Next Article in Journal
Metals Contained in Various Formulations of Mineral Nitrogen Fertilizers Determined Using Portable X-ray Fluorescence
Previous Article in Journal
Influences of Exogenic Organic Materials Application on Soil Fertility Status and Paddy Growth under a Coastal Saline Soil Condition
 
 
Font Type:
Arial Georgia Verdana
Font Size:
Aa Aa Aa
Line Spacing:
Column Width:
Background:
Article

Effects of Partial Substitution of Organic Fertilizer for Synthetic N Fertilizer on Yield and N Use Efficiencies in a Semiarid Winter Wheat–Summer Maize Rotation

1
College of Agriculture, Henan University of Science and Technology, Luoyang 471023, China
2
Crop Research Institute, Shandong Academy of Agricultural Sciences, Jinan 250100, China
*
Author to whom correspondence should be addressed.
Agronomy 2023, 13(9), 2281; https://doi.org/10.3390/agronomy13092281
Submission received: 21 July 2023 / Revised: 26 August 2023 / Accepted: 27 August 2023 / Published: 29 August 2023

Abstract

Finding field management techniques that increase crop output while protecting soil sustainability is essential for maintaining a long-term food supply in a changing environment. However, comprehensive evaluation of the effects of nitrogen (N) reduction combined with organic fertilizer on grain yield, N use efficiency (NUE), water use efficiency (WUE), and soil organic carbon (SOC) and total N (TN) contents of winter wheat–summer maize double cropping systems in drought-prone areas remains limited. Therefore, a 3-year field experiment (2018–2021) was conducted in a winter wheat–summer maize double cropping system with five treatments: no N fertilizer (CK), conventional farmer fertilization (CF), recommended fertilization (R), organic N substitution of 20% of the recommended synthetic N (R20), and organic N substitution of 40% of the recommended synthetic N (R40). When results were averaged from 2018 to 2021, R20 had the highest annual grain yield, which increased by 42.15%, 7.69%, 7.58%, and 12.50% compared with CK, CF, R, and R40, respectively. Compared with CF, R20 increased winter wheat and summer maize NAE, NPFP, NUE, and WUE. In addition, the soil organic carbon content of R20 and R40 treatment increased with the increase in years. In conclusion, R20 was considered ideal for improving crop yield, promoting soil fertility, and increasing the fertilizer utilization rate in a semiarid winter wheat–summer maize rotation.

1. Introduction

Fertilization is an effective practice to improve soil fertility and crop yield [1]. One of the most crucial nutrients to boost and sustain crop output globally is nitrogen (N) [2]. Long-term, continuous inputs of N fertilizers have steadily increased crop yields to maintain the global sustainability of farming systems [3]. However, incorrect fertilization can cause major environmental damage, including soil acidification, water eutrophication, and greenhouse gas emissions, as well as a reduction in crop production and soil quality [4,5]. Therefore, scientific and reasonable fertilization is essential for maintaining stable crop yields.
Excessive application of N fertilizer is common in agricultural production. In wheat production, the recommended N rate is between 150 and 250 kg ha−1, but N applications generally exceed 225 kg ha−1 [6]. Approximately 45% of the N applied is not used by crops and is wasted from farmland [7]. The goals of N management are to promote crop growth and productivity while minimizing environmental consequences on other ecosystems [8]. Optimized N fertilizer management can significantly lower residual nitrate levels in soil [9] and increase N efficiency [10]. Increasing the input of organic fertilizer can partially replace and reduce dependence on chemical fertilizers, which is important for reducing chemical fertilizer inputs in farmland ecosystems [11,12,13]. Importantly, using organic fertilizers can also enhance physical and chemical properties of soil [14] and soil quality [15], which are essential for sustainable soil management and clean crop production. Additionally, by raising the proportion of macroaggregates (>0.25 mm), organic fertilizers can improve soil nutrient contents and soil water-holding capacity, which eventually improves yield and WUE [16].
Organic fertilizer applications alone also have problems, such as high dose requirements, inconvenient application, high labor intensity, high transportation costs, and low fertilizer efficiency, and are not the best measures to maintain sustainable crop production under intensive conditions [17,18]. Therefore, integrated crop nutrient management requires the combination of organic and inorganic fertilizers, which can increase the stability of crop production and also significantly improve fertilizer utilization efficiency [19,20]. Organic fertilizer combined with chemical fertilizer has been applied in cereal crop production in recent years, and combinations can effectively improve crop yields [21]. By substituting manure for mineral N in North China’s rotation systems for winter wheat and summer maize, annual yields can be preserved or even increased [22]. In wheat–maize systems of the North China Plain, using organic fertilizer for less than half of a chemical fertilizer application is the recommended alternative [23]. Organic replacement of inorganic N at the same N application rate can effectively increase crop yield [24], improve soil quality [7], and increase WUE [20] and NUE [25].
Although few studies have been conducted on synthetic N reduction combined with organic fertilizer, Banana seedlings benefited from the accumulation of dry matter when N fertilizer was reduced by 20% and organic fertilizer was substituted for 30% of it [26]. However, owing to the great differences between different regions in climatic conditions, planting structures, fertilization methods, and soil properties, regionalized and targeted recommendations for crop nutrient management are of more practical significance for improving food production and ensuring national food security. The semiarid region in the eastern margin of the Loess Plateau in western Henan is one of the main grain-producing areas in China. The area is typically drought-prone and has no irrigation, and the main agricultural production pattern is a winter wheat–summer maize double cropping system [6]. Problems in that system include excessive N fertilizer input and no organic fertilizer application. However, few studies have been conducted to provide an integrated assessment of the yield, N use efficiency, and water use efficiency in the semiarid region. Therefore, the objectives of this study were the following: (1) determine the changes in aboveground dry matter accumulation and N uptake; (2) determine the changes in yields; and (3) determine the changes in NUE and WUE.

2. Materials and Methods

2.1. Experimental Site Description

A field experiment was conducted from 2018 to 2021 at the Goukou Experimental Station (34°49′ N, 112°35′ E, a.s.l. 362 m) in Luoyang City, Henan Province, northern China. The site is in a semiarid region at the east edge of the Loess Plateau and has a temperate continental monsoon climate. Average annual temperature is 13.7 °C, average annual precipitation is 550 to 600 mm, average annual accumulated temperature is approximately 5.05 °C, and average frost-free period is approximately 235 days. Annual precipitation was determined by an automatic weather station at Mengjin Agricultural Experimentation Centre Station (Luoyang, Henan, China), revealing 821.2 mm in 2018, 580.6 mm in 2019, 603.4 mm in 2020, and 1172 mm in 2021, and in 2021, 83.6% of the precipitation occurred from June to September (Figure 1). The soil is a brown soil, and properties of the 0−20-cm soil layer at the start of the experiment were measured by Henan Dry Land Agricultural Engineering Technology Research Center (Luoyang, Henan, China): pH, 8.0; soil organic carbon (SOC), 7.02 g kg−1; total N (TN), 1.05 g kg−1; alkali-hydrolyzed N, 95.2 mg kg−1; available phosphorus (P), 23.5 mg kg−1; and available potassium (K), 123 mg kg−1.

2.2. Experimental Design and Management

The following five treatments were established: (1) no N fertilizer (CK); (2) conventional fertilization by local farmers (CF), with 192 kg ha−1 N, 154.5 kg ha−1 P2O5, and 60 kg ha−1 K2O in wheat and 210 kg ha−1 N, 50.4 kg ha−1 P2O5, and 84 kg ha−1 K2O in maize; (3) recommended fertilization (R), 20% reduction of N fertilizer based on CF, with 153.6 kg ha−1 N in wheat and 168 kg ha−1 N in maize, the recommendation of fertilization is based on previous studies in this area [27]; (4) organic N substituting for the 20% of the recommended N (R20); and (5) organic N substituting for 40% of the recommended N (R40). Nitrogen fertilizer was applied as urea (46.4% N), P fertilizer was applied as calcium superphosphate (12% P2O5), and K fertilizer was applied as potassium chloride (50% K2O). Organic fertilizer was applied as manure solid fertilizer (2.6% N, 1.5% P2O5, 2.5% K2O, and 50% organic matter). All fertilizers were supplied by Luoyang Qihe Ecological Agriculture Technology Co., Ltd. (Luoyang, Henan, China). All treatments received the same amounts of P and K fertilizers. The R, R20, and R40 treatments received the same amounts of N. Organic and P and K fertilizers were applied as basal fertilizer at one time, and chemical fertilizer N was applied 70% as basal fertilizer and 30% at jointing stage in wheat and 40% as basal fertilizer and 60% at the 9–10-leaf spread in maize. Plots were 72 m2 (10 m × 7.2 m) and were randomized complete block design with three replicate blocks. Other field management practices were the same as those in a conventional field. The planting system was winter wheat (planted in mid-October and harvested in early June of next year) and summer maize (planted in mid-June and harvested in early October) rotation. Wheat (Triticum aestivum L.) variety “Zhoumai 27” was produced by Zhoukou Academy of Agricultural Sciences (Zhoukou, Henan, China), with seedling density of 30 × 106 plants ha−1; and maize (Zea mays L.) variety “Zhongke I” was produced by Beijing Lianchuang Seed Industry Co., LTD. (Beijing, China), with a planting density 60,000 plants ha−1.

2.3. Data Collection

2.3.1. Dry Matter Accumulation and Nitrogen Uptake

Winter wheat plants were sampled at maturity, containing leaf, stem with sheath, and glumes on spike axis. Summer maize plants were sampled at maturity and divided into stem, leaf, sheath, and ear. Sample preparation for the determination of aboveground biomass (kg ha−1) was achieved by drying the samples at 105 °C for 30 min, followed by drying at 70 °C until constant weight. N concentration was determined by grinding the dried samples, putting them through a 0.25-mm screen, and then N concentration was determined by the semi-micro Kjeldahl method [2]. Nitrogen concentration multiplied with dry weight was used as N uptake. N uptake at maturity was calculated as the sum of N accumulated in each part.

2.3.2. Yield

Data on wheat and maize yields were gathered between 2018 and 2021. Winter wheat grain yield was calculated by taking three randomly chosen subplots (3.0 m2) from each plot. To assess grain yield and other endpoints, each plot served as a repeat (the moisture content was around 12%). Harvesting the three center rows from each plot allowed researchers to examine the grain production for summer maize. In order to quantify grain yield and other endpoints, 30 successive plants per row were picked as a replication when they reached maturity (the moisture content was around 14%).

2.3.3. N Efficiency

N efficiencies were calculated as follows:
N   a g r o n o m i c   e f f i c i e n c y   N A E ,   k g   k g 1 = G Y + N G Y N 0 N   r a t e ,
N   p a r t i a l   f a c t o r   p r o d u c t i v i t y   N P F P ,   k g   k g 1 = G Y N   r a t e ,
N   u s e   e f f i c i e n c y N U E ,   % = N U + N N U N 0 N   r a t e × 100
where GY+N is grain yield with applied N, GYN0 is grain yield with no applied N, N U+N is N uptake at maturity with N, and NUN0 is N uptake at maturity without N.

2.3.4. Soil Water Status and Water Use Efficiency

From 2018 to 2021, two samples of the 0–100-cm soil profile from each plot were taken at sowing and maturity of wheat and maize in increments of 20 cm using an auger (inner diameter = 4.0 cm). After combining the two soil samples from the same plot, a small amount (40 ± 5.0 g) of the mixture was put in an aluminum box. The soil water content was determined gravimetrically by drying in an oven at 105 °C for 24 h. Evapotranspiration (ETC) and WUE were calculated as follows:
E T C = P + I + U S D ± S
where ETC is the crop evapotranspiration from sowing to harvest of winter wheat and summer maize, P is the precipitation, I is the net infiltration of irrigation water, U is the upward flow of shallow groundwater into the root zone, S is the surface runoff, D is the downward drainage out of the root zone, and ΔS is the change in stored soil water of the soil profile. When the groundwater depth is greater than 2.5 m, the U value can be ignored. In this experiment, the groundwater depth was 3.5 m, and there was no irrigation, so the I and U values were 0. During the 2021 summer maize growing season, intense rainfall occurred leading to runoff in Henan Province. In that case, D was ignored because the water was pumped out in time to prevent downward drainage in the root zone. In the absence of intense rainfall, S and D were ignored in other years.
W U E = G Y E T C
where GY is the grain yield and ETc is the evapotranspiration.

2.3.5. Soil Sampling and Analysis

Soil samples were collected from the plow layer (0–20 cm and 20–40 cm) each year in September. Five to six cores were randomly collected in each plot. Soil samples from each plot were mixed thoroughly and air-dried. Soil samples were then sieved through a 0.25-mm screen and stored in sealed plastic jars for analysis. Soil organic carbon (SOC) content was measured by a K2CrO7–H2SO4 oxidation procedure [28], and TN was determined by a Kjeldahl method [2]. Three replicates were analyzed in each analysis.

2.4. Statistical Analyses

Data were processed using Microsoft Office Excel 2017 (Microsoft Windows, Redmond, DC, USA) and analysis of variance was performed using SPSS v. 21.0 (IBM, New York, NY, USA) and then plotted with Origin 2021 (Origin Lab Corp., Northampton, MA, USA). Statistical methods were performed using one-way analysis of variance (ANOVA) and Duncan’s multiple comparison test (p < 0.05).

3. Results

3.1. Dry Matter Accumulation and Nitrogen Uptake

Nitrogen application significantly increased aboveground DM (dry matter) averaged across the three years (Figure 2a,b). Compared with CK, winter wheat and summer maize aboveground DM increased by 26.86% and 19.89%, respectively. In the third year, aboveground DM increased significantly in R20. Compared with CF, R20 significantly increased winter wheat and summer maize aboveground DM by 12.43% and 4.93%, respectively. Averaged across the three years, N application increased winter wheat N uptake by 45.59%, compared with CK (Figure 2c,d). Nitrogen application also increased summer maize N uptake by 38.22%, compared with CK. In the third year, compared with CF, R20 significantly increased winter wheat and summer maize N uptake by 10.49% and 5.14%, respectively.

3.2. Crop Yield

In the three years of the study, fertilizer application significantly increased yields of winter wheat and summer maize, and grain yields in each year showed different trends among fertilizer treatments (Figure 3). In 2018–2019, winter wheat, summer maize, and annual grain yields were ranked by treatment in the order R ≈ CF ≈ R20 > R40 > CK, with yields not significantly different among R, R20, and CF. In 2019–2020, winter wheat, summer maize, and annual grain yields were ranked R20 > R ≈ CF > R40 > CK, with yields significantly higher in R20 than in CF and R, not significantly different between CF and R, and significantly lower in R40 than in CF. In 2020–2021, winter wheat, summer maize, and annual grain yields were ranked R20 > R40 > CF ≈ R > CK, with grain yields significantly higher in R20 than in CF and R, not significantly different between CF and R, and significantly higher in R40 than in CF.
Averaged across the three years, annual grain yields in CF and R were 15.69 Mg ha−1 and 15.71 Mg ha−1, respectively, with no significant difference, and compared with CK, yields increased by 32.00% (CF) and 32.13% (R). The highest annual grain yield was in R20, with yield increasing by 42.15%, 7.69%, 7.58%, and 12.50% compared with that in CK, CF, R, and R40, respectively. Annual grain yield in R40 increased year to year. In the third year, the yield in R40 was higher than that in CF and R, but the average annual grain yield over three years was lower in R40 than in CF and R by 4.46% and 4.59%, respectively.

3.3. Nitrogen Use Efficiency

Compared with CF, R significantly improved the N use efficiency indicators NAE, NPFP, and NUE (Table 1). Compared with CF, R increased winter wheat NAE, NPFP, and NUE by 17.75% to 30.97%, 22.94% to 26.25%, and 14.13% to 32.13%, respectively. Compared with CF, R also increased summer maize NAE, NPFP, and NUE by 20.74% to 30.57%, 23.94% to 26.43%, and 13.05% to 17.07%, respectively. In the third year, compared with R, R20 significantly increased winter wheat and summer maize NAE by 66.70% and 36.55%, NPFP by 18.22% and 8.84%, and NUE by 45.46% and 29.61%, respectively.

3.4. Soil Moisture and Water Use Efficiency

Soil water content in the 0–100-cm soil profile was measured in different treatments at sowing of winter wheat and summer maize and harvest of summer maize (Figure 4). As soil depth increased, soil water content decreased, but at 100 cm, there was a slight increase. In 2018–2020, at winter wheat sowing, average soil water content was ranked R20 > R40 > R > CF > CK. In 2019–2021, at summer maize sowing, soil water content was generally ranked R40 > R20 > R > CF > CK. In 2019–2021, at summer maize harvest, soil water content was generally ranked R20 > R40 > CF > R > CK.
There was no significant difference in evapotranspiration between winter wheat and summer maize rotation system (Figure 5a,b). Compared with CK, the 3-year average WUE of winter wheat and summer maize increased by 39.27% and 29.73%, respectively, with increases of 35.28% and 19.94% in 2018–2019, 37.42% and 35.17% in 2019–2020, and 47.15% and 37.71% in 2020–2021, respectively (Figure 5c,d). There was no significant difference in WUE of winter wheat and summer maize between CF and R. The best water utilization in the winter wheat–summer maize rotation system was in R20. Compared with CF, the 3-year average WUE of winter wheat and summer maize in R20 increased by 10.87% and 6.49%, respectively.

3.5. Soil Organic Carbon and Total Nitrogen Concentrations and Carbon: Nitrogen Ratio

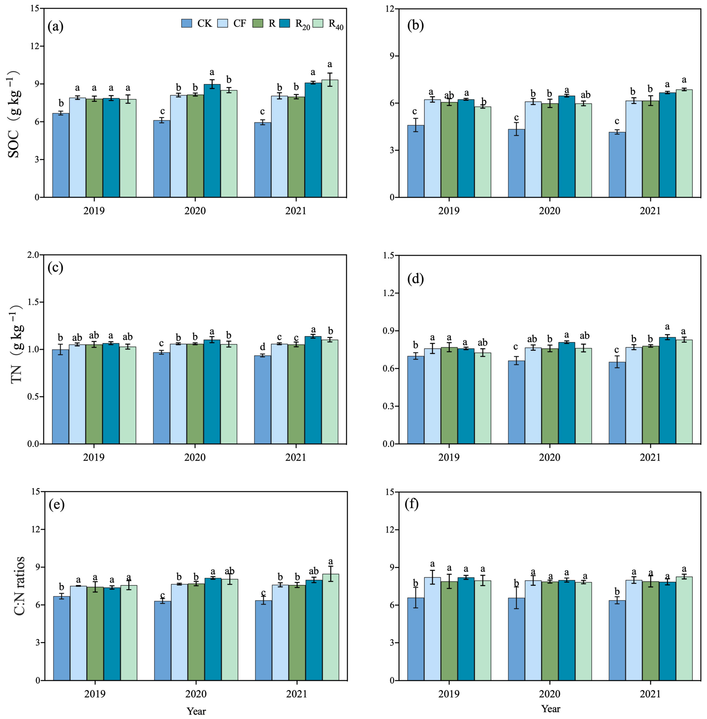
Concentrations of SOC and TN were higher at 0–20 cm than at 20–40 cm (Figure 6). At 0–20 cm, compared with CK, SOC concentrations under fertilization increased by 17.45% in 2019, 37.99% in 2020, and 44.71% in 2021; TN concentrations under fertilization increased by 4.90% in 2019, 10.39% in 2020, and 15.77% in 2021; and C/N ratios under fertilization increased by 11.68% in 2019, 25.08% in 2020, and 24.22% in 2021. Compared with CF, there was no significant difference in SOC concentration in R20 in 2019, but SOC content increased significantly in R20 by 10.71% in 2020 and 13.03% in 2021. Compared with CF, TN concentration in R20 increased by 1.52% in 2019, 4.06% in 2020, and 7.55% in 2021 and C/N ratio increased by 6.40% in 2020 and 5.13% in 2021. At 20–40 cm, compared with CK, SOC concentrations under fertilization increased by 31.94% in 2019, 40.57% in 2020, and 55.10% in 2021; TN concentrations under fertilization increased by 7.86% in 2019, 17.42% in 2020, and 24.23% in 2021; and C/N ratios increased by 22.35% in 2019, 20.20% in 2020, and 25.35% in 2021. Compared with CF, R20 increased SOC concentrations by 6.06% in 2020, and 8.44% in 2021, with the increase significant, and TN concentrations by 5.19% in 2020 and 10.39% in 2021.

4. Discussion

A crucial component for plant growth and development is nitrogen. In 2018–2021, applications of N fertilizer significantly increased DM accumulation and grain yields of winter wheat and summer maize. In this study, DM accumulation was similar in R20 and R in 2018–2019 but was significantly higher in R20 than in R in 2019–2020 and 2020–2021. Similar to DM accumulation, grain yield in R20 was similar to that in CF and R in 2018–2019 but was significantly higher than that in R in 2019–2020 and 2020–2021, with the 3-year average yield significantly higher in R20. Zhou et al. [29] reported that compared to recommended fertilizing plots, the yield for wheat improved with treatments that included organic fertilizer by 26.4% to 44.6% and for maize by 12.5% to 40.8%. In this study, grain yield in R40 increased year to year, and it was lower than that in R in 2018–2019 and 2019–2020 but was higher in 2020–2021, with the 3-year average grain yield lower than that in R. Due to the introduction of a large amount of organic matter, nitrogen may be adsorbed by organisms. In this case, available nitrogen may have been reduced due to the development of soil microorganisms breaking down the original organic matter. Xin et al. [23] reported that when compost completely replaced all mineral fertilizers, wheat yield consistently decreased and maize yield decreased within the first few years. Those results demonstrate that in order to attain high crop yields on the North China Plain, organic fertilizer cannot entirely replace chemical fertilizer. A very large (over 30-fold) increase in the concentration of water-soluble phenolic compounds under the influence of fertilization with manure was obtained in a study [30]. The phenolic compounds released during the decomposition of soil organic matter help to reduce the biological activity of soil [31]. Many studies demonstrate that optimizing fertilizer application improves N uptake by crops, maximizes N fertilizer efficiency, and increases N effectiveness, resulting in increases in yields. A successful N management method that has been used on a variety of crops is combined application of organic and chemical fertilizers. In this study, R20 improved crop total N uptake and NUE. The benefits of combining organic and chemical fertilizers on maize yield and NUE might be due to increases in post-silking N uptake and DM accumulation [32]. In order to sustain high yields, suitable organic replacement under advised N circumstances is a good strategy.
The main element limiting crop output in dryland farming is water [33]. Increasing WUE is a major objective of sustainable agricultural development in some agricultural producing areas with inadequate irrigation [34]. In this study, combined application of organic and chemical fertilizers increased soil water content, but there was no significant difference in the total evapotranspiration loss of soil water among treatments. Previous studies also show that organic fertilizers increase grain yield without affecting ET, thereby increasing WUE [35,36,37]. The outcomes may be attributable to organic fertilizer enhancing the effectiveness of precipitation storage [38] and alleviating soil water depletion [36] or to reduced soil water evaporation and transpiration caused by straw returned to the field after harvests of crops. In a previous study, organic fertilizer increased water use efficiency (WUE) by 41% when synthetic fertilizer was absent and by 11% to 13% when synthetic fertilizer was applied at a rate of 150–250 kg ha−1 [16]. In addition, to increase the yield and WUE, regular soil management for wheat should concentrate on the combined use of manures and inorganic fertilizer [39]. Increases in WUE under organic fertilizer treatment are due to increases in photosynthesis and decreases in transpiration (Tr) and stomatal conductance (Gs) [37].
Soil organic carbon is an important factor in increasing crop productivity and improving soil structure and water retention [40]. During the 3-year experiment, SOC and TN contents in R topsoil did not significantly decrease compared with those in CF. Crops require less N during the early stages of growth, and excessive fertilization results in significant soil nitrogen loss (41% to 51% of the N intake) [41]. In this study, R20 increased SOC and TN in 2020 and 2021, consistent with conclusions reported previously [2]. The increase in SOC concentrations was attributed to the addition of organic manure and return of roots and stubble crop residues [42]. The increase in TN concentration in R20 might be due to the slow release of N from the organic fertilizer, which can reduce soil N losses due to leaching or denitrification, thus enabling increased N utilization by plants [26]. It is also possible that development of an extensive root system helped to increase N levels [43]. Combining the use of chemical and organic fertilizers improves soil fertility by encouraging nutrient release from the organic fertilizer and reducing nutrient losses [44,45,46], but also improves the microecological environment by keeping the C/N ratio at an optimal level [47]. Furthermore, due of the high soil carbon sequestration capacity and ecosystem service values, applying optimized doses of organic fertilizers combined with rational mineral fertilization can be a successful strategy for creating sustainable farmlands [48].

5. Conclusions

Averaged across the three years, the effects of different treatments on winter wheat and summer maize were similar; N management was optimized with a 20% reduction in N input that did not sacrifice grain yields. Compared with the recommended fertilization, the R20 treatment significantly increased DM accumulation and yield, improved N uptake and NUE, and increased soil water content and WUE. The R20 treatment also significantly increased SOC and TN concentrations at both 0–20 cm and 20–40 cm. Nitrogen reduction combined with 20% organic fertilizer not only reduced the application rate of chemical fertilizer, but also greatly improved yield while maintaining clean, environmentally friendly, and sustainable agricultural production.

Author Contributions

Conceptualization, M.L. and G.F.; data curation, M.H. and K.Z.; formal analysis, X.G. and S.L.; supervision, J.W., F.Y. and L.L.; writing—original draft, M.L.; writing—review and editing, N.J. and G.F. All authors have read and agreed to the published version of the manuscript.

Funding

This research was supported by the National Key Research and Development Program of China: (2022YFD2300802) and (2018YFD0300707).

Data Availability Statement

Data are available on request.

Conflicts of Interest

The authors declare no conflict of interest.

References

  1. Li, H.Y.; Zhang, Y.H.; Sun, Y.G.; Liu, P.Z.; Zhang, Q.; Wang, X.L.; Wang, C. Long-term effects of optimized fertilization, tillage and crop rotation on soil fertility, crop yield and economic profit on the Loess Plateau. Eur. J. Agron. 2023, 143, 126731. [Google Scholar] [CrossRef]
  2. Yang, J.; Gao, W.; Ren, S.R. Long-term effects of combined application of chemical nitrogen with organic materials on crop yields, soil organic carbon and total nitrogen in fluvo-aquic soil. Soil Tillage Res. 2015, 151, 67–74. [Google Scholar] [CrossRef]
  3. Liu, Z.; Gao, J.; Gao, F.; Dong, S.T.; Liu, P.; Zhao, B.; Zhang, J.W. Integrated agronomic practices management improve yield and nitrogen balance in double cropping of winter wheat-summer maize. Field Crop. Res. 2018, 221, 196–206. [Google Scholar] [CrossRef]
  4. Guo, J.H.; Liu, X.J.; Zhang, Y.; Shen, J.L.; Han, W.X.; Zhang, W.F.; Christie, P.; Goulding, K.W.T.; Vitousek, P.M.; Zhang, F.S. Significant acidification in major Chinese croplands. Science 2010, 327, 1008–1010. [Google Scholar] [CrossRef] [PubMed]
  5. Liu, X.; Xu, S.S.; Zhang, J.W.; Ding, Y.F.; Li, J.H.; Wang, S.H.; Liu, Z.H.; Tang, S.; Dong, C.Q.; Chen, L. Effect of continuous reduction of nitrogen application to a rice-wheat rotation system in the middle-lower Yangtze River region (2013–2015). Field Crop. Res. 2016, 196, 348–356. [Google Scholar] [CrossRef]
  6. Zhao, K.N.; Wang, H.T.; Wu, J.Z.; Liu, A.K.; Huang, X.L.; Li, G.Q.; Wu, S.W.; Zhang, J.; Zhang, Z.W.; Hou, Y.Q.; et al. One-off irrigation improves water and nitrogen use efficiency and productivity of wheat as mediated by nitrogen rate and tillage in drought-prone areas. Field Crop. Res. 2023, 295, 108898. [Google Scholar] [CrossRef]
  7. He, H.; Peng, M.W.; Lu, W.D.; Li, J.H. Commercial organic fertilizer substitution increases wheat yield by improving soil quality. Sci. Total Environ. 2022, 851, 158132. [Google Scholar] [CrossRef] [PubMed]
  8. Giola, P.; Basso, B.; Pruneddu, G.; Giunta, F.; Jones, J.W. Impact of manure and slurry applications on soil nitrate in a maize–triticale rotation: Field study and long term simulation analysis. Eur. J. Agron. 2012, 38, 43–53. [Google Scholar] [CrossRef]
  9. Shi, Z.J.; Liu, D.H.; Liu, M.; Hafeez, M.B.; Wen, P.F.; Wang, X.L.; Wang, R.; Zhang, X.D.; Li, J. Optimized fertilizer recommendation method for nitrate residue control in a wheat–maize double cropping system in dryland farming. Field Crop. Res. 2021, 271, 108258. [Google Scholar] [CrossRef]
  10. Yang, X.L.; Lu, Y.L.; Ding, Y.; Yin, X.F.; Raza, S.; Tong, Y.A. Optimising nitrogen fertilisation: A key to improving nitrogen-use efficiency and minimising nitrate leaching losses in an intensive wheat/maize rotation (2008–2014). Field Crop. Res. 2017, 206, 1–10. [Google Scholar] [CrossRef]
  11. Fallah, S.; Rostaei, M.; Lorigooini, Z.; Surki, A.A. Chemical compositions of essential oil and antioxidant activity of dragonhead (Dracocephalum moldavica) in sole crop and dragonhead-soybean (Glycine max) intercropping system under organic manure and chemical fertilizers. Ind. Crop. Prod. 2018, 115, 158–165. [Google Scholar] [CrossRef]
  12. Guo, Y.J.; Qiu, T.L.; Gao, M.; Ru, S.H.; Gao, H.Z.; Wang, X.M. Does increasing the organic fertilizer application rate always boost the antibiotic resistance level in agricultural soils? Environ. Pollut. 2023, 322, 121251. [Google Scholar] [CrossRef]
  13. Jiang, Y.P.; Li, K.R.; Chen, S.F.; Fu, X.L.; Feng, S.Y.; Zhuang, Z.S. A sustainable agricultural supply chain considering substituting organic manure for chemical fertilizer. Sustain. Prod. Consum. 2022, 29, 432–446. [Google Scholar] [CrossRef]
  14. Cai, A.D.; Xu, M.G.; Wang, B.R.; Zhang, W.J.; Liang, G.P.; Hou, E.Q.; Li, Y.Q. Manure acts as a better fertilizer for increasing crop yields than synthetic fertilizer does by improving soil fertility. Soil Tillage Res. 2019, 189, 168–175. [Google Scholar] [CrossRef]
  15. Jia, R.; Zou, J.; Chu, J.C.; Shahbaz, M.; Yang, Y.D.; Jones, D.L.; Zang, H.D.; Razavi, B.S.; Zeng, Z.H. Insights into the associations between soil quality and ecosystem multifunctionality driven by fertilization management: A case study from the North China Plain. J. Clean. Prod. 2022, 362, 132265. [Google Scholar] [CrossRef]
  16. Wang, L.L.; Li, Q.; Coulter, J.A.; Xie, J.H.; Luo, Z.Z.; Zhang, R.Z.; Deng, X.P.; Li, L.L. Winter wheat yield and water use efficiency response to organic fertilization in northern China: A meta-analysis. Agric. Water Manag. 2020, 229, 105934. [Google Scholar] [CrossRef]
  17. Li, Z.D.; Jiao, Y.Q.; Yin, J.; Li, D.; Wang, B.B.; Zhang, K.L.; Zheng, X.X.; Hong, Y.; Zhang, H.X.; Xie, C.; et al. Productivity and quality of banana in response to chemical fertilizer reduction with bio-organic fertilizer: Insight into soil properties and microbial ecology. Agric. Ecosyst. Environ. 2021, 322, 107659. [Google Scholar] [CrossRef]
  18. Wei, W.L.; Yan, Y.; Cao, J.; Christie, P.; Fan, M.S. Effects of combined application of organic amendments and fertilizers on crop yield and soil organic matter: An integrated analysis of long-term experiments. Agric. Ecosyst. Environ. 2016, 225, 86–92. [Google Scholar] [CrossRef]
  19. Liu, B.; Wang, X.Z.; Ma, L.; Chadwick, D.; Chen, X.P. Combined applications of organic and synthetic nitrogen fertilizers for improving crop yield and reducing reactive nitrogen losses from China’s vegetable systems: A meta-analysis. Environ. Pollut. 2021, 269, 116143. [Google Scholar] [CrossRef]
  20. Zhai, L.C.; Wang, Z.B.; Zhai, Y.C.; Zhang, L.H.; Zheng, M.J.; Yao, H.P.; Lv, L.H.; Sheng, H.P.; Zhang, J.T.; Yao, Y.R.; et al. Partial substitution of chemical fertilizer by organic fertilizer benefits grain yield, water use efficiency, and economic return of summer maize. Soil Tillage Res. 2022, 217, 105287. [Google Scholar] [CrossRef]
  21. Yang, Z.C.; Zhao, N.; Huang, F.; Lv, Y.Z. Long-term effects of different organic and inorganic fertilizer treatments on soil organic carbon sequestration and crop yields on the North China Plain. Soil Tillage Res. 2015, 146, 47–52. [Google Scholar] [CrossRef]
  22. Wang, X.Q.; Yang, Y.D.; Zhao, J.; Nie, J.W.; Zang, H.D.; Zeng, Z.H.; Olesen, J.E. Yield benefits from replacing chemical fertilizers with manure under water deficient conditions of the winter wheat–summer maize system in the North China Plain. Eur. J. Agron. 2020, 119, 126118. [Google Scholar] [CrossRef]
  23. Xin, X.L.; Qin, S.W.; Zhang, J.B.; Zhu, A.M.; Yang, Y.L.; Zhang, X.F. Yield, phosphorus use efficiency and balance response to substituting long-term chemical fertilizer use with organic manure in a wheat-maize system. Field Crop. Res. 2017, 208, 27–33. [Google Scholar] [CrossRef]
  24. He, H.; Peng, M.W.; Ru, S.B.; Hou, Z.N.; Li, J.H. A suitable organic fertilizer substitution ratio could improve maize yield and soil fertility with low pollution risk. Front. Plant Sci. 2022, 13, 988663. [Google Scholar] [CrossRef] [PubMed]
  25. Duan, Y.H.; Xu, M.G.; Gao, S.D.; Yang, X.Y.; Huang, S.M.; Liu, H.B.; Wang, B.R. Nitrogen use efficiency in a wheat–corn cropping system from 15 years of manure and fertilizer applications. Field Crop. Res. 2014, 157, 47–56. [Google Scholar] [CrossRef]
  26. Huang, L.N.; Cheng, S.M.; LIU, H.L.; Zhao, Z.X.; Wei, S.X.; Sun, S.H. Effects of nitrogen reduction combined with organic fertilizer on growth and nitrogen fate in banana at seedling stage. Environ. Res. 2022, 214, 113826. [Google Scholar] [CrossRef]
  27. Wang, X.B.; Cai, D.Y.; Jin, K.; Wu, H.J.; Bai, Z.G.; Zhang, C.J.; Yao, Y.Q.; Lv, J.J.; Wang, Y.H.; Yang, B.; et al. Water Availability for Winter Wheat Affected by Summer Fallow Tillage Practices in Sloping Dryland. Sci. Agric. Sin. 2003, 36, 1044–1049. (In Chinese) [Google Scholar]
  28. Nelson, D.W.; Sommers, L.E. Total carbon, organic carbon, and organic matter. In Methods of Soil Analysis: Part 2 Chemical and Microbiological Properties; Page, A.L., Ed.; American Society of Agronomy: Madison, WI, USA; Soil Science Society of America: Madison, WI, USA, 1983; pp. 539–579. [Google Scholar]
  29. Zhou, Z.K.; Zhang, S.Y.S.; Jiang, N.; Xiu, W.M.; Zhao, J.N.; Yang, D.L. Effects of organic fertilizer incorporation practices on crops yield, soil quality, and soil fauna feeding activity in the wheat-maize rotation system. Front. Environ. Sci. 2022, 10, 2292. [Google Scholar] [CrossRef]
  30. Gallet, C.; Boissier, J.M.; Berlandis, M. Short-term effects of manure application on soil leachates in a mountain catchment. Agronomie 2003, 23, 335–344. [Google Scholar] [CrossRef][Green Version]
  31. Sądej, W.; Żołnowski, A.C.; Marczuk, O. Content of phenolic compounds in soils originating from two long-term fertilization experiments. Arch. Environ. Prot. 2016, 42, 104–113. [Google Scholar] [CrossRef]
  32. Zhai, L.C.; Zhang, L.H.; Cui, Y.Z.; Zhai, L.F.; Zheng, M.J.; Yan, Y.R.; Zhang, J.T.; Hou, W.B.; WU, L.Y.; Jia, X.L. Combined application of organic fertilizer and chemical fertilizer alleviates the kernel position effect in summer maize by promoting post-silking nitrogen uptake and dry matter accumulation. J. Integr. Agric. 2023, in press. [Google Scholar]
  33. Yu, L.Y.; Zhao, X.N.; Gao, X.D.; Jia, R.H.; Yan, M.H.; Yang, X.L.; Wu, Y.; Siddique, K.H. Effect of natural factors and management practices on agricultural water use efficiency under drought: A meta-analysis of global drylands. J. Hydrol. 2021, 594, 125977. [Google Scholar] [CrossRef]
  34. Gan, Y.T.; Siddique, K.H.; Turner, N.C.; Li, X.G.; Niu, J.Y.; Yang, C.; Liu, L.P.; Chai, Q. Ridge-furrow mulching systems—An innovative technique for boosting crop productivity in semiarid rain-fed environments. Adv. Agron. 2013, 118, 429–476. [Google Scholar]
  35. Fan, T.L.; Stewart, B.A.; Wang, Y.; Luo, J.J.; Zhou, G.Y. Long-term fertilization effects on grain yield, water-use efficiency and soil fertility in the dryland of Loess Plateau in China. Agric. Ecosyst. Environ. 2005, 106, 313–329. [Google Scholar] [CrossRef]
  36. Liu, C.A.; LI, F.R.; Zhou, L.M.; Zhang, R.H.; Jia, Y.; Lin, S.L.; Wang, L.J.; Siddique, K.H.; Li, F.M. Effect of organic manure and fertilizer on soil water and crop yields in newly-built terraces with loess soils in a semi-arid environment. Agric. Water Manag. 2013, 117, 123–132. [Google Scholar] [CrossRef]
  37. Wang, L.L.; WANG, S.W.; Chen, W.; Li, H.B.; Deng, X.P. Physiological mechanisms contributing to increased water-use efficiency in winter wheat under organic fertilization. PLoS ONE 2017, 12, e0180205. [Google Scholar] [CrossRef] [PubMed]
  38. Wang, J.; Liu, W.Z.; Dang, T.H. Responses of soil water balance and precipitation storage efficiency to increased fertilizer application in winter wheat. Plant Soil. 2011, 347, 41–51. [Google Scholar] [CrossRef]
  39. Chen, W.; Deng, X.P.; Kwark, S.S.; Eneji, A.E. The relationship between yield and fructan exo-hydrolases activity in two drought resistant wheat cultivars grown under different fertilizer and tillage treatments. J. Plant Nutr. 2015, 38, 13–27. [Google Scholar] [CrossRef]
  40. Zhang, X.B.; Sun, N.; Wu, L.H.; Xu, M.G.; Bingham, L.J.; Li, Z.F. Effects of enhancing soil organic carbon sequestration in the topsoil by fertilization on crop productivity and stability: Evidence from long-term experiments with wheat-maize cropping systems in China. Sci. Total Environ. 2016, 562, 247–259. [Google Scholar] [CrossRef]
  41. Huang, S.H.; He, P.; Jia, L.L.; Den, W.C.; Ullah, S.; Zhao, R.R.; Zhang, J.J.; Xu, X.P.; Liu, M.C.; Zhou, W. Improving nitrogen use efficiency and reducing environmental cost with long-term nutrient expert management in a summer maize-winter wheat rotation system. Soil Till. Res. 2021, 213, 105117. [Google Scholar] [CrossRef]
  42. Liang, Q.; Chen, H.Q.; Gong, Y.S.; Fang, M.S.; Yang, H.F.; Lai, R.; Kuzyakov, Y. Effects of 15 years of manure and inorganic fertilizers on soil organic carbon fractions in a wheat-maize system in the North China Plain. Nutr. Cycl. Agroecosys. 2012, 92, 21–33. [Google Scholar] [CrossRef]
  43. Liu, M.; Linna, C.; Ma, S.M.; Ma, Q.; Guo, J.G.; Wang, F.F.; Wang, L.C. Effects of biochar with inorganic and organic fertilizers on agronomic traits and nutrient absorption of soybean and fertility and microbes in purple soil. Front. Plant Sci. 2022, 13, 871021. [Google Scholar] [CrossRef] [PubMed]
  44. Liu, J.A.; Shu, A.P.; Song, W.F.; Shi, W.C.; Li, M.C.; Zhang, W.X.; Li, Z.Z.; Liu, G.R.; Yuan, F.S.; Zhang, S.X.; et al. Long-term organic fertilizer substitution increases rice yield by improving soil properties and regulating soil bacteria. Geoderma 2021, 404, 115287. [Google Scholar] [CrossRef]
  45. Ning, C.C.; Gao, P.D.; Wang, B.Q.; Lin, W.P.; Jiang, N.H.; Cai, K.Z. Impacts of chemical fertilizer reduction and organic amendments supplementation on soil nutrient, enzyme activity and heavy metal content. J. Integr. Agric. 2017, 16, 1819–1831. [Google Scholar] [CrossRef]
  46. Zhang, Y.L.; Li, C.H.; Wang, Y.W.; Hu, Y.M.; Christie, P.; Zhang, J.L.; Li, X.L. Maize yield and soil fertility with combined use of compost and inorganic fertilizers on a calcareous soil on the North China Plain. Soil Tillage Res. 2016, 155, 85–94. [Google Scholar] [CrossRef]
  47. Liu, H.W.; Du, X.F.; LI, Y.B.; Han, X.; Li, B.; Zhang, X.K.; Li, Q.; Liang, W.J. Organic substitutions improve soil quality and maize yield through increasing soil microbial diversity. J. Clean. Prod. 2022, 347, 131323. [Google Scholar] [CrossRef]
  48. Zhang, D.J.; Guo, Y.X.; Fan, Z.Y.; Hu, X.; Hao, X.R.; Fang, L.; Li, C.X. Trade-offs between grain yields and ecological efficiencies in a wheat–maize cropping system using optimized tillage and fertilization management on the North China Plain. Environ. Sci. Pollut. Res. 2023, 30, 24479–24493. [Google Scholar] [CrossRef]
Figure 1. Monthly precipitation (mm) in the experimental years from 2018 to 2021.
Figure 1. Monthly precipitation (mm) in the experimental years from 2018 to 2021.
Agronomy 13 02281 g001
Figure 2. Aboveground DM accumulation of winter wheat (a) and summer maize (b), and N uptake in winter wheat (c) and summer maize (d) in CK, CF, R, R20, and R40 in the experimental years from 2018 to 2021. Treatment: CK: No nitrogen fertilizer, CF: conventional fertilization by local farmer, R: recommended fertilization, R20: organic N substituting for the 20% of the recommended N, R40: organic N substituting for the 40% of the recommended N. Error bars show the standard error of the means (n = 3). Different lowercase letters within columns indicate significant differences by Duncan’s test at p < 0.05.
Figure 2. Aboveground DM accumulation of winter wheat (a) and summer maize (b), and N uptake in winter wheat (c) and summer maize (d) in CK, CF, R, R20, and R40 in the experimental years from 2018 to 2021. Treatment: CK: No nitrogen fertilizer, CF: conventional fertilization by local farmer, R: recommended fertilization, R20: organic N substituting for the 20% of the recommended N, R40: organic N substituting for the 40% of the recommended N. Error bars show the standard error of the means (n = 3). Different lowercase letters within columns indicate significant differences by Duncan’s test at p < 0.05.
Agronomy 13 02281 g002
Figure 3. Winter wheat grain yield (a), summer maize grain yield (b) and annual grain yield (c) in response to different fertilization treatment in the experimental years from 2018 to 2021. Treatment: CK: No nitrogen fertilizer, CF: conventional fertilization by local farmer, R: recommended fertilization, R20: organic N substituting for the 20% of the recommended N, R40: organic N substituting for the 40% of the recommended N. Error bars show the standard error of the means (n = 3). Different lowercase letters within columns indicate significant differences by Duncan’s test at p < 0.05.
Figure 3. Winter wheat grain yield (a), summer maize grain yield (b) and annual grain yield (c) in response to different fertilization treatment in the experimental years from 2018 to 2021. Treatment: CK: No nitrogen fertilizer, CF: conventional fertilization by local farmer, R: recommended fertilization, R20: organic N substituting for the 20% of the recommended N, R40: organic N substituting for the 40% of the recommended N. Error bars show the standard error of the means (n = 3). Different lowercase letters within columns indicate significant differences by Duncan’s test at p < 0.05.
Agronomy 13 02281 g003
Figure 4. Changes in soil water content in the 0–100-cm soil layer under different treatments from 2018 to 2021 in winter wheat and summer maize. (ac) are the soil water content at winter wheat sown in 2018, 2019 and 2020, respectively; (df) are the soil water content at winter wheat maturity and summer maize sown in 2019, 2020 and 2021, respectively; (gi) are the soil water content at summer maize maturity in 2019, 2020 and 2021, respectively. Treatment: CK: No nitrogen fertilizer, CF: conventional fertilization by local farmer, R: recommended fertilization, R20: organic N substituting for the 20% of the recommended N, R40: organic N substituting for the 40% of the recommended N. Error bars show the standard error of the means (n = 3).
Figure 4. Changes in soil water content in the 0–100-cm soil layer under different treatments from 2018 to 2021 in winter wheat and summer maize. (ac) are the soil water content at winter wheat sown in 2018, 2019 and 2020, respectively; (df) are the soil water content at winter wheat maturity and summer maize sown in 2019, 2020 and 2021, respectively; (gi) are the soil water content at summer maize maturity in 2019, 2020 and 2021, respectively. Treatment: CK: No nitrogen fertilizer, CF: conventional fertilization by local farmer, R: recommended fertilization, R20: organic N substituting for the 20% of the recommended N, R40: organic N substituting for the 40% of the recommended N. Error bars show the standard error of the means (n = 3).
Agronomy 13 02281 g004
Figure 5. Evapotranspiration in the 0−100 cm soil layer during the winter wheat (a) and summer maize (b), and water use efficiency in winter wheat (c) and summer maize (d) in CK, CF, R, R20, and R40 in the experimental years from 2018 to 2021. Treatment: CK: No nitrogen fertilizer, CF: conventional fertilization by local farmer, R: recommended fertilization, R20: organic N substituting for the 20% of the recommended N, R40: organic N substituting for the 40% of the recommended N. Error bars show the standard error of the means (n = 3). Different lowercase letters within columns indicate significant differences by Duncan’s test at p < 0.05.
Figure 5. Evapotranspiration in the 0−100 cm soil layer during the winter wheat (a) and summer maize (b), and water use efficiency in winter wheat (c) and summer maize (d) in CK, CF, R, R20, and R40 in the experimental years from 2018 to 2021. Treatment: CK: No nitrogen fertilizer, CF: conventional fertilization by local farmer, R: recommended fertilization, R20: organic N substituting for the 20% of the recommended N, R40: organic N substituting for the 40% of the recommended N. Error bars show the standard error of the means (n = 3). Different lowercase letters within columns indicate significant differences by Duncan’s test at p < 0.05.
Agronomy 13 02281 g005
Figure 6. Average soil organic carbon, soil total nitrogen, and soil C:N ratios at 0–20 cm (a,c,e) and 20–40 cm (b,d,f) soil layers in different treatments (CK, CF, R, R20, and R40) across three winter wheat–summer maize growing seasons. Treatment: CK: No nitrogen fertilizer, CF: conventional fertilization by local farmer, R: recommended fertilization, R20: organic N substituting for the 20% of the recommended N, R40: organic N substituting for the 40% of the recommended N. Error bars show the standard error of the means (n = 3). Different lowercase letters within columns indicate significant differences by Duncan’s test at p < 0.05.
Figure 6. Average soil organic carbon, soil total nitrogen, and soil C:N ratios at 0–20 cm (a,c,e) and 20–40 cm (b,d,f) soil layers in different treatments (CK, CF, R, R20, and R40) across three winter wheat–summer maize growing seasons. Treatment: CK: No nitrogen fertilizer, CF: conventional fertilization by local farmer, R: recommended fertilization, R20: organic N substituting for the 20% of the recommended N, R40: organic N substituting for the 40% of the recommended N. Error bars show the standard error of the means (n = 3). Different lowercase letters within columns indicate significant differences by Duncan’s test at p < 0.05.
Agronomy 13 02281 g006
Table 1. Effects of different fertilization strategies on NAE, NPFP, and NUE of winter wheat and summer maize from 2018 to 2021.
Table 1. Effects of different fertilization strategies on NAE, NPFP, and NUE of winter wheat and summer maize from 2018 to 2021.
YearTreatmentWinter WheatSummer Maize
NAENPFPNUENAENPFPNUE
2018–2019CK
CF6.62 a32.15 c31.22 b8.88 ab46.61 c25.95 c
R8.67 a40.59 a41.25 a11.24 a58.41 a30.38 b
R207.85 a39.77 a41.38 a10.68 a57.85 a37.08 a
R402.79 b34.71 b22.09 c5.20 b52.36 b18.36 d
2019–2020CK
CF9.19 b31.74 c27.59 b11.72 c45.67 d18.67 b
R11.69 b39.86 b35.60 b15.31 b57.74 b21.42 b
R2017.96 a46.14 a59.77 a20.80 a63.23 a29.99 a
R409.07 b37.25 b26.88 b11.38 c53.81 c18.67 b
2020–2021CK
CF8.90 c31.25 c32.55 c11.16 c44.89 c28.74 b
R10.48 b38.42 b37.15 c13.47 bc55.64 b32.49 b
R2017.47 a45.42 a54.04 a18.40 a60.56 a42.11 a
R4013.55 b41.50 b43.40 b16.14 ab58.31 ab39.14 a
AverageCK
CF8.24 c31.71 d30.45 b10.59 c45.72 d24.45 c
R10.28 b39.62 b38.00 b13.34 b57.26 b28.10 b
R2014.43 a43.78 a51.73 a16.63 a60.55 a36.39 a
R408.47 c37.82 c30.79 b10.90 c54.83 c25.39 c
F-values
Y***ns**ns**
T************
Y × T*********
Note: CK: No nitrogen fertilizer, CF: conventional fertilization by local farmer, R: recommended fertilization, R20: organic N substituting for the 20% of the recommended N, R40: organic N substituting for the 40% of the recommended N. Different lowercase letters within columns indicate significant differences indicated by Duncan’s test at p < 0.05. *, significance at p < 0.05; **, significance at p < 0.01; ns, not significance at p > 0.05.
Disclaimer/Publisher’s Note: The statements, opinions and data contained in all publications are solely those of the individual author(s) and contributor(s) and not of MDPI and/or the editor(s). MDPI and/or the editor(s) disclaim responsibility for any injury to people or property resulting from any ideas, methods, instructions or products referred to in the content.

Share and Cite

MDPI and ACS Style

Lv, M.; Huang, M.; Zhao, K.; Gu, X.; Li, S.; Wang, J.; Yin, F.; Liu, L.; Jiao, N.; Fu, G. Effects of Partial Substitution of Organic Fertilizer for Synthetic N Fertilizer on Yield and N Use Efficiencies in a Semiarid Winter Wheat–Summer Maize Rotation. Agronomy 2023, 13, 2281. https://doi.org/10.3390/agronomy13092281

AMA Style

Lv M, Huang M, Zhao K, Gu X, Li S, Wang J, Yin F, Liu L, Jiao N, Fu G. Effects of Partial Substitution of Organic Fertilizer for Synthetic N Fertilizer on Yield and N Use Efficiencies in a Semiarid Winter Wheat–Summer Maize Rotation. Agronomy. 2023; 13(9):2281. https://doi.org/10.3390/agronomy13092281

Chicago/Turabian Style

Lv, Meng, Ming Huang, Kainan Zhao, Xinxin Gu, Siqi Li, Jiangtao Wang, Fei Yin, Ling Liu, Nianyuan Jiao, and Guozhan Fu. 2023. "Effects of Partial Substitution of Organic Fertilizer for Synthetic N Fertilizer on Yield and N Use Efficiencies in a Semiarid Winter Wheat–Summer Maize Rotation" Agronomy 13, no. 9: 2281. https://doi.org/10.3390/agronomy13092281

APA Style

Lv, M., Huang, M., Zhao, K., Gu, X., Li, S., Wang, J., Yin, F., Liu, L., Jiao, N., & Fu, G. (2023). Effects of Partial Substitution of Organic Fertilizer for Synthetic N Fertilizer on Yield and N Use Efficiencies in a Semiarid Winter Wheat–Summer Maize Rotation. Agronomy, 13(9), 2281. https://doi.org/10.3390/agronomy13092281

Note that from the first issue of 2016, this journal uses article numbers instead of page numbers. See further details here.

Article Metrics

Back to TopTop