Next Article in Journal
Use of Elicitors and Beneficial Bacteria to Induce and Prime the Stilbene Phytoalexin Response: Applications to Grapevine Disease Resistance
Previous Article in Journal
Tillage, Manure, and Biochar Short-Term Effects on Soil Characteristics in Forage Systems
 
 
Font Type:
Arial Georgia Verdana
Font Size:
Aa Aa Aa
Line Spacing:
Column Width:
Background:
Article

Mitigation of Abiotic and Biotic Stress Using Plant Growth Regulators in Rice

by
Ramasamy Ajaykumar
1,†,
Subramani Murali Krishnasamy
1,
Rajendran Dhanapal
2,†,
Govindaraju Ramkumar
3,*,
Pachamuthu Megaladevi
4,
Muthusamy Manjubala
5,
Perumal Chandrasekaran
6,
Thangavel Pradeeshkumar
7,
Chinnaraju Navinkumar
8 and
Kanthaswamy Harishankar
9
1
Department of Agronomy, Tamil Nadu Agriculture University, Coimbatore 641 003, Tamil Nadu, India
2
Department of Entomology, Adhiparasakthi Horticultural College, Tamil Nadu Agricultural University, Kalavai 632 506, Tamil Nadu, India
3
Division of Basic Sciences, ICAR-Indian Institute of Horticultural Research, Bengaluru 560 089, Karnataka, India
4
Department of Agricultural Entomology, Agricultural College and Research Institute, Tamil Nadu Agricultural University, Coimbatore 641 003, Tamil Nadu, India
5
Department of Farm Engineering, Institute of Agricultural Sciences, Banaras Hindu University, Varanasi 221 005, Uttar Pradesh, India
6
Department of Biochemistry and Crop Physiology, SRM College of Agricultural Sciences, Chengalpattu 603 201, Tamil Nadu, India
7
Department of Agronomy, VIT School of Agricultural Innovations and Advanced Learning (VAIAL), VIT, Vellore 632 014, Tamil Nadu, India
8
Department of Agricultural Metrology, Vanavarayar Institute of Agriculture, Pollachi 642 103, Tamil Nadu, India
9
Department of Agricultural Economics, Vanavarayar Institute of Agriculture, Pollachi 642 103, Tamil Nadu, India
*
Author to whom correspondence should be addressed.
These authors contributed equally to this work.
Agronomy 2023, 13(9), 2226; https://doi.org/10.3390/agronomy13092226
Submission received: 2 June 2023 / Revised: 11 August 2023 / Accepted: 14 August 2023 / Published: 25 August 2023
(This article belongs to the Section Pest and Disease Management)

Abstract

:
Split plot design experiments were conducted to assess the performance of growth regulating compounds for mitigating moisture stress and the incidence of Brown Plant Hopper (BPH) in rice. The main plot treatments (4) comprised moisture stress free control (M1), moisture stress during panicle initiation stage alone (M2), moisture stress during flowering stage alone (M3), and moisture stress during both panicle initiation and flowering stages (M4). The sub-plot treatments (5) were foliar application of growth regulating compounds including chlormequat chloride at 200 ppm (S1), mepiquat chloride at 200 ppm (S2), brassinolide at 0.1 ppm (S3), pink pigmented facultative methylotrophs (PPFM) at 1% (S4), and no spray control (S5). The reduced plant growth attributes were registered under moisture stress at both panicle initiation and flowering stages. The spraying of 1% PPFM during the flowering or both at panicle initiation and flowering stages led to better performance than the other treatments. Also, spraying 1% PPFM brought down the population of BPH to a considerable level during both years of experiments. This suggests that spraying 1% PPFM in the post-flowering stage helps to mitigate the ill effect the moisture stress and BPH incidence.

1. Introduction

Rice (Oryza sativa L.) is a wonder grain that can be grown in wide ecological zones and has an extensive range of production. Rice is the only crop that can grow in heavy rainfall areas and deltaic river belts around the world. Rice production must urgently be improved due to stagnant yield levels and rising food demand in India. Rice is the main diet for millions of people and is one of Asia’s most water-intensive cereal crops, consuming more than 80% of the continent’s irrigated freshwater resources. Due to increased water stress, rice yield in Asia, where growing circumstances were previously more favorable, has declined [1].
Water stress is a critical limiting factor for rice production and yield stability in poorly watered locations [2,3]. The plant’s ability to respond and live in the face of a water shortage is dependent on whole-plant processes that can combine cellular responses. In India, water scarcity (also known as drought) affects 23 million hectares of rice on a regular basis, resulting from insufficient soil moisture to maintain average crop yields [4]. Plant responses are influenced by the duration and severity of water stress [5,6], as well as the stage of development of the plant [7]. Drought stress is highly damaging to rice during the flowering stage, resulting in significant output reductions [8]. Spikelet fertility is significantly impacted by physiological mechanisms during the sensitive flowering stage when water stress is present. According to the United Nations, the greatest threat to humanity in the twenty-first century is a water shortage [9]. Due to the vagaries of monsoon, water stress at any given development stage, resulting in considerable yield reduction, is inescapable in these situations. In this perspective, it is vital to understand the many strategies for reducing water consumption in rice production without sacrificing yield. It is necessary to determine appropriate stress management measures in order to offset increasing water scarcity.
Plant growth regulators (PGRs) played a key role in integrating plant stress responses [10]. Plant growth regulators are chemical compounds that, when used at low concentrations, alter plant growth by activating or inhibiting a portion of the plant’s natural growth regulation system [11]. There are about sixty plant growth regulators on the market presently, and several of them have become very important in agricultural production. Growth promoters and retardants are both growth regulators that alter the canopy structure and their expression in the form of yield. PGRs have been found to efficiently regulate water absorption during stressful situations by increasing membrane permeability or increasing the internal concentration of osmotically active solutes [10,12]. By sealing the loop, growth regulators could enhance water use efficiency by closing the stomata. They also boosted the above-ground biomass of the roots and may have an impact on the buildup of antioxidants that protect plants from stress [13]. One of the biotic stresses influencing rice yield is insect infestations. The brown plant hopper, Nilaparvata lugens (Hemiptera: Delphacidae) is a phloem sap sucking insect pest and is one of the notorious insect pests in major rice growing region. The physiological changes induced by the growth regulating compounds may also affect the plant insect interactions. The apple trees sprayed with growth regulator, i.e., prohexadoine calcium were also less colonized by sucking insects including aphids, psyllids, and leaf hoppers [14]. This may be due to changes in the physiology in the plant systems, i.e., the production of flavonoids.
Hence, the present study tested two hypotheses: (1) effect of moisture stress on the growth, development of rice and the incidence of BPH on the stressed rice plants, and (2) whether the foliar application of plant growth regulators can provide protection to the rice plants against the moisture stress and brown plant hopper.

2. Materials and Methods

2.1. Experimental Design and Weather Conditions

Field experiments were conducted during the rabi season of 2017–18 and 2018–19. The experimental fields are situated in the Northwestern agro-climatic zone of Tamil Nadu, at 11° N latitude and 77° E longitude at an altitude of 426.7 m above MSL. Split-plot designs with three replications were used in the field trials. The treatments consisted of induced moisture stress in the main plots and spraying growth regulating compounds in the sub-plots. In all the two seasons, the gross plot size of 5.0 × 4.0 m and the net plot size of 4.25 × 3.0 m were uniformly maintained. Each plot consisted of 420 rice plants. The medium duration rice variety CO (R) 50 was used as a test variety during rabi 2017–18 and 2018–19.
The annual mean maximum and minimum temperatures were 31.5 °C and 21 °C, respectively. The mean relative humidity (RH) ranged from 49.1% to 84.9%. Mean bright sunshine hours was 7.3 h day−1.
The weather parameters were recorded for the standard weeks of both the years. In rabi 2017–18, there was a total rainfall of 144.9 mm received in 10 rainy days, whereas in rabi 2018–19, a total rainfall of 497.3 mm was received in 26 rainy days. The average maximum and minimum temperatures were 31.4, 21.5 °C, and 30.8, 22.7 °C, respectively, for rabi 2017–18 and rabi 2018–19. With regard to the relative humidity, the mean RH of 86.2% was recorded at 07.22 h and 52.8% was recorded at 14.22 h in rabi 2017–18. In rabi 2018–19, an average of 87.2 percent was recorded at 0722 h and 51.2% was recorded at 1422 h. The evaporation and bright sunshine hours day−1 ranged from 3.4 to 7.4 mm and 3.3 to 9.9 h, respectively, for rabi 2017–18, whereas in rabi 2018–19, evaporation ranged from 3.8 to 7.5 mm and sunshine hours day−1 ranged from 2.3 to 9.5 h.

2.2. Soil Characteristics

The soil of the experimental site was clay loam in texture. The composite soil samples collected from the layers of 20–40 cm from each field prior to conducting the experiment were analyzed for various physico-chemical characteristics during two seasons. The initial analyses of the experimental sites revealed that the soil was alkaline in pH (8.12–8.26), medium in organic carbon content (0.62–0.68%), low in available nitrogen (210.6 kg ha−1 to 224.2 kg ha−1), medium in available phosphorus (15.8 kg ha−1 to 18.8 kg ha−1), and high in available potassium (ranged from 416.1 to 428.5 kg ha−1) (Table 1).

2.3. Sowing and Transplanting

The paddy seeds were obtained from the Department of Rice, Tamil Nadu Agricultural University. The seeds were soaked in water for 24 h and incubated overnight. The sprouted seeds with a seed rate of 40 kg ha−1 sown in the wet nursery area at 20 cents ha−1. The seedlings for rabi crops were transplanted 25 days after sowing and 21 days after sowing for summer crops. The seedlings were pulled out and transplanted with two seedlings hill −1 at the spacing of 20 cm × 15 cm.

2.4. Fertilizer Application

Nitrogen, phosphorus, and potassium were applied at 150:50:50 kg ha−1 as urea, single super phosphate, and muriate of potash, respectively. Twenty-five% of nitrogen, a full dose of phosphorus, and 25% of potassium were applied as a basal at the time of planting. The balance of 75% of nitrogen and potassium was top dressed thrice at active tillering, panicle initiation, and heading stages.

2.5. Irrigation

The conventional method of irrigation practice was followed up to panicle initiation stage. The irrigation water was measured using a water meter installed in the field. After inducing stress, the irrigation schedules were adopted as per the treatment requirements.

2.6. Harvesting and Threshing

The border rows all around the plots were harvested first and then the net plots of each treatment were harvested and threshed separately, cleaned, and the grain weights were recorded in a treatment-wise manner. Grain yields were adjusted to 14% moisture and expressed in kg ha−1. The straw yields were recorded based on the dry weight of the straw sun dried for three days and expressed in kg ha −1.

2.7. Treatment Details

2.7.1. Main Plot (Moisture Stress (Induced))

M1: moisture stress free control; M2: moisture stress at panicle initiation stage; M3: moisture stress at flowering stage; M4: moisture stress at both panicle initiation and flowering stages (Note: stresses were enforced during panicle initiation, flowering stages, and both the stages by withholding irrigation for 10 days).

2.7.2. Sub Plot (Growth Regulating Compounds)

S1: chlormequat chloride @ 200 ppm; S2: mepiquat chloride @ 200 ppm; S3: brassinolide @ 0.1 ppm; S4: pink pigmented facultative methylotrophs (PPFM) @ 1%; S5: no spray (control).

2.8. Stress Imposition

The conventional method of irrigation practice (irrigating the field with 5 cm depth of irrigation one day after disappearance of previously ponded water) was followed. In order to maintain a 5 cm level, a wooden peg was fixed in each plot to show the depth of standing water.
The amount of water used in each irrigation was measured by regulation through a ‘water meter’ fixed at the head of the experimental field. The time required for the flow of the calculated volume of water was worked out and the water was allowed to each plot only for a specified time to get a desired depth (5 cm) of irrigation.
Moisture stress was imposed in two phases including the first during panicle initiation (45 to 55 days after transplanting (DAT) for CO (R) 50 during rabi season, and the second during flowering stage (65 to 75 DAT for rabi) by withholding irrigation in the specified stages in both the seasons. The stress was imposed one day after the disappearance of ponded water of 5 cm depth during panicle initiation and flowering stages.
After the termination of the stress period, the stressed plots were irrigated to the required depth. In both non-stressed and stressed plots, irrigation was suspended ten days before the expected time of harvest.

2.9. Stages of Spray

The growth regulating compounds were dissolved in water as per their concentration requirements and sprayed at 500 litres ha−1 in both the panicle initiation and flowering stages one day after the imposition of the stress in the respective stages in both the seasons.

2.10. Biometric Observations

The biometric observations were taken in compliance with the standards of the All India Co-ordinated Rice Improvement Project [15]. The five plants were selected at random and labelled for recording observations in each replication.

2.11. Growth Attributes

Growth attributes including plant height, number of tillers per hill, dry matter production, specific leaf weight, leaf area index, and crop growth rate were recorded at active tillering, panicle initiation, flowering, and harvest stages during rabi 2017–18 and rabi 2018–19.

2.11.1. Plant Height

The plant height was measured from ground level to the tip of the longest leaf extended in active tillering, panicle initiation, flowering, and harvest stages of rice and expressed in cm. The plant height was measured from five plants from each plot.

2.11.2. Number of Tillers Hill−1

At active tillering, panicle initiation, flowering, and harvest stages, the tillers of labelled plants in each plot were counted and expressed as tillers hill−1.

2.11.3. Dry Matter Production

The five plants were removed randomly from each main and sub plots at active tillering, panicle initiation, flowering, and harvest stages. These samples were first air dried in shade and then oven dried at 70 ± 5 °C for 48 h to constant weight and dry weights were recorded and reported in kg ha−1.

2.11.4. Specific Leaf Weight

The formula of Garnier et al. [16] was used to compute the specific leaf weight (SLW), which was represented in mg cm−2.
SLW = Leaf   dry   weight   Leaf   area  

2.11.5. Leaf Area Index

The leaf area was calculated using Palanisamy and Gomez’s method [17], which used 0.75 as a rabi adjustment factor. The leaf area index was calculated by dividing the total leaf area by the ground area.
LAI = L × W × K × Number   of   leaves   per   plant Land   area   occupied   by   plant
where,
  • L—Length of leaf (cm),
  • W—Width of leaf (cm),
  • K—Correction factor (0.75 for wet season).

2.11.6. Crop Growth Rate

The rate of increase in dry weight per unit land area per unit time is known as the crop growth rate (CGR). Watson’s [18] formula was used to calculate the CGR. The CGR was expressed in g m−2 day−1.
CGR = W 2 × W 1 P   ( t 2 t 1 )
where,
  • W1 and W2 are whole plant dry weight (g) at time t1 and t2, respectively,
  • t1 and t2 are the initial and final day of period of observation, respectively,
  • P is the plant spacing (20 × 15 cm) adopted (m2).

2.12. Incidence of Brown Plant Hopper

The experiment was conducted to find out the effect of PGR on the incidence of BPH. The motile stages of BPH were randomly counted on five selected hills and expressed as number of BPH per hill.

2.13. Statistical Analysis

According to Gomez and Gomez’s procedures [19], the data on numerous characters evaluated during the study was analyzed in a two-way analysis of variance (ANOVA). The Least Significant Difference (LSD) was used to calculate the critical difference between the pair-wise comparison means. This method provides for a single LSD value (Critical Difference (CD)), at a prescribed level of significance, which was used as the boundary between significant and nonsignificant differences between any pair of treatment means. The two treatments are declared significantly different at the prescribed level of significance if their difference exceeds the computed CD value at the 0.05 level of probability, otherwise, they are not significantly different.

3. Results

3.1. Plant Height

Plant height is a measure of crop development as influenced by the environment and management. At the active tillering and panicle initiation stages of rice growth, moisture stress and growth regulators had no effect on plant height (Table 2).
However, the plant height of rice was significantly influenced by moisture stress and growth regulating compounds at the flowering and harvest stages. Regarding moisture stress treatments, stress free control (M1) recorded taller plant height (109.6 cm) at the flowering and (112.3 cm) at harvest stage compared to rest of the treatments. However, moisture stress at the flowering stage (M3) was on par with moisture stress free control (M1). Plant height was stunted when stress was induced at both panicle initiation and flowering stages (M4). Similar results were also noted during rabi 2018–19.
In terms of growth-regulating compounds applied to the leaves, spraying one percent PPFM (S4) was better for all other treatments in a considerable way. PPFM at 1% (S4) registered increased plant height of 113.2 cm and 113.4 cm at harvest stage in rabi 2017–18 and rabi 2018–19, respectively. At the harvest stage, the plants were shorter in control plots (S5) recorded the plant height of 100.9 cm and 103.7 cm during rabi 2017–18 and rabi 2018–19, respectively.
At all stages of rice growth during rabi in both years, there was no significant interaction between moisture stress and growth regulating compounds on plant height.

3.2. Total Number of Tillers Hill−1

The total number of tillers hill−1 at active tillering, panicle initiation, flowering, and harvesting stages of rabi 2017–18, rabi 2018–19. (Table 3).
An increasing trend was observed from the flowering to harvest stages regarding number of tillers hill−1 at all the growing seasons of rice (Table 4 and Table 5). At the flowering stage, maximum number of tillers hill−1 were noticed with moisture stress free control (M1) with 13.6, 13.8 tillers hill−1, as was observed during rabi 2017–18 and rabi 2018–19, respectively, which was comparable with moisture stress at panicle initiation stage (M2) and moisture stress at flowering stage (M3), whereas stress at both panicle initiation and flowering stages (M4) produced lower number of tillers hill−1.
A similar trend in results was obtained at the harvesting stage during all the growing seasons. PPFM at one percent (S4) produced a considerably greater number of tillers hill−1 at harvest stage in rabi 2017–18 and rabi 2018–19 recording 14.2 and 14.4; and 14.6 and 14.8 tillers hill−1, respectively. However, it was comparable with application of 0.1 ppm brassinolide (S3) in all the four seasons. This was followed by foliar spraying of 200 ppm mepiquat chloride (S2) and chlormequat chloride (S1). In the control (S5) plots, however, there were less tillers recorded hill−1.
In rabi season, the interaction was not significant during both the years of experimentation. The spraying of 1% PPFM foliar spray (S4) detailed an increased number of tillers hill−1. Moisture stress at both stages of panicle development and blossoming produced a lower number of tillers hill−1 in control (S5) plots during all the growing seasons.

3.3. Dry Matter Production in Plant

The Dry Matter Production (DMP) assessed at various crop growth stages was not significantly influenced by moisture stress and growth regulating compounds at active tillering and panicle initiation stages (Table 6).
Treatments for moisture stress and foliar spraying of growth regulators showed positive influence on DMP at flowering stage and attained maximum at harvest stage (Table 7).
The DMP was significantly increased under moisture stress free control (M1) at harvest during all the growing seasons recording 13,906 and 14,254 kg ha−1 during rabi 2017–18 and rabi 2018–19. Moisture stress in different growth stage studies indicated that stress at panicle initiation stage (M2) was better than all other therapies in a considerable way with particular attention to dry matter production. Reduced dry matter production was noticed when moisture stress at both panicle initiation and flowering stages (M4).
Foliar spraying of growth regulating compounds revealed that spraying 1% PPFM (S4) recorded more DMP during rabi 2017–18 and rabi 2018–19 with 12,849 and 13,094 kg ha−1 at harvest stage. However, it was comparable to brassinolide concentrations of 0.1 ppm (S3). This was followed by 200 ppm of mepiquat chloride (S2) and 200 ppm of chlormequat chloride (S1) which were on par with each other. The lower DMP was noticed in control plot for foliar application of growth regulating compounds (S5) during all the growing seasons.
An increased amount of DMP was recorded in combination of moisture stress free control in conjunction with one percent of PPFM (M1S4). Among other treatments, Moisture stress during the panicle initiation stage combined with foliar spraying of 0.1 ppm brassinolide (M2S3) resulted in more DMP. This was followed by moisture stress at flowering stage with one percent of PPFM (M3S4). Moisture stress at both panicle initiation and flowering stages in combination with control for foliar application of growth regulating compounds (M4S5) produced significantly lower amount of DMP in all the growing seasons.

3.4. Specific Leaf Weight

Moisture stress and foliar application of growth regulating compounds had little effect on specific leaf weight during active tillering and panicle initiation (Table 8).
At flowering stage, moisture stress free control (M1) showed increased specific leaf weight recording 11.78 and 12.13 g cm−2 during rabi 2017–18 and rabi 2018–19 which was on par with the plots in which stress was induced at flowering stage (M3). Invariably, in all the four seasons, moisture stress free control (M1) was superior to all other therapies by a substantial margin and the SLW recorded was lower in stress at both panicle initiation and flowering stages (M4) (Table 9 and Table 10).
In different growth regulating compounds, PPFM at 1% (S4) resulted in increased specific leaf weight (6.70 and 6.82 g cm−2, during rabi 2017–18 and rabi 2018–19) in comparison to other forms of treatment. After that, 0.1 ppm brassinolide was sprayed on the leaves (S3) at grain filling stage. However, a lower SLW was noticed in the control (S5) during all two growing seasons.
The interaction effect was significant only at grain filling stage of rabi season crop (Figure 1). During all growing seasons, the treatment included moisture stress free control and a 1% PPFM spray (M1S4) recorded increased specific leaf weight. Among the different growth stages, the treatment combination of moisture stress at panicle initiation stage along with 0.1 ppm brassinolide (M2S3) registered a more specific leaf weight. Moisture stress resulted in reduced specific leaf weight at both the panicle initiation and flowering stages when compared to foliar administration of growth regulating compounds (M4S5).

3.5. Leaf Area Index

The basic instruments for growth analysis are measuring leaf area and determining LAI. Neither the moisture stress treatments nor the foliar spraying of growth regulating compounds had significant influence on LAI at active tillering and panicle initiation stages (Table 11). Regarding moisture stress treatments, increased LAI was observed in the moisture stress free control (M1) with 5.01 and 5.02 for rabi 2017–18 and rabi 2018–19 at flowering stage, which was comparable with moisture stress at flowering stage (M3). At the harvest stage, the moisture stress free control (M1) was much more effective than the other therapies and decreased LAI was found in stress at both panicle initiation and flowering stages (M4) during all the two growing seasons.
In terms of the treatment of subplots, 1% PPFM (S4) showed increased LAI during rabi 2017–18 and rabi 2018–19 with 4.65 and 4.66 at flowering stage, and it was comparable with application of 0.1 ppm brassinolide (S3), whereas LAI had the least control for foliar application of growth regulating compounds (S5). Similar results were also noticed at harvest stage during all the two growing seasons of rice (Table 12).
During all growing seasons, moisture stress treatments and foliar spraying of growth regulating compounds demonstrated different interactions with LAI at the harvest stage. The treatment combination of moisture stress free control and 1% PPFM (M1S4) produced higher LAI values. This was followed by moisture stress at panicle initiation stage with 0.1 ppm brassinolide (M2S3). Moisture stress during panicle initiation and flowering with foliar administration of growth regulators as a control (M4S5) showed the least LAI among all the other treatments studied.

3.6. Crop Growth Rate

Moisture stress treatments and growth-regulators had little effect on the crop growth rate from active tillering to panicle initiation (Table 13 and Table 14). During rabi 2017–18 and rabi 2018–19, the moisture stress free control (M1) had a higher crop growth rate from panicle initiation to flowering, with 17.15 and 18.18 g m−2 day−1, respectively. At both the panicle initiation and flowering stages, crop growth rate was reduced when moisture stress was present (M4). Similar results were also observed from the flowering to harvest stages at the two growing seasons of rice.
In terms of foliar application of growth regulators, the application of 1% PPFM was better than all other therapies in a considerable way. A higher rate of crop growth was observed when 1% PPFM was sprayed during rabi 2017–18 and rabi 2018–19 registering 9.28 and 10.56 g m−2 day−1, respectively, at flowering to harvest stages. However, this was similar to 0.1 ppm brassinolide foliar application (S3). The control (S5) had a lower crop growth rate for both years of the experiment.
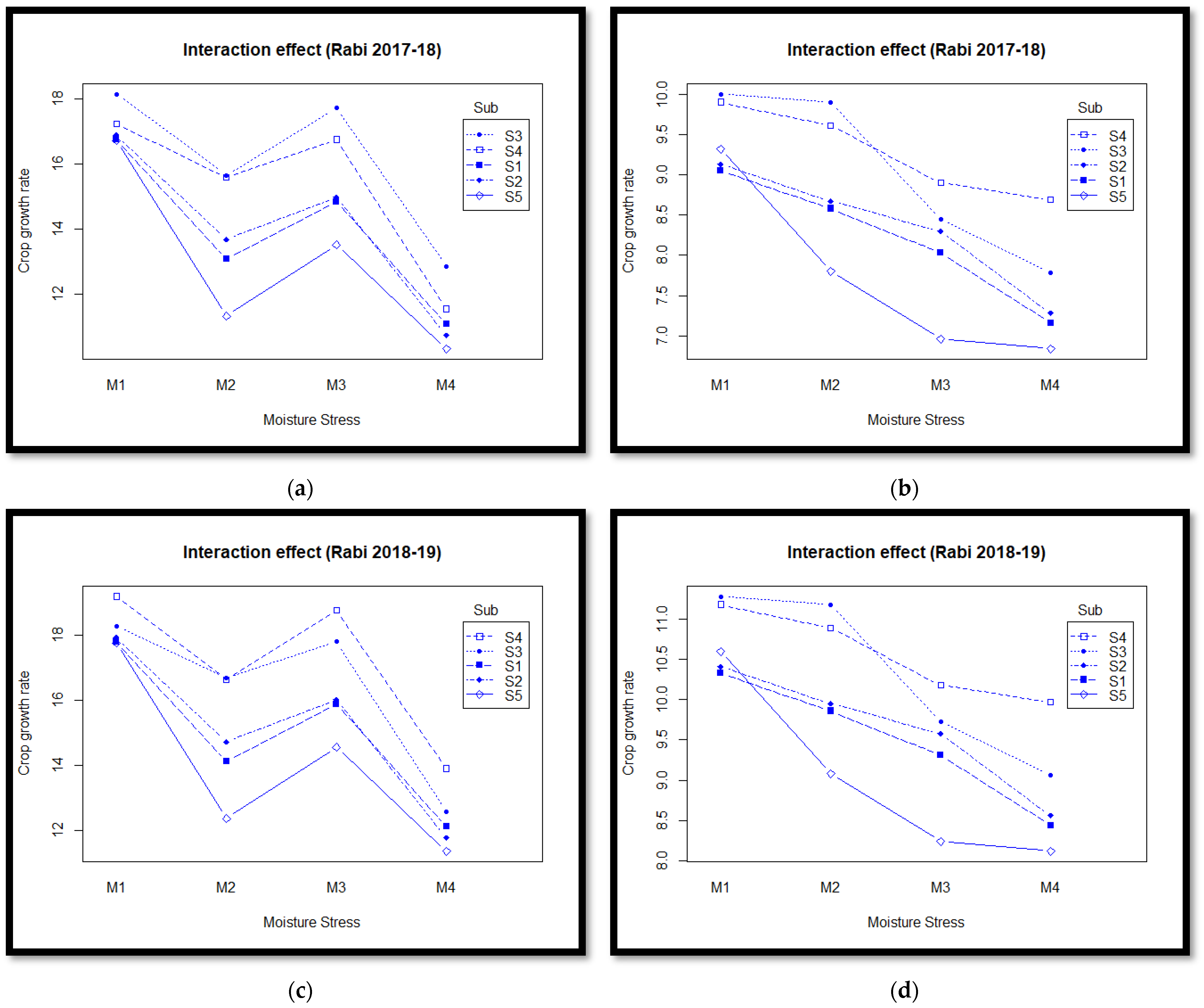
The interaction effect between moisture stress treatments and growth regulating compounds was significant only at panicle initiation to flowering and flowering to grain filling stages of the rabi season crop (Figure 2). Throughout all growing seasons, the treatment combination of moisture stress free control and 1% PPFM (M1S4) resulted in an improved crop growth rate. Among other treatments, moisture stress at panicle initiation stage along with 0.1 ppm brassinolide (M2S3) showed a higher crop growth rate. A reduced crop growth rate was registered with moisture stress at both panicle initiation and flowering stages with control for foliar spraying of growth regulating compounds (M4S5).

3.7. Incidence of Brown Plant Hopper

The incidence of BPH on transplanted rice was significantly influenced by moisture stress and plant growth regulating compounds (Table 15 and Table 16).
In all the moisture stress treatments, moisture stress at panicle initiation and flowering stage plot harbored lower populations of 23.20, 21.20, and 20.20 nymphs and adults/5 hill during rabi 2017–18, respectively, and 22.60, 21.86 and 19.53 nymphs and adults/5 hill during rabi 2018–19, respectively. The moisture stress at flowering stage alone provided the highest population of BPH. The occurrence of BPH at tillering stage in control plot is depicted in Figure 3.
With regard to the foliar application of plant growth regulating compounds, the spraying of 1% PPFM was significantly superior to all other treatments. The lowest population of BPH was recorded when 1% of PPFM was sprayed during rabi 2017–18 and rabi 2018–19 registering 21.00, 21.67, 17.25 and 20.58, 21.25, 16.83, respectively. After PPFM, the 0.1 ppm brassinolide harbored a smaller population of BPH. The highest BPH population was registered in the Chlormequat chloride (200 ppm) treated plot. This was on par with foliar spraying of Mepiquat chloride (200 ppm).
The interaction effect between moisture stress treatments and growth regulating compounds was significant in all the stages of rabi season crops (Figure 4). During all the growing seasons, the treatment combination of moisture stress at both PI and flowering stage, along with PPFM at 1% (M4S4), showed a lower population of BPH. Among other treatments, moisture stress at panicle initiation stage along with 0.1 ppm brassinolide (M2S3) registered a low population of BPH. The highest population of BPH was found in moisture stress free with control for foliar application of growth regulating compounds (M4S5).

4. Discussion

Moisture stress and foliar spraying of growth regulating chemicals had little effect on rice growth characters during the active tillering and panicle initiation phases. This was mostly due to the fact that treatments such as moisture stress and growth-regulating chemicals were only applied after the panicle initiation stage, and that all other agronomic approaches were applied evenly across all treatments prior to this time [20].
Enhanced plant height would help the rice plants produce greater biomass and yield potential, which is an important attribute for growth. Taller plants were observed consistently at flowering and harvesting stages, which was associated with moisture stress free control during all the seasons. Plants were considerably taller when rice was irrigated one day after ponded water dissipated at a 5 cm depth of irrigation. This might have spurred the enhanced meristematic cell activity and cell elongation at internodes, resulting in a faster rate of stem growth and thus an increase in rice plant height [21,22]. At both the panicle initiation and flowering stages, shorter plants were observed in association with moisture stress. The present study’s results are in line with the findings of Rahman et al. [23], moisture stress administered at any stage of rice growth before anthesis dramatically reduced plant height. Regarding foliar application of growth regulating compounds, spraying 1% PPFM resulted in the heightening of plants and was comparable with 0.1 ppm application of brassinolide. Spraying of methylobacterium might have stimulated the growth and plant height by increasing the amount of auxin and cytokinin in rice. Similar outcomes have been recorded by Mauney and Gerik in soybean [24]. Increasing moisture stress significantly resulted in a decrease in plant height under control for foliar application of growth regulating compounds.
Tillering is the boon of rice heterogeneity. Tiller production often begins following the creation of the node and 5th leaf in the beginning, increases steadily, attains to its peak at the active tillering stage, and then declines as the crop age advances [25]. Among the different moisture stress treatments, the maximum number of tillers hill−1 was recorded in the moisture stress free control and this was followed by moisture stress at panicle initiation stage. This could be due to adequate aeration, which favored improved root growth and the absorption of more nutrients, as evidenced by the enhanced nutrient uptake, resulting in increased growth, and tiller production. The outcomes were as expected in comparison to Hameed et al. [26,27].
In terms of foliar application of growth regulators, the application of 1% PPFM produced considerably a greater number of tillers hill−1 at harvest stage, whereas it was comparable with 0.1 ppm of brassinolide in all the seasons. This might have helped to increase the cell division activity, cell expansion, and elongation, ultimately leading to a greater number of tillers hill−1. The influence of brassinolide on the endogenous levels of hormones enhanced the photosynthesis and nitrate assimilation, as reported by Sairam [28].
Throughout both years of testing, the only significant interaction was detected during the flowering and harvesting periods. The conjunction of moisture stress-free control and foliar spraying with 1% PPFM resulted in a larger number of tillers hill−1, which was followed by moisture stress at the panicle initiation stage with 0.1 ppm of brassinolide.
This might have facilitated more access to water and nutrients from the roots. This could have resulted in better plant establishment with better tiller production. In the current investigation, regardless of the growth phase at which moisture stress was enforced, the total number of tillers showed a general decrease. It could, however, be avoided by taking stress relievers in the right amounts. This was also in conformity with Vijayalakshmi and Nagarajan’s findings [29].
The efficiency with which a crop uses its available resources such as solar radiation, moisture, nutrients, and other niches of the prevailing environmental circumstances is reflected in its dry matter output. It is the result of the interaction of growth characteristics such as the number of tillers, LAI, and crop efficiency in capturing available resources [30].
Dry matter output grew significantly as the growth stages progressed, peaking at harvest. Moisture stress free control resulted in increased DMP. This is because of optimum plant population and the tillering ability of the variety. This resulted in enhanced tiller production, leaf number, LAI, and improved root properties. Dry matter accumulation may have been accelerated in the presence of an adequate nutrition supply and a bigger photosynthesizing surface, resulting in fast accumulation. This result is consistent with the findings of Hameed et al. [26]. Low moisture availability affecting water and nutrient uptake, photosynthetic rate, and photo assimilate translocation was observed with moisture stress at both panicle initiation and flowering stages, which could be due to low moisture availability affecting water uptake, photosynthesis, and translocation of photo assimilates. Moisture stress lowered plant height, leaf number, leaf size, and tillers, leading in lower dry matter yield [31].
DMP increased more significantly with the foliar application of 1% PPFM and brassinolide (0.1 ppm) under water deficit situation. This might be attributed to increased nitrogen availability due to the presence of nitrogen-fixing facultative methylotrophs [32,33]. Also, the PPFM microbial inoculants’ production of plant growth-promoting compounds such as cytokinins, indole acetic acid, gibberellic acid, vitamins, and antibiotic substances may have functioned in concert with it. By enhancing the antioxidant system and boosting dry matter buildup, the foliar application of brassinolides could somewhat mitigate the negative effects of moisture stress on soybean growth [34].
Water stress is known to influence both plants and herbivores which feed on the stressed plants [35]. An insect tends to form a mechanism to cope with the water loss. Some of the authors reported the positive effects of stressed plants on insects, modifying the growth rates, fecundity, and survival [36]. The drought events and reduced precipitation mediate the effects of herbivore infestation on plants in different ways depending upon the plant age and size [37]. In our study, the BPH population was recorded as high during the panicle initiation to flowering stage in both the years of experiment. The highest population of BPH was recorded in the moisture stress during flowering stage. The plant growth regulating compounds also influenced the abundance of BPH in rice. PPFM provided a lower population of BPH. The PPFM could change the physiology of plant systems, i.e., the production of flavonoids, which may, for instance, repel sucking and chewing insects [14]. Similarly, the apple trees sprayed with growth regulator, i.e., prohexadoine calcium were also less colonized by sucking insects including aphids, psyllids, and leaf hoppers [14]. Furthermore, PPFM of the brassinosteroids treated plots showed a smaller population of BPH. In contrast to this, Pan et al. [38] reported that brassinosteroids suppress the SA pathway and harbor a higher BPH on rice plants [31]. This necessitates a molecular basis for the interaction effect of drought and growth regulators.

5. Conclusions

The interaction between moisture stress and foliar application of growth regulating compounds revealed that the treatment combination of moisture stress free control with foliar spraying of 1% PPFM showed an increased number of tillers hill−1, DMP, SLW, LAI, CGR; and decreased the population of BPH. Among the other treatments, moisture stress at panicle initiation stage in combination with spraying 0.1 ppm brassinolide recorded significantly better growth attributes. This clearly indicated that PPFM and brassinolide played a vital role in mitigating the stress and enhancing the growth attributes under moisture stressed environment. A physiological study needs to be conducted in order to find out the impact of growth regulators on rice plants under moisture stress conditions.

Author Contributions

Conceptualization, methodology, data curation, investigation, formal analysis, writing—original draft, R.A.; Conceptualization, data curation, project administration, resources, S.M.K.; investigation, methodology, data curation, writing—original draft, R.D.; Conceptualization, review, editing, validation and supervision, G.R.; data curation, validation, P.M.; software, visualization, M.M.; validation, visualization, P.C.; data curation, writing—review and editing, T.P.; investigation, C.N.; visualization, writing—review and editing, K.H. All authors have read and agreed to the published version of the manuscript.

Funding

This research received no external funding.

Institutional Review Board Statement

Not applicable.

Informed Consent Statement

Not applicable.

Data Availability Statement

The data presented in this study are available on request from the corresponding author. The data are not publicly available due to the privacy policy of the organization.

Conflicts of Interest

The authors declare no conflict of interest.

Abbreviations

PPFMpink pigmented facultative methylotrophs
PGRPlant Growth Regulator
BPHBrown Plant Hopper
SLWSpecific Leaf Weight
LAILeaf Area Index
CGRCrop Growth Rate
DMPDry Matter Production
CDCritical Difference
ANOVAAnalysis of Variance
LSDLeast Square Difference

References

  1. Tao, F.; Yokozawa, M.; Zhang, Z.; Hayashi, Y.; Grassl, H.; Fu, C. Variability in climatology and agricultural production in China in association with the East Asian summer monsoon and El Niño Southern Oscillation. Clim. Res. 2004, 28, 23–30. [Google Scholar] [CrossRef]
  2. Lanceras, J.C.; Pantuwan, G.; Jongdee, B.; Toojinda, T. Quantitative trait loci associated with drought tolerance at reproductive stage in rice. Plant Physiol. 2004, 135, 384–399. [Google Scholar] [CrossRef] [PubMed]
  3. Singh, B.; Mishra, S.; Bisht, D.S.; Joshi, R. Growing Rice with Less Water: Improving Productivity by Decreasing Water Demand. In Rice Improvement; Ali, J., Wani, S.H., Eds.; Springer: Cham, Switzerland, 2021. [Google Scholar] [CrossRef]
  4. Pandey, S.; Bhandari, H.; Hardy, B. Economic Costs of Drought and Rice Farmers Coping Mechanisms: A Cross-Country Comparative Analysis; International Rice Research Institute: Manila, Philippines, 2007; p. 203. [Google Scholar]
  5. Araus, J.L.; Slafer, G.A.; Renolds, M.P.; Royo, C. Plant breeding and drought in C3 cereals. Ann. Bot. 2002, 89, 925–940. [Google Scholar] [CrossRef] [PubMed]
  6. Bartels, D.; Souer, E. Molecular responses of higher plants to dehydration. In Plant Responses to Abiotic Stress; Springer: Berlin/Heidelberg, Germany, 2004; pp. 9–38. [Google Scholar]
  7. Zhu, X.; Gong, H.; Chen, G.; Wang, S.; Zhang, C. Different solute levels in two spring wheat cultivars induced by progressive field water stress at different developmental stages. J. Arid Environ. 2005, 62, 1–14. [Google Scholar] [CrossRef]
  8. Liu, J.X.; Liao, D.Q.; Oane, R.; Estenor, L.; Yang, X.E.; Li, Z.C.; Bennett, J. Genetic variation in the sensitivity of anther dehiscence to drought stress in rice. Field Crops Res. 2006, 97, 87–100. [Google Scholar] [CrossRef]
  9. Reddy, M.R.A.; Shankhdhar, D.; Shankhdhar, S.C. Physiological characterization of rice genotypes under periodic water stress. Indian J. Plant Physiol. 2007, 12, 189–193. [Google Scholar]
  10. Tuteja, N.; Gill, S.S.; Trivedi, P.K.; Asif, M.H.; Nath, P. Plant Growth Regulators and their Role in Stress Tolerance. Plant Stress 2010, 4, 1–18. [Google Scholar]
  11. Prajapati, S.; Jamkar, T.; Singh, O.P.; Raypuriya, N.; Mandloi, R.; Jain, P.K. Plant growth regulators in vegetable production: An overview. Plant Arch. 2015, 15, 619–626. [Google Scholar]
  12. Bouremani, N.; Cherif-Silini, H.; Silini, A.; Bouket, A.C.; Luptakova, L.; Alenezi, F.N.; Belbahri, L. Plant Growth-Promoting Rhizobacteria (PGPR): A Rampart against the Adverse Effects of Drought Stress. Water 2023, 15, 418. [Google Scholar] [CrossRef]
  13. Zarei, T. Balancing water deficit stress with plant growth-promoting rhizobacteria: A case study in maize. Rhizosphere 2022, 24, 100621. [Google Scholar] [CrossRef]
  14. Paulson, G.S.; Hull, L.A.; Biddinger, D.J. Effect of a Plant Growth Regulator, Prohexadione-Calcium on Insect Pests of Apple and Pear. J. Econ. Entomol. 2005, 98, 423–431. [Google Scholar] [CrossRef] [PubMed]
  15. Haveten. Outlines for filling out the coding forms. In All India Co-Ordinated Rice Improvement Project; Mimeo: Hyderabad, India, 1977; p. 89. [Google Scholar]
  16. Garnier, E.; Shipley, B.; Roumet, C.; Laurent, G.A. Standardized protocol for the determination of specific leaf area and leaf dry matter content. Funct. Ecol. 2001, 15, 688–695. [Google Scholar] [CrossRef]
  17. Palanisamy, K.M.; Gomez, K.A. Length, width method for estimating leaf area for rice. Agron. J. 1974, 66, 430–433. [Google Scholar] [CrossRef]
  18. Watson, D.J. The dependence of crop growth rate on plant dry weight. Ann. Bot. 1958, 22, 37–54. [Google Scholar] [CrossRef]
  19. Gomez, K.A.; Gomez, A.A. Statistical Procedure for Agricultural Research; Wiley Inter-Science Publications: New York, NY, USA, 2010; pp. 253–259. [Google Scholar]
  20. Thangaraj, M.; Maibangsa, S.; Stephen, R. Effect of foliar spray of growth regulators and botanicals on certain physiological characters and yield of rice. In Proceedings of the National Seminar of the Indian Society of Plant Physiology, IARI, New Delhi, India, 19–21 March 1998. [Google Scholar]
  21. Chowdhury, M.R.; Kumar, V.; Sattar, A.; Brahmachari, K. Studies on the water use efficiency and nutrient uptake by rice under system of intensification. Bioscan 2014, 9, 85–88. [Google Scholar]
  22. Zampieri, E.; Pesenti, M.; Nocito, F.F.; Sacchi, G.A.; Vale, G. Rice Responses to Water Limiting Conditions: Improving Stress Management by Exploiting Genetics and Physiological Processes. Agriculture 2023, 13, 464. [Google Scholar] [CrossRef]
  23. Rahman, M.T.; Islam, M.T.; Islam, M.O. Effect of Water Stress at Different Growth Stages on Yield and Yield Contributing Characters of Transplanted Aman Rice. Pak. J. Biol. Sci. 2002, 5, 169–172. [Google Scholar] [CrossRef]
  24. Mauney, J.R.; Gerik, T.J. Evaluating methanol usage in cotton. In Proceedings of the Belt wide Cotton Conference, San Diego, CA, USA, 5–8 January 1994; Memphis, T.N., Heber, D.J., Richter, D.A., Eds.; The Cotton Foundation: Houston, TX, USA, 1994; pp. 39–40. [Google Scholar]
  25. Moldenhauer, K.E.W.C.; Slaton, N. Rice growth and development. Rice Prod. Handb. 2001, 192, 7–14. [Google Scholar]
  26. Hameed, K.; Abbas, A.; Kadhim, J.M.; Jaber, F.A. Irrigation water reduction using System of Rice Intensification compared with conventional cultivation methods in Iraq. Paddy Water Environ. 2011, 9, 121–127. [Google Scholar] [CrossRef]
  27. Kaysar, M.S.; Sarker, U.K.; Monira, S.; Hossain, M.A.; Mokarroma, N.; Somaddar, U.; Uddin, M.R. Water Stress Induced Changes in Root Traits and Yield of Irrigated Rice under Subtropical Condition. Water 2023, 15, 618. [Google Scholar] [CrossRef]
  28. Sairam, R.K. Effects of homobrassinolide application on plant metabolism and grain yield in under irrigated and moisture stress condition of two wheat varieties. Plant Growth Regul. 1994, 14, 173–181. [Google Scholar] [CrossRef]
  29. Vijayalakshmi, C.; Nagarajan, M. Effect of rooting pattern in rice productivity under different water regimes. J. Agron. Crop Sci. 1994, 173, 113–117. [Google Scholar] [CrossRef]
  30. Kumar, S.; Gopinath, K.A.; Sheoran, S.; Meena, R.S.; Srinivasarao, C.; Bedwal, S.; Praharaj, C.S. Pulse-based cropping systems for soil health restoration, resources conservation, and nutritional and environmental security in rainfed agroecosystems. Front. Microbiol. 2023, 13, 1041124. [Google Scholar] [CrossRef] [PubMed]
  31. Mahreen, N.; Yasmin, S.; Asif, M.; Yahya, M.; Ejaz, K.; Yousaf, S.; Amin, I.; Zulfiqar, S.; Imran, A.; Khaliq, S.; et al. Mitigation of water scarcity with sustained growth of Rice by plant growth promoting bacteria. Front. Plant Sci. 2023, 14, 1081537. [Google Scholar] [CrossRef]
  32. Khan, W.; Prithviraj, B.; Smith, D.L. Photosynthetic responses of corn and soybean to foliar application of salicylates. J. Plant Physiol. 2003, 160, 485–492. [Google Scholar] [CrossRef] [PubMed]
  33. Ivanova, E.G.; Doronina, N.V.; Trotsenko, Y.A. Aerobic methylobacteria are capable of synthesizing auxins. Microbiology 2001, 70, 392–397. [Google Scholar] [CrossRef]
  34. Zhang, M.; Zhal, Z.; Tian, X.; Duan, L.; Li, Z. Brassinolide alleviated the adverse effect of water deficit on photosynthesis and the antioxidant of soybean (Glycine max L.). Plant Growth Regul. 2008, 56, 257–264. [Google Scholar] [CrossRef]
  35. Migeon, A.; Auger, P.; Fossati-Gaschignard, O.; Hufbauer, R.A.; Miranda, M.; Zriki, G.; Navajas, M. Climate of origin influences how a herbivorous mite responds to drought-stressed host plants. Peer Community J. 2023, 3, e44. [Google Scholar] [CrossRef]
  36. Jactel, H.; Koricheva, J.; Castagneyrol, B. Responses of forest insect pests to climate change: Not so simple. Curr. Opin. Insect Sci. 2019, 35, 103–108. [Google Scholar] [CrossRef]
  37. Leybourne, D.J.; Valentine, T.A.; Binnie, K.; Taylor, A.; Karley, A.J.; Bos, J.I. Drought stress increases the expression of barley defence genes with negative consequences for infesting cereal aphids. J. Exp. Bot. 2022, 73, 2238–2250. [Google Scholar] [CrossRef]
  38. Pan, G.; Liu, Y.; Ji, L.; Zhang, X.; He, J.; Huang, J.; Qiu, Z.; Liu, D.; Sun, Z.; Xu, T.; et al. Brassinosteroids mediate susceptibility to brown planthopper by integrating with the salicylic acid and jasmonic acid pathways in rice. J. Exp. Bot. 2018, 69, 4433–4442. [Google Scholar] [PubMed]
Figure 1. Interaction effect of moisture stress and growth regulating compounds on specific leaf weight (g cm−2) at grain filling stage of rice (a) interaction effect during rabi 2017–18; (b) interaction effect during rabi 2018–19.
Figure 1. Interaction effect of moisture stress and growth regulating compounds on specific leaf weight (g cm−2) at grain filling stage of rice (a) interaction effect during rabi 2017–18; (b) interaction effect during rabi 2018–19.
Agronomy 13 02226 g001
Figure 2. Interaction effect of moisture stress and growth regulating compounds on crop growth rate (g m−2 day−1) of rice. (a) Interaction effect at panicle initiation to flowering stage during rabi 2017–18; (b) interaction effect at flowering to grain filling stage during rabi 2017–18; (c) interaction effect at panicle initiation to flowering stage during rabi 2018–19; (d) interaction effect at flowering to grain filling stage during rabi 2018–19.
Figure 2. Interaction effect of moisture stress and growth regulating compounds on crop growth rate (g m−2 day−1) of rice. (a) Interaction effect at panicle initiation to flowering stage during rabi 2017–18; (b) interaction effect at flowering to grain filling stage during rabi 2017–18; (c) interaction effect at panicle initiation to flowering stage during rabi 2018–19; (d) interaction effect at flowering to grain filling stage during rabi 2018–19.
Agronomy 13 02226 g002
Figure 3. Occurrence of Brown Plant Hopper at tillering stage in control plot.
Figure 3. Occurrence of Brown Plant Hopper at tillering stage in control plot.
Agronomy 13 02226 g003
Figure 4. Interaction effect of moisture stress and growth regulating compounds on the incidence of brown plant hopper (Number of BPH/5 hill) at different growth stages of rabi rice; (a) at active tillering to panicle initiation during rabi 2017–18; (b) panicle initiation to flowering during rabi 2017–18; (c) flowering to grain filling during rabi 2017–18; (d) active tillering to panicle initiation during rabi 2018–19; (e) panicle initiation to flowering during rabi 2018–19; (f) flowering to grain filling during rabi 2018–19.
Figure 4. Interaction effect of moisture stress and growth regulating compounds on the incidence of brown plant hopper (Number of BPH/5 hill) at different growth stages of rabi rice; (a) at active tillering to panicle initiation during rabi 2017–18; (b) panicle initiation to flowering during rabi 2017–18; (c) flowering to grain filling during rabi 2017–18; (d) active tillering to panicle initiation during rabi 2018–19; (e) panicle initiation to flowering during rabi 2018–19; (f) flowering to grain filling during rabi 2018–19.
Agronomy 13 02226 g004
Table 1. Soil characteristics of experimental field.
Table 1. Soil characteristics of experimental field.
Particulars2017–182018–19
RabiRabi
A. Mechanical analyses
Clay (%)45.846.2
Silt (%)11.712.1
Sand (%)42.441.4
Textural classClay loamClay loam
Bulk density (Mg m−3)1.341.34
B. Chemical analyses
Available nitrogen (kg ha−1)215.7224.2
Available phosphorus (kg ha−1)15.818.8
Available potassium (kg ha−1)420.8416.1
pH (1:2 of soil:water)8.108.26
Electrical conductivity (dS m−1)0.600.64
Organic carbon (%)0.620.63
Table 2. Effect of moisture stress and growth regulating compounds on plant height (cm) at different growth stages of rabi rice.
Table 2. Effect of moisture stress and growth regulating compounds on plant height (cm) at different growth stages of rabi rice.
TreatmentRabi 2017–18Rabi 2018–19
Active TilleringPanicle InitiationFloweringHarvestActive TilleringPanicle InitiationnFloweringHarvest
M158.380.2109.6112.358.580.7111.8114.7
M258.380.2101.7105.458.680.7104.1108.7
M358.380.3107.1108.158.780.8108.6109.0
M458.480.299.8102.558.680.7101.2100.1
SEd0.71.71.50.81.32.21.92.4
CD at 5%NSNS3.81.9NSNS4.75.9
S158.580.0102.5105.558.680.9104.2105.8
S258.280.2103.7106.558.580.7105.4107.7
S358.380.3106.8109.458.380.6108.1110.1
S458.280.1109.9113.258.880.7112.1113.4
S558.480.5100.3100.958.680.8102.4103.7
SEd1.12.03.00.71.92.21.91.6
CD at 5%NSNS6.21.5NSNS4.03.2
M at SSed2.13.95.61.53.74.64.03.7
CD at 5%NSNSNSNSNSNSNSNS
S at MSed2.23.96.11.43.84.43.93.2
CD at 5%NSNSNSNSNSNSNSNS
Main plot:Moisture stress (Induced)Sub plot:Growth regulating compounds
M1:Moisture stress free controlS1:Chlormequat chloride (200 ppm)
M2:Moisture stress at PI stageS2:Mepiquat chloride (200 ppm)
M3:Moisture stress at flowering stageS3:Brassinolide (0.1 ppm)
M4:Moisture stress at both PI and flowering stageS4:PPFM (1%)
S5:Control
Table 3. Effect of moisture stress and growth regulating compounds on tillers (number hill−1) at active tillering and panicle initiation stages of rice.
Table 3. Effect of moisture stress and growth regulating compounds on tillers (number hill−1) at active tillering and panicle initiation stages of rice.
TreatmentRabi 2017–18Rabi 2018–19
Active TilleringPanicle InitiationActive TilleringPanicle Initiation
M17.711.57.911.7
M27.711.57.911.9
M37.711.57.911.8
M47.711.57.911.8
Sed0.20.30.20.2
CD at 5%NSNSNSNS
S17.811.47.911.6
S27.611.77.911.8
S37.711.67.911.9
S47.711.77.911.7
S57.711.57.811.9
Sed0.20.40.20.2
CD at 5%NSNSNSNS
M at SSEd0.40.70.50.5
CD at 5%NSNSNSNS
S at MSEd0.40.70.50.5
CD at 5%NSNSNSNS
Main plot:Moisture stress (Induced)Sub plot:Growth regulating compounds
M1:Moisture stress free controlS1:Chlormequat chloride (200 ppm)
M2:Moisture stress at PI stageS2:Mepiquat chloride (200 ppm)
M3:Moisture stress at flowering stageS3:Brassinolide (0.1 ppm)
M4:Moisture stress at both PI and flowering stageS4:PPFM (1%)
S5:Control
Table 4. Effect of moisture stress and growth regulating compounds on tillers (number hill−1) at flowering stage of rice.
Table 4. Effect of moisture stress and growth regulating compounds on tillers (number hill−1) at flowering stage of rice.
TreatmentRabi 2017–18 Rabi 2018–19
M1M2M3M4Mean M1M2M3M4Mean
S113.212.412.913.513.0S113.112.812.413.512.9
S214.812.813.012.813.4S214.712.912.812.813.3
S313.614.414.813.614.0S314.414.514.812.514.0
S414.414.814.612.614.1S414.614.714.413.614.3
S512.112.812.111.812.2S512.111.913.511.812.3
Mean13.613.413.512.9 13.813.313.612.8
MSM at SS at M MSM at SS at M
SEd0.20.20.40.4 0.20.20.50.4
CD at 5%0.40.4NSNS 0.60.5NSNS
Main plot:Moisture stress (Induced)Sub plot:Growth regulating compounds
M1:Moisture stress free controlS1:Chlormequat chloride (200 ppm)
M2:Moisture stress at PI stageS2:Mepiquat chloride (200 ppm)
M3:Moisture stress at flowering stageS3:Brassinolide (0.1 ppm)
M4:Moisture stress at both PI and flowering stageS4:PPFM (1%)
S5:Control
Table 5. Effect of moisture stress and growth regulating compounds on tillers (number hill−1) at harvest stage of rice.
Table 5. Effect of moisture stress and growth regulating compounds on tillers (number hill−1) at harvest stage of rice.
TreatmentRabi 2017–18 Rabi 2018–19
M1M2M3M4Mean M1M2M3M4Mean
S113.012.412.913.613.0S113.112.812.513.613.0
S214.512.713.012.913.5S214.612.912.812.913.3
S314.514.414.612.714.1S314.614.414.512.614.1
S414.314.214.713.714.2S414.514.614.313.714.4
S512.314.012.311.412.2S512.412.314.111.412.4
Mean13.713.513.512.9 13.913.413.612.8
MSM at SS at M MSM at SS at M
SEd0.20.40.70.8 0.20.40.70.8
CD at 5%0.50.8NSNS 0.50.8NSNS
Main plot:Moisture stress (Induced)Sub plot:Growth regulating compounds
M1:Moisture stress free controlS1:Chlormequat chloride (200 ppm)
M2:Moisture stress at PI stageS2:Mepiquat chloride (200 ppm)
M3:Moisture stress at flowering stageS3:Brassinolide (0.1 ppm)
M4:Moisture stress at both PI and flowering stageS4:PPFM (1%)
S5:Control
Table 6. Effect of moisture stress and growth regulating compounds on dry matter production (kg ha−1) at different growth stages of rice.
Table 6. Effect of moisture stress and growth regulating compounds on dry matter production (kg ha−1) at different growth stages of rice.
Rabi 2017–18Rabi 2018–19
TreatmentActive TilleringPanicle InitiationFloweringActive TilleringPanicle InitiationFlowering
M1263555649105288359139124
M2266755878390281459378461
M3265155238827286959448860
M4265655678212284959328154
SEd298611981203166
CD at 5%NSNSNSNSNS407
S1267854838423289659388477
S2263856408571280859598595
S3267855818897282559058831
S4259954969179283559599105
S5266854778098290558988240
SEd3610514175176134
CD at 5%NSNSNSNSNS272
M at SSEd70207279156374291
CD at 5%NSNSNSNSNSNS
S at MSEd71211282149352267
CD at 5%NSNSNSNSNSNS
Main plot:Moisture stress (Induced)Sub plot:Growth regulating compounds
M1:Moisture stress free controlS1:Chlormequat chloride (200 ppm)
M2:Moisture stress at PI stageS2:Mepiquat chloride (200 ppm)
M3:Moisture stress at flowering stageS3:Brassinolide (0.1 ppm)
M4:Moisture stress at both PI and flowering stageS4:PPFM (1%)
Table 7. Effect of moisture stress and growth regulating compounds on dry matter production (kg ha−1) at harvest stage of rice.
Table 7. Effect of moisture stress and growth regulating compounds on dry matter production (kg ha−1) at harvest stage of rice.
TreatmentRabi 2017–18 Rabi 2018–19
M1M2M3M4Mean M1M2M3M4Mean
S113,70612,47511,31710,22511,931S114,07112,99111,78510,64812,374
S213,84712,61211,669985511,996S214,27313,13412,15110,26312,455
S314,23613,82512,43210,42812,730S314,42013,99812,59510,75612,942
S414,28112,97713,32610,81212,849S414,49013,16613,46111,26013,094
S513,46211,91010,512927011,289S514,01812,40310,947972611,773
Mean13,90612,76011,85110,118 14,25413,13812,18810,531
MSM at SS at M MSM at SS at M
SEd192166353332 180180368359
CD at 5%469338762675 439366785731
Main plot:Moisture stress (Induced)Sub plot:Growth regulating compounds
M1:Moisture stress free controlS1:Chlormequat chloride (200 ppm)
M2:Moisture stress at PI stageS2:Mepiquat chloride (200 ppm)
M3:Moisture stress at flowering stageS3:Brassinolide (0.1 ppm)
M4:Moisture stress at both PI and flowering stageS4:PPFM (1%)
Table 8. Effect of moisture stress and growth regulating compounds on specific leaf weight (g cm−2) at active tillering and panicle initiation stages of rice.
Table 8. Effect of moisture stress and growth regulating compounds on specific leaf weight (g cm−2) at active tillering and panicle initiation stages of rice.
TreatmentRabi 2017–18Rabi 2018–19
Active TilleringPanicle InitiationActive TilleringPanicle Initiation
M14.477.844.537.93
M24.487.854.527.92
M34.477.854.527.93
M44.477.864.527.92
SEd0.120.230.10.24
CD at 5%NSNSNSNS
S14.497.834.527.91
S24.457.864.547.92
S34.467.844.507.94
S44.497.874.517.95
S54.487.854.537.92
SEd0.130.260.120.27
CD at 5%NSNSNSNS
M at SSEd0.250.520.230.55
CD at 5%NSNSNSNS
S at MSEd0.250.530.240.55
CD at 5%NSNSNSNS
Main plot:Moisture stress (Induced)Sub plot:Growth regulating compounds
M1:Moisture stress free controlS1:Chlormequat chloride (200 ppm)
M2:Moisture stress at PI stageS2:Mepiquat chloride (200 ppm)
M3:Moisture stress at flowering stageS3:Brassinolide (0.1 ppm)
M4:Moisture stress at both PI and flowering stageS4:PPFM (1%)
S5:Control
Table 9. Effect of moisture stress and growth regulating compounds on specific leaf weight (g cm−2) at flowering stage of rice.
Table 9. Effect of moisture stress and growth regulating compounds on specific leaf weight (g cm−2) at flowering stage of rice.
TreatmentRabi 2017–18 Rabi 2018–19
M1M2M3M4Mean M1M2M3M4Mean
S111.638.7011.399.1110.21S111.7110.2211.0910.0810.78
S211.8410.1311.499.4710.73S212.399.2411.89.4510.72
S311.9410.3812.539.5510.92S312.3610.9412.9710.1711.61
S412.179.6712.549.9311.25S412.610.6813.6410.5511.87
S511.307.6610.888.389.55S511.588.1711.128.979.96
Mean11.789.3111.769.29 12.139.8512.129.85
MSM at SS at M MSM at SS at M
SEd0.190.240.470.48 0.180.200.380.39
CD at 5%0.460.49NSNS 0.450.400.800.79
Main plot:Moisture stress (Induced)Sub plot:Growth regulating compounds
M1:Moisture stress free controlS1:Chlormequat chloride (200 ppm)
M2:Moisture stress at PI stageS2:Mepiquat chloride (200 ppm)
M3:Moisture stress at flowering stageS3:Brassinolide (0.1 ppm)
M4:Moisture stress at both PI and flowering stageS4:PPFM (1%)
S5:Control
Table 10. Effect of moisture stress and growth regulating compounds on specific leaf weight (g cm−2) at grain filling stage of rice.
Table 10. Effect of moisture stress and growth regulating compounds on specific leaf weight (g cm−2) at grain filling stage of rice.
TreatmentRabi 2017–18 Rabi 2018–19
M1M2M3M4Mean M1M2M3M4Mean
S17.576.795.23.875.86S17.706.905.614.266.12
S27.326.275.514.195.82S27.456.385.293.945.77
S37.697.616.734.236.57S37.827.746.854.316.68
S47.987.27.024.616.70S48.127.337.154.696.82
S57.125.734.513.825.30S57.255.834.593.885.39
Mean7.546.725.804.14 7.676.845.904.22
MSM at SS at M MSM at SS at M
SEd0.050.110.200.21 0.120.100.210.20
CD at 5%0.130.220.410.43 0.280.200.460.41
Main plot:Moisture stress (Induced)Sub plot:Growth regulating compounds
M1:Moisture stress free controlS1:Chlormequat chloride (200 ppm)
M2:Moisture stress at PI stageS2:Mepiquat chloride (200 ppm)
M3:Moisture stress at flowering stageS3:Brassinolide (0.1 ppm)
M4:Moisture stress at both PI and flowering stageS4:PPFM (1%)
S5:Control
Table 11. Effect of moisture stress and growth regulating compounds on leaf area index at different growth stages of rice.
Table 11. Effect of moisture stress and growth regulating compounds on leaf area index at different growth stages of rice.
Rabi 2017–18Rabi 2018–19
TreatmentActive TilleringPanicle InitiationFloweringActive TilleringPanicle InitiationFlowering
M10.903.695.010.913.725.02
M20.903.683.710.913.733.72
M30.903.694.980.913.734.99
M40.903.693.690.923.733.70
SEd0.010.060.090.020.110.10
CD at 5%NSNS0.21NSNS0.26
S10.913.704.150.923.734.16
S20.903.684.350.913.714.36
S30.913.694.580.923.734.59
S40.883.674.650.893.744.66
S50.923.714.010.933.724.02
SEd0.030.140.100.030.120.09
CD at 5%NSNS0.21NSNS0.18
M at SSEd0.060.260.200.060.240.19
CD at 5%NSNSNSNSNSNS
S at MSEd0.050.280.200.070.240.17
CD at 5%NSNSNSNSNSNS
Main plot:Moisture stress (Induced)Sub plot:Growth regulating compounds
M1:Moisture stress free controlS1:Chlormequat chloride (200 ppm)
M2:Moisture stress at PI stageS2:Mepiquat chloride (200 ppm)
M3:Moisture stress at flowering stageS3:Brassinolide (0.1 ppm)
M4:Moisture stress at both PI and flowering stageS4:PPFM (1%)
S5:Control
Table 12. Effect of moisture stress and growth regulating compounds on leaf area index at harvest stage of rice.
Table 12. Effect of moisture stress and growth regulating compounds on leaf area index at harvest stage of rice.
TreatmentRabi 2016–17 Rabi 2017–18
M1M2M3M4Mean M1M2M3M4Mean
S14.183.683.212.683.44S14.433.933.462.933.69
S24.253.753.372.593.49S24.504.003.622.843.74
S34.354.353.852.843.85S34.604.604.103.094.10
S44.464.223.913.123.93S44.714.474.163.374.18
S54.173.332.752.483.18S54.423.583.002.733.43
Mean4.283.873.422.74 4.534.123.672.99
MSM at SS at M MSM at SS at M
SEd0.060.050.110.11 0.080.060.140.13
CD at 5%0.140.110.230.21 0.190.130.30.26
Main plot:Moisture stress (Induced)Sub plot:Growth regulating compounds
M1:Moisture stress free controlS1:Chlormequat chloride (200 ppm)
M2:Moisture stress at PI stageS2:Mepiquat chloride (200 ppm)
M3:Moisture stress at flowering stageS3:Brassinolide (0.1 ppm)
M4:Moisture stress at both PI and flowering stageS4:PPFM (1%)
S5:Control
Table 13. Effect of moisture stress and growth regulating compounds on crop growth rate (g m−2 day−1) at different growth stages of rabi rice 2017–18.
Table 13. Effect of moisture stress and growth regulating compounds on crop growth rate (g m−2 day−1) at different growth stages of rabi rice 2017–18.
TreatmentActive Tillering to Panicle Initiation Panicle Initiation to Flowering Flowering to Grain filling
M1M2M3M4Mean M1M2M3M4Mean M1M2M3M4Mean
S17.928.338.188.158.15S116.7513.0914.8511.0913.94S19.058.588.037.168.21
S27.908.248.228.278.16S216.8813.6914.9910.7514.08S29.138.678.307.288.35
S38.377.968.377.858.14S318.1515.6617.7312.8716.10S310.009.908.457.789.03
S48.018.108.168.288.13S417.2415.5916.7611.5615.29S49.909.618.908.699.28
S58.488.097.778.128.12S516.7211.3413.5210.3412.98S59.327.86.966.847.73
Mean8.148.148.148.13 17.1513.8715.5711.32 9.488.918.137.55
MSM at SS at M MSM at SSat M MSM at SS at M
SEd0.230.240.490.48 0.200.210.420.41 0.130.140.280.28
CD at 5%NSNSNSNS 0.490.420.890.84 0.310.290.600.58
Main plot:Moisture stress (Induced)Sub plot:Growth regulating compounds
M1:Moisture stress free controlS1:Chlormequat chloride (200 ppm)
M2:Moisture stress at PI stageS2:Mepiquat chloride (200 ppm)
M3:Moisture stress at flowering stageS3:Brassinolide (0.1 ppm)
M4:Moisture stress at both PI and flowering stageS4:PPFM (1%)
S5:Control
Table 14. Effect of moisture stress and growth regulating compounds on crop growth rate (g m−2 day−1) at different growth stages of rabi rice 2018–19.
Table 14. Effect of moisture stress and growth regulating compounds on crop growth rate (g m−2 day−1) at different growth stages of rabi rice 2018–19.
TreatmentActive Tillering to Panicle Initiation Panicle Initiation to Flowering Flowering to Grain filling
M1M2M3M4Mean M1M2M3M4Mean M1M2M3M4Mean
S18.308.448.238.538.38S117.7814.1215.8812.1214.98S110.339.869.318.449.49
S28.218.448.528.418.39S217.9114.7216.0211.7815.11S210.419.959.588.569.63
S38.538.208.608.088.35S318.2716.6917.7912.5916.34S311.2811.189.739.0610.31
S48.448.528.258.378.39S419.1816.6218.7613.9017.12S411.1810.8910.189.9710.56
S58.388.338.348.438.37S517.7512.3714.5511.3714.01S510.69.088.248.129.01
Mean8.378.398.398.36 18.1814.9016.6012.35 10.7610.199.418.83
MSM at SS at M MSM at SSat M MSM at SS at M
SEd0.240.380.720.76 0.240.230.470.45 0.150.150.310.30
CD at 5%NSNSNSNS 0.580.461.010.93 0.360.310.650.61
Main plot:Moisture stress (Induced)Sub plot:Growth regulating compounds
M1:Moisture stress free controlS1:Chlormequat chloride (200 ppm)
M2:Moisture stress at PI stageS2:Mepiquat chloride (200 ppm)
M3:Moisture stress at flowering stageS3:Brassinolide (0.1 ppm)
M4:Moisture stress at both PI and flowering stageS4:PPFM (1%)
S5:Control
Table 15. Effect of moisture stress and growth regulating compounds on the incidence of brown plant hopper (Number of BPH/5 hill) at different growth stages of rabi rice 2017–18.
Table 15. Effect of moisture stress and growth regulating compounds on the incidence of brown plant hopper (Number of BPH/5 hill) at different growth stages of rabi rice 2017–18.
TreatmentsRabi 2017–18
Active Tillering to Panicle initiation Panicle initiation to FloweringFlowering to Grain filling
M1M2M3M4Mean M1M2M3M4Mean M1M2M3M4Mean
S129.6726.3333.3324.6728.50S132.0027.3336.0022.3329.42S127.3326.6730.6722.3326.75
S227.3326.6731.0024.6727.42S230.6727.3332.3322.0028.08S225.0024.6726.3321.3324.33
S327.0023.3329.0021.0025.08S327.6725.0030.0020.3325.75S325.6720.3326.0018.6722.67
S422.6719.6725.0016.6721.00S423.3321.0026.6715.6721.67S419.6717.0019.0013.3317.25
S536.6732.3333.6729.0032.92S538.6733.3334.3325.6733.00S529.6729.0030.0025.3328.50
Mean28.6725.6730.4023.20 Mean30.4726.8031.8721.20 Mean25.4723.5326.4020.20
MainSubM at SS at M MainSubM at SS at M MainSubM at SS at M
S.Ed.1.1380.7201.7181.440 1.2300.9012.0281.802 0.6990.7521.5161.505
C.D. (P = 0.05)2.7841.4663.8082.932 3.0111.8354.4373.671 1.7101.5323.2213.065
Main plot:Moisture stress (Induced)Sub plot:Growth regulating compounds
M1:Moisture stress free controlS1:Chlormequat chloride (200 ppm)
M2:Moisture stress at PI stageS2:Mepiquat chloride (200 ppm)
M3:Moisture stress at flowering stageS3:Brassinolide (0.1 ppm)
M4:Moisture stress at both PI and flowering stageS4:PPFM (1%)
S5:Control
Table 16. Effect of moisture stress and growth regulating compounds on the incidence of brown plant hopper (Number of BPH/5 hill) at different growth stages of rabi rice 2018–19.
Table 16. Effect of moisture stress and growth regulating compounds on the incidence of brown plant hopper (Number of BPH/5 hill) at different growth stages of rabi rice 2018–19.
TreatmentsRabi 2018–19
Active Tillering to Panicle initiation Panicle initiation to FloweringFlowering to Grain filling
M1M2M3M4Mean M1M2M3M4Mean M1M2M3M4Mean
S130.3325.6732.0025.3328.33S132.0027.0035.0024.0029.50S129.6726.0028.0021.0026.17
S227.6725.3330.0024.6726.92S231.0025.3330.0023.6727.50S227.3324.0024.0020.3323.92
S326.6722.0029.6721.3324.92S326.6723.3324.3320.3323.67S325.3320.6723.3318.0021.83
S424.0019.0025.0014.3320.58S423.6721.3324.0016.0021.25S421.3315.3316.6714.0016.83
S532.3331.0033.3327.3331.00S537.0031.0033.0025.3331.58S529.6727.0028.6724.3327.42
Mean28.2024.6030.0022.60 30.0725.6029.2721.87 26.6722.6024.1319.53
MainSubM at SS at M MainSubM at SS at M MainSubM at SS at M
S.Ed.1.3140.7671.9001.535 1.1241.1572.3552.313 0.7711.1622.2172.324
C.D. (P = 0.05)3.2151.5634.2433.126 2.7512.3565.0164.711 1.8872.3674.6264.733
Main plot:Moisture stress (Induced)Sub plot:Growth regulating compounds
M1:Moisture stress free controlS1:Chlormequat chloride (200 ppm)
M2:Moisture stress at PI stageS2:Mepiquat chloride (200 ppm)
M3:Moisture stress at flowering stageS3:Brassinolide (0.1 ppm)
M4:Moisture stress at both PI and flowering stageS4:PPFM (1%)
S5:Control
Disclaimer/Publisher’s Note: The statements, opinions and data contained in all publications are solely those of the individual author(s) and contributor(s) and not of MDPI and/or the editor(s). MDPI and/or the editor(s) disclaim responsibility for any injury to people or property resulting from any ideas, methods, instructions or products referred to in the content.

Share and Cite

MDPI and ACS Style

Ajaykumar, R.; Murali Krishnasamy, S.; Dhanapal, R.; Ramkumar, G.; Megaladevi, P.; Manjubala, M.; Chandrasekaran, P.; Pradeeshkumar, T.; Navinkumar, C.; Harishankar, K. Mitigation of Abiotic and Biotic Stress Using Plant Growth Regulators in Rice. Agronomy 2023, 13, 2226. https://doi.org/10.3390/agronomy13092226

AMA Style

Ajaykumar R, Murali Krishnasamy S, Dhanapal R, Ramkumar G, Megaladevi P, Manjubala M, Chandrasekaran P, Pradeeshkumar T, Navinkumar C, Harishankar K. Mitigation of Abiotic and Biotic Stress Using Plant Growth Regulators in Rice. Agronomy. 2023; 13(9):2226. https://doi.org/10.3390/agronomy13092226

Chicago/Turabian Style

Ajaykumar, Ramasamy, Subramani Murali Krishnasamy, Rajendran Dhanapal, Govindaraju Ramkumar, Pachamuthu Megaladevi, Muthusamy Manjubala, Perumal Chandrasekaran, Thangavel Pradeeshkumar, Chinnaraju Navinkumar, and Kanthaswamy Harishankar. 2023. "Mitigation of Abiotic and Biotic Stress Using Plant Growth Regulators in Rice" Agronomy 13, no. 9: 2226. https://doi.org/10.3390/agronomy13092226

APA Style

Ajaykumar, R., Murali Krishnasamy, S., Dhanapal, R., Ramkumar, G., Megaladevi, P., Manjubala, M., Chandrasekaran, P., Pradeeshkumar, T., Navinkumar, C., & Harishankar, K. (2023). Mitigation of Abiotic and Biotic Stress Using Plant Growth Regulators in Rice. Agronomy, 13(9), 2226. https://doi.org/10.3390/agronomy13092226

Note that from the first issue of 2016, this journal uses article numbers instead of page numbers. See further details here.

Article Metrics

Back to TopTop