpiration Rate Based on Feature Extraction
Abstract
:1. Introduction
2. Materials and Methods
2.1. Data Collection and Processing
2.1.1. Data Collection
2.1.2. Data Processing
2.2. Tr Prediction Model Construction
- By combining continuous Tomato Tr and meteorological data, several continuous time-series data can be converted into a two-dimensional matrix. The gridded data matrix contains tomato Tr and meteorological variables from left to right, and time series from far to near from top to bottom. Gridded time-series data can be represented as:
- 2.
- Pre-process a variety of data collected and calculated by various sensors, use CARS algorithm to gradually retain and eliminate variables, and finally find the data subset with the smallest Root Mean Square Error of Cross Validation (RMSECV) as the optimal combination of variables. In this study, CARS algorithm was used to filter the environmental data in the training set, where the Monte Carlo sampling number was set to 100.
- 3.
- Use t-SNE to map high-dimensional features into two-dimensional space to form clusters, and build a model based on the formed clusters.
- 4.
- In the process of model building, the parameters of CatBoost need to be adjusted, so the processed data set was randomly divided into training set and test set. The training set is used for parameter adjustment, and the best model parameters are confirmed according to the model evaluation index. The test set is mainly to test the generalization performance of the model to ensure that the training parameters obtained from the training set have nothing to do with the test set, and the model is more robust.
- 5.
- The CARS-CatBoost Tr prediction model was constructed, and it was combined with the single crop coefficient model to predict the Tr of the growth stage of tomato, and the Tr divided into different characteristic intervals according to t-SNE, and the effect of the model in terms of prediction accuracy was evaluated and discussed.
2.2.1. CARS Variable Selection
2.2.2. t-SNE Visual Analysis
2.2.3. Classification Gradient Boosting Model (CatBoost)
| Algorithm 1: Ordered boosting |
| Input: |
2.3. Model Training Environment and Evaluation Metrics
3. Results
3.1. Model Input Variable Feature Extraction Analysis
3.1.1. Correlation Analysis
3.1.2. CARS Extracts Feature Variables
3.2. Visual Analysis of Tr Variation Law Based on t-SNE
3.3. Comparative Analysis of CARS-CatBoost Model Prediction Results
4. Discussion
5. Conclusions
Author Contributions
Funding
Data Availability Statement
Conflicts of Interest
References
- Fuglie, K. Climate change upsets agriculture. Nat. Clim. Change 2021, 11, 294–295. [Google Scholar] [CrossRef]
- Gong, X.; Wang, S.; Xu, C.; Zhang, H.; Ge, J. Evaluation of Several Reference Evapotranspiration Models and Determination of Crop Water Requirement for Tomato in a Solar Greenhouse. HortScience 2020, 55, 244–250. [Google Scholar] [CrossRef]
- Sapounas, A.; Katsoulas, N.; Slager, B.; Bezemer, R.; Lelieveld, C. Design, Control, and Performance Aspects of Semi-Closed Greenhouses. Agronomy 2020, 10, 1739. [Google Scholar] [CrossRef]
- Babakos, K.; Papamichail, D.; Tziachris, P.; Pisinaras, V.; Demertzi, K.; Aschonitis, V. Assessing the Robustness of Pan Evaporation Models for Estimating Reference Crop Evapotranspiration during Recalibration at Local Conditions. Hydrology 2020, 7, 62. [Google Scholar] [CrossRef]
- Yan, H.; Zhang, C.; Coenders Gerrits, M.; Acquah, S.J.; Zhang, H.; Wu, H.; Zhao, B.; Huang, S.; Fu, H. Parametrization of aerodynamic and canopy resistances for modeling evapotranspiration of greenhouse cucumber. Agric. For. Meteorol. 2018, 262, 370–378. [Google Scholar] [CrossRef]
- Ge, J.; Zhao, L.; Yu, Z.; Liu, H.; Zhang, L.; Gong, X.; Sun, H. Prediction of Greenhouse Tomato Crop Evapotranspiration Using XGBoost Machine Learning Model. Plants 2022, 11, 1923. [Google Scholar] [CrossRef] [PubMed]
- Jiankun, G.; Yanfei, L.; Zengjin, L.; Xuewen, G.; Cundong, X. Comparing the performance of greenhouse crop transpiration prediction models based on ANNs. J. Environ. Biol. 2019, 40, 418–426. [Google Scholar] [CrossRef]
- Cahn, M.D.; Johnson, L.F.; Benzen, S.D. Evapotranspiration Based Irrigation Trials Examine Water Requirement, Nitrogen Use, and Yield of Romaine Lettuce in the Salinas Valley. Horticulturae 2022, 8, 857. [Google Scholar] [CrossRef]
- Ghumman, A.R.; Jamaan, M.; Ahmad, A.; Shafiquzzaman, M.; Haider, H.; Al Salamah, I.S.; Ghazaw, Y.M. Simulation of Pan-Evaporation Using Penman and Hamon Equations and Artificial Intelligence Techniques. Water 2021, 13, 793. [Google Scholar] [CrossRef]
- Feng, K.; Tian, J. Forecasting reference evapotranspiration using data mining and limited climatic data. Eur. J. Remote Sens. 2021, 54, 363–371. [Google Scholar] [CrossRef]
- Greener, J.G.; Kandathil, S.M.; Moffat, L.; Jones, D.T. A guide to machine learning for biologists. Nat. Rev. Mol. Cell Biol. 2022, 23, 40–55. [Google Scholar] [CrossRef] [PubMed]
- Cao, J.; Wang, H.; Li, J.; Tian, Q.; Niyogi, D. Improving the Forecasting of Winter Wheat Yields in Northern China with Machine Learning—Dynamical Hybrid Subseasonal-to-Seasonal Ensemble Prediction. Remote Sens. 2022, 14, 1707. [Google Scholar] [CrossRef]
- Tunalı, U.; Tüzel, I.H.; Tüzel, Y.; Şenol, Y. Estimation of actual crop evapotranspiration using artificial neural networks in tomato grown in closed soilless culture system. Agric. Water Manag. 2023, 284, 108331. [Google Scholar] [CrossRef]
- Nam, D.S.; Moon, T.; Lee, J.W.; Son, J.E. Estimating transpiration rates of hydroponically-grown paprika via an artificial neural network using aerial and root-zone environments and growth factors in greenhouses. Hortic. Environ. Biotechnol. 2019, 60, 913–923. [Google Scholar] [CrossRef]
- Guggilam, S.; Chandola, V.; Patra, A. Large Deviations for Accelerating Neural Networks Training. arXiv 2023, arXiv:2303.00954. [Google Scholar]
- Qiu, R.; Kang, S.; Du, T.; Tong, L.; Hao, X.; Chen, R.; Chen, J.; Li, F. Effect of convection on the Penman–Monteith model estimates of transpiration of hot pepper grown in solar greenhouse. Sci. Hortic. 2013, 160, 163–171. [Google Scholar] [CrossRef]
- Dong, L.; Zeng, W.; Wu, L.; Lei, G.; Chen, H.; Srivastava, A.K.; Gaiser, T. Estimating the Pan Evaporation in Northwest China by Coupling CatBoost with Bat Algorithm. Water 2021, 13, 256. [Google Scholar] [CrossRef]
- Yong-dong, Z.; Quan-ming, Z.; Xin, Z.; Xu-zhang, X.; Li-li, Z.; Shu-juan, W. Development of Multi-Channel Potted-Plant Evapotranspiration Measurement System Based on Lora Wireless Technology. Water Sav. Irrig. 2020, 77–84.tion. [Google Scholar]
- Lu, N.; Nukaya, T.; Kamimura, T.; Zhang, D.L.; Kurimoto, I.; Takagaki, M.; Maruo, T.; Kozai, T.; Yamori, W. Control of vapor pressure deficit (VPD) in greenhouse enhanced tomato growth and productivity during the winter season. Sci. Hortic. 2015, 197, 17–23. [Google Scholar] [CrossRef]
- Long, Z.-Z.; Xu, G.; Du, J.; Zhu, H.; Yan, T.; Yu, Y.-F. Flexible Subspace Clustering: A Joint Feature Selection and K-Means Clustering Framework. Big Data Res. 2021, 23, 100170. [Google Scholar] [CrossRef]
- Solano, E.S.; Dehghanian, P.; Affonso, C.M. Solar Radiation Forecasting Using Machine Learning and Ensemble Feature Selection. Energies 2022, 15, 7049. [Google Scholar] [CrossRef]
- Prokhorenkova, L.; Gusev, G.; Vorobev, A.; Dorogush, A.V.; Gulin, A. CatBoost: Unbiased boosting with categorical features. In Proceedings of the 32nd International Conference on Neural Information Processing Systems, Montréal, QC, Canada, 3–8 December 2018; pp. 6639–6649. [Google Scholar]
- Morille, B.; Migeon, C.; Bournet, P.E. Is the Penman–Monteith model adapted to predict crop transpiration under greenhouse conditions? Application to a New Guinea Impatiens crop. Sci. Hortic. 2013, 152, 80–91. [Google Scholar] [CrossRef]
- Wu, L.; Zhang, X.; Xiao, G. Effects of Environmental Factors on Tomato Growth. Agric. Sci. Technol. 2015, 16, 272–277. [Google Scholar]
- Salghi, R.; Abouatallah, A.; Jaouhari, N.E.; Hammouti, B. Impact of Drip Irrigation Scheduling on Vegetative Parameters in Tomato (Lycopersicon esculentum Mill.) Under Unheated Greenhouse. Int. J. Eng. Res. Appl. 2014, 4, 71–76. [Google Scholar]
- Antonopoulos, V.Z.; Antonopoulos, A.V. Daily reference evapotranspiration estimates by artificial neural networks technique and empirical equations using limited input climate variables. Comput. Electron. Agric. 2017, 132, 86–96. [Google Scholar] [CrossRef]
- Xu, K.; Guo, X.; He, J.; Yu, B.; Tan, J.; Guo, Y. A study on temperature spatial distribution of a greenhouse under solar load with considering crop transpiration and optical effects. Energy Convers. Manag. 2022, 254, 115277. [Google Scholar] [CrossRef]
- Yang, L.; Liu, H.; Tang, X.; Li, L. Tomato Evapotranspiration, Crop Coefficient and Irrigation Water Use Efficiency in the Winter Period in a Sunken Chinese Solar Greenhouse. Water 2022, 14, 2410. [Google Scholar] [CrossRef]
- Liu, H.; Shao, M.; Yang, L. Photosynthesis Characteristics of Tomato Plants and Its’ Responses to Microclimate in New Solar Greenhouse in North China. Horticulturae 2023, 9, 197. [Google Scholar]
- Reis, L.S.; de Souza, J.L.; de Azevedo, C.A.V. Evapotranspiração e coeficiente de cultivo do tomate caqui cultivado em ambiente protegido. Rev. Bras. Eng. Agríc. Ambient. 2009, 13, 289–296. [Google Scholar] [CrossRef]
- Libardi, L.G.P.; de Faria, R.T.; Dalri, A.B.; de Souza Rolim, G.; Palaretti, L.F.; Coelho, A.P.; Martins, I.P. Evapotranspiration and crop coefficient (Kc) of pre-sprouted sugarcane plantlets for greenhouse irrigation management. Agric. Water Manag. 2019, 212, 306–316. [Google Scholar] [CrossRef]
- Kim, H.; Park, S.; Park, H.J.; Son, H.G.; Kim, S. Solar Radiation Forecasting Based on the Hybrid CNN-CatBoost Model. IEEE Access 2023, 11, 13492–13500. [Google Scholar] [CrossRef]
- Niu, D.; Diao, L.; Zang, Z.; Che, H.; Zhang, T.; Chen, X. A Machine-Learning Approach Combining Wavelet Packet Denoising with Catboost for Weather Forecasting. Atmosphere 2021, 12, 1618. [Google Scholar] [CrossRef]
- Jung, D.-H.; Lee, T.S.; Kim, K.; Park, S.H. A Deep Learning Model to Predict Evapotranspiration and Relative Humidity for Moisture Control in Tomato Greenhouses. Agronomy 2022, 12, 2169. [Google Scholar] [CrossRef]










| Symbols | Description | Units |
|---|---|---|
| Tr | Transpiration rate | mm·h−1 |
| Tmax | Max. air temperature | °C |
| Tmin | Min. air temperature | °C |
| Tm | Average. air temperature | °C |
| RHmax | Max. relative humidity | % |
| RHmin | Max. relative humidity | % |
| RHm | Average. relative humidity | % |
| Rn | Solar radiation | KJ·m−2·h−1 |
| VPD | Vapor Pressure Deficit | kPa |
| Ts | Coconut coir temperature | °C |
| E | Light intensity | umol·m−2·s−1 |
| CO2 | Carbon dioxide concentration | ppm |
| Parameter Name | Value |
|---|---|
| n_estimators | 10,000 |
| early_stopping_rounds | 5 |
| depth | 6 |
| learning rate | 0.1 |
| loss_function | RMSE |
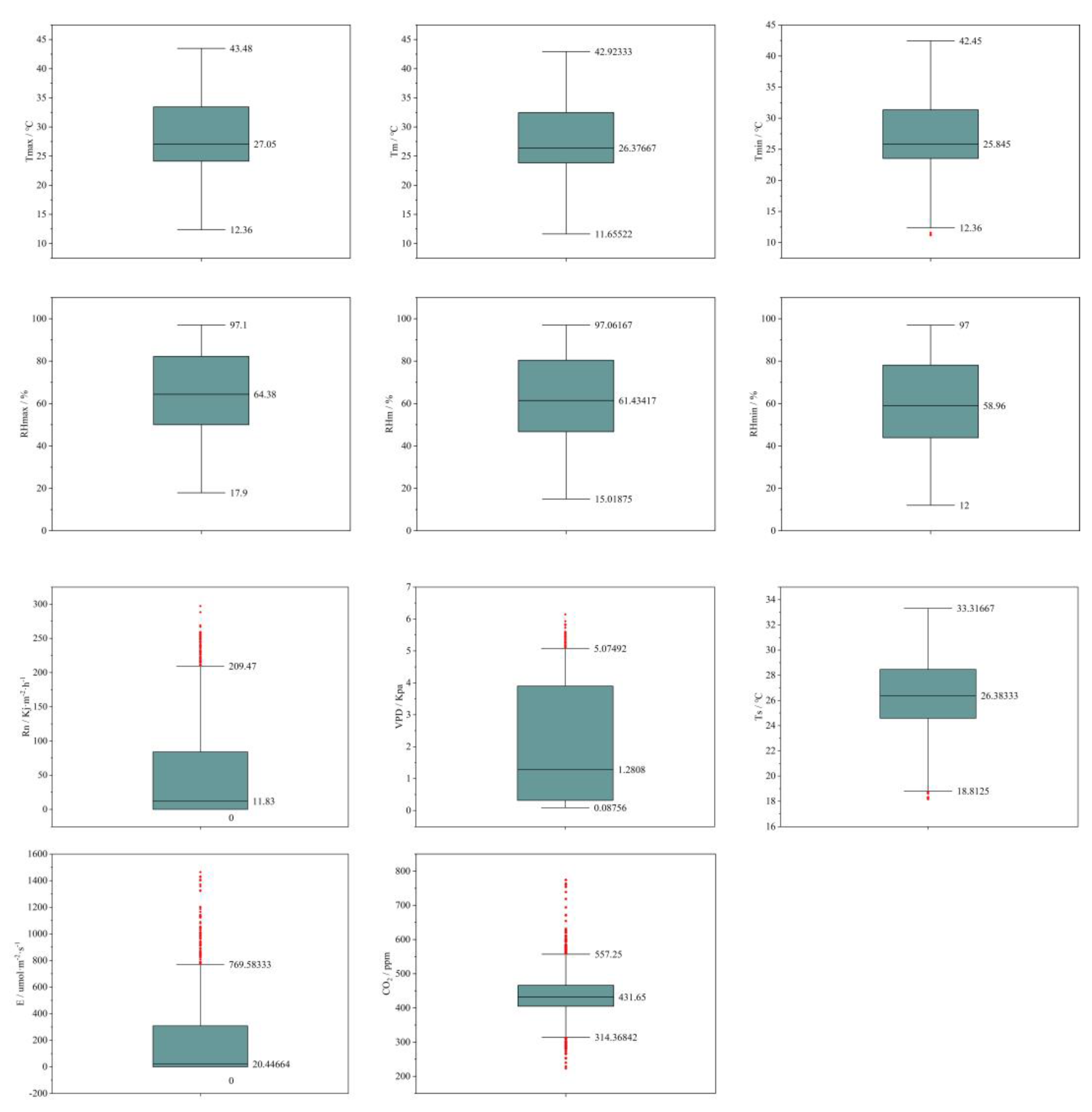
| Variables | Maximum | Minimum | Average | Standard Deviation | |
|---|---|---|---|---|---|
| Symbols | Units | ||||
| Tmax | °C | 43.5 | 12.4 | 28.5 | 6.0 |
| Tmin | °C | 41.8 | 11.2 | 27.2 | 5.6 |
| Tm | °C | 42.9 | 11.8 | 27.8 | 5.8 |
| RHmax | % | 97.1 | 17.9 | 64.2 | 20.1 |
| RHmin | % | 96.5 | 12.0 | 59.3 | 20.8 |
| RHm | % | 97.0 | 15.0 | 61.8 | 21.4 |
| Rn | KJ·m−2·h−1 | 355.7 | 0.0 | 47.8 | 65.5 |
| VPD | KPa | 6.1 | 0.1 | 1.7 | 1.3 |
| Ts | °C | 33.3 | 18.2 | 26.4 | 2.7 |
| Amount | pcs | 2137 | |||
| Training Set | pcs | 1710 | |||
| Testing set | pcs | 427 | |||
| Stage | Numerical Value | Hourly Tr | Daily Tr | Water Consumption Modulus |
|---|---|---|---|---|
| mm·h−1 | mm·day−1 | % | ||
| Florescence stage | Maximum | 0.256 | 1.875 | 37.8 |
| Minimum | 0.004 | 0.157 | ||
| Average | 0.041 | 0.883 | ||
| Fruiting stage | Maximum | 0.296 | 2.104 | 62.2 |
| Minimum | 0.005 | 0.296 | ||
| Average | 0.048 | 1.133 | ||
| Whole growth stage | Maximum | 0.296 | 2.104 | 100 |
| Minimum | 0.004 | 0.157 | ||
| Average | 0.047 | 1.022 |
| Model | Evaluation Metrics | Florescence Stage | Fruiting Stage DayTime | Fruiting Stage Night-Time |
|---|---|---|---|---|
| CARS-CatBoost | RMSE | 0.012 | 0.012 | 0.000 |
| MAE | 0.006 | 0.009 | 0.001 | |
| Maximum | 0.029 | 0.028 | 0.005 | |
| Standard deviation | 0.006 | 0.008 | 0.001 | |
| Single Crop Coefficient | RMSE | 0.028 | 0.055 | 0.020 |
| MAE | 0.018 | 0.041 | 0.015 | |
| Maximum | 0.114 | 0.194 | 0.057 | |
| Standard deviation | 0.022 | 0.037 | 0.013 |
Disclaimer/Publisher’s Note: The statements, opinions and data contained in all publications are solely those of the individual author(s) and contributor(s) and not of MDPI and/or the editor(s). MDPI and/or the editor(s) disclaim responsibility for any injury to people or property resulting from any ideas, methods, instructions or products referred to in the content. |
© 2023 by the authors. Licensee MDPI, Basel, Switzerland. This article is an open access article distributed under the terms and conditions of the Creative Commons Attribution (CC BY) license (https://creativecommons.org/licenses/by/4.0/).
Share and Cite
Tong, Z.; Zhang, S.; Yu, J.; Zhang, X.; Wang, B.; Zheng, W. A Hybrid Prediction Model for CatBoost Tomato Transpiration Rate Based on Feature Extraction. Agronomy 2023, 13, 2371. https://doi.org/10.3390/agronomy13092371
Tong Z, Zhang S, Yu J, Zhang X, Wang B, Zheng W. A Hybrid Prediction Model for CatBoost Tomato Transpiration Rate Based on Feature Extraction. Agronomy. 2023; 13(9):2371. https://doi.org/10.3390/agronomy13092371
Chicago/Turabian StyleTong, Zhaoyang, Shirui Zhang, Jingxin Yu, Xiaolong Zhang, Baijuan Wang, and Wengang Zheng. 2023. "A Hybrid Prediction Model for CatBoost Tomato Transpiration Rate Based on Feature Extraction" Agronomy 13, no. 9: 2371. https://doi.org/10.3390/agronomy13092371
APA StyleTong, Z., Zhang, S., Yu, J., Zhang, X., Wang, B., & Zheng, W. (2023). A Hybrid Prediction Model for CatBoost Tomato Transpiration Rate Based on Feature Extraction. Agronomy, 13(9), 2371. https://doi.org/10.3390/agronomy13092371

