The Study of the Impact of Complex Foliar Fertilization on the Yield and Quality of Sunflower Seeds (Helianhtus annuus L.) by Principal Component Analysis
Abstract
1. Introduction
2. Materials and Methods
2.1. Natural Framework of Experimentation
2.2. Geomorphology and the Physical and Chemical Properties of the Soil
2.3. Sowing and Fertilization, Experimental Scheme
2.4. Methods of Chemical Analysis and Statistical Processing of Data
- Humidity (%): Drying at 130 °C, using ovens (POL-EKO-Aparatura, Nitech, Bucharest, Romania), SR EN ISO 712:2010 [41].
- Ash (%): Calcination at 550 °C, using a calcination furnace (Lenton Thermal Design, Derbyshire, UK), SR ISO 2171:2002 [42].
- Raw protein (%): Classical Kjeldahl method, using VELP kit (DK20 heating digestion and UDK 149 distillation unit) [43].
- Dietary fiber (%): Using the FOSS Fibertec device and method 2010 & M6 [46].
- Carbohydrates (%): Determined by the calculation.
3. Results and Discussion
3.1. Impact on Production
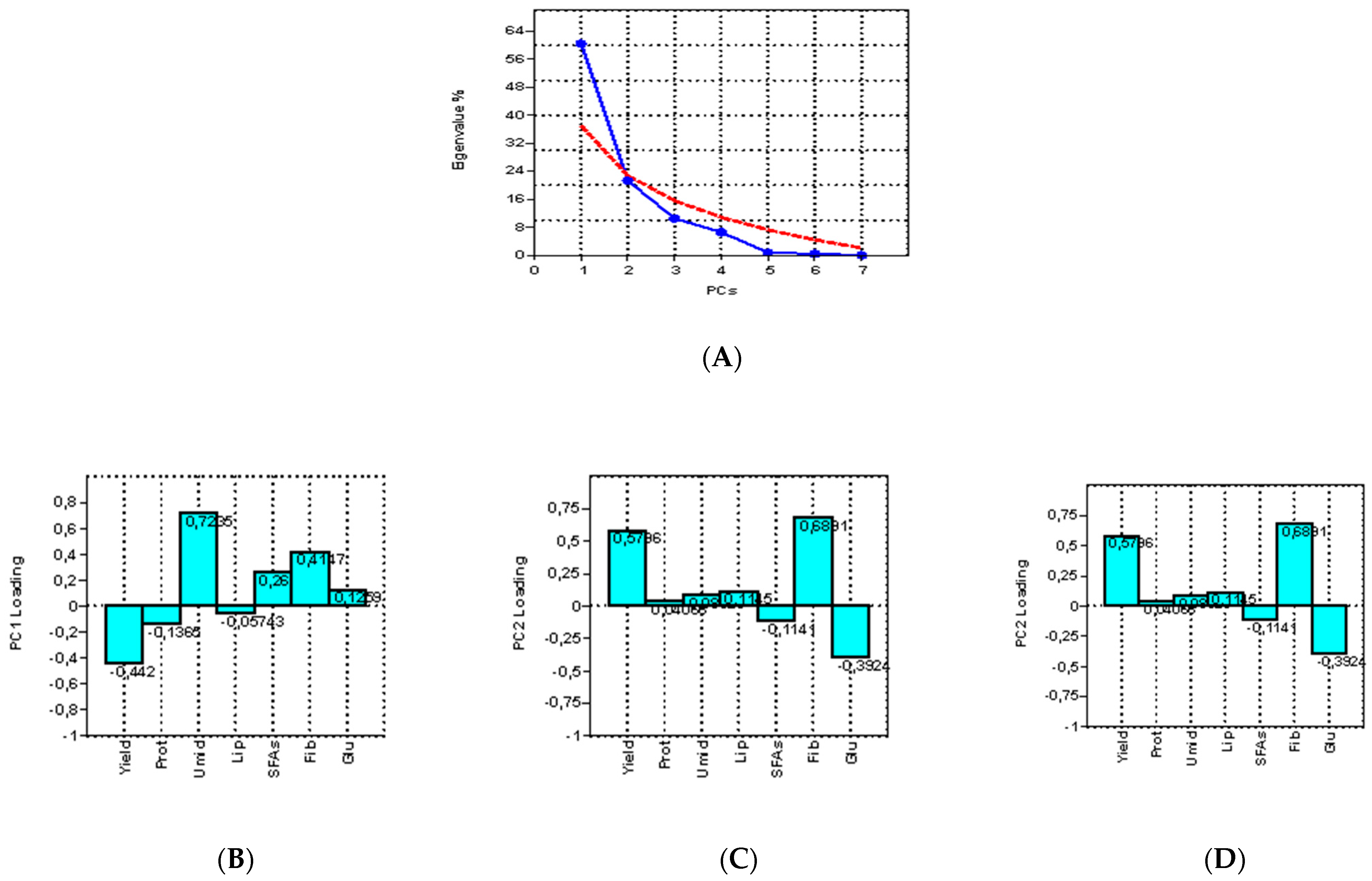
3.2. The Impact on the Content of Proteins, Lipids, Carbohydrates, and Fiber
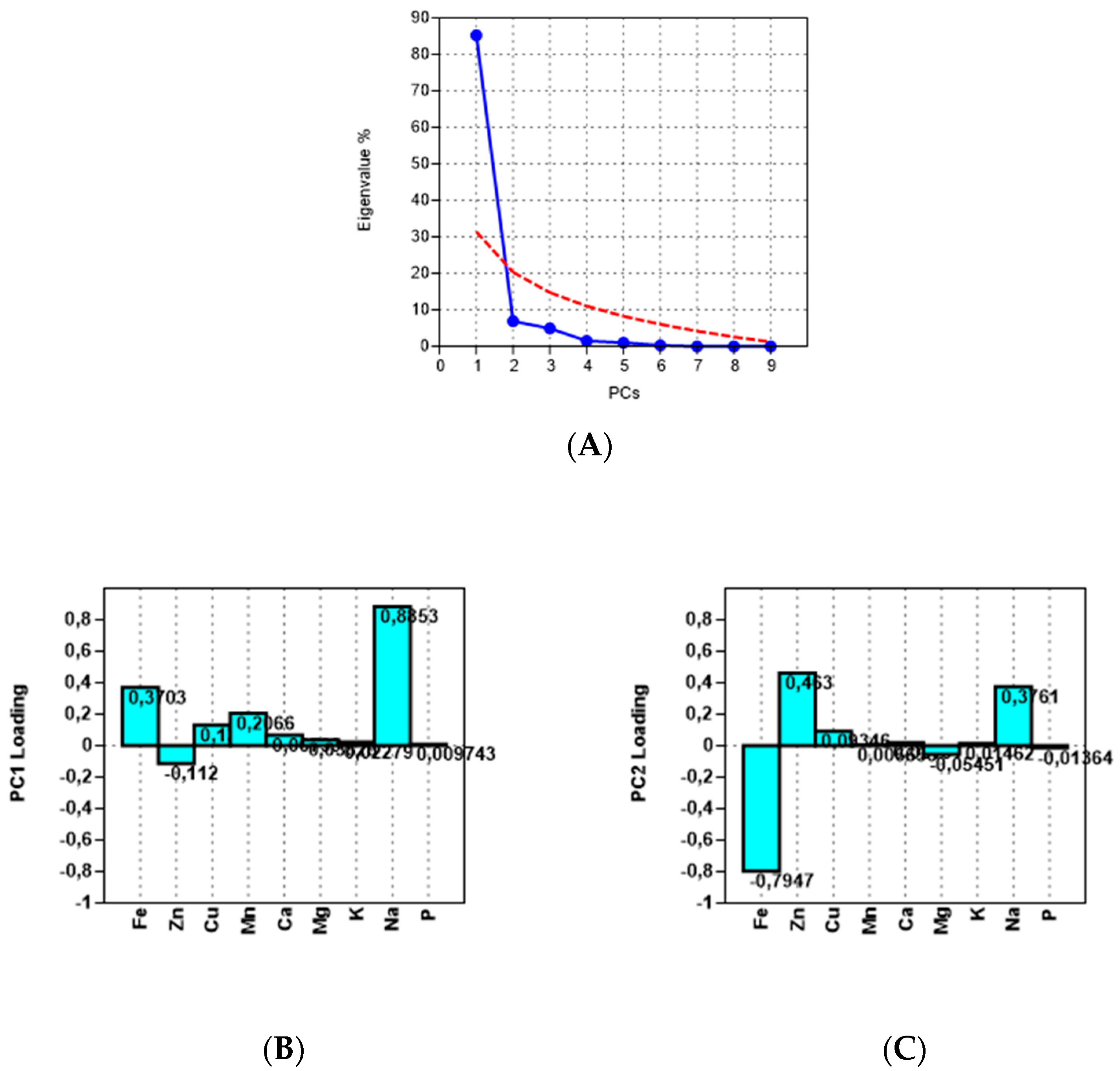
3.3. Impact on Mineral Contents
3.3.1. The Impact on Macroelements
3.3.2. The Impact of Foliar Fertilization on the Content of Essential Microelements
4. Conclusions
Author Contributions
Funding
Acknowledgments
Conflicts of Interest
References
- Available online: https://insse.ro/cms/ro/tags/anuarul-statistic-al-romaniei (accessed on 12 April 2023).
- Available online: https://ec.europa.eu/eurostat/cros/content/institutul-national-de-statistica-romania_en (accessed on 2 May 2023).
- The Food and Agriculture Organization (FAO). Available online: www.fao.org/faostat/en/#compare (accessed on 9 March 2022).
- Aboudrare, A.; Debaeke, P.; Bouaziz, A.; Chekli, H. Effects of soil tillage and fallow management on soil water storage and sunflower production in a semi-arid Mediterranean climate. Agric. Water Manag. 2006, 83, 183–196. [Google Scholar] [CrossRef]
- Aowad, M.M.; Mohamed, A.A.A. The effect of bio, organic and mineral fertilization on productivity of sunflower seed and oil yields. J. Agric. Res. 2009, 35, 1013–1027. [Google Scholar]
- Radulov, I.; Lațo, A.; Berbecea, A.; Lațo, I.; Crista, F. Nitrate Pollution of Water in Romanian Serbia Cross-Border Area as a Consequence of Agricultural Practices. In Proceedings of the 16th International Multidisciplinary Scientific GeoConference, SGEM 2016, Vienna, Austria, 2–5 November 2016; Volume III, p. 205. [Google Scholar]
- Fernández, V.; Sotiropoulos, T.; Brown, P. Foliar Fertilization: Scientific Principles and Field Practices; International Fertilizer Industry Association (IFA): Paris, France, 2013. [Google Scholar]
- Fernández, V.; Bahamonde, H.A.; Peguero-Pina, J.J.; Gil-Pelegrín, E.; Sancho-Knapik, D.; Gil, L.; Goldbach, H.E.; Eichert, T. Physicochemical properties of plant cuticles and their functional and ecological significance. J. Exp. Bot. 2017, 68, 5293–5306. [Google Scholar] [CrossRef] [PubMed]
- Li, C.; Wang, P.; Van der Ent, A.; Cheng, M.; Jiang, H.; Read, T.L.; Lombi, E.; Tang, C.; de Jonge, M.D.; Menzies, N.W.; et al. Absorption of foliar-applied Zn in sunflower (Helianthus annuus): Importance of the cuticle, stomata and trichomes. Ann. Bot. 2019, 123, 57–68. [Google Scholar] [CrossRef] [PubMed]
- Schreiber, L.; Schönherr, J. Water and Solute Permeability of Plant Cuticles. Measurement and Data Analysis; Springer: Berlin/Heidelberg, Germany, 2009; pp. 1–29. [Google Scholar] [CrossRef]
- Marschner, H. Mineral Nutrition of Higher Plants; Academic Press: San Diego, CA, USA, 1995. [Google Scholar] [CrossRef]
- Li, S.T.; Duan, Y.; Guo, T.W.; Zhang, P.L.; He, P.; Majumdar, K. Sunflower response to potassium fertilization and nutrient requirement estimation. J. Integr. Agric. 2018, 17, 2802–2812. [Google Scholar] [CrossRef]
- Zubillaga, M.M.; Aristi, J.P.; Lavado, R.S. Effect of Phosphorus and Nitrogen Fertilization on Sunflower (Helianthus annus L.) Nitrogen Uptake and Yield. J. Agron. Crop Sci. 2002, 188, 267–274. [Google Scholar] [CrossRef]
- Singh, F.; Ghosh, G.; Debbarma, V. Effect of Different Levels of Nitrogen, Sulphur and Foliar Application of Boron in Sunflower (Helianthus annuus L.). Int. J. Curr. Microbiol. App. Sci. 2017, 6, 1336–1342. [Google Scholar] [CrossRef]
- Vala, G.S.; Vaghani, J.J.; Gohil, V.N. Effect of Sulphur on Yield and Oil Content of Sunflower. In Proceedings of the Conference: Soil Health: A Key to Unlock and Sustain Production Potential, Jabalpur, India, 3–4 September 2014. [Google Scholar] [CrossRef]
- Kumar, S.; Mohapatra, T. Interaction Between Macro- and Micro-Nutrients in Plants. Front. Plant Sci. 2021, 12, 665. [Google Scholar] [CrossRef]
- Available online: https://www.agqlabs.us.com/macronutrients-in-plants/ (accessed on 10 May 2022).
- Kumar, K.A.; Reddy, S.; Kaur, G.; Chhabra, V. Effect of Sulphur Fertilization on Growth and Yield of Sunflower Crop-A Review. Indian J. Agric. Allied Sci. 2002, 8, 31–35. [Google Scholar]
- Asad, A. Boron requirements for sunflower and beet. J. Plant Nutr. 2002, 25, 885–889. [Google Scholar] [CrossRef]
- Asad, A.; Blamey, F.P.C.; Edwards, D.G. Effect of foliar boron application on vegetative and reproductive growth of sunflower. Ann. Bot. 2003, 92, 565–570. [Google Scholar] [CrossRef] [PubMed]
- Zerrari, N.; Moustaoui, D. The fertilisation of the sunflower (Helianthus annus L.) in boron field calibration trials of plant analysis and recommendations for foliar fertilization. Agrochemicals 2005, 49, 182–189. [Google Scholar]
- Skarpa, P. Effect of Boron foliar aplication at critical growth stage on sunflower (Heliantus annuus), yeld and quality. J. Elem. 2013, 18, 449–459. [Google Scholar] [CrossRef]
- Rashid, A.; Rafique, E. Internal boron requirements of young sunflower plants, proposed diagnostic criteria. Community Soil Sci. Plant Ann. 2005, 36, 2113–2119. [Google Scholar] [CrossRef]
- Prabhakar, K.; Laksmi Kalyani, D.; Balaji Nayak, S.; Venkataramanamma, K.; Neelima, S.; Sampath Kumar, D. Effect of boron foliar application at Critical growth stages on sunflower (Helianthus annuus L.) seed yield and oil yield. Pharma Innov. J. 2021, 10, 910–913. [Google Scholar] [CrossRef]
- Sharma, R.K.; Agrawal, M. Biological Effects of Heavy Metals: An Overview. J. Environ. Biol. 2005, 26 (Suppl. 2), 301–313. [Google Scholar]
- Faraz, A.M.; Jamil, M.; Ahmad, K.; Bakar, A.M.; Abbas, M.S.; Nadeem, M.; Batool, T. Effect of Copper on Sunflower (Helianthus annus L.). Int. J. Sci. Res. Publ. 2020, 10, 205. [Google Scholar] [CrossRef]
- Qasim, A.; Shafaqat, A.; Mohamed, A.; El-Esawi Rizwan, M.; Azeem, M.; Abdullah, I.H.; Perveen, R.; El-Sheikh, M.A.; Nasser, M.; Wijaya, A.L. Tolerance in Sunflflower as Compared with FeSO4: Yield Traits, Osmotic Adjustment, and Antioxidative Defense Mechanisms. Biomolecules 2020, 10, 1217. [Google Scholar] [CrossRef]
- Cockson, P.; Veazie, P.; Davis, M.; Barajas, G.; Post, A.; Crozier, C.R.; Leon, R.G.; Patterson, R.; Whipker, B.E. The Impacts of Micronutrient Fertility on the Mineral Uptake and Growth of Brassica carinata. Agriculture 2021, 11, 221. [Google Scholar] [CrossRef]
- Eddings, J.L.; Brown, L. Absorption and Translocation of Foliar-Applied Iron. Plant Phxysiol. 1967, 42, 15–19. [Google Scholar] [CrossRef]
- Ramesh, V.; Manjunath, J.; Saravanaperumal, M.; Bheemanna, R. Effect of Micro Nutrient Management in Hybrid Sunflower on Growth and Yield. Int. J. Curr. Microbiol. Appl. Sci. 2019, 8, 1222–1231. [Google Scholar] [CrossRef]
- Milev, G. Effect of foliar fertilization on sunflower (Helianhtus annuus L.). Agric. Sci. Technol. 2015, 7, 324–327. [Google Scholar]
- Available online: https://www.meteoromania.ro/servicii/date-meteorologice/ (accessed on 19 May 2023).
- Șmuleac, L.; Rujescu, C.; Șmuleac, A.; Imbrea, F.; Radulov, I.; Manea, D.N.; Ienciu, A.; Adamov, T.; Pașcalău, R. Impact of Climate Change in the Banat Plain, Western Romania, on the Accessibility of Water for Crop Production in Agriculture. Agriculture 2020, 10, 437. [Google Scholar] [CrossRef]
- Crista, F. Conservarea Fertilității Solului Și Managementul Nutrienților, 2nd ed.; Eurobit: Timișoara, Romania, 2017; pp. 66–71. ISBN 978-973-132-377-0. [Google Scholar]
- Radulov, I.; Sala, F.; Berbecea, A.; Crista, F. Changes of soil microelements content after intesive mineral fertilization. Res. J. Agric. Sci. 2009, 41, 487–492. [Google Scholar]
- Berbecea, A.; Radulov, I.; Sala, F.; Crista, F.; Lațo, A. Interrelation between metal availability, soil pH and mineral fertilization. Res. J. Agric. Sci. 2011, 43, 19–22. [Google Scholar]
- Crista, F.; Radulov, I.; Crista, L.; Berbecea, A.; Lațo, A. Influence of mineral fertilization on the amino acid content and raw protein of wheat grain. J. Food Agric. Environ. (JFAE) 2012, 1, 47–50. [Google Scholar]
- Manea, D.N.; Ştef, R.; Şmuleac, L.J.; Cărăbeţ, A.; Ienciu, A.A. Chemical control of weeds in sunflower crops. Ann. Univ. Oradea Fascicle Environ. Prot. 2019, XXXIII, 37–42. [Google Scholar]
- Available online: www.renar.ro (accessed on 15 February 2023).
- Available online: www.ospatimisoara.ro (accessed on 15 February 2023).
- SR EN ISO 712:2010 Determinarea Umidității. Available online: https://magazin.asro.ro/ro/standard/181049 (accessed on 23 December 2022).
- SR ISO 2171:2002, Determinarea Cenușii la Cereale. Available online: https://magazin.asro.ro/ro/standard/28087 (accessed on 18 November 2022).
- SR EN ISO 20483:2014, Metoda Kjeldahl, Cereale. Available online: https://magazin.asro.ro/ro/standard/226094 (accessed on 1 March 2023).
- Norma Sanitară-Veterinară din 21 februarie 2007, Metoda Soxhlet. Available online: https://legislatie.just.ro/Public/DetaliiDocument/80122 (accessed on 22 April 2023).
- Hărmănescu, M. Comparative researches on two direct transmethylation without prior extraction methods for fatty acids analysis in vegetal matrix with low fat content. Chem. Cent. J. 2012, 6, 8. [Google Scholar] [CrossRef]
- Available online: https://www.servitechexpres.ro/analizoare-furaje/sistem-determinare-fibra-foss-fibertec-8000/ (accessed on 4 February 2023).
- Nica, D.V.; Bordean, D.M.; Hărmănescu, M.; Bura, M.; Gergen, I. Interactions among heavy metals (Cu, Cd, Zn, Pb) and metallic macroelements (K, Ca, Na, Mg) in roman snail (Helix pomatia) soft tissues. Acta Metallomica MEEMB 2014, 11, 65–71. [Google Scholar]
- Corches, M.T.; Lațo, A.; Popa, M.; Radulov, I.; Berbecea, A.; Crista, F.; Niță, L.; Lațo, K.I. Evaluation of Cu, Mn and Zn Content in Ploughed Soil Layer. Sci. Pap. Ser. E Land Reclam. Earth Obs. Surv. Environ. Eng. 2017, 6, 120–123. [Google Scholar]
- Boldea, M.; Sala, F.; Radulov, I.; Crista, F. A Mathematical Model on the Dependence between the Agricultural Production and Chemical Fertilizer. AIP Conf. Proc. 2010, 1281, 1363–1366. [Google Scholar] [CrossRef]
- Olive, D.J. Principal Component Analysis. In Robust Multivariate Analysis; Springer: Cham, Switzerland, 2017; pp. 189–217. [Google Scholar]
- Gergen, I.; Hărmănescu, M. Application of principal component analysis in the pollution assessment with heavy metals of vegetable food chain in the old mining areas. Chem. Cent. J. 2012, 6, 156. [Google Scholar] [CrossRef] [PubMed]
- The PAST Software. Available online: https://www.nhm.uio.no/english/research/resources/past/ (accessed on 15 March 2023).
- Jongman, R.H.; Ter Braak, C.J.F.; Van Tongeren, O.F.R. Data Analysis in Community and Landscape Ecology; Pudoc: Wageningen, The Netherlands, 1987; Available online: https://edepot.wur.nl/410376 (accessed on 20 November 2022).
- Kaleri, A.A.; Laghari, G.M.; Gandahi, A.W.; Kaleri, A.H.; Nizamani, M.M. Integrated foliar fertilizer effects on growth and yield of sunflower. Pak. J. Agric. Agric. Eng. Vet. Sci. 2019, 35, 25–28. [Google Scholar]
- Cassim, B.M.A.R.; Martins Machado, A.P.; Fortune, D.; Moreira, F.R.; De Oliveira Zampar, E.J.; Batistand, M.A. Effects of Foliar Application of Urea and Urea-Formaldehyde/Triazone on Soybean and Corn Crops. Agronomy 2020, 10, 1549. [Google Scholar] [CrossRef]
- Yang, M.; Shi, L.; Xu, F.-S.; Lu, J.-W.; Wang, Y.-H. Effects of Bo, Mo, Zn, and Their Interactions on Seed Yield of Rapeseed (Brassica napus L.). Pedosphere 2009, 19, 53–59. [Google Scholar] [CrossRef]
- Crista, F.; Radulov, I.; Borza, I.; Sala, F.; Berbecea, A.; Lațo, A.; Gaica, I. Mineral fertilization influence upon soil chemical properties. In Proceedings of the 47th Croatian and 7th International Symposium on Agriculture, Opatija, Croatia, 13–17 February 2012; pp. 48–50. [Google Scholar]
- Crista, F.; Radulov, I.; Crista, L.; Lațo, A.; Stroia, C.; Băghină, N.; Gaica, I. Changing quality indicators of maize grain following mineral fertilizers application. Curr. Opin. Biotechnol. 2013, 24, S69. [Google Scholar] [CrossRef]
- Ferraz, G.A.S.; Ferraz, P.F.P.; Martins, F.B.; Silva, F.M.; Damasceno, F.A.; Barbari, M. Principal components in the study of soil and plant properties in precision coffee farming. Agron. Res. 2019, 17, 418–429. [Google Scholar] [CrossRef]
- Al-Amery, M.M.; Hamza, J.H.; Fuller, M.P. Effect of Boron Foliar Application on Reproductive Growth of Sunflower (Helianthus annuus L.). Int. J. Agron. 2011, 2011, 230712. [Google Scholar] [CrossRef]
- Kabata, A.; Pendias, H. Trace Elements in Soils and Plants, 3rd ed.; CRC Press: Boca Raton, FL, USA, 2001; pp. 19–43. ISBN 0-8493-1575-1. [Google Scholar]
- McDowell, L.R. Minerals in Animal and Human Nutrition; Academic Press: New York, NY, USA, 1992. [Google Scholar]
- Available online: https://www.vedantu.com/biology/role-of-macronutrients-and-micronutrients (accessed on 15 February 2023).







| Measured Parameters | Seeds Yield | Humidity | |
|---|---|---|---|
| Units | Kg ha−1 | (%) | % |
| Variants | Mean/SD | Mean/SD | |
| V1 | 3483 ***/76 | 133.29 | 4.23/0.62 NS |
| V2 | 3743 ***/40 | 143.24 | 3.44 **/0.39 |
| V3 | 3588 ***/13 | 137.31 | 4.460/0.94 NS |
| V4 | 3713 ***/35 | 142.09 | 4.22/0.61 NS |
| V5 | 3406 ***/31 | 130.36 | 4.47/0.13 NS |
| Mt | 2613/71 | 100.00 | 5.03/0.42 |
| Analyzed Nutrients | Proteins | Lipids | SFAs | Carbohydrates (Glucides) | Fibers |
|---|---|---|---|---|---|
| Unit | % | ||||
| Variants | Mean/SD | ||||
| V1 | 21.19 * 0.67 | 53.80 * 1.00 | 3.84 ** 0.25 | 17.46 ** 0.70 | 10.99 1.03 NS |
| V2 | 21.41 ** 0.42 | 54.02 ** 0.49 | 4.19 * 0.13 | 18.38 * 0.60 | 8.50 * 0.53 |
| V3 | 20.90 0.75 NS | 53.79 * 0.61 | 4.59 0.15 NS | 17.73 ** 0.62 | 10.81 0.93 NS |
| V4 | 20.69 * 0.35 | 53.79 ** 0.35 | 4.48 0.06 NS | 18.18 ** 0.26 | 9.87 1.1 NS |
| V5 | 20.42 * 0.38 | 53.25 * 0.43 | 4.65 0.39 NS | 18.69 ** 0.21 | 12.15 * 0.51 |
| Mt | 19.73 0.20 | 51.32 0.73 | 4.78 0.22 | 20.69 0.89 | 10.52 0.72 |
| Minerals | Ash | Ca | Mg | K | Na | P |
|---|---|---|---|---|---|---|
| Units | % | mg kg−1 | ||||
| Variants | Mean/SD | |||||
| V1 | 3.32 0.08 NS | 78.55 0.70 NS | 325.33 *** 0.58 | 645.67 ** 1.15 | 9.10 *** 0.26 | 660.67 1.15 NS |
| V2 | 3.07 0.06 NS | 79.55 * 0.51 | 329.67 *** 0.58 | 652.33 ** 3.21 | 10.93 *** 0.32 | 664.67 * 1.53 |
| V3 | 3.03 0.02 NS | 80.73 ** 0.69 | 325.67 ** 1.15 | 650.33 *** 1.53 | 11.17 *** 0.25 | 663.00 * 1.00 |
| V4 | 3.12 0.11 NS | 81.47 ** 0.98 | 327.67 *** 0.58 | 644.33 * 1.15 | 10.33 *** 0.06 | 663.67 * 1.15 |
| V5 | 3.17 0.10 NS | 81.21 ** 1.14 | 322.67 1.53 NS | 644.67 ** 0.58 | 9.53 *** 0.12 | 662.67 ** 0.58 |
| Mt | 3.23 0.18 | 77.34 0.79 | 320.33 0.58 | 641.00 1.00 | 6.47 0.45 | 660.33 0.58 |
| Minerals | Fe | Zn | Cu | Mn |
|---|---|---|---|---|
| Unit | mg kg−1 | |||
| Variants | Mean/SD | |||
| V1 | 5.23 * 0.17 | 5.09 ** 0.02 | 1.77 0.06 NS | 1.92 * 0.03 |
| V2 | 6.15 ** 0.06 | 4.70 *** 0.10 | 1.83 0.06 NS | 2.15 ** 0.05 |
| V3 | 5.31 ** 0.12 | 5.13 0.10 NS | 1.90 ** 0.00 | 2.00 0.09 * |
| V4 | 6.04 ** 0.14 | 4.83 *** 0.04 | 1.87* 0.06 | 1.86 0.04 NS |
| V5 | 5.55 ** 0.17 | 5.18 0.19 NS | 1.83 0.06 NS | 2.08 ** 0.02 |
| Mt | 4.74 0.17 | 5.20 0.01 | 1.73 0.06 | 1.80 0.05 |
Disclaimer/Publisher’s Note: The statements, opinions and data contained in all publications are solely those of the individual author(s) and contributor(s) and not of MDPI and/or the editor(s). MDPI and/or the editor(s) disclaim responsibility for any injury to people or property resulting from any ideas, methods, instructions or products referred to in the content. |
© 2023 by the authors. Licensee MDPI, Basel, Switzerland. This article is an open access article distributed under the terms and conditions of the Creative Commons Attribution (CC BY) license (https://creativecommons.org/licenses/by/4.0/).
Share and Cite
Crista, F.; Radulov, I.; Imbrea, F.; Manea, D.N.; Boldea, M.; Gergen, I.; Ienciu, A.A.; Bănățean Dunea, I. The Study of the Impact of Complex Foliar Fertilization on the Yield and Quality of Sunflower Seeds (Helianhtus annuus L.) by Principal Component Analysis. Agronomy 2023, 13, 2074. https://doi.org/10.3390/agronomy13082074
Crista F, Radulov I, Imbrea F, Manea DN, Boldea M, Gergen I, Ienciu AA, Bănățean Dunea I. The Study of the Impact of Complex Foliar Fertilization on the Yield and Quality of Sunflower Seeds (Helianhtus annuus L.) by Principal Component Analysis. Agronomy. 2023; 13(8):2074. https://doi.org/10.3390/agronomy13082074
Chicago/Turabian StyleCrista, Florin, Isidora Radulov, Florinel Imbrea, Dan Nicolae Manea, Marius Boldea, Iosif Gergen, Anișoara Aurelia Ienciu, and Ioan Bănățean Dunea. 2023. "The Study of the Impact of Complex Foliar Fertilization on the Yield and Quality of Sunflower Seeds (Helianhtus annuus L.) by Principal Component Analysis" Agronomy 13, no. 8: 2074. https://doi.org/10.3390/agronomy13082074
APA StyleCrista, F., Radulov, I., Imbrea, F., Manea, D. N., Boldea, M., Gergen, I., Ienciu, A. A., & Bănățean Dunea, I. (2023). The Study of the Impact of Complex Foliar Fertilization on the Yield and Quality of Sunflower Seeds (Helianhtus annuus L.) by Principal Component Analysis. Agronomy, 13(8), 2074. https://doi.org/10.3390/agronomy13082074

