Comprehensive Effects of N Reduction Combined with Biostimulants on N Use Efficiency and Yield of the Winter Wheat–Summer Maize Rotation System
Abstract
:1. Introduction
2. Materials and Methods
2.1. Site Description and Materials
2.2. Experimental Design and Management
2.3. Sampling and Measurements
2.3.1. Soil N Content and Enzyme Activity
2.3.2. Plant N Accumulation, Transportation, and Yield
2.4. Date Analysis
3. Results
3.1. Soil N Supply Capacity
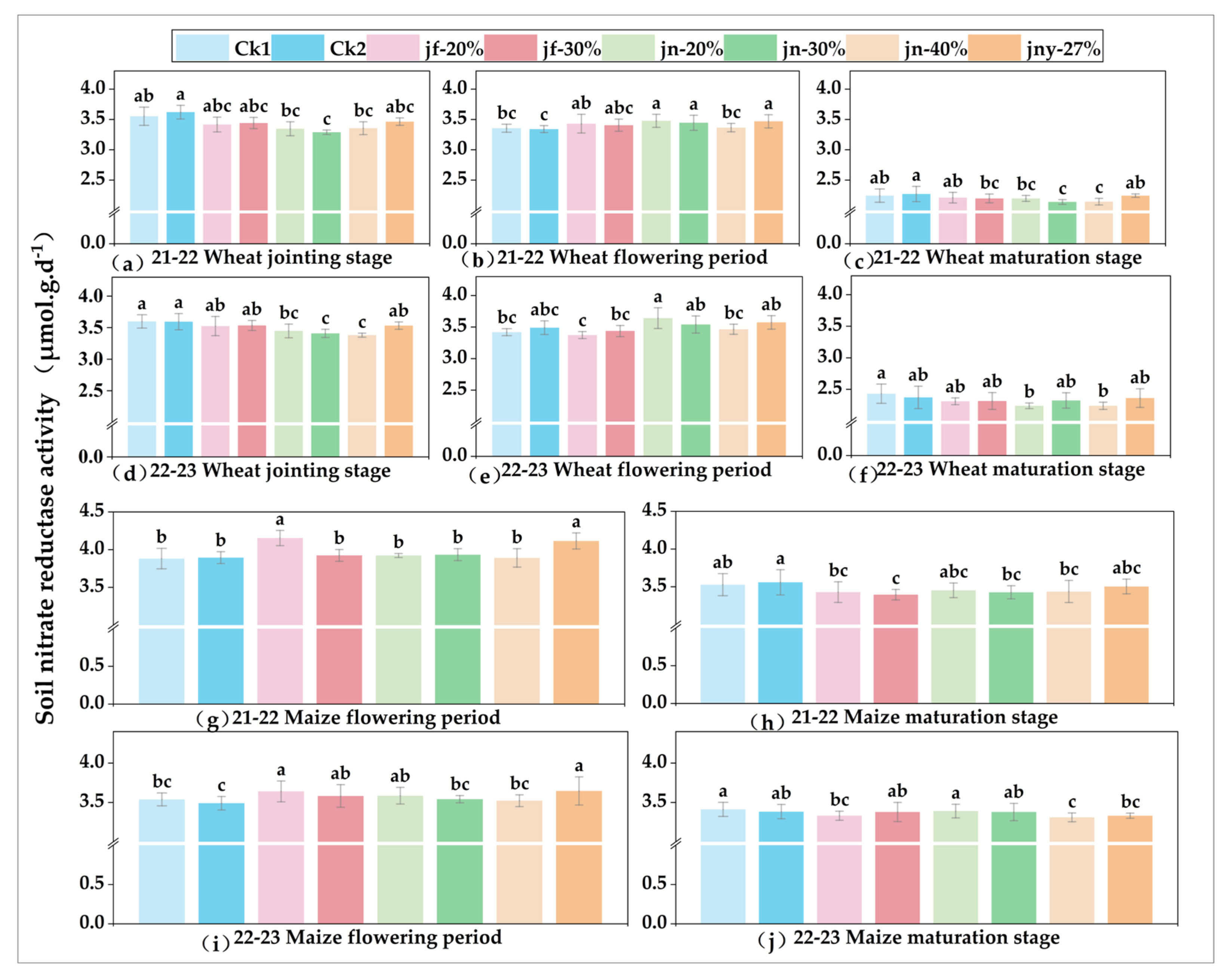
3.2. Soil Enzyme Activity
3.3. Plant N Transport and Accumulation
3.4. Yield and Yield Composition
3.5. N Utilization
4. Discussion
4.1. Co-Application of Biostimulant and Fertilizer as Base Fertilizer in Soil Improves Nutrient Utilization
4.2. Biostimulants Improve Nutrient Availability and Reduce Residues by Regulating Soil Enzyme Activity
4.3. Biostimulants Combined with N Reduction Fertilizer Promoted Plant N Accumulation and Transportation
4.4. Biostimulants Combined with N Reduction Fertilizer Increases Economic Efficiency
5. Conclusions
Author Contributions
Funding
Data Availability Statement
Conflicts of Interest
References
- Shemi, R.; Wang, R.; Gheith, E.-S.M.S.; Hussain, H.A.; Hussain, S.; Irfan, M.; Cholidah, L.; Zhang, K.; Zhang, S.; Wang, L. Effects of Salicylic Acid, Zinc and Glycine Betaine on Morpho-Physiological Growth and Yield of Maize under Drought Stress. Sci. Rep. 2021, 11, 3195. [Google Scholar] [CrossRef]
- Ray, D.K.; Mueller, N.D.; West, P.C.; Foley, J.A. Yield Trends Are Insufficient to Double Global Crop Production by 2050. PLoS ONE 2013, 8, e66428. [Google Scholar] [CrossRef] [PubMed]
- Yin, W.; Xiao, Y.; Niu, M.; Meng, W.; Li, L.; Zhang, X.; Liu, D.; Zhang, G.; Qian, Y.; Sun, Z.; et al. ARGONAUTE2 Enhances Grain Length and Salt Tolerance by Activating BIG GRAIN3 to Modulate Cytokinin Distribution in Rice [OPEN]. Plant Cell 2020, 32, 2292–2306. [Google Scholar] [CrossRef] [PubMed]
- Yin, S.; Zhang, X.; Jiang, Z.; Zhu, P.; Li, C.; Liu, C. Inhibitory Effects of 3,4-Dimethylpyrazole Phosphate on CH4 and N2O Emissions in Paddy Fields of Subtropical China. Int. J. Environ. Res. Public Health 2017, 14, 1177. [Google Scholar] [CrossRef] [PubMed]
- Cruz, L.R.O.; Fernandes, Â.; Di Gioia, F.; Petropoulos, S.A.; Polyzos, N.; Dias, M.I.; Pinela, J.; Kostić, M.; Soković, M.D.; Ferreira, I.C.F.R.; et al. The Effect of N Input on Chemical Profile and Bioactive Properties of Green- and Red-Colored Basil Cultivars. Antioxidants 2020, 9, 1036. [Google Scholar] [CrossRef]
- Huang, T.; Ju, X.; Yang, H. Nitrate Leaching in a Winter Wheat-Summer Maize Rotation on a Calcareous Soil as Affected by N and Straw Management. Sci. Rep. 2017, 7, 42247. [Google Scholar] [CrossRef] [PubMed]
- Zhou, K.; Cheng, T.; Zhu, Y.; Cao, W.; Ustin, S.L.; Zheng, H.; Yao, X.; Tian, Y. Assessing the Impact of Spatial Resolution on the Estimation of Leaf N Concentration Over the Full Season of Paddy Rice Using Near-Surface Imaging Spectroscopy Data. Front. Plant Sci. 2018, 9, 339821. [Google Scholar] [CrossRef]
- Du, X.; Wang, Z.; Lei, W.; Kong, L. Increased Planting Density Combined with Reduced N Rate to Achieve High Yield in Maize. Sci. Rep. 2021, 11, 358. [Google Scholar] [CrossRef]
- Lawrencia, D.; Wong, S.K.; Low, D.Y.S.; Goh, B.H.; Goh, J.K.; Ruktanonchai, U.R.; Soottitantawat, A.; Lee, L.H.; Tang, S.Y. Controlled Release Fertilizers: A Review on Coating Materials and Mechanism of Release. Plants 2021, 10, 238. [Google Scholar] [CrossRef]
- Wu, K.; Du, C.; Ma, F.; Shen, Y.; Liang, D.; Zhou, J. Degradation of Metal-Organic Framework Materials as Controlled-Release Fertilizers in Crop Fields. Polymers 2019, 11, 947. [Google Scholar] [CrossRef]
- Guo, Y.; Zhang, M.; Liu, Z.; Tian, X.; Zhang, S.; Zhao, C.; Lu, H. Modeling and Optimizing the Synthesis of Urea-Formaldehyde Fertilizers and Analyses of Factors Affecting These Processes. Sci. Rep. 2018, 8, 4504. [Google Scholar] [CrossRef]
- Zhang, Y.; Luo, J.; Peng, F.; Xiao, Y.; Du, A. Application of Bag-Controlled Release Fertilizer Facilitated New Root Formation, Delayed Leaf, and Root Senescence in Peach Trees and Improved N Utilization Efficiency. Front. Plant Sci. 2021, 12, 627313. [Google Scholar] [CrossRef] [PubMed]
- Liu, J.; Shu, A.; Song, W.; Shi, W.; Li, M.; Zhang, W.; Li, Z.; Liu, G.; Yuan, F.; Zhang, S.; et al. Long-Term Organic Fertilizer Substitution Increases Rice Yield by Improving Soil Properties and Regulating Soil Bacteria. Geoderma 2021, 404, 115287. [Google Scholar] [CrossRef]
- Pereg, L.; Morugán-Coronado, A.; McMillan, M.; García-Orenes, F. Restoration of N Cycling Community in Grapevine Soil by a Decade of Organic Fertilization. Soil Tillage Res. 2018, 179, 11–19. [Google Scholar] [CrossRef]
- Kandil, E.E.; Abdelsalam, N.R.; Mansour, M.A.; Ali, H.M.; Siddiqui, M.H. Potentials of Organic Manure and Potassium Forms on Maize (Zea Mays L.) Growth and Production. Sci. Rep. 2020, 10, 8752. [Google Scholar] [CrossRef]
- Asadu, C.O.; Ike, I.S.; Onu, C.E.; Egbuna, S.O.; Onoh, M.; Mbah, G.O.; Eze, C.N. Investigation of the Influence of Biofertilizer Synthesized Using Microbial Inoculums on the Growth Performance of Two Agricultural Crops. Biotechnol. Rep. 2020, 27, e00493. [Google Scholar] [CrossRef]
- Zhang, L.; Freschi, G.; Rouphael, Y.; De Pascale, S.; Lucini, L. The Differential Modulation of Secondary Metabolism Induced by a Protein Hydrolysate and a Seaweed Extract in Tomato Plants under Salinity. Front. Plant Sci. 2023, 13, 1072782. [Google Scholar] [CrossRef]
- Madende, M.; Hayes, M. Fish By-Product Use as Biostimulants: An Overview of the Current State of the Art, Including Relevant Legislation and Regulations within the EU and USA. Molecules 2020, 25, 1122. [Google Scholar] [CrossRef] [PubMed]
- Kocira, S.; Szparaga, A.; Kocira, A.; Czerwińska, E.; Wójtowicz, A.; Bronowicka-Mielniczuk, U.; Koszel, M.; Findura, P. Modeling Biometric Traits, Yield and Nutritional and Antioxidant Properties of Seeds of Three Soybean Cultivars Through the Application of Biostimulant Containing Seaweed and Amino Acids. Front. Plant Sci. 2018, 9, 388. [Google Scholar] [CrossRef]
- Julia, I.; Oscar, M.; Analía, L.; Zocolo Guilherme, J.; Virginia, L. Biofertilization with Macrocystis Pyrifera Algae Extracts Combined with PGPR-Enhanced Growth in Lactuca Sativa Seedlings. J. Appl. Phycol. 2020, 32, 4361–4371. [Google Scholar] [CrossRef]
- Deolu-Ajayi, A.O.; van der Meer, I.M.; van der Werf, A.; Karlova, R. The Power of Seaweeds as Plant Biostimulants to Boost Crop Production under Abiotic Stress. Plant Cell Environ. 2022, 45, 2537–2553. [Google Scholar] [CrossRef]
- Nanda, S.; Kumar, G.; Hussain, S. Utilization of Seaweed-Based Biostimulants in Improving Plant and Soil Health: Current Updates and Future Prospective. Int. J. Environ. Sci. Technol. 2022, 19, 12839–12852. [Google Scholar] [CrossRef]
- Pereira, A.E.S.; Sandoval-Herrera, I.E.; Zavala-Betancourt, S.A.; Oliveira, H.C.; Ledezma-Pérez, A.S.; Romero, J.; Fraceto, L.F. γ-Polyglutamic Acid/Chitosan Nanoparticles for the Plant Growth Regulator Gibberellic Acid: Characterization and Evaluation of Biological Activity. Carbohydr. Polym. 2017, 157, 1862–1873. [Google Scholar] [CrossRef]
- Youzhi, W.; Jincheng, W.; Shiqiang, S.; Pinhua, R.; Runkai, W.; Shihui, L.; Liqi, X.; Feng, Z. Preparation and Application Properties of Sustainable Gelatin/Chitosan Soil Conditioner Microspheres. Int. J. Biol. Macromol. 2020, 159, 685–695. [Google Scholar] [CrossRef] [PubMed]
- Zhang, L.; Tang, S.; Guan, Y. Excellent Adsorption–Desorption of Ammonium by a Poly(Acrylic Acid)-Grafted Chitosan and Biochar Composite for Sustainable Agricultural Development. ACS Sustain. Chem. Eng. 2020, 8, 16451–16462. [Google Scholar] [CrossRef]
- Kocięcka, J.; Liberacki, D. The Potential of Using Chitosan on Cereal Crops in the Face of Climate Change. Plants 2021, 10, 1160. [Google Scholar] [CrossRef] [PubMed]
- Kubavat, D.; Trivedi, K.; Vaghela, P.; Prasad, K.; Vijay Anand, G.K.; Trivedi, H.; Patidar, R.; Chaudhari, J.; Andhariya, B.; Ghosh, A. Characterization of a Chitosan-Based Sustained Release Nanofertilizer Formulation Used as a Soil Conditioner While Simultaneously Improving Biomass Production of Zea Mays L. Land Degrad. Dev. 2020, 31, 2734–2746. [Google Scholar] [CrossRef]
- Trivedi, K.; Vijay Anand, K.G.; Kubavat, D.; Kumar, R.; Vaghela, P.; Ghosh, A. Crop Stage Selection Is Vital to Elicit Optimal Response of Maize to Seaweed Bio-Stimulant Application. J. Appl. Phycol. 2017, 29, 2135–2144. [Google Scholar] [CrossRef]
- Laurent, P.L. Thierry Marine and Fungal Biostimulants Improve Grain Yield, N Absorption and Allocation in Durum Wheat Plants. J. Agric. Sci. 2020, 158, 279–287. [Google Scholar] [CrossRef]
- Ge, Y.; Wang, Q.; Wang, L.; Liu, W.; Liu, X.; Huang, Y.; Christie, P. Response of Soil Enzymes and Microbial Communities to Root Extracts of the Alien Alternanthera Philoxeroides. Arch. Agron. Soil Sci. 2018, 64, 708–717. [Google Scholar] [CrossRef]
- Wang, X.; Wang, N.; Xing, Y.; Ben El Caid, M. Synergetic Effects of Plastic Mulching and N Application Rates on Grain Yield, N Uptake and Translocation of Maize Planted in the Loess Plateau of China. Sci. Rep. 2018, 8, 14319. [Google Scholar] [CrossRef]
- Liu, Z.; Gao, J.; Gao, F.; Liu, P.; Zhao, B.; Zhang, J. Late Harvest Improves Yield and N Utilization Efficiency of Summer Maize. Field Crop. Res. 2019, 232, 88–94. [Google Scholar] [CrossRef]
- Mahnert, A.; Haratani, M.; Schmuck, M.; Berg, G. Enriching Beneficial Microbial Diversity of Indoor Plants and Their Surrounding Built Environment With Biostimulants. Front. Microbiol. 2018, 9, 2985. [Google Scholar] [CrossRef]
- Godlewska, K.; Michalak, I.; Tuhy, Ł.; Chojnacka, K. Plant Growth Biostimulants Based on Different Methods of Seaweed Extraction with Water. BioMed Res. Int. 2016, 2016, e5973760. [Google Scholar] [CrossRef]
- Feng, Q.; Chen, M.; Wu, P.; Zhang, X.; Wang, S.; Yu, Z.; Wang, B. Calcium Alginate-Biochar Composite as a Novel Amendment for the Retention and Slow-Release of Nutrients in Karst Soil. Soil Tillage Res. 2022, 223, 105495. [Google Scholar] [CrossRef]
- Eddarai, E.M.; El Mouzahim, M.; Ragaoui, B.; El Addaoui, S.; Boussen, R.; Warad, I.; Bellaouchou, A.; Zarrouk, A. Chitosan/Kaolinite Clay Biocomposite as a Sustainable and Environmentally Eco-Friendly Coating Material for Slow Release NPK Fertilizers: Effect on Soil Nutrients and Tomato Growth. Int. J. Biol. Macromol. 2023, 242, 125019. [Google Scholar] [CrossRef] [PubMed]
- Essawy, H.A.; Ghazy, M.B.M.; El-Hai, F.A.; Mohamed, M.F. Superabsorbent Hydrogels via Graft Polymerization of Acrylic Acid from Chitosan-Cellulose Hybrid and Their Potential in Controlled Release of Soil Nutrients. Int. J. Biol. Macromol. 2016, 89, 144–151. [Google Scholar] [CrossRef] [PubMed]
- Yang, G.; Zhao, H.; Zhang, M.; Dongdong, C.; Chen, J.; Ma, J.; Liu, Z. Liquid Urea-Formaldehyde Slow Release Fertilizer Reduced the Frequency of Fertigation and Increased the Yield of Spinach (Spinacia Oleracea L.). J. Plant Nutr. 2021, 44, 2971–2983. [Google Scholar] [CrossRef]
- Li, X.; Lu, Q.; Li, D.; Wang, D.; Ren, X.; Yan, J.; Ahmed, T.; Li, B. Effects of Two Kinds of Commercial Organic Fertilizers on Growth and Rhizosphere Soil Properties of Corn on New Reclamation Land. Plants 2022, 11, 2553. [Google Scholar] [CrossRef] [PubMed]
- Siwik-Ziomek, A.; Szczepanek, M. Soil Extracellular Enzyme Activities and Uptake of N by Oilseed Rape Depending on Fertilization and Seaweed Biostimulant Application. Agronomy 2019, 9, 480. [Google Scholar] [CrossRef]
- Ren, B.; Huang, Z.; Liu, P.; Zhao, B.; Zhang, J. Urea Ammonium Nitrate Solution Combined with Urease and Nitrification Inhibitors Jointly Mitigate NH3 and N2O Emissions and Improves N Efficiency of Summer Maize under Fertigation. Field Crop. Res. 2023, 296, 108909. [Google Scholar] [CrossRef]
- McLeod, M.L.; Cleveland, C.C.; Lekberg, Y.; Maron, J.L.; Philippot, L.; Bru, D.; Callaway, R.M. Exotic Invasive Plants Increase Productivity, Abundance of Ammonia-Oxidizing Bacteria and N Availability in Intermountain Grasslands. J. Ecol. 2016, 104, 994–1002. [Google Scholar] [CrossRef]
- Shen, J.; Tao, Q.; Dong, Q.; Luo, Y.; Luo, J.; He, Y.; Li, B.; Li, Q.; Xu, Q.; Li, M.; et al. Long-Term Conversion from Rice-Wheat to Rice-Vegetable Rotations Drives Variation in Soil Microbial Communities and Shifts in N-Cycling through Soil Profiles. Geoderma 2021, 404, 115299. [Google Scholar] [CrossRef]
- Lei, T.; Guo, X.; Sun, X.; Ma, J.; Zhang, S.; Zhang, Y. Prediction of Soil Urea Conversion and Quantification of the Importance Degrees of Influencing Factors through a New Combinatorial Model Based on Cluster Method and Artificial Neural Network. Chemosphere 2018, 199, 676–683. [Google Scholar] [CrossRef]
- Hirel, B.; Le Gouis, J.; Ney, B.; Gallais, A. The Challenge of Improving N Use Efficiency in Crop Plants: Towards a More Central Role for Genetic Variability and Quantitative Genetics within Integrated Approaches. J. Exp. Bot. 2007, 58, 2369–2387. [Google Scholar] [CrossRef]
- Zhai, L.-C.; Zhang, L.-H.; Cui, Y.-Z.; Zhai, L.-F.; Zheng, M.-J.; Yao, Y.-R.; Zhang, J.-T.; Hou, W.-B.; Wu, L.-Y.; Jia, X.-L. Combined Application of Organic Fertilizer and Chemical Fertilizer Alleviates the Kernel Position Effect in Summer Maize by Promoting Post-Silking N Uptake and Dry Matter Accumulation. J. Integr. Agric. 2023; in press. [Google Scholar] [CrossRef]
- Jat, L.; Naresh, R.K.; Bhatt, R.; Chandra, M.S.; Singh, S.; Gupta, S.K.; Alataway, A.; Dewidar, A.Z.; Mattar, M.A. Wheat Nutrient Management Strategies to Increase Productivity, Profitability and Quality on Sandy Loam Soils. Agronomy 2022, 12, 2807. [Google Scholar] [CrossRef]





| Years | pH | SOM (g kg−1) | TN (g kg−1) | NH4+-N (mg kg−1) | NO3−-N (mg kg−1) | AP (mg kg−1) | AK (mg kg−1) |
|---|---|---|---|---|---|---|---|
| 2021–2022 | 6.87 | 20.2 | 1.8 | 2.4 | 4.3 | 11.8 | 85.6 |
| 2022–2023 | 6.91 | 19.3 | 1.7 | 2.4 | 4.4 | 11.6 | 84.4 |
| Treatment | Wheat | Maize | N% (Compared to Common Compound Fertilizer) | Base/ Topdressing | ||
|---|---|---|---|---|---|---|
| Fertilization Patterns and Gradients | N Dosage (kg ha−1) | Fertilization Patterns and Gradients | N Dosage (kg ha−1) | |||
| CK0 | No Fertilizer | 0.0 | No Fertilizer | 0.0 | −100 | — |
| CK1 | Common compound fertilizer (721 kg ha−1) Without topdressing | 187.5 | Common compound fertilizer (865.5 kg·ha−1) without topdressing | 225.0 | 0 | 1:0 |
| CK2 | Common compound fertilizer (432 kg ha−1) + Urea (163 kg ha−1) Seedling topdressing | 187.5 | Common compound fertilizer (519 kg·ha−1) + Urea (195.6 kg·ha−1) Belling stage topdressing | 225.0 | 0 | 6:4 |
| jf-20% | Biostimulant (3000 mL ha−1) + Common compound fertilizer (577 kg·ha−1) | 150.0 | Biostimulant (3000 mL ha−1) + Common compound fertilizer (692 kg·ha−1) | 180.0 | −20 | 1:0 |
| jf-30% | Biostimulant (3000 mL ha−1) + Common compound fertilizer (505 kg·ha−1) | 131.3 | Biostimulant (3000 mL ha−1) + Common compound fertilizer (606 kg·ha−1) | 157.5 | −30 | 1:0 |
| jn-20% | Biostimulant chelated urea-formaldehyde fertilizer (525 kg·ha−1) | 150.0 | Biostimulant chelated urea-formaldehyde fertilizer (720 kg·ha−1) | 180.0 | −20 | 1:0 |
| jn-30% | Biostimulant chelated urea-formaldehyde fertilizer (450 kg·ha−1) | 131.3 | Biostimulant chelated urea-formaldehyde fertilizer (630 kg·ha−1) | 157.5 | −30 | 1:0 |
| jn-40% | Biostimulant chelated urea-formaldehyde fertilizer (450 kg·ha−1) | 112.5 | Biostimulant chelated urea-formaldehyde fertilizer (540 kg·ha−1) | 135.0 | −40 | 1:0 |
| jny-27% | Biostimulant chelated urea-formaldehyde fertilizer (450 kg·ha−1) + Organic fertilizer (2500 kg·ha−1) | 137.0 | Biostimulant chelated urea-formaldehyde fertilizer (540 kg·ha−1) + Organic fertilizer (3000 kg·ha−1) | 164.0 | −27 | 1:0 |
| Content | Treatment | Wheat (2021–2022) | Wheat (2022–2023) | Maize (2021–2022) | Maize (2022–2023) | ||||||
|---|---|---|---|---|---|---|---|---|---|---|---|
| Jointing Stage | Flowering Stage | Maturation Stage | Jointing Stage | Flowering Stage | Maturation Stage | Flowering Stage | Maturation Stage | Flowering Stage | Maturation Stage | ||
| NO3−-N (mg·kg−1) | Ck1 | 17.81 ± 0.79 a | 20.42 ± 0.34 a | 10.85 ± 0.86 a | 17.74 ± 0.12 a | 20.5 ± 0.18 ab | 11.85 ± 0.2 a | 30.69 ± 0.57 a | 13.12 ± 0.44 a | 28.52 ± 0.43 c | 12.56 ± 0.23 a |
| Ck2 | 17.75 ± 0.40 a | 20.39 ± 0.68 a | 10.53 ± 0.45 a | 17.87 ± 0.2 a | 20.67 ± 0.35 a | 11.76 ± 0.33 a | 30.6 ± 0.61 a | 13.01 ± 0.21 a | 28.76 ± 0.28 bc | 12.63 ± 0.21 a | |
| jf-20% | 17.23 ± 0.13 ab | 18.82 ± 0.66 bc | 9.00 ± 0.74 bc | 16.58 ± 0.29 bc | 19.96 ± 0.32 bc | 10.67 ± 0.18 b | 30.45 ± 0.43 a | 12.61 ± 0.13 b | 29.25 ± 0.23 a | 12.03 ± 0.09 b | |
| jf-30% | 17.32 ± 0.48 ab | 18.11 ± 0.49 c | 8.48 ± 0.24 c | 16.81 ± 0.18 bc | 19.54 ± 0.14 c | 10.52 ± 0.2 b | 30.45 ± 0.32 a | 12.46 ± 0.22 b | 29.12 ± 0.35 a | 11.92 ± 0.13 b | |
| jn-20% | 17.74 ± 0.67 a | 19.01 ± 0.23 b | 9.23 ± 0.54 b | 16.96 ± 0.29 b | 20.37 ± 0.35 ab | 10.15 ± 0.15 bc | 30.41 ± 0.56 ab | 12.51 ± 0.25 b | 29.16 ± 0.13 a | 12.05 ± 0.11 b | |
| jn-30% | 17.06 ± 0.32 ab | 18.42 ± 1.23 bc | 8.59 ± 0.33 bc | 16.65 ± 0.27 bc | 19.95 ± 0.23 bc | 9.87 ± 0.23 c | 29.53 ± 1.01 c | 12.32 ± 0.34 b | 29.12 ± 0.38 a | 12.15 ± 0.21 b | |
| jn-40% | 16.37 ± 0.84 b | 18.16 ± 0.17 c | 8.31 ± 0.30 c | 16.55 ± 0.37 c | 19.61 ± 0.17 c | 9.64 ± 0.47 c | 29.8 ± 0.53 bc | 12.34 ± 0.32 b | 29.02 ± 0.17 ab | 11.86 ± 0.17 b | |
| jny-27% | 17.62 ± 0.59 ab | 18.90 ± 0.26 bc | 9.24 ± 0.30 b | 16.96 ± 0.31 b | 20.44 ± 0.33 ab | 10.52 ± 0.19 b | 30.45 ± 0.49 a | 12.53 ± 0.27 b | 29.21 ± 0.14 a | 12.11 ± 0.13 b | |
| NH4+-N (mg·kg−1) | Ck1 | 5.95 ± 0.16 a | 8.98 ± 0.18 a | 4.90 ± 0.54 a | 5.93 ± 0.21 a | 8.88 ± 0.41 ab | 5.29 ± 0.26 a | 13.89 ± 0.26 a | 7.97 ± 0.28 a | 12.93 ± 0.21 bc | 7.41 ± 0.13 ab |
| Ck2 | 5.97 ± 0.21 a | 9.07 ± 0.28 a | 4.90 ± 0.18 a | 5.93 ± 0.12 a | 8.96 ± 0.3 a | 5.25 ± 0.21 a | 13.81 ± 0.36 a | 7.95 ± 0.24 a | 12.87 ± 0.30 c | 7.42 ± 0.25 ab | |
| jf-20% | 5.66 ± 0.11 b | 7.94 ± 0.15 bcd | 3.94 ± 0.19 b | 5.69 ± 0.17 b | 8.83 ± 0.23 ab | 5.1 ± 0.18 b | 13.72 ± 0.25 a | 7.35 ± 0.24 bc | 13.11 ± 0.11 abc | 7.30 ± 0.29 b | |
| jf-30% | 5.32 ± 0.17 c | 7.86 ± 0.15 cd | 3.99 ± 0.13 b | 5.58 ± 0.16 cd | 8.73 ± 0.17 ab | 5.08 ± 0.12 bc | 13.53 ± 0.40 a | 7.23 ± 0.12 bc | 12.96 ± 0.22 bc | 7.44 ± 0.31 a | |
| jn-20% | 5.89 ± 0.17 ab | 8.16 ± 0.14 bc | 4.11 ± 0.12 b | 5.65 ± 0.25 bc | 8.72 ± 0.11 ab | 5.15 ± 0.16 b | 13.44 ± 0.13 a | 7.2 ± 0.28 bc | 13.04 ± 0.15 abc | 7.35 ± 0.10 ab | |
| jn-30% | 5.35 ± 0.27 c | 8.20 ± 0.19 b | 3.92 ± 0.13 b | 5.48 ± 0.33 d | 8.55 ± 0.17 bc | 5.10 ± 0.24 b | 12.77 ± 0.32 b | 7.23 ± 0.25 bc | 13.3 ± 0.11 a | 7.36 ± 0.33 ab | |
| jn-40% | 5.15 ± 0.12 c | 7.68 ± 0.18 d | 3.99 ± 0.09 b | 5.50 ± 0.18 d | 8.26 ± 0.10 c | 5.00 ± 0.21 c | 12.73 ± 0.39 b | 7.06 ± 0.15 c | 13.19 ± 0.06 ab | 7.33 ± 0.12 ab | |
| jny-27% | 5.78 ± 0.15 ab | 8.09 ± 0.22 bc | 4.09 ± 0.18 b | 5.66 ± 0.22 bc | 8.66 ± 0.39 ab | 5.14 ± 0.23 b | 13.50 ± 0.41 a | 7.49 ± 0.2 b | 13.09 ± 0.16 abc | 7.36 ± 0.16 ab | |
| Content | Treatment | N Accumulation | N Translocation (Pre-Flowering) | N Assimilation (Post-Flowering) | N Transfer Rate (Pre-Flowering %) | CGNT (%) | CGNA (%) | |||
|---|---|---|---|---|---|---|---|---|---|---|
| Vegetative Organs (Flowering Stage) | Vegetative Organs (Maturation Stage) | Grain (Maturation Stage) | Total Plant (Maturation Stage) | |||||||
| Wheat (2021–2022) | CK0 | — | — | — | 91.3 | — | — | — | — | — |
| Ck1 | 134.6 ± 6.3 a | 23.1 ± 1.2 b | 146.1 ± 2.3 cd | 169.3 ± 4.7 cd | 111.5 ± 4.3 a | 34.7 ± 2.3 e | 82.8 ± 1.1 a | 76.3 ± 1.6 a | 23.7 ± 1.2 b | |
| Ck2 | 136.1 ± 5.3 a | 23.7 ± 0.9 b | 148.2 ± 4.9 bc | 171.8 ± 6.1 c | 112.4 ± 5.1 a | 35.7 ± 2.3 e | 82.6 ± 1.3 a | 75.9 ± 1.6 a | 24.1 ± 1.3 b | |
| jf-20% | 115.2 ± 4.5 b | 21.8 ± 0.7 c | 147.9 ± 4.2 bc | 169.7 ± 5.6 cd | 93.4 ± 4.3 b | 54.5 ± 2.1 bc | 81.1 ± 1.3 b | 63.2 ± 1.4 b | 36.8 ± 1.0 a | |
| jf-30% | 106.1 ± 3.5 c | 21.5 ± 0.7 c | 133.1 ± 6.2 e | 154.6 ± 4.8 e | 84.5 ± 3.5 cd | 48.6 ± 3.5 d | 79.7 ± 1.7 bc | 63.5 ± 2.6 b | 36.5 ± 1.4 a | |
| jn-20% | 118.8 ± 4.3 b | 24.6 ± 0.5 a | 151.9 ± 4.9 b | 176.5 ± 3.8 b | 94.2 ± 4.3 b | 57.7 ± 4.3 ab | 79.3 ± 1.8 c | 62.0 ± 2.8 b | 38 ± 2.1 a | |
| jn-30% | 115.2 ± 4.7 b | 23.0 ± 0.3 b | 142.7 ± 6.7 d | 165.7 ± 3.4 d | 92.2 ± 4.7 bc | 50.5 ± 2.2 cd | 80.0 ± 0.8 bc | 64.6 ± 0.5 b | 35.4 ± 0.4 a | |
| jn-40% | 104.0 ± 3.7 c | 21.4 ± 0.3 c | 128.9 ± 7.5 e | 150.4 ± 6.7 e | 82.6 ± 5.2 d | 46.4 ± 2.6 d | 79.4 ± 0.9 c | 64.1 ± 0.5 b | 35.9 ± 0.7 a | |
| jny-27% | 121.1 ± 7.1 b | 23.3 ± 0.2 b | 157.8 ± 6.5 a | 181.1 ± 6.5 a | 97.8 ± 7.1 b | 60.0 ± 7.3 a | 80.7 ± 1.1 bc | 62.0 ± 4.5 b | 38 ± 1.2 a | |
| Wheat (2022–2023) | CK0 | — | — | — | 90.7 | — | — | — | — | — |
| Ck1 | 136.4 ± 3.2 a | 26.3 ± 1.2 a | 147 ± 5.5 abc | 173.3 ± 5.4 ab | 110.2 ± 3.5 a | 36.9 ± 3.7 c | 80.7 ± 1.4 ab | 75 ± 2.7 a | 25 ± 1 d | |
| Ck2 | 138.6 ± 2.5 a | 26.3 ± 1.2 a | 146.8 ± 1.2 bc | 173.0 ± 2 ab | 112.3 ± 4.1 a | 34.4 ± 2.4 c | 81.0 ± 1.4 a | 76.5 ± 0.9 a | 23.5 ± 1.1 d | |
| jf-20% | 118.1 ± 1.6 b | 22.8 ± 1.8 b | 149.8 ± 1.3 abc | 172.6 ± 2.9 ab | 95.3 ± 2.6 b | 54.5 ± 4.5 b | 80.7 ± 1.3 ab | 63.6 ± 1.3 b | 36.4 ± 1.5 c | |
| jf-30% | 109.8 ± 2.8 cd | 22.1 ± 1.5 b | 143.2 ± 5.1 c | 165.3 ± 6.6 c | 87.7 ± 2.3 c | 55.5 ± 5.2 b | 79.9 ± 1.5 ab | 61.4 ± 3.8 bc | 38.6 ± 1.4 bc | |
| jn-20% | 108.2 ± 6.2 cde | 22.6 ± 2.9 b | 153.4 ± 1.7 ab | 176.0 ± 4.4 a | 85.5 ± 3.4 cd | 67.8 ± 2.4 a | 79.1 ± 1.5 b | 55.8 ± 1.8 d | 44.2 ± 1.7 a | |
| jn-30% | 105.4 ± 2.1 de | 22.2 ± 1.7 b | 145.7 ± 7.4 c | 167.9 ± 7.1 bc | 83.2 ± 2.7 d | 62.5 ± 6.2 ab | 79.0 ± 1.8 b | 57.2 ± 3.1 cd | 42.8 ± 1.2 ab | |
| jn-40% | 103.3 ± 5.8 e | 21.3 ± 2.1 b | 143.6 ± 3.2 c | 164.9 ± 1.9 c | 82.1 ± 3.8 d | 61.6 ± 6.5 ab | 79.4 ± 0.9 ab | 57.2 ± 3.6 cd | 42.8 ± 1.4 ab | |
| jny-27% | 111.9 ± 2.9 c | 23 ± 0.8 b | 153.7 ± 1.5 a | 176.7 ± 2.2 a | 88.9 ± 2.8 c | 64.8 ± 3.7 a | 79.4 ± 0.7 ab | 57.8 ± 2.2 cd | 42.2 ± 1.2 ab | |
| Maize (2021–2022) | CK0 | — | — | — | 100.53 | — | — | — | — | — |
| Ck1 | 100.7 ± 2.4 e | 50.3 ± 1.6 c | 124.2 ± 3.6 d | 174.6 ± 5.9 d | 50.4 ± 1.5 d | 73.9 ± 2.4 cd | 50.0 ± 0.8 c | 40.6 ± 0.4 cd | 59.4 ± 0.5 bc | |
| Ck2 | 101.4 ± 3.8 de | 50.4 ± 1.7 c | 123.8 ± 3.1 d | 174.2 ± 6.9 d | 50.9 ± 1.1 cd | 72.8 ± 2.2 d | 50.3 ± 0.9 c | 41.2 ± 0.4 bc | 58.8 ± 0.4 cd | |
| jf-20% | 105.8 ± 3.4 b | 50.7 ± 1.7 bc | 130.0 ± 4.4 c | 180.7 ± 7.2 c | 55.1 ± 2.5 a | 74.9 ± 1.9 cd | 52.1 ± 1.1 a | 42.4 ± 0.8 a | 57.6 ± 0.7 e | |
| jf-30% | 101.7 ± 4.2 d | 48.9 ± 0.8 d | 125.5 ± 2.8 d | 174.4 ± 6.9 d | 52.7 ± 2.1 b | 72.8 ± 1.8 d | 51.9 ± 1.3 a | 42.0 ± 0.2 ab | 58.0 ± 0.3 de | |
| jn-20% | 108.6 ± 2.0 a | 52.3 ± 1.1 a | 141.0 ± 3.5 a | 193.3 ± 5.9 a | 56.3 ± 2.3 a | 84.7 ± 2.9 a | 51.8 ± 1.1 a | 39.9 ± 1 cde | 60.1 ± 0.9 abc | |
| jn-30% | 103.8 ± 3.1 c | 51.6 ± 1.7 ab | 132.7 ± 3.8 b | 184.4 ± 5.2 b | 52.1 ± 0.9 bc | 80.6 ± 2.1 b | 50.2 ± 0.6 c | 39.3 ± 0.8 e | 60.7 ± 0.4 a | |
| jn-40% | 98.4 ± 2.1 f | 48.6 ± 1.2 d | 126.1 ± 1.9 d | 174.7 ± 3.4 d | 49.9 ± 1.0 d | 76.2 ± 1.4 c | 50.6 ± 1 bc | 39.5 ± 1 de | 60.5 ± 0.5 ab | |
| jny-27% | 108.5 ± 4.3 a | 52.5 ± 1.9 a | 139.0 ± 3.3 a | 191.5 ± 7.4 a | 56 ± 1.9 a | 83.1 ± 3.1 ab | 51.6 ± 0.7 ab | 40.3 ± 0.1 cde | 59.7 ± 0.8 abc | |
| Maize (2022–20233) | CK0 | — | — | — | 77.2 | — | — | — | — | — |
| Ck1 | 84.3 ± 1.6 a | 40.8 ± 0.5 ab | 111.5 ± 4.4 cd | 153.9 ± 3.5 b | 43.5 ± 1.8 b | 67.9 ± 1.9 d | 51.6 ± 1.3 ab | 39.1 ± 1.3 ab | 60.9 ± 1.3 cd | |
| Ck2 | 84.7 ± 1.5 a | 41.3 ± 1.2 a | 110.3 ± 2.7 cd | 152.6 ± 4.5 b | 43.5 ± 1.9 b | 66.8 ± 1.3 d | 51.3 ± 1.2 b | 39.4 ± 1.1 ab | 60.6 ± 1.6 cd | |
| jf-20% | 85.0 ± 1.8 a | 40.2 ± 1.1 bc | 118.0 ± 7.5 b | 160.4 ± 5.1 a | 44.8 ± 1.1 a | 73.2 ± 1.1 b | 52.7 ± 1.4 a | 38.0 ± 0.9 b | 62.0 ± 2.5 c | |
| jf-30% | 82.8 ± 1.7 b | 40.0 ± 1.3 bcd | 107.3 ± 3.2 cd | 148.4 ± 3.6 cd | 42.8 ± 1.3 b | 64.5 ± 2.2 d | 51.7 ± 1.1 ab | 39.9 ± 1.3 a | 60.1 ± 1.3 d | |
| jn-20% | 79.3 ± 1.3 c | 39.5 ± 0.9 cd | 124.1 ± 4.2 a | 163.6 ± 4.2 a | 39.7 ± 0.9 c | 84.4 ± 1.0 a | 50.1 ± 0.9 c | 32.0 ± 0.7 d | 68.0 ± 0.7 a | |
| jn-30% | 78.2 ± 1.2 d | 39.3 ± 0.8 d | 111.5 ± 3.7 c | 152.0 ± 2.7 bc | 38.9 ± 1.3 c | 72.6 ± 2.1 bc | 49.7 ± 0.9 c | 34.9 ± 0.7 c | 65.1 ± 0.7 b | |
| jn-40% | 78.2 ± 0.7 d | 39.5 ± 0.8 cd | 106.9 ± 3.3 d | 147.6 ± 3.1 d | 38.7 ± 1.0 c | 68.2 ± 1.3 cd | 49.5 ± 0.6 c | 36.3 ± 1.3 c | 63.7 ± 1.3 b | |
| jny-27% | 79.5 ± 1.4 c | 40.0 ± 1.0 bcd | 122.5 ± 3.9 ab | 163.4 ± 3.2 a | 39.5 ± 1.5 c | 83.0 ± 1.4 a | 49.7 ± 0.9 c | 32.3 ± 0.6 d | 67.7 ± 0.6 a | |
| Year | Treatment | Wheat | Maize | ||||||
|---|---|---|---|---|---|---|---|---|---|
| Fertile Spike Numbers (104 ha−1) | Grain Numbers per Spike | 1000-Grain Weight (g) | Yield (kg ha−1) | Row Numbers | Kernel Numbers | 500-Grain Weight (g) | Yield (kg ha−1) | ||
| 2021–2022 | Ck0 | 331.0 | 29.8 | 50.0 | 4284.5 | 11.8 | 27.8 | 164.6 | 5431.3 |
| Ck1 | 413.0 ± 9.3 ab | 48.5 ± 1.2 a | 50.7 ± 0.8 ab | 7618.7 ± 82.5 abc | 15.5 ± 0.1 b | 39.8 ± 1.1 b | 166.9 ± 0.6 a | 9766.8 ± 121 cd | |
| Ck2 | 422.7 ± 10.2 ab | 48.7 ± 0.9 a | 49.0 ± 0.5 c | 7782.8 ± 49.9 ab | 15.6 ± 0.1 b | 39.7 ± 0.9 b | 167.2 ± 1.1 a | 9738.2 ± 136.7 d | |
| jf-20% | 417.7 ± 9.3 ab | 46.5 ± 1.1 b | 49.1 ± 1.1 c | 7633 ± 68.7 abc | 15.8 ± 0.2 ab | 40.9 ± 1.1 a | 166.9 ± 0.5 a | 9957.4 ± 43.7 b | |
| jf-30% | 402.0 ± 8.3 b | 46.0 ± 1.2 b | 48.9 ± 0.9 c | 7533.5 ± 36.6 c | 15.9 ± 0.1 ab | 40.2 ± 1.3 ab | 166.6 ± 1.3 a | 9804.9 ± 124.6 c | |
| jn-20% | 425.3 ± 8.2 ab | 49.2 ± 1.4 a | 49.5 ± 0.9 bc | 7820.6 ± 101.4 a | 15.9 ± 0.2 ab | 40.8 ± 0.8 a | 167.7 ± 0.4 a | 10214.6 ± 127.4 a | |
| jn-30% | 419.7 ± 7.3 ab | 46.3 ± 1.2 b | 50.7 ± 0.7 ab | 7562.5 ± 33.7 bc | 15.7 ± 0.1 ab | 39.5 ± 1.3 b | 167.1 ± 1.1 a | 9966.9 ± 46.5 b | |
| jn-40% | 401.0 ± 5.9 b | 44.8 ± 1.0 c | 51.5 ± 0.6 a | 7468.8 ± 53.9 c | 15.9 ± 0.1 ab | 39.7 ± 1.2 b | 167.3 ± 0.7 a | 9776.3 ± 57.2 cd | |
| jny-27% | 437.3 ± 7.8 a | 48.7 ± 1.5 a | 48.7 ± 1.2 c | 7840.4 ± 94.2 a | 16.2 ± 0.2 a | 40.8 ± 0.9 a | 167.8 ± 0.8 a | 10252.7 ± 131.8 a | |
| 2022–2023 | Ck0 | 273 | 32.1 | 48.9 | 3528.4 | 12.3 | 20.1 | 129.6 | 3107.7 |
| Ck1 | 389.0 ± 6.9 bcd | 48.5 ± 1.3 a | 50.0 ± 0.4 a | 7728.3 ± 45.9 ab | 15.2 ± 0.2 ab | 35 ± 1.3 ab | 134.3 ± 0.7 ab | 6680.5 ± 89.7 b | |
| Ck2 | 383.7 ± 4.7 cd | 48.3 ± 0.9 ab | 49.6 ± 0.2 a | 7608.6 ± 79.4 c | 15.2 ± 0.1 ab | 34.5 ± 1.8 ab | 134.7 ± 0.6 ab | 6516.4 ± 118.4 bc | |
| jf-20% | 397.7 ± 2.9 abc | 48.1 ± 1.3 ab | 49.7 ± 0.4 a | 7634.5 ± 20.2 bc | 15.4 ± 0.3 ab | 35.5 ± 1.4 ab | 134.8 ± 0.6 a | 6950.8 ± 94.4 a | |
| jf-30% | 373.7 ± 8.8 d | 48.0 ± 1.2 b | 49.5 ± 0.3 a | 7443.6 ± 51.4 d | 15.0 ± 0.1 ab | 34.9 ± 0.6 ab | 132.7 ± 0.4 ab | 6643.7 ± 49.5 b | |
| jn-20% | 408.3 ± 3.9 a | 48.2 ± 0.7 ab | 49.8 ± 0.8 a | 7725.1 ± 88.9 ab | 15.7 ± 0.1 a | 36.3 ± 1.0 a | 134 ± 0.7 ab | 6986.4 ± 40 a | |
| jn-30% | 401.0 ± 10.5 ab | 48.1 ± 0.6 ab | 49.5 ± 0.7 a | 7653.9 ± 36.7 bc | 15.6 ± 0.3 ab | 33.7 ± 1.2 bc | 132.1 ± 0.3 b | 6566.4 ± 86.3 bc | |
| jn-40% | 380.0 ± 7.2 d | 47.9 ± 0.5 b | 49.7 ± 0.7 a | 7440.4 ± 112.5 d | 15.3 ± 0.6 ab | 32.7 ± 1.3 c | 132.8 ± 0.8 ab | 6369.5 ± 126.6 c | |
| jny-27% | 409.3 ± 9.3 a | 48.3 ± 1.1 ab | 50.0 ± 0.1 a | 7812.4 ± 54.9 a | 15.7 ± 0.1 a | 35.8 ± 1.1 a | 134.8 ± 0.8 a | 6891.1 ± 116.7 a | |
| Year | Treatment | Wheat | Maize | ||||
|---|---|---|---|---|---|---|---|
| NUE (%) | NPP (kg·kg−1) | NHI (%) | NUE (%) | NPP (kg·kg−1) | NHI (%) | ||
| 2021–2022 | Ck1 | 41.6 ± 1.5 b | 40.6 ± 0.3 b | 86.3 ± 0.1 b | 32.9 ± 0.3 f | 43.4 ± 0.5 f | 71.2 ± 0.2 d |
| Ck2 | 43 ± 0.5 b | 41.5 ± 0.4 b | 86.2 ± 0.3 b | 32.7 ± 0.4 f | 43.3 ± 0.1 f | 71.1 ± 0.1 d | |
| jf-20% | 52.3 ± 2.4 a | 50.9 ± 0.4 a | 87.1 ± 0.7 a | 44.5 ± 0.9 e | 55.3 ± 0.2 e | 72.0 ± 0.2 c | |
| jf-30% | 48.3 ± 1.4 a | 57.4 ± 0.7 a | 86.1 ± 0.3 b | 46.9 ± 0.4 d | 62.3 ± 0.2 c | 71.9 ± 0.4 c | |
| jn-20% | 56.8 ± 2.6 a | 52.1 ± 0.3 a | 86.1 ± 0.2 b | 51.5 ± 1.6 c | 56.7 ± 0.4 d | 72.9 ± 0.4 a | |
| jn-30% | 56.7 ± 2.6 a | 57.6 ± 1.1 a | 86.1 ± 0.6 b | 53.2 ± 1.3 b | 63.3 ± 0.3 b | 72.0 ± 0.3 c | |
| jn-40% | 52.5 ± 0.6 a | 66.4 ± 1.0 a | 85.8 ± 0.2 b | 54.9 ± 0.9 a | 72.4 ± 1.1 a | 72.2 ± 0.3 bc | |
| jny-27% | 65.6 ± 1.0 a | 57.3 ± 0.3 a | 87.1 ± 0.2 a | 55.5 ± 1.4 a | 62.5 ± 0.7 c | 72.6 ± 0.6 ab | |
| 2022–2023 | Ck1 | 44.7 ± 0.6 d | 42.1 ± 0.2 f | 84.8 ± 0.5 b | 34.1 ± 0.8 d | 30.8 ± 0.4 g | 72.4 ± 0.5 cd |
| Ck2 | 43.9 ± 0.9 d | 41.3 ± 0.1 g | 84.8 ± 0.5 b | 33.5 ± 1.1 d | 30.0 ± 0.1 h | 72.3 ± 0.8 cd | |
| jf-20% | 52.3 ± 0.5 c | 51.7 ± 0.1 e | 86.8 ± 1.0 a | 46.3 ± 1.3 bc | 39.6 ± 0.5 f | 73.6 ± 1.1 c | |
| jf-30% | 53.1 ± 1.1 c | 57.7 ± 0.3 c | 86.6 ± 0.4 a | 45.2 ± 2.8 c | 42.7 ± 0.3 d | 72.4 ± 0.4 d | |
| jn-20% | 54.0 ± 0.8 c | 52.7 ± 0.2 d | 87.2 ± 0.4 a | 48.0 ± 1.3 b | 40.5 ± 0.2 e | 75.8 ± 0.8 a | |
| jn-30% | 54.3 ± 1.2 bc | 59.3 ± 0.2 b | 86.8 ± 0.5 a | 47.5 ± 0.6 b | 43.2 ± 0.2 c | 73.4 ± 0.7 b | |
| jn-40% | 59.1 ± 0.9 a | 66.9 ± 0.2 a | 87.1 ± 0.8 a | 52.2 ± 1.8 a | 49.1 ± 0.4 a | 72.4 ± 0.4 b | |
| jny-27% | 58.3 ± 1.1 ab | 57.8 ± 0.1 c | 87.0 ± 0.3 a | 52.6 ± 0.5 a | 44.1 ± 0.3 b | 75.0 ± 0.9 a | |
Disclaimer/Publisher’s Note: The statements, opinions and data contained in all publications are solely those of the individual author(s) and contributor(s) and not of MDPI and/or the editor(s). MDPI and/or the editor(s) disclaim responsibility for any injury to people or property resulting from any ideas, methods, instructions or products referred to in the content. |
© 2023 by the authors. Licensee MDPI, Basel, Switzerland. This article is an open access article distributed under the terms and conditions of the Creative Commons Attribution (CC BY) license (https://creativecommons.org/licenses/by/4.0/).
Share and Cite
Li, J.; Ma, H.; Ma, H.; Lei, F.; He, D.; Huang, X.; Yang, H.; Fan, G. Comprehensive Effects of N Reduction Combined with Biostimulants on N Use Efficiency and Yield of the Winter Wheat–Summer Maize Rotation System. Agronomy 2023, 13, 2319. https://doi.org/10.3390/agronomy13092319
Li J, Ma H, Ma H, Lei F, He D, Huang X, Yang H, Fan G. Comprehensive Effects of N Reduction Combined with Biostimulants on N Use Efficiency and Yield of the Winter Wheat–Summer Maize Rotation System. Agronomy. 2023; 13(9):2319. https://doi.org/10.3390/agronomy13092319
Chicago/Turabian StyleLi, Junji, Haiyan Ma, Hongliang Ma, Fang Lei, Dahai He, Xiulan Huang, Hongkun Yang, and Gaoqiong Fan. 2023. "Comprehensive Effects of N Reduction Combined with Biostimulants on N Use Efficiency and Yield of the Winter Wheat–Summer Maize Rotation System" Agronomy 13, no. 9: 2319. https://doi.org/10.3390/agronomy13092319
APA StyleLi, J., Ma, H., Ma, H., Lei, F., He, D., Huang, X., Yang, H., & Fan, G. (2023). Comprehensive Effects of N Reduction Combined with Biostimulants on N Use Efficiency and Yield of the Winter Wheat–Summer Maize Rotation System. Agronomy, 13(9), 2319. https://doi.org/10.3390/agronomy13092319

