Abstract
A field trial was conducted in Tianjin to assess the impact of “three-compartment septic tank (SPT) + soil wastewater infiltration system (SWIS)” on vegetable crop soil, determine the SPT effluent quality, and establish the consumer safety of vegetables grown above the SWIS. The effluent total nitrogen (TN), total phosphorus (TP), ammonium-N (NH4+-N), chemical oxygen demand (COD), and 5-d biochemical oxygen demand (BOD5) levels all varied largely every month. The average COD failed to meet the criteria of the Standard for Irrigation Water Quality (No. GB5084-2021) but significantly influenced bacterial community distribution. Hierarchical clustering disclosed seasonal variation in SPT effluent. SWIS treatment of rural black-grey water significantly affected both the vegetable soil TN and TP content, and it promoted microbial community diversity and richness in deep soil. The treatment also increased the relative abundances of the beneficial bacterial genera Thiobacillus and Arthrobacter by more than 320% and decreased the relative abundance of the pathogenic bacterial genus Streptomyces in vegetable soil by more than 20.33%. The faecal coliform levels and ascaris egg mortality rates in the vegetable crop soils lay within published human health and safety thresholds both before and after SWIS treatment. All vegetable crops grown above the SWIS were fit for human consumption. The VC level in the vegetables planted in experimental households were higher than those for the vegetables planted in ordinary households. The present work provides reasonable theoretical and empirical bases for optimising the “SPT + SWIS” process and SPT discharge standards in rural areas.
1. Introduction
Toilet systems are vital sanitary facilities and characteristic of advanced civilisations []. The Third Agricultural Census of China reported that only 48.6% of all rural households in China were equipped with sanitary toilets whereas 2% of them lacked toilet access altogether. Therefore, rural toilet transformation is an important step in the process of improving the rural environment in China. Toilet facilities popularised during the transformation in rural China mainly include three-compartment septic tanks (SPT), double-pit alternates, and double-vault funnels []. However, SPTs dominate the rural “toilet revolution” of China as they operate on a simple principle, are rapidly constructed, are comparatively safe and cost effective, and generate high-quality fertiliser []. However, the improper treatment of SPT effluent could result in contamination of the ambient environment [].
SPT effluent is either returned to the field [] (local fertilisation) or subjected to centralised clearing (unified transportation), and is transported by underground pipes to a nearby centralized sewage treatment station. The latter is applicable mainly in suburban or rural areas with relatively better economic conditions. Hence, its practical use is limited []. The subsurface wastewater infiltration system (SWIS) [] is a novel approach towards the disposition of SPT effluent. It has attracted a great deal of attention in the rural areas of China as it is characterised by low energy consumption, high efficiency, and simple operation, and it harmlessly treats the pollutants in the SPT effluent [,]. Yang et al. [] built laboratory-scale SWIS to treat rural domestic sewage. The result showed that SWIS achieved a good chemical oxygen demand (COD) removal rate (>75%) and total phosphorus (TP) removal rate (>95%).
The SWIS directs SPT effluent into the deeper layers of soils with specific structure (detailed in Text S2) and permeability. The SWIS capitalises on the self-purification and self-regulation capacities of natural “soil-microorganism-plant” systems to eliminate the pollutants in effluent via a series of physical, chemical, and biological reactions []. However, the SWIS fails to recover the nitrogen and phosphorus in SPT effluent. Thus, these valuable plant macronutrients and others are wasted. Crops planted above the SWIS absorb the nutrients in the SPT effluent [], reduce the SWIS pollutant pressure (excessive concentrations of pollutants may cause blockage of the SWIS system or plant maturity delay), and improve its economic benefits. However, it is as yet unknown whether this approach is feasible for raising safe and nutritious vegetable crops. Numerous scholars have studied the SWIS in recent years []. Most prior research has concentrated on pollutant removal and the rates at which greenhouse gas (GHG) emissions from SWIS are mitigated. Nevertheless, earlier work ignored the impact of SWIS operation on the ambient soil environment. Furthermore, Poustie et al. [] confirmed that the application of SPT effluent may have beneficial or deleterious effects on the receiving soil-crop system and implications for human health. Therefore, it is important to know about the soil microbial functional after SWIS treatment in the long term.
In recent years, the condition of the rural aquatic environment in China has worsened as the untreated domestic sewage volumes have increased []. In addition, the domestic sewage in rural China has always been managed in accordance with the “Discharge Standard of Pollutants for Municipal Wastewater Treatment Plants” (No. GB18918-2002) []. However, domestic sewage collection and discharge differ between rural and urban China, which has worsened the rural aquatic environment seriously. Moreover, rural villagers may lack awareness or education regarding environmental protection and dispose of large volumes of inadequately treated and potentially contaminated black-grey water (refer to SPT effluent in this article) []. Therefore, the quality characteristics of SPT effluent (rural black-grey water) must be established and a scientific basis must be provided to formulate SPT effluent discharge standards.
Based on the findings and limitations of the foregoing research, the present study combined SPT with the SWIS and planted and grew various vegetables above the latter over two seasons, and we hypothesized that the treatment is beneficial to the soil environment and that the vegetables are safe for humans. The specific aims and objectives of this study were to: (1) explore the effects of SWIS treatment of rural black-grey water (SPT effluent) on vegetable soil environment; (2) evaluate the safety and efficacy of planting vegetables crops above the SWIS; and (3) identify the SPT effluent quality characteristics and provide a scientific basis for optimising the “SPT + SWIS” process.
2. Materials and Methods
2.1. Overview of the Experimental Area
The study site was located in Zhang Laoren Village (39°44′ N and 117°49′ E), Dongjituo Town, Ninghe District, Tianjin, China (Figure S1). It had no specific SPT effluent treatment facilities that could contaminate the ambient environment. The background values (BJ) of the soil physicochemical indices, the hygienic index, and the SPT effluent quality indices are shown in Tables S1 and S2, respectively. The daily pollutant load per unit SWIS area is shown in Table S3.
2.2. Experimental Design
The “SPT + SWIS” technical mode was designed in accordance with the terrain of Zhang Laoren Village (Text S1).
2.3. SWIS Setup
2.4. Analytical Methods
2.4.1. Sample Collection
Water samples (SPT effluent) were taken every other month between July 2020 and July 2021, and were designated H_1–H_13, respectively. The samples were collected in triplicate in sterile 500-mL bottles. One replicate was used to determine routine physicochemical indices, including ammonium-N (NH4+-N), nitrate-N (NO3−-N), total nitrogen (TN), TP, COD, and 5-d biochemical oxygen demand (BOD5) []. Another was used to detect the microbial community structure. Immediately after collection, each sample was drawn by vacuum through a filter membrane, which was then placed in a sterile tube and stored at −80 °C until subsequent analysis []. The H_0, H_1, and H_13 were used for α diversity analysis, and H_1–H_13 were used for species composition analysis, hierarchical clustering analysis, and RDA analysis.
The soil samples were divided into two seasons. The first season was from July 2020 to March 2021 with four treatments (no fertilization): blank control group (CK), Chinese cabbage group (BC), cucumber group (HG), and radish group (SLB). The second season was from April to July 2021 with five treatment groups (fertilization): blank control group (CK), leek fertilization group (JC1), leek non fertilization group (JC2), cucumber fertilization group (HG1), and cucumber non fertilization group (HG2). Topsoil (0–20 cm) and deep soil (20–40 cm) samples were randomly collected from each treatment group once a month on average. The topsoil and deep soil samples of the four treatment groups taken in July 2020 were designated CK1_1 and CK2_1, BC1_1 and BC2_1, HG1_1 and HG2_1, and SLB1_1 and SLB2_1, respectively (_1 means the soil in July 2020). The topsoil and deep soil samples of the four treatment groups taken in March 2021 were designated CK1_9 and CK2_9, BC1_9 and BC2_9, HG1_9 and HG2_9, and SLB1_9 and SLB2_9, respectively (_9 means the soil in March 2021). The designated five treatment groups in the second season are detailed in Text S3. All of the other soil samples had similar nomenclatures. Vegetable samples were harvested in November 2020.
2.4.2. Testing Methods
The testing standards and methods used on the water samples are listed in Table S4. Fresh soil samples were divided into three lots. The first lot was used to determine soil TN and TP. The samples were stored and naturally air-dried at room temperature and passed through a 100-mesh sieve (the specific test method is detailed in Text S3). The second lot was sent to PONY Testing International Group to determine its hygienic indices, including faecal coliform levels and ascaris egg mortality rates. The third lot was placed in sterile 50-mL tubes and stored at −80 °C until subsequent microbial community analysis.
Vegetable samples were harvested and sent to PONY Testing International Group to determine their pH and nitrite, vitamin C (VC), iron, reducing sugar, faecal coliform, and soluble sugar content, and to compare them against published national food safety standards (Table S5).
All physicochemical properties and hygiene data in this experiment were analyzed by using one-way ANOVA and Duncan multiple interval test in SPSS Statistics v. 26.0 (IBM Corp., Armonk, NY, USA). The least significant difference (LSD) test was used to identify significant differences among treatments (p < 0.05). All tables were plotted in WPS Office 12.1.0.15120, and all images were drawn with Origin 2018 64-bit 9.50.00 (OriginLab, Northampton, MA, USA).
2.4.3. Health Risk Assessment
Soil hygiene indicators should be referred to as Hygienic requirement for harmless disposal of night soil (GB7959-2012) and Hygienic specification for rural household latrine (GB19379-2012); The faecal coliform levels in vegetables should be referred to as Microbiological Examination of Food Hygiene-Enumeration of Coliforms (No. GB4789.3-2016).
2.5. Microbial Community Analyses
2.5.1. DNA Extraction and PCR Amplification
Total bacterial DNA was isolated from both water and soil samples using E.Z.N.A.® Soil Extraction Kits (Omega Bio-Tek, Norcross, GA, USA) and measured by UV-Vis spectrophotometry (Bio Photometer; Eppendorf GmbH, Hamburg, Germany). DNA quality was determined by 0.9% agarose gel electrophoresis. The target primers were 338F (5′-GCACCTAACTCCTACGGGAGGCAGCA-3′) and 806R (5′-GGACTACHVGGGTWTCTAAT-3′). PCR amplification and library construction were performed according to Liu et al. []. The PCR products were sequenced in triplicate on the Illumina Miseq PE300 platform (Illumina, San Diego, CA, USA) at Major Bio-pharm Technology Co., Ltd., Shanghai, China. Chimeras were removed, the sequences were extracted, and a 97% similarity threshold was adopted to cluster identical operational taxonomic units (OTUs) [].
2.5.2. Microbial Diversity Analysis
The Ace, Shannon, and Coverage alpha diversity indices were determined according to the OTU levels []. Microbial community histograms and heatmaps were plotted to identify the relative changes in phylum- and genus-level bacterial abundances among the samples. Hierarchical clustering (based on the Bray_Curtis distance algorithm) was used to reflect the relationship between each sample. A redundancy analysis (RDA) was used to reflect the relationships among the bacterial taxa and the environmental factors.
3. Results and Discussion
3.1. Characteristics of SPT Effluent Quality
3.1.1. Physicochemical Indexes
Changes in the physicochemical indexes of the SPT effluent are shown in Figure 1. The TN concentration (Figure 1a) was in the range 39.8 mg·L−1 (H_4)–185 mg·L−1 (H_13). The variation in TN declined from H_1 to H_4 and fluctuated from H_4 to H_12. The variation in NH4+-N concentration (Figure 1c) was consistent with that of TN. This may be due to the fact that under anaerobic conditions, the NH4+-N accounted for the most of the TN in the SPT effluent []. However, some of the NH4+-N was gradually consumed and converted to NO3−-N during transport (Figure 1d). For this reason, NH4+-N comprised only a small proportion of the TN in the effluent.

Figure 1.
Variation trend of physicochemical properties of the SPT effluent. Note: H_1–H_13 represents from July 2020 to July 2021, respectively. (a) TN; (b) TP; (c) NH4+-N; (d) NO3−-N; (e) CODcr; (f) BOD5.
The TP concentration (Figure 1b) was in the range 0.54–98.31 mg·L−1 and its median was 18.94 mg·L−1. The TP concentration decreased from 92.06 mg·L−1 (H_2) to 0.81 mg·L−1 (H_3). Thereafter, the TP concentration increased and then decreased. During this period, the TP concentration increased with decreasing temperature. Johnson et al. [] found that in the range of 15–30 °C, the efficiency of biological P removal increases with ambient temperature, and at temperatures > 30 °C, the efficiency of biological P removal declines. However, the main reason for the increase in phosphorus concentration at low temperatures may be the decrease in water consumption []. The TP concentrations measured here were similar to those reported by Lowe et al. [] for septic tank effluent, namely, range 0.24–33.05 mg L−1 and median 10 mg L−1. The high TP concentrations recorded for H_1 and H_2 may be explained by the relative increase in grey water discharge in summertime [].
Chemical oxygen demand (COD) is an important aquatic environment quality indicator []. However, the average COD (Figure 1e) here was 172 mg L−1 and it failed to meet the threshold published in the Chinese Standard for Irrigation Water Quality (No. GB5084-2021). Therefore, SPT effluent directly returned to the field could potentially harm the environment []. The concentration of BOD (Figure 1f) varies greatly, with a higher concentration at H_1 and H_2 but a sudden decrease at H_3, followed by a continuous upward trend. This may be due to the fact that the test household discharged livestock and poultry manure into the septic tank, which would result in a high BOD5 concentration in the effluent of the septic tank.
3.1.2. Microbial Community
The alpha diversity of the microbial community in the SPT effluent is shown in Table 1. The Coverage index was 0.99 for all samples. Hence, the sequencing results might reflect the actual situation of the microbial community []. The Shannon and Ace indices were analysed for H_0, H_1, and H_13 to explore changes in microbial community diversity and richness, respectively []. Table 1 shows no significant differences among H_0, H_1, and H_13 in terms of their Ace indices (p > 0.05), but significant differences among them in terms of their Shannon indices (p < 0.05). Thus, the microbial community richness of the SPT effluent significantly changed over time and underwent seasonal variation.

Table 1.
The SPT effluent H_0, H_1 and H_13 microbial community diversity index table.
A Venn diagram (Figure 2a) was plotted to display the microbial core of the SPT effluent. Sixty-two operational taxonomic units (OTUs) were shared among the months in a single year. Therefore, all samples had similar growth environments []. The relative monthly phylum-level abundances of the SPT bacterial community are shown in Figure 2b. The dominant phyla in all samples were Firmicutes, Proteobacteria, Bacteroidota, Actinobacteriota, and Synergistota, and they accounted for >90% of the total reads []. Other main phyla included Campylobacterota, Desulfobacterota, Verrucomicrobiota, and Patescibacteria. Miao et al. [] showed that Proteobacteria played dominant roles in biological denitrification and organic compound degradation. Vilela et al. [] demonstrated that Proteobacteria predominated in sewage, followed by the seasonally variable Actinobacteria and Bacteroidetes. Here, Proteobacteria were relatively more abundant at lower temperatures. Their average relative abundances were 33% in winter (H_5, H_6, H_7), 28.4% in spring (H_8, H_9, H_10), 26.5% in summer (H_11, H_12, H_13, H_1), and 5.8% in autumn (H_2, H_3, H_4) [].

Figure 2.
The SPT effluent: (a) Venn diagram at OTU level; (b) Compositional histograms of relative abundance of bacterial on phyla level (unit of numbers: percentage (%)); (c) Hierarchical clustering tree based on Bray-Curtis distances at phylum level; (d) RDA on phylum level.
Hierarchical clustering (Figure 2c) divided the 13 samples into four parts: (a) H_12, H_8, H_9, H_11, and H_7 (spring); (b) H_5 and H_1 (winter); (c) H_13 and H_10 (summer); and (d) H_2, H_3, H_4, and H_6 (autumn), and it revealed that the SPT effluent varied seasonally. Liu et al. [] reported wide seasonal variation in the microbial community. The microbial community structures were significantly more similar within than among seasons. Wei et al. [] demonstrated that seasonal change strongly influenced the bacterial community. The results of these studies were all similar to this study.
RDA (Figure 2d) was performed to disclose possible relationships among the microbial community and environmental factors (95% confidence interval, p < 0.05). RDA1 and RDA2 represented interpretations of 52.94% and 4.97%, respectively. TN and TP were the dominant factors affecting the microbial community. Firmictues, Acinobacteriota, and Synergistota abundances were positively correlated with TP, TN, BOD, COD, and NH4+-N, and were negatively correlated with NO3−-N. Zhang et al. [] reported that COD significantly affected the microbial community distribution. A similar finding was made in the present study. Wirth et al. [] reported that Actinobacteriota was effective in the degradation of complex organic compounds, although in this RDA, there was a positive correlation between Actinobacteriota and complex organic compounds, which verified the results of the previous study. However, the other dominant bacterium, Proteobacteria, was negatively correlated with the complex organic compounds, which can be attributed to the facts that the rural households locations were scattered and the residents had different farming and rest times, resulting in the large fluctuations in sewage quality and quantity []. Hence, Actinobacteriota plays an important role in the removal of organic pollutants in rural SPT.
3.2. Effects of SWIS Treatment of Rural Black-Grey Water on the Vegetable Garden Soil Environment
3.2.1. Soil Physicochemical Properties
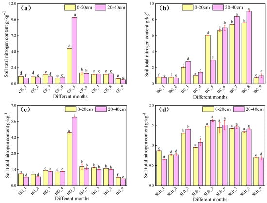
The TN levels (2020) in the different soil layers of the four treatment groups are shown in Figure 3. During the test period, the TN levels in the topsoil and the deep soil generally increased and then decreased under all treatments. The TN levels under CK, HG, and SLB reached their maximum in November (CK_5, HG_5, and SLB_5). There were relative increases in the amounts of faecal sewage discharged in November. Consequently, the sewage pollutant loads and, by extension, the amount of nitrogen adsorbed by the soil increased []. For the vegetable treatment groups (BC, HG, and SLB) between sowing (July 2020) and harvest (November 2020), the topsoil TN content increased by 589.77%, 356.93%, and 70.00%, respectively, and the deep soil TN content increased by 266.46%, 718.22%, and 148.70%, respectively. SWIS treatment of rural black-grey water increased the TN content in both the surface and the deep soils of garden vegetable fields. Compared with the TN level in the absence of SWIS treatment of rural black-grey water (Figure S3), the TN levels significantly differed between soil layers under all treatments, except the deep soil of BC (p < 0.05). Therefore, the SWIS treatment of rural black-grey water significantly influenced the TN content in both vegetable soil layers.

Figure 3.
Changes of soil total nitrogen content in four treatment groups of vegetable fields in 2020: (a) CK group, (b) BC group, (c) HG group, (d) SLB group, which are the same as below. Numbers 1–9: July 2020–March 2021, respectively. Different lowercase letters in a column indicate significant differences at the 0.05 level.
In the second season, the topsoil TN levels (Figure S4a,b) were higher for the fertilisation groups (JC11 and HG11) and CK1 than the non-fertilisation groups (JC21 and HG21), which was similar with a previous study []. However, the topsoil TN levels for the non-fertilisation groups (JC21 and HG21) were lower than that of CK, possibly due to root absorption under the SWIS treatment []. Wang et al. [] also found that from 0 cm to 60 cm depth, the cropland TN levels decreased regardless of the fertilisation treatment.
The TP levels in the various soil layers of the four treatment groups are shown in Figure S5. Overall, the TP content under each treatment varied little over different months. Under all treatments, the soil TP levels initially increased, then decreased, and then increased. From July 2020 (sowing) to November 2020 (harvest), the TP content increased under all treatments. For the BC, HG, and SLB treatments, the TP content of the topsoil was higher than that of the deep soil in November. This may due to the fact that the phosphorus in the rural black-grey water was absorbed and utilised by the roots after adsorption, precipitation, and microbial assimilation by the SWIS, and accumulated in the surface soil in the form of organic residues [].
Between November 2020, and February 2021, the topsoil TP content declined under all four treatments. As the temperature rose from March onwards, the TP content significantly increased in both soil layers under all four treatments. Phosphorus migration in the soil might be temperature sensitive. Soil phosphorus adsorption may increase with temperature []. Compared with the TP level of the soil not subjected to the SWIS-treated rural black-grey water (Figure S6), the TP levels significantly differed between soil layers under the other treatments (p < 0.05). Hence, the SWIS treatment of rural black-grey water significantly influenced the TP content in both vegetable soil layers.
We then sought to determine whether the SWIS treatment of rural black-grey water affects fertilisation and non-fertilisation in both vegetable field soil layers. We analysed the differences between both of the soil layers of each treatment group in 2021. For CK, JC1, and HG1, the topsoil TN levels (Figure S7a) were higher than those of the deep soil. Thus, the SWIS treatment of rural black-grey water combined with fertilisation increased the topsoil TN content, which, possibly due to the N-functional microorganism, preferred to be enriched on the topsoil under the “SWIS treatment + fertilisation” [].
3.2.2. Soil Microbial Community
Table 2 shows the alpha diversity indices for the topsoil and deep soil microbial communities in each vegetable field treatment group in 2020. For the topsoil, only the Shannon, Ace, and Coverage indices of the BC group were lower than those of BJ in March. The Shannon indices of the other three treatment groups were higher than that of BJ, and the difference was significant (p < 0.05). However, the Ace indices did not significantly differ among treatments (p > 0.05). For the deep soil, all three of the diversity indices in all of the treatment groups were higher than those of BJ in March, and the differences were significant. Hence, the SWIS treatment of rural black-grey water promoted microbial richness and diversity in the deep soils, but it had no significant effect on bacterial community richness in the surface soils of the vegetable fields. Cao et al. [] demonstrated that irrigation can significantly increase soil surface microorganisms, and this is contrary to the results of this study. This indicates that irrigation and SWIS have significantly different impacts on soil microbial communities in different soil layers. SWIS treatment and crop cultivation can increase plant root exudates in deep soil that result in the accumulation and increase in organic C, which ultimately leads to an increase in soil microorganisms and their functional diversity [].

Table 2.
Soil microbial community diversity index table of each soil layer in each treatment group of vegetable field (2020).
Table S6 shows the soil microbial community diversity indices for each soil layer in each vegetable field treatment group (2021). The Shannon and Ace indices in the fertilisation group increased in each soil layer from April to July. However, only the topsoil Shannon and Ace indices of CK decreased between April and July. Therefore, the bacterial community diversity and richness increased under the SWIS treatment of rural black-grey water combined with fertilisation, which could be forecasted owing to the suitable soil-micro environment for the growth of microorganisms by the SWIS treatment and fertilisation. Guo et al. [] reported that claimed water and middle N treatments could enhance soil microorganism richness, which is similar to the results of this study. Hence, it is a good strategy to plant crops on SWIS. Furthermore, the use of organic fertilisers may increase the soil organic matter (SOM) content [], thereby stimulating bacterial community growth and diversity [].
The relative genus-level abundances of the microbial community are shown in Figure 4. A heatmap revealed that the significant genus-level differences in soil microbial community were closely associated with vegetable type and fertilisation. Of the 30 relatively abundant bacterial genera, Arthrobacter, Gaiella, MND1, Sphingomonas, RB41, and Thiobacillus were abundant in both the topsoil (Figure 4a) and the deep soil (Figure 4b) of each vegetable field treatment group (2020). In 2020, Arthrobacter and Streptomyces were enriched in the topsoil (Figure 4a), whereas Thiobacillus and Lysobacter were depleted in all of the treatments relative to BJ. Compared with the deep soil of BJ, (Figure 4b), the relative abundances of Thiobacillus were 320%, 1006.6%, 1573.3%, and 3813.3% higher in the deep soils of CK2, BC2, HG2, and SLB2, respectively. By contrast, relative to the deep soil of BJ, the abundances of Streptomyces were 20.76%, 20.33%, 35.16%, and 48.30% lower in the deep soils of CK2, BC2, HG2, and SLB2, respectively.

Figure 4.
Heatmap of community composition of each treatment group in vegetable field. (a) vegetable topsoil (2020), (b) vegetable topsoil (2020), (c) vegetable soil in April (2021), (d) vegetable soil in July (2021). The values in the figure represent the relative abundance of the bacteria in the sample.
Arthrobacter is a Gram-positive bacterium, and is ubiquitous in air, water, and contaminated soil as well as on human skin. Nakajima [] indicated that Arthrobacter strains play key roles in polluted water treatment and heavy metal adsorption in the soil. Thiobacillus is a common colourless bacterium in soil and water that furnishes plants with the essential macronutrient sulphur. Lysobacter spp. are antagonistic to fungi, Gram-negative- and Gram-positive bacteria, and nematodes. They have unique sliding and bacteriolytic properties, and they may be highly useful for biological pest control. However, the potential human health risks associated with Lysobacter spp. remain to be determined []. Pathak et al. [] demonstrated that Thiobacillus ferrooxidans and T. thiooxidans remove and leach heavy metals from the environment and facilitate the ore smelting process. However, Streptomyces is a potential plant pathogen []. Overall, SWIS treatment of rural black-grey water increases the relative abundance of environmentally beneficial genera, such as Thiobacillus and Arthrobacter, while simultaneously reducing those of microbial pathogens, such as Streptomyces, in deep vegetable field soils.
In both April (Figure 4c) and July (Figure 4d) 2021, the relative Arthrobacter abundances were higher in the surface than the deep soil layers of the leek groups (JC1, JC2). Moreover, the relative Arthrobacter abundances in the surface and the deep soil layers of the leek groups were higher and lower, respectively, than those of the same soil layers of CK. For the cucumber fertilisation group, the relative Arthrobacter abundance was lower in the surface layer (HG11) than the deep soil layer (HG12). By contrast, the opposite was true for the cucumber non-fertilisation group (HG2). For the cucumber treatments, Thiobacillus was relatively more enriched and less abundant in July. The cucumber soil environment is conducive to Thiobacillus enrichment []. Organic fertilisation may also enrich specific bacteria capable of utilising these nutrients []. Sphingomonas spp. were enriched among the top 30 bacteria in the vegetable soil microbial community in July 2021, and it can promote plant growth []. In addition, the addition of organic fertiliser increases the SOM content and augments the ability of the soil to absorb and degrade pollutants [].
The RDA of the genus-level microbial community and environmental factors reflected the influences of the soil environmental factors on the soil microbial community (Figure 5). For the first-season vegetable soil (Figure 5a), the first and second canonical axes explained 17.20% and 16.48% of the total variance, respectively. NO3−-N, pH, and NH4+-N strongly influenced the soil bacterial community. There were significant differences among the bacterial communities in background soil (BJ1, BJ2) and vegetable soil (CK1, CK2, BC1, BC2, HG1, HG2, SLB1, and SLB2).

Figure 5.
RDA of the relationships between microbial community and soil physicochemical properties: (a) vegetable soil (2020), (b) vegetable soil in April (2021), (c) vegetable soil in July (2021).
The RDA also disclosed that the first two components explained 48.83% and 30.01% of the total variation in the vegetable soil in April (Figure 5b) and July (Figure 5c) 2021, respectively. For the vegetable soil in April 2021 (Figure 5b), TN (r2 = 0.7898, p < 0.001), EC (r2 = 0.683, p < 0.001), NO3−-N (r2 = 0.4179, p = 0.004), pH (r2 = 0.3727, p = 0.006), NH4+-N (r2 = 0.3302, p = 0.007), and TP (r2 = 0.2416, p = 0.021) significantly influenced the soil bacterial community []. However, the soil bacterial communities in the unfertilised vegetable soils in 2020 (Figure 5a) and the vegetable soil at harvest time in July 2021 (Figure 5c) were not significantly correlated with all of the environmental factors. Hence, fertilisation combined with SWIS treatment of rural black-grey water drives all soil microbial communities simultaneously and the TN content significantly affects them. These discoveries were consistent with the results of Wei et al. [] and Tang et al. []. Moreover, we also found that pH significantly influenced the vegetable field soil environment in both 2020 and 2021, and that it was significantly (p < 0.05) associated with the microbial community.
The soil layers of the fertilised (JC1, HG1) and non-fertilised (JC2, HG2) treatment groups were clearly differentiated after the April fertilisation treatment (Figure 5b), and all of the soil physicochemical indices except SMC (r2 = 0.1434, p = 0123) contributed to these differences. In July 2021 (Figure 5c), however, the soil microbial communities were separated only between HG11 and HG12. The microbial community might be unstable during this period []. Therefore, long-term monitoring is required to elucidate and model the responses of soil microbial communities to fertiliser amendments [].
3.2.3. Soil Hygienic and Sanitary Properties
The hygienic and sanitary properties of the vegetable field background and treatment soil layers in 2020 are shown in Table S7. The faecal coliform levels in both soil layers of all treatments were >>10−4, and ascaris egg mortality reached 100%. Hence, the faecal coliform levels met the thresholds of the Chinese standard Hygienic Requirements for Harmless Disposal of Nightsoil (No. GB 7959-2012). Moreover, the wet facility faecal coliform levels met the minimum requirements of the Hygienic Specification for Rural Household Latrines (No. GB19379-2012). In 2021, the faecal coliform levels were all >1.11 g and the ascaris egg mortality rate was 100% under all of the treatments. Thus, the SWIS treatment of rural black-grey water did not significantly alter the soil hygienic index of the garden vegetable field, and it maintained compliance with national sanitation and safety standards.
3.3. Effects of SWIS Treatment of Rural Black-Grey Water on Vegetable Harvest
We compared the safety and quality of vegetable crops raised on SWIS-treated soils against those of the same vegetables grown in ordinary households within the same village. The safety and quality indices are compared in Tables S8 and S9.
In 2020, the cabbage (BC), cucumber (HG), and water radish (SLB) grown in the experimental households had higher iron content than the same vegetables grown in the ordinary households (Table S8). The radishes grown in the experimental households also had higher Vitamin C (VC) content than those grown in the ordinary households. In 2021, the sugar content of the experimental household-grown BC and SLB, the iron content of the experimental household-grown BC, and the VC content of the experimental household-grown BC and HG were all higher than those of the same crops grown in the ordinary households (Table S9). Therefore, the nutritional value of the vegetables grown under the SWIS treatment was partially superior to that of the ordinary vegetables. Lu et al. [] showed that reclaimed wastewater irrigation increased relative tomato yield by 10.3% and improved the fruit soluble sugar content without adversely affecting the VC or soluble solids content. The impact of the SWIS nutrients on crops may possibly depend on the SPT effluent pollutant load []. However, excess nitrogen in the effluent may delay plant maturity and weaken stems, while excess phosphorus in the effluent may inhibit zinc uptake []. The levels of the foregoing nutrients may vary with septic tank construction specifications.
The faecal coliform levels in all vegetables grown in the experimental households (2020, 2021) and the ordinary households were all <3 MPN/g and met the threshold of the Chinese standard Microbiological Examination of Food Hygiene-Enumeration of Coliforms (No. GB4789.3-2016). No nitrite was detected in any vegetable harvested (2020, 2021). Overall, then, the vegetables grown on SWIS were safe for human consumption. Li et al. [] detected a few E. coli cells on the leaves of asparagus lettuce irrigated with secondary sewage effluent. However, Farhadkhani et al. [] used secondary wastewater and tap water in crop irrigation, and they found that both sources introduced E. coli to vegetables. In this case, the E. coli contamination might have originated from an external environmental source, such as birds or rodents []. Hence, the routine application of optimised SPT-SWIS in larger-scale vegetable crop cultivation is feasible.
4. Conclusions
The present study evaluated the influence of SWIS treatment of rural black-grey water on the physicochemical properties, microbial community abundance and diversity, and hygienic/sanitary characteristics of vegetable crop soil. We simultaneously assessed SPT effluent quality and the safety of vegetables raised above the SWIS. The changes in TN and NO3−-N content in the SPT effluent were similar. The monthly average COD failed to meet the published irrigation standard (No. GB5084-2021) and it significantly affected soil bacterial community distribution. The microbial community profile varied seasonally. SWIS treatment of rural black-grey water significantly influenced vegetable crop soil TN and TP content, promoted deep soil bacterial community alpha diversity, increased the relative abundances of the beneficial bacterial genera Thiobacillus and Arthrobacter, and decreased the relative abundance of the pathogenic bacterial genus Streptomyces. For soil hygiene index, the faecal coliform levels and the ascaris egg mortality rates met the criteria of the Chinese standards Nos. GB 7959-2012 and GB 19379-2012, respectively. The vegetables were safe and fit for human consumption, and they had certain nutritional value. Overall, the present study demonstrated that the “SPT + SWIS” process is beneficial to the soil environment in rural garden vegetable fields. This work provides a scientific basis for optimising the “SPT + SWIS” process and for ameliorating rural sewage discharge standards.
Supplementary Materials
The following supporting information can be downloaded at: https://www.mdpi.com/article/10.3390/agronomy13092206/s1, Figure S1. Location map of Zhanglaoren village. Figure S2. SWIS construction drawing. Figure S3. The TN content of each soil layer in each treatment group before and after SWIS treatment. Figure S4. (a) and (b) are the changes of TN in each soil layer at different periods, (c) and (d) are the changes of TP in each soil layer at different periods in 2021. Figure S5. Changes of soil total phosphorus content in four treatment groups of vegetable fields in 2020. Figure S6. The TP content of each soil layer in each treatment group before and after SWIS. Figure S7. The difference of (a) TN and (b) TP content between the two soil layers in each treatment every month. Table S1. Background values of soil physicochemical and sanitary indexes. Table S2. The effluent water quality index of the effluent of SPT (Before facility operation). Table S3. Daily of load pollutants in SWIS. Table S4. Test method and standard for the water quality index of the effluent of the SPT. Table S5. Vegetable sample index detection methods and standards. Table S6. Soil microbial community diversity index table of each soil layer in each treatment group of vegetable field (2021). Table S7. Hygiene properties of soil layers in each treatment group in vegetable field (2020). Table S8. Comparison of safety and quality indicators of vegetables grown by experimental households and ordinary households in 2020. Table S9. Comparison of safety and quality indicators of vegetables grown by experimental households and ordinary households in 2021. Text S1. Experimental design. Text S2. SWIS set up. Text S3. Designated five treatment groups in the second season. Text S4. Testing method of soil TN and TP.
Author Contributions
S.W. and L.L.: conceptualization, methodology, formal analysis, writing––original draft, funding acquisition. X.W.: methodology, experimental operation, formal analysis, visualization. C.Z. and X.Z.: supervision, project administration, conceptualization, funding acquisition, writing—review and editing. All authors have read and agreed to the published version of the manuscript.
Funding
This work was supported by Innovative Basic Research-Leading Talent Class C-Zheng Xiangqun.
Data Availability Statement
The data of this study are available from the correspondence author upon reasonable request.
Conflicts of Interest
The authors declare no conflict of interest.
References
- Liu, B.; Yang, B.; Zhang, C.; Wei, X.; Cao, H.; Zheng, X. Human Waste Substitute Strategies Enhanced Crop Yield, Crop Quality, and Soil Fertility in Vegetable Cultivation Soils in North China. Agronomy 2021, 11, 2232. [Google Scholar] [CrossRef]
- Cheng, S.; Li, Z.; Uddin, S.M.N.; Mang, H.P.; Zhou, X.; Zhang, J.; Zheng, L.; Zhang, L. Toilet revolution in China. J. Environ. Manag. 2018, 216, 347–356. [Google Scholar] [CrossRef] [PubMed]
- Zhou, X.; Li, Z.; Zheng, T.; Yan, Y.; Li, P.; Odey, E.A.; Mang, H.P.; Uddin, S.M.N. Review of global sanitation development. Environ. Int. 2018, 120, 246–261. [Google Scholar] [CrossRef] [PubMed]
- Liang, C.; Li, Y.; Chai, B.; Wu, H. Evaluating the effects of intermittent aeration and biochar addition on enhancing removal performance of subsurface wastewater infiltration systems with loess soil. Bioresour. Technol. Rep. 2019, 5, 12–19. [Google Scholar] [CrossRef]
- Li, W.; Liang, C.; Dong, L.; Zhao, X.; Wu, H. Accumulation and characteristics of fluorescent dissolved organic matter in loess soil-based subsurface wastewater infiltration system with aeration and biochar addition. Environ. Pollut. 2021, 269, 116100. [Google Scholar] [CrossRef]
- Jung, Y.T.; Narayanan, N.C.; Cheng, Y.L. Cost comparison of centralized and decentralized wastewater management systems using optimization model. J. Environ. Manag. 2018, 213, 90–97. [Google Scholar] [CrossRef]
- Yang, S.L.; Zheng, Y.F.; Mao, Y.X.; Xu, L.; Jin, Z.; Zhao, M.; Kong, H.N.; Huang, X.F.; Zheng, X.Y. Domestic wastewater treatment for single household via novel subsurface wastewater infiltration systems (SWISs) with NiiMi process: Performance and microbial community. J. Clean. Prod. 2021, 279, 123434. [Google Scholar] [CrossRef]
- Li, D.; Wang, X.; Chi, L.; Wang, J. The design and operation of subsurface wastewater infiltration systems for domestic wastewater. Water Environ. Res. 2019, 91, 843–854. [Google Scholar] [CrossRef]
- Li, Y.H.; Li, H.B.; Yang, L.; Wang, S.; Su, F.; Xu, X.Y. How does high C load affect nitrous oxide emission of subsurface wastewater infiltration system? Sci. Total Environ. 2020, 698, 134174. [Google Scholar] [CrossRef]
- Paranychianakis, N.V.; Angelakis, A.N.; Leverenz, H.; Tchobanoglous, G. Treatment of Wastewater With Slow Rate Systems: A Review of Treatment Processes and Plant Functions. Crit. Rev. Environ. Sci. Technol. 2006, 36, 187–259. [Google Scholar] [CrossRef]
- Ma, Y.; Cui, J.; Zheng, P.; Yuan, K.; Chu, S.; Mu, K.; Hu, L. Plant uptake in subsurface wastewater infiltration systems plays an important role in removing nitrogen from sewage. Ecol. Eng. 2018, 123, 193–201. [Google Scholar] [CrossRef]
- Yang, P.; Hou, R.; Yuan, R.; Wang, F.; Chen, Z.; Zhou, B.; Chen, H. Effect of intermittent operation and shunt wastewater on pollutant removal and microbial community changes in subsurface wastewater infiltration system. Process Saf. Environ. Prot. 2022, 165, 255–265. [Google Scholar] [CrossRef]
- Poustie, A.; Yang, Y.; Verburg, P.; Pagilla, K.; Hanigan, D. Reclaimed wastewater as a viable water source for agricultural irrigation: A review of food crop growth inhibition and promotion in the context of environmental change. Sci. Total Environ. 2020, 739, 139756. [Google Scholar] [CrossRef]
- Xu, Y.; Li, H.; Li, Y.; Zheng, X.; Zhang, C.; Gao, Y.; Chen, P.; Li, Q.; Tan, L. Systematically assess the advancing and limiting factors of using the multi-soil-layering system for treating rural sewage in China: From the economic, social, and environmental perspectives. J. Environ. Manag. 2022, 312, 114912. [Google Scholar] [CrossRef]
- Xie, Y.D.; Zhang, Q.H.; Dzakpasu, M.; Zheng, Y.C.; Tian, Y.; Jin, P.K.; Yang, S.J.; Wang, X.C. Towards the formulation of rural sewage discharge standards in China. Sci. Total Environ. 2021, 759, 143533. [Google Scholar] [CrossRef]
- Burt, T.P.; Howden, N.J.K.; Worrall, F.; Whelan, M.J.; Bieroza, M. Nitrate in United Kingdom Rivers: Policy and Its Outcomes Since 1970. Environ. Sci. Technol. 2011, 45, 175–181. [Google Scholar] [CrossRef]
- Li, Y.; Su, F.; Li, M.; Wang, Y.; Qian, J. Effects of freeze-thaw intensities on N2O release from subsurface wastewater infiltration system. J. Environ. Chem. Eng. 2023, 11, 110134. [Google Scholar] [CrossRef]
- Jia, L.; Cheng, X.; Fang, L.; Huang, X. Nitrogen removal in improved subsurface wastewater infiltration system: Mechanism, microbial indicators and the limitation of phosphorus. J. Environ. Manag. 2023, 335, 117456. [Google Scholar] [CrossRef]
- Liu, B.; Xia, H.; Jiang, C.; Riaz, M.; Yang, L.; Chen, Y.; Fan, X.; Xia, X. 14 year applications of chemical fertilizers and crop straw effects on soil labile organic carbon fractions, enzyme activities and microbial community in rice-wheat rotation of middle China. Sci. Total Environ. 2022, 841, 156608. [Google Scholar] [CrossRef]
- Blaxter, M.; Mann, J.; Chapman, T.; Thomas, F.; Whitton, C.; Floyd, R.; Abebe, E. Defining operational taxonomic units using DNA barcode data. Philos. Trans. R. Soc. B Biol. Sci. 2005, 360, 1935–1943. [Google Scholar] [CrossRef]
- Ren, J.; Liu, X.; Yang, W.; Yang, X.; Li, W.; Xia, Q.; Li, J.; Gao, Z.; Yang, Z. Rhizosphere soil properties; microbial community, and enzyme activities: Short-term responses to partial substitution of chemical fertilizer with organic manure. J. Environ. Manag. 2021, 299, 113650. [Google Scholar] [CrossRef] [PubMed]
- Chen, F.M.; Li, G.W.; Li, X.G.; Wang, H.Q.; Wu, H.B.; Li, J.X.; Li, C.L.; Li, W.; Zhang, L.Y.; Xi, B.D. The cotreatment of old landfill leachate and domestic sewage in rural areas by deep subsurface wastewater infiltration system (SWIS): Performance and bacterial community. Environ. Pollut. 2021, 274, 115800. [Google Scholar] [CrossRef] [PubMed]
- Johnson, K.; van Geest, J.; Kleerebezem, R.; van Loosdrecht, M.C.M. Short- and long-term temperature effects on aerobic polyhydroxybutyrate producing mixed cultures. Water Res. 2010, 44, 1689–1700. [Google Scholar] [CrossRef] [PubMed]
- Song, P.; Huang, G.; An, C.; Xin, X.; Zhang, P.; Chen, X.; Ren, S.; Xu, Z.; Yang, X. Exploring the decentralized treatment of sulfamethoxazole-contained poultry wastewater through vertical-flow multi-soil-layering systems in rural communities. Water Res. 2021, 188, 116480. [Google Scholar] [CrossRef] [PubMed]
- Lowe, K.S. Influent Constituent Characteristics of the Modern Waste Stream from Single Sources; IWA Publishing: London, UK, 2010; Volume 9. [Google Scholar] [CrossRef]
- Wang, C.; Feng, B.; Wang, P.; Guo, W.; Li, X.; Gao, H.; Zhang, B.; Chen, J. Revealing factors influencing spatial variation in the quantity and quality of rural domestic sewage discharge across China. Process Saf. Environ. Prot. 2022, 162, 200–210. [Google Scholar] [CrossRef]
- Yang, Y.; Zhan, X.; Wu, S.; Kang, M.; Guo, J.; Chen, F. Effect of hydraulic loading rate on pollutant removal efficiency in subsurface infiltration system under intermittent operation and micro-power aeration. Bioresour. Technol. 2016, 205, 174–182. [Google Scholar] [CrossRef]
- Dong, H.; Yuan, X.; Wang, W.; Qiang, Z. Occurrence and removal of antibiotics in ecological and conventional wastewater treatment processes: A field study. J. Environ. Manag. 2016, 178, 11–19. [Google Scholar] [CrossRef]
- Zhang, Y.; Li, M.; Dong, L.; Han, C.; Li, M.; Wu, H. Effects of biochar dosage on treatment performance, enzyme activity and microbial community in aerated constructed wetlands for treating low C/N domestic sewage. Environ. Technol. Innov. 2021, 24, 101919. [Google Scholar] [CrossRef]
- Chen, Z.; Li, Y.; Peng, Y.; Mironov, V.; Chen, J.; Jin, H.; Zhang, S. Feasibility of sewage sludge and food waste aerobic co-composting: Physicochemical properties, microbial community structures, and contradiction between microbial metabolic activity and safety risks. Sci. Total Environ. 2022, 825, 154047. [Google Scholar] [CrossRef]
- Fu, J.; Yan, B.; Gui, S.; Fu, Y.; Xia, S. Anaerobic co-digestion of thermo-alkaline pretreated microalgae and sewage sludge: Methane potential and microbial community. J. Environ. Sci. 2023, 127, 133–142. [Google Scholar] [CrossRef]
- Sheng, Q.; Lu, Y.; Yuan, S.; Li, X.; Dai, X.; Guo, Y.; Dong, B. Effect of nitrite on hydrolysis-acidification, biogas production and microbial community in semi-continuous two-phase anaerobic digestion of sewage sludge. J. Environ. Sci. 2023, 126, 434–444. [Google Scholar] [CrossRef] [PubMed]
- Miao, Y.; Liao, R.; Zhang, X.X.; Wang, Y.; Wang, Z.; Shi, P.; Liu, B.; Li, A. Metagenomic insights into Cr(VI) effect on microbial communities and functional genes of an expanded granular sludge bed reactor treating high-nitrate wastewater. Water Res. 2015, 76, 43–52. [Google Scholar] [CrossRef] [PubMed]
- Vilela, P.B.; Starling, M.C.V.M.; Neto, R.P.M.; de Souza, F.A.R.; Pires, G.F.F.; Amorim, C.C. Solar photo-Fenton mediated by alternative oxidants for MWWTP effluent quality improvement: Impact on microbial community, priority pathogens and removal of antibiotic-resistant genes. Chem. Eng. J. 2022, 441, 136060. [Google Scholar] [CrossRef]
- Zhang, B.; Yu, Q.; Yan, G.; Zhu, H.; Xu, X.Y.; Zhu, L. Seasonal bacterial community succession in four typical wastewater treatment plants: Correlations between core microbes and process performance. Sci. Rep. 2018, 8, 4566. [Google Scholar] [CrossRef]
- Liu, T.; Liu, S.; Zheng, M.; Chen, Q.; Ni, J. Performance Assessment of Full-Scale Wastewater Treatment Plants Based on Seasonal Variability of Microbial Communities via High-Throughput Sequencing. PLoS ONE 2016, 11, e0152998. [Google Scholar] [CrossRef] [PubMed]
- Wei, Z.; Liu, Y.; Feng, K.; Li, S.; Wang, S.; Jin, D.; Zhang, Y.; Chen, H.; Yin, H.; Xu, M.; et al. The divergence between fungal and bacterial communities in seasonal and spatial variations of wastewater treatment plants. Sci. Total Environ. 2018, 628–629, 969–978. [Google Scholar] [CrossRef]
- Zhang, L.; Shen, Z.; Fang, W.; Gao, G. Composition of bacterial communities in municipal wastewater treatment plant. Sci. Total Environ. 2019, 689, 1181–1191. [Google Scholar] [CrossRef]
- Wirth, R.; Pap, B.; Dudits, D.; Kakuk, B.; Bagi, Z.; Shetty, P.; Kovacs, K.L.; Maroti, G. Genome-centric investigation of anaerobic digestion using sustainable second and third generation substrates. J. Biotechnol. 2021, 339, 53–64. [Google Scholar] [CrossRef]
- Peng, X.; Yang, W.; Jin, Q.; Su, S.; Guo, P.; Li, M.; Liu, H.; Li, W. Biofilter-constructed wetland-trophic pond system: A new strategy for effective sewage treatment and agricultural irrigation in rural area. J. Environ. Manag. 2023, 332, 117436. [Google Scholar] [CrossRef]
- Li, Y.; Cheng, S.; Li, Z.; Song, H.; Guo, M.; Li, Z.; Mang, H.P.; Xu, Y.; Chen, C.; Basandorj, D.; et al. Using system dynamics to assess the complexity of rural toilet retrofitting: Case study in eastern China. J. Environ. Manag. 2021, 280, 111655. [Google Scholar] [CrossRef]
- Han, J.; Dong, Y.; Zhang, M. Chemical fertilizer reduction with organic fertilizer effectively improve soil fertility and microbial community from newly cultivated land in the Loess Plateau of China. Appl. Soil Ecol. 2021, 165, 103966. [Google Scholar] [CrossRef]
- Qin, S.; Huang, F.; Jiang, B.; Jia, L. Evaluation of the removal performance in long-term operation of bioaugmented subsurface wastewater infiltration systems under a high hydraulic loading rate. Environ. Technol. Innov. 2021, 24, 101918. [Google Scholar] [CrossRef]
- Lehmann, J.; Lan, Z.; Hyland, C.; Sato, S.; Solomon, D.; Ketterings, Q.M. Long-term dynamics of phosphorus forms and retention in manure-amended soils. Environ. Sci. Technol. 2005, 39, 6672. [Google Scholar] [CrossRef]
- He, J.; He, Y.; Gao, W.; Chen, Y.; Ma, G.; Ji, R.; Liu, X. Soil depth and agricultural irrigation activities drive variation in microbial abundance and nitrogen cycling. Catena 2022, 219, 106596. [Google Scholar] [CrossRef]
- Haoyu, C.; Bo, Y.; Tao, Z.; Bo, L.; Chunxue, Z.; Xiaocheng, W. Rural mixed pond water irrigation affected microbial community and eco-enzymatic stoichiometry of soil profiles. Appl. Soil Ecol. 2023, 188, 104863. [Google Scholar] [CrossRef]
- Castro, H.; Fortunel, C.; Freitas, H. Effects of land abandonment on plant litter decomposition in a Montado system: Relation to litter chemistry and community functional parameters. Plant Soil 2010, 333, 181–190. [Google Scholar] [CrossRef]
- Guo, W.; Andersen, M.N.; Qi, X.-B.; Li, P.; Li, Z.-Y.; Fan, X.-Y.; Zhou, Y. Effects of reclaimed water irrigation and nitrogen fertilization on the chemical properties and microbial community of soil. J. Integr. Agric. 2017, 16, 679–690. [Google Scholar] [CrossRef]
- Sun, R.; Zhang, X.-X.; Guo, X.; Wang, D.; Chu, H. Bacterial diversity in soils subjected to long-term chemical fertilization can be more stably maintained with the addition of livestock manure than wheat straw. Soil Biol. Biochem. 2015, 88, 9–18. [Google Scholar] [CrossRef]
- Nakajima, A. Electron spin resonance study of copper biosorption by bacteria. Water Res. 2002, 36, 2091–2097. [Google Scholar] [CrossRef]
- Hayward, A.C.; Fegan, N.; Fegan, M.; Stirling, G.R. Stenotrophomonas and Lysobacter: Ubiquitous plant-associated gamma-proteobacteria of developing significance in applied microbiology. J. Appl. Microbiol. 2010, 108, 756–770. [Google Scholar] [CrossRef]
- Pathak, A.; Dastidar, M.G.; Sreekrishnan, T.R. Bioleaching of heavy metals from sewage sludge by indigenous iron-oxidizing microorganisms using ammonium ferrous sulfate and ferrous sulfate as energy sources: A comparative study. J. Hazard. Mater. 2009, 171, 273–278. [Google Scholar] [CrossRef] [PubMed]
- Cha, J.Y.; Han, S.; Hong, H.J.; Cho, H.; Kim, D.; Kwon, Y.; Kwon, S.K.; Crusemann, M.; Lee, Y.B.; Kim, J.F.; et al. Microbial and biochemical basis of a Fusarium wilt-suppressive soil. ISME J. 2016, 10, 119–129. [Google Scholar] [CrossRef] [PubMed]
- Du, T.-Y.; He, H.-Y.; Zhang, Q.; Lu, L.; Mao, W.-J.; Zhai, M.-Z. Positive effects of organic fertilizers and biofertilizers on soil microbial community composition and walnut yield. Appl. Soil Ecol. 2022, 175, 104457. [Google Scholar] [CrossRef]
- Wang, J.; Song, Y.; Ma, T.; Raza, W.; Li, J.; Howland, J.G.; Huang, Q.; Shen, Q. Impacts of inorganic and organic fertilization treatments on bacterial and fungal communities in a paddy soil. Appl. Soil Ecol. 2017, 112, 42–50. [Google Scholar] [CrossRef]
- Xue, J.; Shi, K.; Chen, C.; Bai, Y.; Cui, Q.; Li, N.; Fu, X.; Qiao, Y. Evaluation of response of dynamics change in bioaugmentation process in diesel-polluted seawater via high-throughput sequencing: Degradation characteristic, community structure, functional genes. J. Hazard. Mater. 2021, 403, 123569. [Google Scholar] [CrossRef]
- Zhanhui, Z.; Congzhi, Z.; Jiabao, Z.; Changhua, L.; Qicong, W. Fertilizer impacts on soil aggregation and aggregate-associated organic components. Plant Soil Environ. 2018, 64, 338–343. [Google Scholar]
- Li, R.; Tao, R.; Ling, N.; Chu, G. Chemical, organic and bio-fertilizer management practices effect on soil physicochemical property and antagonistic bacteria abundance of a cotton field: Implications for soil biological quality. Soil Tillage Res. 2017, 167, 30–38. [Google Scholar] [CrossRef]
- Wei, M.; Hu, G.; Wang, H.; Bai, E.; Lou, Y.; Zhang, A.; Zhuge, Y. 35 years of manure and chemical fertilizer application alters soil microbial community composition in a Fluvo-aquic soil in Northern China. Eur. J. Soil Biol. 2017, 82, 27–34. [Google Scholar] [CrossRef]
- Tang, Q.; Xia, Y.; Ti, C.; Shan, J.; Zhou, W.; Li, C.; Yan, X.; Yan, X. Partial Organic Fertilizer Substitution Promotes Soil Multifunctionality by Increasing Microbial Community Diversity and Complexity. Pedosphere 2022, 33, 407–420. [Google Scholar] [CrossRef]
- Zhao, J.; Ni, T.; Li, Y.; Xiong, W.; Ran, W.; Shen, B.; Shen, Q.; Zhang, R. Responses of bacterial communities in arable soils in a rice-wheat cropping system to different fertilizer regimes and sampling times. PLoS ONE 2014, 9, e85301. [Google Scholar] [CrossRef]
- Bei, S.; Zhang, Y.; Li, T.; Christie, P.; Li, X.; Zhang, J. Response of the soil microbial community to different fertilizer inputs in a wheat-maize rotation on a calcareous soil. Agric. Ecosyst. Environ. 2018, 260, 58–69. [Google Scholar] [CrossRef]
- Lu, S.; Zhang, X.; Liang, P. Influence of drip irrigation by reclaimed water on the dynamic change of the nitrogen element in soil and tomato yield and quality. J. Clean. Prod. 2016, 139, 561–566. [Google Scholar] [CrossRef]
- Lyu, S.; Wu, L.; Wen, X.; Wang, J.; Chen, W. Effects of reclaimed wastewater irrigation on soil-crop systems in China: A review. Sci. Total Environ. 2022, 813, 152531. [Google Scholar] [CrossRef] [PubMed]
- Wu, W.; Hu, Y.; Guan, X.; Xu, L. Advances in research of reclaimed water irrigation in China. Irrig. Drain. 2020, 69, 119–126. [Google Scholar] [CrossRef]
- Li, J.; Wen, J. Effects of water managements on transport of E. coli in soil-plant system for drip irrigation applying secondary sewage effluent. Agric. Water Manag. 2016, 178, 12–20. [Google Scholar] [CrossRef]
- Farhadkhani, M.; Nikaeen, M.; Yadegarfar, G.; Hatamzadeh, M.; Pourmohammadbagher, H.; Sahbaei, Z.; Rahmani, H.R. Effects of irrigation with secondary treated wastewater on physicochemical and microbial properties of soil and produce safety in a semi-arid area. Water Res. 2018, 144, 356–364. [Google Scholar] [CrossRef] [PubMed]
- Orlofsky, E.; Bernstein, N.; Sacks, M.; Vonshak, A.; Benami, M.; Kundu, A.; Maki, M.; Smith, W.; Wuertz, S.; Shapiro, K.; et al. Comparable levels of microbial contamination in soil and on tomato crops after drip irrigation with treated wastewater or potable water. Agric. Ecosyst. Environ. 2016, 215, 140–150. [Google Scholar] [CrossRef]
Disclaimer/Publisher’s Note: The statements, opinions and data contained in all publications are solely those of the individual author(s) and contributor(s) and not of MDPI and/or the editor(s). MDPI and/or the editor(s) disclaim responsibility for any injury to people or property resulting from any ideas, methods, instructions or products referred to in the content. |
© 2023 by the authors. Licensee MDPI, Basel, Switzerland. This article is an open access article distributed under the terms and conditions of the Creative Commons Attribution (CC BY) license (https://creativecommons.org/licenses/by/4.0/).