Influences of Exogenic Organic Materials Application on Soil Fertility Status and Paddy Growth under a Coastal Saline Soil Condition
Abstract
:1. Introduction
2. Materials and Methods
2.1. Experimental Site and Materials
2.2. Experimental Design
2.3. Sample Processing and Analysis
2.4. Statistical Analysis
3. Results and Discussion
3.1. Adding Exogenic Organic Materials Accelerated the Reduction of Soil Barrier Factors
3.2. Adding Exogenic Organic Materials Improved Soil Physical Properties
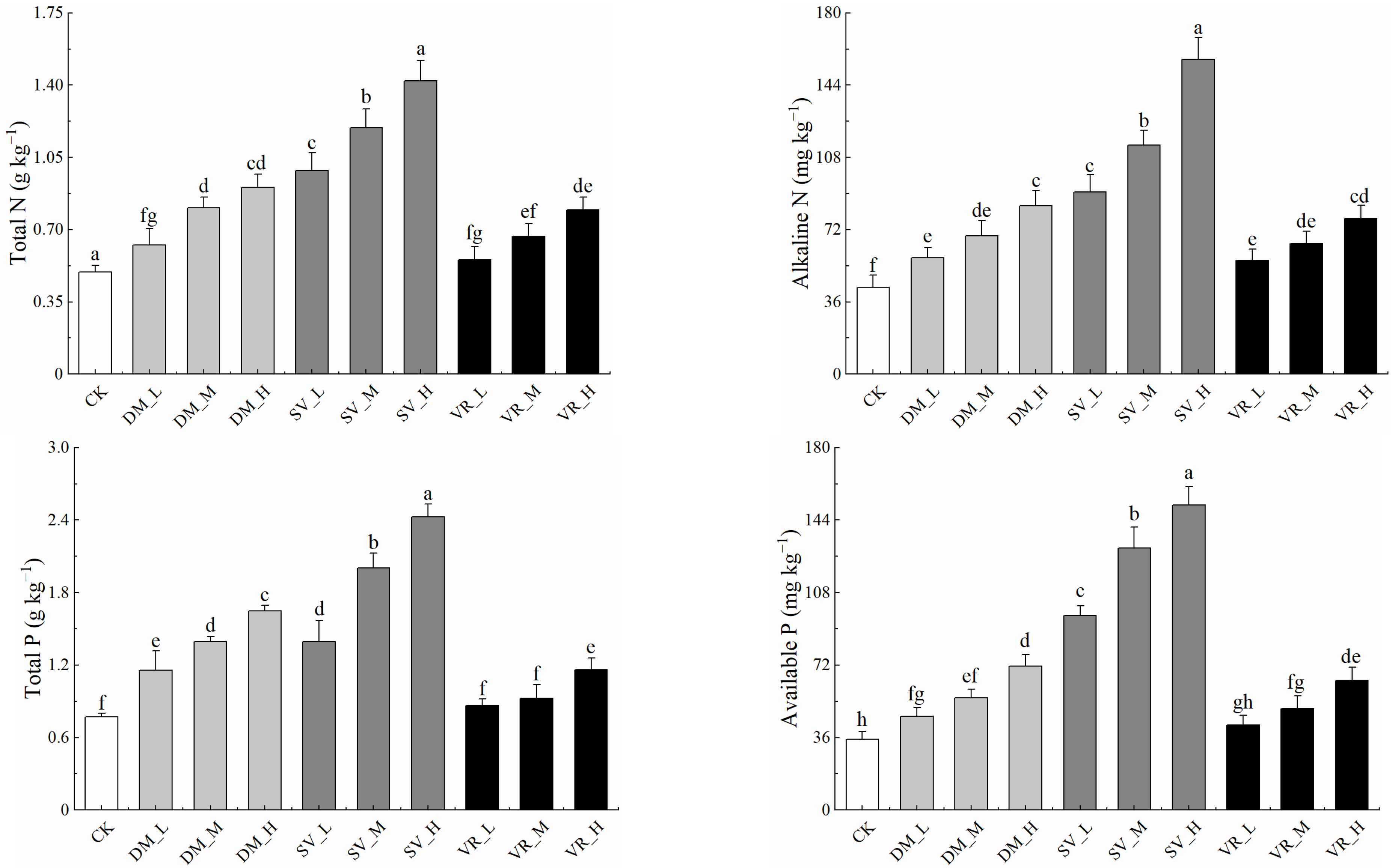
3.3. Adding Exogenic Organic Materials Promoted SOC Accumulation and Soil Fertility Improvement
3.4. Adding Exogenic Organic Materials Promoted Paddy Growth
4. Conclusions
Author Contributions
Funding
Institutional Review Board Statement
Informed Consent Statement
Data Availability Statement
Conflicts of Interest
References
- Huang, L.; Liu, Y.; Ferreira, J.F.S.; Wang, M.; Na, J.; Huang, J.; Liang, Z. Long-term combined effects of tillage and rice cultivation with phosphogypsum or farmyard manure on the concentration of salts, minerals, and heavy metals of saline-sodic paddy fields in Northeast China. Soil Till. Res. 2022, 215, 105222. [Google Scholar] [CrossRef]
- Yang, X.; Li, J.; Zheng, Y.; Li, H.; Qiu, R. Salinity elevates Cd bioaccumulation of sea rice cultured under co-exposure of cadmium and salt. J. Environ. Sci. 2023, 126, 602–611. [Google Scholar] [CrossRef]
- Ke, J.; Xing, X.; Li, G.; Ding, Y.; Dou, F.; Wang, S.; Liu, Z.; Tang, S.; Ding, C.; Chen, L. Effects of different controlled-release nitrogen fertilisers on ammonia volatilisation, nitrogen use efficiency and yield of blanket-seedling machine-transplanted rice. Field Crops Res. 2017, 205, 147–156. [Google Scholar] [CrossRef]
- Li, P.; Lu, J.; Hou, W.; Pan, Y.; Wang, Y.; Khan, M.R.; Ren, T.; Cong, R.; Li, X. Reducing nitrogen losses through ammonia volatilization and surface runoff to improve apparent nitrogen recovery of double cropping of late rice using controlled release urea. Environ. Sci. Pollut. Res. 2017, 24, 11722–11733. [Google Scholar] [CrossRef] [PubMed]
- Feng, Y.; Chen, R.; Hu, J.; Zhao, F.; Wang, J.; Chu, H.; Zhang, J.; Dolfing, J.; Lin, X. Bacillus asahii comes to the fore in organic manure fertilized alkaline soils. Soil Biol. Biochem. 2015, 81, 186–194. [Google Scholar] [CrossRef]
- Zhang, H.; Ding, W.; Yu, H.; He, X. Linking organic carbon accumulation to microbial community dynamics in a sandy loam soil: Result of 20 years compost and inorganic fertilizers repeated application experiment. Biol. Fert. Soils 2015, 51, 137–150. [Google Scholar] [CrossRef]
- Xin, X.; Zhang, J.; Zhu, A.; Zhang, C. Effects of long-term (23 years) mineral fertilizer and compost application on physical properties of fluvo-aquic soil in the North China Plain. Soil Till. Res. 2016, 156, 166–172. [Google Scholar] [CrossRef]
- Yao, R.J.; Yang, J.S.; Chen, X.B.; Zou, P.; Zhao, X.F. Classification and fuzzy synthetic evaluation of soil nutrient at plough horizon in coastal region of north Jiangsu province. Soil Fertil. Sci. China 2009, 4, 16–20. (In Chinese) [Google Scholar]
- Fooladmand, H.R. Estimating cation exchange capacity using soil textural data and soil organic matter content: A case study for the south of Iran. Arch. Agron. Soil Sci. 2008, 54, 381–386. [Google Scholar] [CrossRef]
- Chen, X.; Wu, J.; Opoku-Kwanowaa, Y. Effects of organic wastes on soil organic carbon and surface charge properties in primary saline-alkali soil. Sustainability 2019, 11, 7088. [Google Scholar] [CrossRef]
- Shaaban, M.; Wu, Y.; Nunez-Delgado, A.; Kuzyakov, Y.; Peng, Q.A.; Lin, S.; Hu, R. Enzyme activities and organic matter mineralization in response to application of gypsum, manure and rice straw in saline and sodic soils. Environ. Res. 2023, 224, 115393. [Google Scholar] [CrossRef] [PubMed]
- Zuo, W.; Gu, C.; Zhang, W.; Xu, K.; Wang, Y.; Bai, Y.; Shan, Y.; Dai, Q. Sewage sludge amendment improved soil properties and sweet sorghum yield and quality in a newly reclaimed mudflat land. Sci. Total Environ. 2019, 654, 541–549. [Google Scholar] [CrossRef] [PubMed]
- Zuo, W.; Bai, Y.; Lv, M.; Tang, Z.; Ding, C.; Gu, C.; Shan, Y.; Dai, Q.; Li, M. Sustained effects of one-time sewage sludge addition on rice yield and heavy metals accumulation in salt-affected mudflat soil. Environ. Sci. Pollut. Res. 2020, 28, 7476–7490. [Google Scholar] [CrossRef] [PubMed]
- Cai, A.D.; Xu, M.G.; Zhang, W.J.; Wang, B.R.; Cai, Z.J. Establishment and verification of the relationship between soil organic carbon storage and exogenous carbon input. J. Plant Nutr. Fertil. 2020, 26, 934–941. [Google Scholar]
- Gong, X.J.; Qin, L.; Liu, F.; Liu, D.N.; Ma, W.W.; Zhang, T.; Liu, X.; Luo, F. Effects of organic manure on soil nutrient content: A review. Chin. J. Appl. Ecol. 2020, 31, 1403–1416. (In Chinese) [Google Scholar]
- Lehmann, J.; Hansel, C.M.; Kaiser, C.; Kleber, M.; Maher, K.; Manzoni, S.; Nunan, N.; Reichstein, M.; Schimel, J.P.; Torn, M.S.; et al. Persistence of soil organic carbon caused by functional complexity. Nat. Geosci. 2020, 13, 529–534. [Google Scholar] [CrossRef]
- Xu, P.; Liu, Y.; Zhu, J.; Shi, L.; Fu, Q.; Chen, J.; Hu, H.; Huang, Q. Influence mechanisms of long-term fertilizations on the mineralization of organic matter in Ultisol. Soil Till. Res. 2020, 201, 104594. [Google Scholar] [CrossRef]
- Xu, P.; Zhu, J.; Wang, H.; Shi, L.; Zhuang, Y.; Fu, Q.; Chen, J.; Hu, H.; Huang, Q. Regulation of soil aggregate size under different fertilizations on dissolved organic matter, cellobiose hydrolyzing microbial community and their roles in organic matter mineralization. Sci. Total Environ. 2021, 755, 142595. [Google Scholar] [CrossRef]
- GB 4284-2018; Control Standards of Pollutants in Sludge for Agricultural Use. State Administration for Market Regulation and Standardization Administration of China: Beijing, China, 2018.
- Zuo, W.G.; Xu, K.D.; Zhang, W.J.; Wang, Y.; Gu, C.H.; Bai, Y.C.; Shan, Y.H.; Dai, Q.G. Heavy metal distribution and uptake by maize in a mudflat soil amended by vermicompost derived from sewage sludge. Environ. Sci. Pollut. Res. 2019, 26, 30154–30166. [Google Scholar] [CrossRef]
- Bao, S. Soil and Agro-Chemistry Analysis; China Agricultural Press: Beijing, China, 2000. [Google Scholar]
- Ke, Z.; Liu, X.Z.; Ma, L.; Feng, Z.; Tu, W.; Dong, Q.; Jiao, F.; Wang, Z. Rainstorm events increase risk of soil salinization in a loess hilly region of China. Agric. Water Manag. 2021, 256, 125–141. [Google Scholar] [CrossRef]
- Xiao, H.; Wang, L.; Cheng, W.; Zhao, J.; Pan, J.; Lu, W. Effect of different regulating materials on fast desalination of coastal saline soil. Acta Technol. Boreali-Sin. 2016, 31, 121–126. (In Chinese) [Google Scholar] [CrossRef]
- Zuo, W.; Xu, L.; Qiu, M.; Yi, S.; Wang, Y.; Shen, C.; Zhao, Y.; Li, Y.; Gu, C.; Shan, Y.; et al. Effects of different exogenous organic materials on improving soil fertility in coastal saline-alkali soil. Agronomy 2023, 13, 61. [Google Scholar] [CrossRef]
- Six, J.; Bossuyt, H.; Degryze, S.; Denef, K. A history of research on the link between (micro)aggregates, soil biota, and soil organic matter dynamics. Soil Till. Res. 2004, 79, 7–31. [Google Scholar] [CrossRef]
- Tian, X.; Fan, H.; Wang, J.; Ippolito, J.; Li, Y.; Feng, S.; An, M.; Zhang, F.; Wang, K. Effect of polymer materials on soil structure and organic carbon under drip irrigation. Geoderma 2019, 340, 94–103. [Google Scholar] [CrossRef]
- Bronick, C.J.; Lal, R. Soil structure and management: A review. Geoderma 2005, 124, 3–22. [Google Scholar] [CrossRef]
- Guo, X.; Liu, H.; Wu, S. Humic substances developed during organic waste composting: Formation mechanisms, structural properties, and agronomic functions. Sci. Total Environ. 2019, 662, 501–510. [Google Scholar] [CrossRef]
- Zhang, T.; Wang, T.; Liu, K.S.; Wang, L.; Wang, K.; Zhou, Y. Effects of different amendments for the reclamation of coastal saline soil on soil nutrient dynamics and electrical conductivity responses. Agric. Water Manag. 2015, 159, 115–122. [Google Scholar] [CrossRef]
- Guo, Z.C.; Zhang, Z.B.; Zhou, H.; Rahman, M.T.; Wang, D.Z.; Guo, X.S.; Li, L.J.; Peng, X.H. Long-term animal manure application promoted biological binding agents but not soil aggregation in a Vertisol. Soil Till. Res. 2018, 180, 232–237. [Google Scholar] [CrossRef]
- Corbin, A.T.; Thelen, K.D.; Robertson, G.P.; Leep, R.H. Influence of cropping systems on soil aggregate and weed seedbank dynamics during the organic transition period. Agron. J. 2010, 102, 1632–1640. [Google Scholar] [CrossRef]
- Leogrande, R.; Vitti, C. Use of organic amendments to reclaim saline and sodic soils: A review. Arid Land Res. Manag. 2019, 33, 1–21. [Google Scholar] [CrossRef]
- Prescott, C.E. Litter decomposition: What controls it and how can we alter it to sequester more carbon in forest soils? Biogeochemistry 2010, 101, 133–149. [Google Scholar] [CrossRef]
- Tian, G.; Badejo, M.A.; Okoh, A.I.; Ishida, F.; Kolawole, G.O.; Hayashi, Y.; Salako, F.K. Effects of residue quality and climate on plant residue decomposition and nutrient release along the transect from humid forest to Sahel of West Africa. Biogeochemistry 2007, 86, 217–229. [Google Scholar] [CrossRef]
- Qu, X.; Wu, J.; Li, J.; Hu, J.; Zhang, L. Effect of exogenous organic carbon on organic carbon and particulate organic carbon of black soil. J. Soil Water Conserv. 2017, 31, 278–286. [Google Scholar] [CrossRef]
- Jamali, M.K.; Kazi, T.G.; Arain, M.B.; Afridi, H.I.; Memon, A.R.; Jalbani, N.; Shah, A. Use of sewage sludge after liming as fertilizer for maize growth. Pedosphere 2008, 18, 203–213. [Google Scholar] [CrossRef]
- Kizilkaya, R.; Hepsen Turkay, F.S.; Turkmen, C.; Durmus, M. Vermicompost effects on wheat yield and nutrient contents in soil and plant. Arch. Agron. Soil Sci. 2012, 58, S175–S179. [Google Scholar] [CrossRef]
- Bowden, C.L.; Evanylo, G.K.; Zhang, X.; Ervin, E.H.; Seiler, J.R. Soil carbon and physiological responses of corn and soybean to organic amendments. Compost Sci. Util. 2010, 18, 162–173. [Google Scholar] [CrossRef]





| Items | Saline Soil | Vinegar Residue | Dairy Manure | Sludge Vermicompost |
|---|---|---|---|---|
| pH | 9.02 ± 0.13 | 4.94 ± 0.08 | 7.32 ± 0.11 | 6.28 ± 0.12 |
| EC (mS cm−1) | 1.34 ± 0.14 | 0.65 ± 0.06 | 2.74 ± 0.19 | 9.49 ± 0.34 |
| SOC (g kg−1) | 5.46 ± 0.36 | 541.4 ± 27.35 | 431.2 ± 18.72 | 242.9 ± 10.80 |
| Total N (g kg−1) | 0.37 ± 0.03 | 15.4 ± 1.02 | 31.22 ± 4.09 | 35.38 ± 2.73 |
| Total P (g kg−1) | 0.62 ± 0.11 | 4.02 ± 0.87 | 7.82 ± 1.01 | 15.02 ± 1.07 |
| Alkaline N (mg kg−1) | 32.34 ± 3.24 | 824 ± 29.48 | 1103 ± 54.92 | 2583 ± 60.82 |
| Available P (mg kg−1) | 27.51 ± 4.71 | 206.2 ± 21.03 | 296.3 ± 30.19 | 849 ± 48.28 |
| OM | Item | Paddy Biomass | IPC | |||||||||
|---|---|---|---|---|---|---|---|---|---|---|---|---|
| CC | DPC | EC | pH | WSA | BD | SOC | TN | AN | TP | AP | ||
| DM | EC | −0.77 ** | 1.06 | \ | −0.17 | −2.09 | 2.05 | −0.21 | −1.29 | 0.40 | −0.49 | −0.02 |
| pH | −0.66 * | −0.21 | 0.89 | \ | −1.93 | 2.00 | −0.20 | −1.07 | 0.33 | −0.46 | −0.02 | |
| WSA | 0.82 ** | 2.30 | −0.97 | 0.17 | \ | −2.40 | 0.23 | 1.35 | −0.42 | 0.53 | 0.03 | |
| BD | −0.73 ** | 2.47 | 0.88 | −0.17 | −2.23 | \ | −0.22 | −1.32 | 0.39 | −0.52 | −0.02 | |
| SOC | 0.84 ** | 0.24 | −0.94 | 0.17 | 2.20 | −2.30 | \ | 1.32 | −0.41 | 0.52 | 0.03 | |
| TN | 0.84 ** | 1.42 | −0.97 | 0.15 | 2.18 | −2.30 | 0.22 | \ | −0.43 | 0.53 | 0.02 | |
| AN | 0.86 ** | −0.45 | −0.94 | 0.15 | 2.13 | −2.15 | 0.22 | 1.35 | \ | 0.52 | 0.02 | |
| TP | 0.87 ** | 0.55 | −0.96 | 0.17 | 2.23 | −2.32 | 0.23 | 1.38 | −0.43 | \ | 0.03 | |
| AP | 0.83 ** | 0.03 | −0.87 | 0.17 | 2.04 | −2.13 | 0.23 | 1.24 | −0.38 | 0.50 | \ | |
| SV | EC | −0.88 ** | −1.10 | \ | 0.74 | −0.19 | −0.55 | 0.91 | −1.08 | 0.09 | 1.75 | −1.46 |
| pH | −0.85 ** | 0.89 | −0.92 | \ | −0.18 | −0.58 | 0.84 | −1.10 | 0.08 | 1.53 | −1.41 | |
| WSA | 0.90 ** | 0.21 | 1.02 | −0.75 | \ | 0.58 | −0.95 | 1.15 | −0.10 | −1.81 | 1.56 | |
| BD | −0.88 ** | −0.66 | −0.92 | 0.79 | −0.18 | \ | 0.89 | −1.10 | 0.09 | 1.77 | −1.56 | |
| SOC | 0.90 ** | −0.98 | 1.03 | −0.76 | 0.20 | 0.60 | \ | 1.15 | −0.10 | −1.83 | 1.59 | |
| TN | 0.91 ** | 1.18 | 1.00 | −0.83 | 0.20 | 0.61 | −0.95 | \ | −0.09 | −1.79 | 1.57 | |
| AN | 0.87 ** | −0.10 | 1.02 | −0.70 | 0.21 | 0.57 | −0.96 | 1.11 | \ | −1.83 | 1.56 | |
| TP | 0.92 ** | −1.88 | 1.03 | −0.72 | 0.20 | 0.62 | −0.95 | 1.13 | −0.10 | \ | 1.61 | |
| AP | 0.92 ** | 1.64 | 0.98 | −0.77 | 0.20 | 0.62 | −0.95 | 1.14 | −0.09 | −1.85 | \ | |
| VR | EC | −0.93 ** | 0.90 | \ | −1.38 | 0.53 | −0.60 | 0.41 | −0.49 | −0.32 | −0.81 | 0.83 |
| pH | −0.88 ** | −1.49 | 0.83 | \ | 0.52 | −0.54 | 0.37 | −0.47 | −0.28 | −0.66 | 0.84 | |
| WSA | 0.90 ** | −0.56 | −0.84 | 1.37 | \ | 0.60 | −0.40 | 0.46 | 0.30 | 0.84 | −0.86 | |
| BD | −0.89 ** | −0.65 | 0.83 | −1.25 | 0.52 | \ | 0.41 | −0.47 | −0.31 | −0.82 | 0.85 | |
| SOC | 0.84 ** | −0.45 | −0.82 | 1.22 | −0.50 | 0.59 | \ | 0.53 | 0.33 | 0.86 | −0.91 | |
| TN | 0.80 ** | 0.57 | −0.77 | 1.22 | −0.46 | 0.53 | −0.42 | \ | 0.29 | 0.83 | −0.99 | |
| AN | 0.74 ** | 0.36 | −0.78 | 1.16 | −0.47 | 0.55 | −0.41 | 0.45 | \ | 0.72 | −0.85 | |
| TP | 0.80 ** | 1.01 | −0.72 | 0.97 | −0.47 | 0.52 | −0.39 | 0.47 | 0.26 | \ | −0.86 | |
| AP | 0.77 ** | −1.04 | −0.71 | 1.19 | −0.46 | 0.52 | −0.39 | 0.54 | 0.29 | 0.83 | \ | |
Disclaimer/Publisher’s Note: The statements, opinions and data contained in all publications are solely those of the individual author(s) and contributor(s) and not of MDPI and/or the editor(s). MDPI and/or the editor(s) disclaim responsibility for any injury to people or property resulting from any ideas, methods, instructions or products referred to in the content. |
© 2023 by the authors. Licensee MDPI, Basel, Switzerland. This article is an open access article distributed under the terms and conditions of the Creative Commons Attribution (CC BY) license (https://creativecommons.org/licenses/by/4.0/).
Share and Cite
Zuo, W.; Zhou, Y.; Yao, Y.; Chen, C.; Wang, F.; Peng, H.; Qin, T.; Li, Y.; Chen, S.; Yao, R.; et al. Influences of Exogenic Organic Materials Application on Soil Fertility Status and Paddy Growth under a Coastal Saline Soil Condition. Agronomy 2023, 13, 2280. https://doi.org/10.3390/agronomy13092280
Zuo W, Zhou Y, Yao Y, Chen C, Wang F, Peng H, Qin T, Li Y, Chen S, Yao R, et al. Influences of Exogenic Organic Materials Application on Soil Fertility Status and Paddy Growth under a Coastal Saline Soil Condition. Agronomy. 2023; 13(9):2280. https://doi.org/10.3390/agronomy13092280
Chicago/Turabian StyleZuo, Wengang, Yuxi Zhou, Yutian Yao, Chao Chen, Fan Wang, Hao Peng, Tianyang Qin, Yunlong Li, Shuotong Chen, Rongjiang Yao, and et al. 2023. "Influences of Exogenic Organic Materials Application on Soil Fertility Status and Paddy Growth under a Coastal Saline Soil Condition" Agronomy 13, no. 9: 2280. https://doi.org/10.3390/agronomy13092280
APA StyleZuo, W., Zhou, Y., Yao, Y., Chen, C., Wang, F., Peng, H., Qin, T., Li, Y., Chen, S., Yao, R., Shan, Y., & Bai, Y. (2023). Influences of Exogenic Organic Materials Application on Soil Fertility Status and Paddy Growth under a Coastal Saline Soil Condition. Agronomy, 13(9), 2280. https://doi.org/10.3390/agronomy13092280

