Abstract
Nitrogen (N) fertilizer is a critical element that affects rice yield. However, its effects on dry matter accumulation (DMA), N accumulation, and their physiological mechanisms with grain yield and N utilization efficiency still lack in-depth study. Three large-scale japonica rice varieties—Jinxiangyu 1, Nanjing 46, and Huaidao 5—were used in two field experiments with varying N fertilizer application rates to examine grain yield and N utilization efficiency. The results showed that: (1) In the range of 0~360 kg ha−1 total N application rate (TNAR), the rice yields of the three cultivars were maximum under the TNAR at 270 kg ha−1. The optimal TNAR for the highest yield of Jinxiangyu 1, Nanjing 46, and Huaidao 5 were calculated based on quadratic regressions with values of 305.5 kg ha−1, 307.6 kg ha−1, and 298.0 kg ha−1, and the corresponding yields were 10.3 t ha−1, 10.6 t ha−1 and 10.2 t ha−1, respectively. The N utilization efficiency decreased gradually with the increase in TNAR, and the recovery efficiency decreased from 35.7~38.19% to 29.61~31.59%. (2) The yield was significantly positively correlated with DMA and N accumulation from the heading stage (HD) to the maturity stage (MA). The DMA and N accumulation of HD-MA were significantly positively correlated with leaf photosynthetic rate, non-structural carbohydrate (NSC) accumulation in stems, root oxidation activity, zeatin (Z) + zeatin riboside (ZR) contents in roots, and nitrate reductase (NR) and glutamate synthase (GOGAT) activity in HD. (3) In the range of 0~216 kg ha−1 panicle N application rate (PNAR), the rice yield was maximum under the PNAR at 108 kg ha−1. The optimal PNAR for the highest yield of Jinxiangyu 1 was calculated based on the quadratic regression with values of 139.5 kg ha−1, and the highest yield was 9.72 t ha−1. The leaf photosynthetic rate, NSC accumulation in stems, root oxidation activity, Z + ZR contents in roots, and NR activity in leaves in rice were higher under 108 kg ha−1 PNAR. Excessive application of panicle fertilizer reduced the above physiological indicators and rice yield. The above results showed that optimizing N fertilizer could increase the leaf photosynthetic rate, NSC accumulation in stems, root oxidation activity, Z + ZR contents in roots, and NR activity from HD to MA, which was beneficial to improving DMA and N uptake during HD-MA, thus improving grain yield and N utilization efficiency in rice.
1. Introduction
Rice dominates the world’s food crops. Over 3 billion people worldwide live on rice [1,2]. However, the current annual growth rate of rice yield is only 1.7%, significantly lower than the 2.4% annual growth rate required to double the total grain yield in 2050 [3,4]. Nitrogen (N) provides essential nutrients and minerals for rice growth and production, and its optimal application can effectively increase rice yield. However, the unreasonable application of N fertilizer has recently increased the cost of rice production, causing a reduction in the effectiveness of N utilization and a decline in rice quality. At the same time, it has caused many environmental problems, such as eutrophication of water bodies and soil acidity, and increased atmospheric greenhouse gas emissions [5]. In addition, excessive N fertilizer will reduce the resistance to lodging, pests, and diseases and ultimately lead to a reduction in rice yield [6,7].
N is crucial for the production of amino acids, ribonucleic acids, chloroplasts, adenosine triphosphate, and plant hormones. It also has a role in physiological development processes like protein synthesis bodies, carbon and N metabolism, and chloroplasts [8]. Previous research has demonstrated that elevating the N fertilizer concentration within a particular range could dramatically boost the activity of the enzymes nitrate reductase (NR), glutamine synthetase (GS), and glutamate synthetase (GOGAT) in rice leaves. However, by further increasing the amount of N fertilizer, the activity of the above three critical enzymes in N metabolism would decrease [9]. The combination of conventional N application and alternate drying-wetting irrigation can increase root hormone content and leaf photosynthetic rate, improve defective grain filling by encouraging the movement of non-structural carbohydrates (NSC) from stems to grains after heading (HD), and increase grain production and N utilization efficiency [10].
Chinese farmers commonly apply N fertilizer at the panicle differentiation stage to promote spikelet differentiation, called panicle fertilizer. Panicle fertilizer is a practical management approach for high-yield and eco-friendly rice farming [11,12]. The investigation shows that boosting the N application of panicle fertilizer in the proper amount might improve the dry matter accumulation (DMA) after HD, ensure the N demand of functional leaves, effectively prolong the photosynthetic time, enrich the photosynthetic rate, and ultimately increase rice yield [13,14]. Increasing panicle fertilizer application can enhance the biosynthesis and signal transduction of phytohormones such as brassinosteroids, encourage spikelet differentiation in rice, lessen their degeneration, and thus form a higher number of spikelets per panicle [15,16]. Furthermore, the increase in panicle fertilizer also affected the root physiological indexes such as root oxidation activity and zeatin (Z) + zeatin riboside (ZR) contents in roots, which in turn mediated the transmembrane transport of cytokinin (CTK), enhanced the root activity, and increased the grain yield in rice [17,18]. The primary sources of rice yield are the NSC stockpiled in the stem before HD and the photosynthetic products after HD. After HD, the NSC accumulation in stems is translocated to the grains, which is one of the main sources of assimilates for rice yield formation, and the contribution rate to grain yield can reach 30%. Therefore, increasing the output of assimilates in stems before HD and improving the photosynthetic products after HD benefit rice yield [19]. However, the mechanism of N application regulating the production of assimilates and photosynthetic products and their effects on grain yield is quite uncertain.
In this current study, we implemented various gradient treatments of total nitrogen application rates (TNAR) and panicle nitrogen application rates (PNAR) in field conditions, using three N-sensitive japonica rice varieties widely cultivated in Jiangsu Province. The study aimed to achieve the following objectives: (1) investigating the impacts of N application rate on DMA and N uptake from HD to MA; and (2) assessing the physiological regulatory mechanisms influenced by N application rate, including leaf photosynthetic rate, NSC accumulation, root oxidation activity, and other physiological indices relevant to the formation of grain yield.
2. Materials and Methods
2.1. Plant Materials and Growing Conditions
We set up two experiments. Experiment 1 examined the impacts of TNAR on rice yield. Experiment 2 investigated the regulation of PNAR on rice yield.
Experiment 1 was conducted in 2019 and repeated in 2020. The selected rice varieties were Jinxiangyu 1, Nanjing 46, and Huaidao 5, which were N-sensitive japonica rice varieties differing in parents and growth periods and widely planted locally. The seedlings were sown on May 21 every year and raised on plastic floppy disks. Each disk was sown with 120 g of dry seeds. On June 13, mechanical transplantation was carried out using a Yanmar riding high-speed rice transplanter (YP6D). The experiment was laid out in a split-plot design with four total N fertilizer rates as the main plot and three rice varieties as the subplot. Four total N fertilizer treatments were set during the whole growth period: (1) 0T: 0 kg ha−1; (2) 180T: 180 kg ha−1; (3) 270T: 270 kg ha−1 (local conventional high-yield N application); (4) 360T: 360 kg ha−1. N was applied according to the proportions of 50%, 10%, and 40%. The basal fertilizer was applied 1 day before transplanting, the tillering fertilizer was applied 7 days after transplanting, and the panicle fertilizer was applied twice with the same amount of flower-promoting fertilizer (panicle initiation stage) and flower-preserving fertilizer (spikelet differentiation stage).
Experiment 2 was conducted in 2021 and repeated in 2022. The selected rice variety was Jinxiangyu 1. Seedling raising and transplanting methods were the same as in Experiment 1. The experiment used a randomized completed block design. Based on basal fertilizer 135 kg ha−1 and tillering fertilizer 27 kg ha−1, five panicle N fertilizer treatments were set up at panicle initiation stage: (1) 0P: 0 kg ha−1; (2) 54P: 54 kg ha−1; (3) 108P: 108 kg ha−1 (local conventional high-yield panicle N application); (4) 162P: 162 kg ha−1; (5) 216P: 216 kg ha−1. The date of fertilizer application was the same as Experiment 1.
Both experiments were carried out in Zhenjiang Xinminzhou Farm, Jiangsu Province, China (32°16′ N, 119°33′ E). A sandy loam with 22.4~26.9 g kg−1 organic substance, 1.50~1.57 g kg−1 alkali-hydrolyzable N, 8.91~9.25 mg kg−1 Olsen-P, and 86.6~90.1 mg kg−1 exchangeable K made up the soil. The plot area was 100 m2, repeated 3 times. There were 5 seedlings on average per hill, and the row spacing was 12 cm × 30 cm. Three days after transplanting, the seedlings were supplemented according to the growth situation to ensure the whole seedlings. The N fertilizer applied in all treatments in both experiments was urea (46% N). P and K fertilizers were calcium superphosphate (13.5% P2O5) and potassium chloride (62.5% K2O), which were applied as base fertilizers at a single application of 300 kg ha−1 and 200 kg ha−1, respectively. Ridges were built between treatments to prevent fertilizer and water irrigation. In the entire growth period of rice, the shallow water layer was kept until 7 days before harvest. Weeds and pests should be strictly controlled to prevent affecting grain yield. Table 1 reveals monthly precipitation, sunshine hours, and average temperature from May to October (growing seasons for rice) for 2019–2022.
Table 1.
Precipitation, sunshine hours, and average temperature during 2019, 2020, 2021, and 2022 from May to October (rice growing seasons for rice) in Zhenjiang, Southeast China.
2.2. Sampling and Measurements
In Experiment 1, sampling and measurement were conducted during the crucial growth phases, including the mid-tillering stage (MT), panicle initiation stage (PI), HD, and MA. In Experiment 2, sampling and measurement were conducted at HD and MA.
2.2.1. Shoot Dry Weight
Each plot had five typical plants that were decomposed into stems, leaves, and panicles (after HD) at rice’s four key growth stages mentioned above. After 30 min of blanching at 105 °C and drying to a constant weight at 75 °C, dry matter weight was measured.
2.2.2. Plant N Uptake
0.5 g of plant samples after drying and crushing at the above four stages were weighed, respectively. To quantify aboveground N absorption, tissue N concentration was assessed by micro-Kjeldahl digestion, distillation, and titration [20].
2.2.3. Leaf Photosynthetic Characteristics
In the above four key growth stages, the Li-6400 portable photosynthesis analyzer, made by the American firm Li-Cor, was employed to measure the photosynthetic characteristics of the first wholly opened leaf. The measurement was performed at 9:00 am using a red-blue light source, 1400 mol m−2 s−1 of light flux density, and 380 mol mol−1 of CO2 concentration. Each treatment was repeated for 6 leaves. The parameters measured included stomatal conductance (Gs), net photosynthetic rate (Pn), transpiration rate (Tr), and intercellular CO2 concentration (Ci), which were automatically recorded.
2.2.4. NSC Accumulation and Translocation
Referring to Li’s [21] techniques, the content of NSC in stems was determined by drying samples at the above four stages. First, a 1 mm sieve was used to filter the finely ground, dried plant sample powder. After weighing and placing the 100 mg sample in a 15 mL centrifuge tube, the sample was repeatedly extracted with 80% ethanol 3 times. A certain amount of extract was employed to determine the soluble sugar content with anthrone reagent. The remaining residue in the centrifuge tube was dried in an oven at 80 °C, and the starch was extracted with HCLO4 solution and distilled water. The starch was diluted in a 50 mL centrifuge tube and cooled at room temperature to calculate the absorbance value at 620 nm wavelength.
The total soluble sugar and starch concentrations are added to determine the NSC concentration. The NSC accumulation was NSC concentration multiplied by shoot dry weight. The NSC translocation = NSC accumulation in HD − NSC accumulation in MA.
2.2.5. Root Oxidation Activity
During the four growing phases, the representative plants in each plot were taken to dig three hills (each hill was centered on the base of the rice plant, and 25 cm × 25 cm × 25 cm soil blocks were excavated) and put into a 70-mesh sieve bag. The roots were cleaned first with flowing water, then with an agricultural compression sprayer. The fresh weight of the roots was weighed, and some roots were removed to assess the root oxidation activity following Meng et al. [22].
2.2.6. Z + ZR Contents in Roots
At the four stages, roots from three hills in each plot were frozen in liquid N and kept at −80 °C. Z + ZR contents were determined by Liu et al. [23].
2.2.7. NR, GS, and GOGAT Activities of Leaves
Leaves from three hills in each plot were frozen in liquid N and kept at −80 °C. The veins were removed, and fixing the tissues with liquid N. The NR, GS, and GOGAT related to N metabolism were determined by Christine et al. [24] and Hayakawa et al. [25], respectively.
2.2.8. Harvest
In Experiments 1 and 2, the plants in the two rows on either side of the plot were removed to prevent border effects. Each plot’s 6.0 m2 harvest area was used to calculate the grain yield, which was then 14.5% moisture adjusted. The plants in a 1.0 m2 area (excluding the border ones) were randomly selected from each plot to be used as a sample for calculating the aboveground biomass and yield components, such as the number of panicles per square meter, the number of spikelets per panicle, the percentage of filled grains, and the grain weight. The filled grains (specific gravity 1.06 g cm−3) as a fraction of all the spikelets were used to calculate the percentage of filled grains.
2.3. Statistical Analysis
Plant N uptake, N agronomic use efficiency (AEN), N recovery efficiency (REN), N physiological efficiency (PEN), and N partial factor productivity (PEP) were calculated. The calculation formulae followed Chen et al. [26].
A multifactorial analysis of variance (ANOVA) was employed to assess the main and interactive effects of year, variety, and treatment on various parameters, including grain yield, DMA, N accumulation, NSC translocation in stems, root oxidation activity, and Z + ZR contents in roots. Data visualization was conducted using SigmaPlot 10.0 (SPSS Inc., Point Richmond, CA, USA). Post hoc means comparison was performed using the least significant difference (LSD) test at a significance level of p = 0.05 (LSD 0.05). Certain statistical analyses were conducted using R 4.2.01 (R Core Team (2022)), employing the tidyverse (version number: 0.0.7.1) and linkET (version number: 1.3.2) packages. The linkET package was deployed to execute the mantel test. To examine the relationships between shoot dry weight accumulation, N accumulation, and various physiological indices of root and shoot, Pearson’s correlation analysis was utilized to derive correlation coefficients (R values) and corresponding significance levels (p values).
3. Results
3.1. Analysis of Variance
Experiment 1 stated significant differences in grain yield, DMA, N accumulation, NSC translocation in stems, root oxidation activity, and Z + ZR contents in roots between treatment and variety. At the same time, there were no significant differences in the above indexes among year, year × treatment (except N accumulation), treatment × variety (except root oxidation activity), year × variety, and year × variety × treatment (Table 2). The same measures in Experiment 2 gave similar findings (Table 3). Since the year has no bearing on the experiments, Experiment 1 principally uses the data of 2020, and Experiment 2 uses the data of 2022.
Table 2.
Analysis of variance of F-values between / among years, varieties, and treatments in Experiment 1.
Table 3.
Analysis of variance of F-values between/among years and treatments in Experiment 2.
3.2. Grain Yield and Its Components
In the 0~270 kg ha−1 TNAR range, with an increase in TNAR, the grain yield of Jinxiangyu 1, Nanjing 46, and Huaidao 5 steadily rose. The grain yield decreased slightly but did not reach a significant level when the TNAR increased from 270 to 360 kg ha−1. (Table 4). From the analysis of grain yield components, in the range of 0~360 kg ha−1 TNAR, with the increase of TNAR, the panicle number and the number of spikelets per panicle increased synchronously with the rise of TNAR. Still, the filled grains and grain weight gradually decreased. Under the 360T treatment, the three rice varieties had the highest total spikelet number, while the filled grains and grain weight were obviously lower than under the 270T treatment.
Table 4.
Grain yield and its components for different rice varieties under different total nitrogen application rates (TNAR).
According to the quadratic regressions of grain yield and TNAR, the optimal TNAR for the highest yield of Jinxiangyu 1, Nanjing 46, and Huaidao 5 was calculated with the values of 305.5 kg ha−1, 307.6 kg ha−1, and 298.0 kg ha−1, and the corresponding yields were 10.3 t ha−1, 10.6 t ha−1, and 10.2 t ha−1, respectively (Figure 1).
Figure 1.
Quadratic regressions between total nitrogen application rates (TNAR) and grain yield. JXY1, NJ46, and HD5 represent Jinxiangyu 1, Nanjing 46, and Huaidao 5, respectively.
3.3. Nitrogen Utilization Efficiency
The AEN, REN, PEN, and PEP of the three rice varieties decreased gradually with the increase in TNAR, and the reduction in four-N utilization efficiency increased by degrees. The REN decreased from 35.7~38.19% to 29.61~31.59% (Table 5).
Table 5.
Nitrogen utilization efficiency of different rice varieties under different total nitrogen application rates (TNAR).
3.4. Dry Matter Accumulation and Nitrogen Accumulation
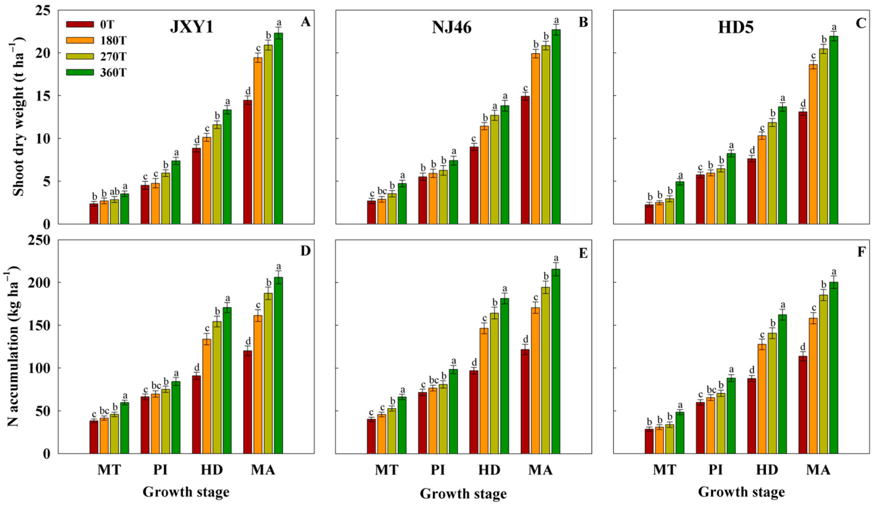
Among different treatments, the shoot dry weight increased progressively throughout the growing phase. At the same growth stage, the shoot dry weight rose along with the increase in TNAR, and the difference between different N fertilizer treatments in HD and MA reached a significant level (Figure 2A–C). From the perspective of the growth process, the three rice varieties had the highest DMA in HD-MA, accounting for 38.9~47.9% of the whole growth period, which was the peak period of DMA in rice (Figure 3A–C).
Figure 2.
Shoot dry weight (A–C) and nitrogen uptake (D–F) of different rice varieties under different total nitrogen application rates (TNAR). 0T, 180T, 270T, and 360T represent the total nitrogen application rate (TNAR) during the whole growth period, which was 0 kg ha−1, 180 kg ha−1, 270 kg ha−1, and 360 kg ha−1, respectively. JXY1, NJ46, and HD5 represent Jinxiangyu 1, Nanjing 46, and Huaidao 5, respectively. Different letters above the columns represent significant differences at the p < 0.05 level within the same stage.
Figure 3.
Dry matter accumulation (A–C) and nitrogen accumulation (D–F) of different rice varieties under different total nitrogen application rates (TNAR). 0T, 180T, 270T, and 360T represent the total nitrogen application rate (TNAR) during the whole growth period, which was 0 kg ha−1, 180 kg ha−1, 270 kg ha−1, and 360 kg ha−1, respectively. JXY1, NJ46, and HD5 represent Jinxiangyu 1, Nanjing 46, and Huaidao 5, respectively. Different letters above the columns represent significant differences at the p < 0.05 level within the same stage.
With the propulsion of the growth period and the increase in TNAR, the N uptake of rice showed a rising tendency. With the rise of TNAR, the addition of N uptake decreased (Figure 2D–F). The N uptake of the three varieties did not change substantially between treatments in MT and PI but did differ considerably between treatments in HD and MA. In HD, the N uptake of the three varieties under 270T treatment was 10.2~15.4% higher than that under 180T treatment and 10.4~15.3% lower than that under 360T treatment. In MA, the N uptake of the three varieties under 270T treatment was 14.0~17.2% higher than that under 180T treatment and 8.1~10.9% lower than that under 360T treatment. Considering the growing process, the three rice varieties had the highest N accumulation in PI-HD, accounting for 24.8~42.8% of the whole growth period, which was the peak period of N accumulation in rice (Figure 3D–F).
3.5. Leaf Photosynthetic Characteristics
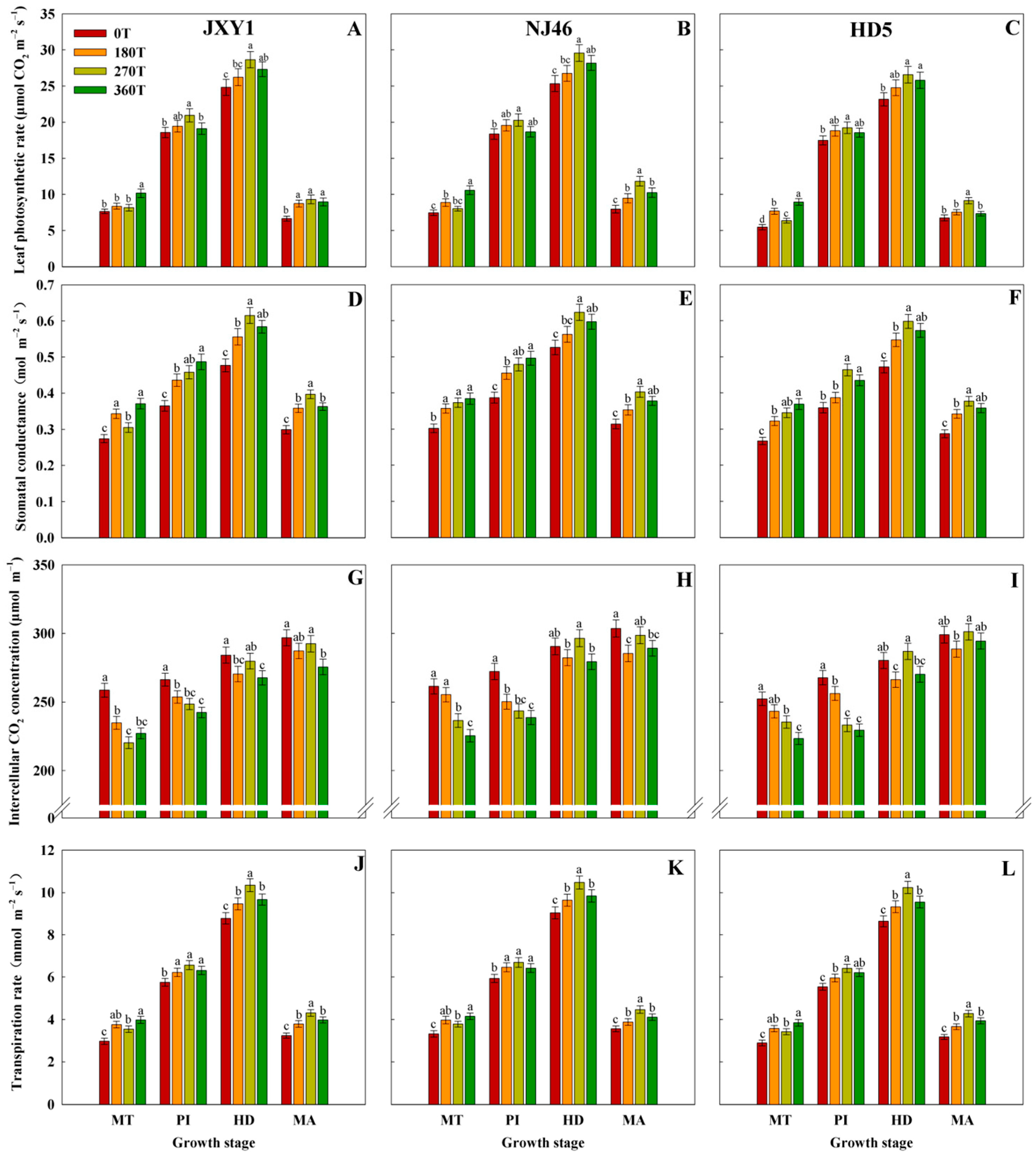
The leaf Pn of Jinxiangyu 1, Nanjing 46, and Huaidao 5 grew initially before declining during the course of the growing cycle and peaking in HD. The 360T treatment resulted in the most remarkable leaf Pn in MT. The leaf Pn in PI, HD, and MA reached the maximum under the 270T treatment, and in HD and MA, they were considerably higher than in other treatments. The trends of Gs and Tr for the three cultivars were consistent with Pn. Ci had no obvious trends (Figure 4).
Figure 4.
Leaf net photosynthetic rate (Pn) (A–C), stomatal conductance (Gs) (D–F), intercellular CO2 concentration (Ci) (G–I), and transpiration rate (Tr) (J–L) of different rice varieties under different total nitrogen application rates (TNAR). 0T, 180T, 270T, and 360T represent the total nitrogen application rate (TNAR) during the whole growth period, which was 0 kg ha−1, 180 kg ha−1, 270 kg ha−1, and 360 kg ha−1, respectively. JXY1, NJ46, and HD5 represent Jinxiangyu 1, Nanjing 46, and Huaidao 5, respectively. Different letters above the columns represent significant differences at the p < 0.05 level within the same stage.
3.6. NSC Accumulation and Translocation in Stems
With the rise of TNAR, NSC accumulated more in MT and PI. In HD and MA, the NSC accumulation in stems grew initially, then declined as TNAR increased and peaked with 270T treatment. Compared with other N application rates, 270T treatment substantially boosted the NSC accumulation in stems of three rice varieties in HD by 6.6~31.9%, 5.5~26.7%, and 5.9~20.5%, respectively (Figure 5). The NSC translocation in stems of the three rice varieties rose initially, declined when TNAR increased, and peaked under 270T treatment. (Figure 6).
Figure 5.
Non-structural carbohydrate (NSC) accumulation of different rice varieties under different total nitrogen application rates (TNAR). 0T, 180T, 270T, and 360T represent the total nitrogen application rate (TNAR) during the whole growth period, which was 0 kg ha−1, 180 kg ha−1, 270 kg ha−1, and 360 kg ha−1, respectively. JXY1, NJ46, and HD5 represent Jinxiangyu 1, Nanjing 46, and Huaidao 5, respectively. Different letters above the columns represent significant differences at the p < 0.05 level within the same stage.
Figure 6.
Non-structural carbohydrate (NSC) translocation of different rice varieties under different total nitrogen application rates (TNAR). 0T, 180T, 270T, and 360T represent the total nitrogen application rate (TNAR) during the whole growth period, which was 0 kg ha−1, 180 kg ha−1, 270 kg ha−1, and 360 kg ha−1, respectively. JXY1, NJ46, and HD5 represent Jinxiangyu 1, Nanjing 46, and Huaidao 5, respectively. Different letters above the columns represent significant differences at the p < 0.05 level within the same variety.
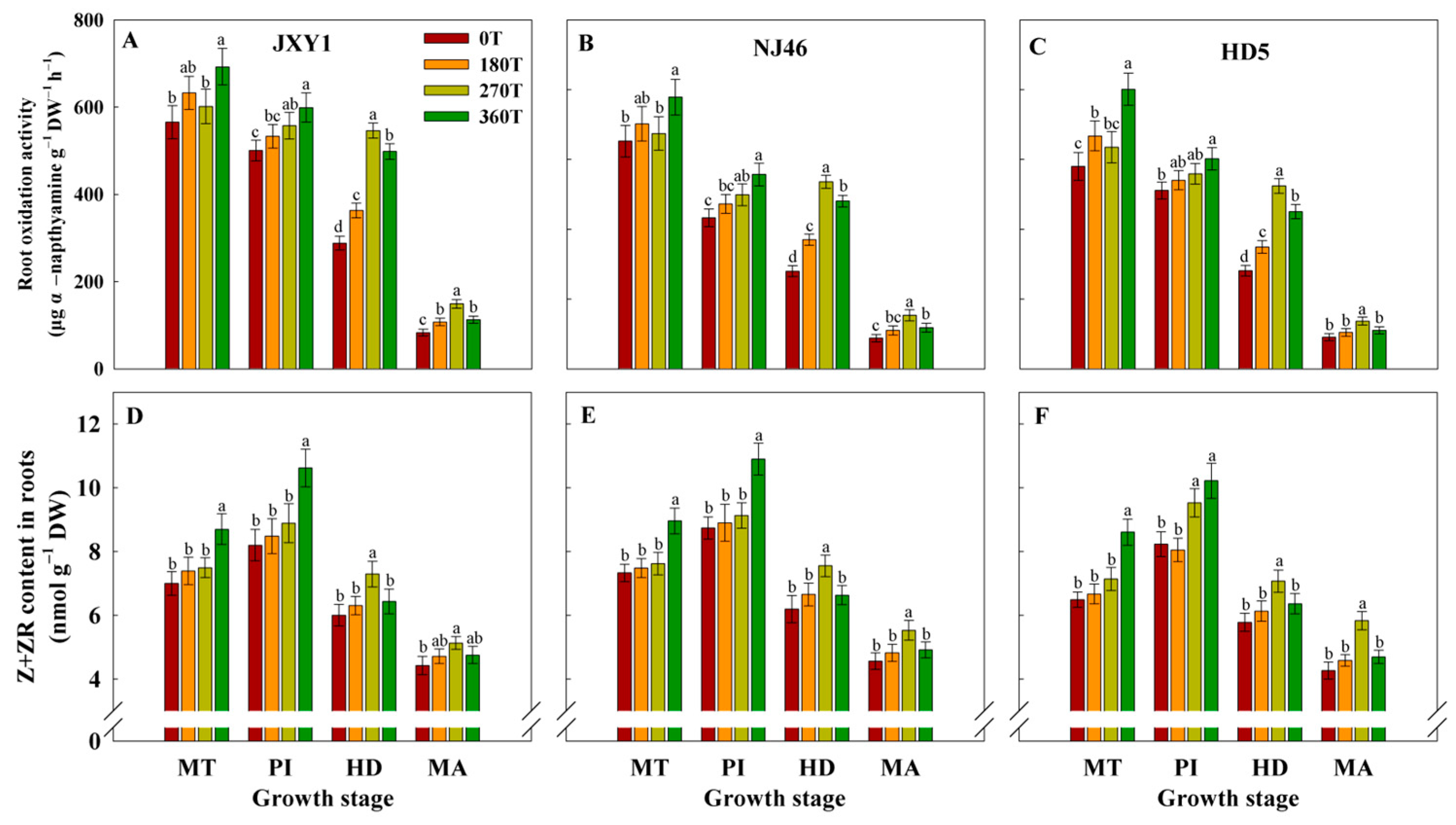
3.7. Root Oxidation Activity and Z + ZR Contents in Roots
The root oxidation activity of different rice varieties gradually decreased with the growth period, and in MT and PI, there was no discernible difference between each treatment’s root oxidation activity. In HD and MA, the root oxidation activity first rose and subsequently fell as TNAR levels rose. The root oxidation activity of the 270T treatment was significantly higher than that of other treatments.
As the growing period progressed, the Z + ZR contents in the roots of various rice varieties initially grew and then declined. The Z + ZR contents of the three rice varieties under the 360T treatment in MT and PI were considerably higher than those of other treatments, and HD and MA had the highest Z + ZR contents under the 270T treatment (Figure 7).
Figure 7.
Root oxidation activity (A–C) and zeatin (Z) + zeatin riboside (ZR) contents in roots (D–F) of different rice varieties under different total nitrogen application rates (TNAR). 0T, 180T, 270T, and 360T represent the total nitrogen application rate (TNAR) during the whole growth period, which was 0 kg ha−1, 180 kg ha−1, 270 kg ha−1, and 360 kg ha−1, respectively. JXY1, NJ46, and HD5 represent Jinxiangyu 1, Nanjing 46, and Huaidao 5, respectively. Different letters above the columns represent significant differences at the p < 0.05 level within the same stage.
3.8. NR, GS, and GOGAT Activities in Leaves
The changing trend of NR activity in the leaves of the three rice varieties was similar; it initially climbed and then declined with the rise of TNAR and the passage of time. The maximum value was reached in PI, the minimum value was in MA, and the NR activity of 270T treatment was higher than that of other N applications in each period. The activities of GS and GOGAT were similar to those of NR, and the only difference was that the activities of GS and GOGAT reached their maximum in HD (Figure 8).
Figure 8.
Nitrate reductase (NR) (A–C), glutamine synthetase (GS) (D–F), and glutamate synthase (GOGAT) (G–I) activities in leaves of different rice varieties under different total nitrogen application rates (TNAR). 0T, 180T, 270T, and 360T represent the total nitrogen application rate (TNAR) during the whole growth period, which was 0 kg ha−1, 180 kg ha−1, 270 kg ha−1, and 360 kg ha−1, respectively. JXY1, NJ46, and HD5 represent Jinxiangyu 1, Nanjing 46, and Huaidao 5, respectively. Different letters above the columns represent significant differences at the p < 0.05 level within the same stage.
3.9. Correlation Analysis
The shoot dry weight and N uptake of HD and MA, as well as the DMA and N accumulation of HD-MA, all had a significant positive correlation with the grain yield (Figure 9). Additional research revealed a substantial link between rice yield and leaf photosynthetic rate, NSC accumulation in stems, root oxidation activity, Z + ZR contents in roots, NR, and GOGAT activities of leaves in HD and MA. Still, there was no significant correlation with the root and shoot physiological indexes of MT and PI (Figure 10). The results showed that promoting N uptake, increasing DMA, and improving root and shoot-related physiological indexes of rice during HD-MA were beneficial to increasing rice yield.
Figure 9.
Correlation between grain yield and shoot dry weight, nitrogen uptake, dry matter accumulation (DMA), and nitrogen accumulation. SDW, NAM, SDWA, and NAC represent shoot dry weight, nitrogen uptake, dry matter accumulation, and nitrogen accumulation, respectively. MT, PI, HD, and MA represent mid-tillering, panicle initiation, heading, and maturity stages, respectively. * and ** represent the correlation is significant at the p = 0.05 level and the p = 0.01 level, respectively.
Figure 10.
Correlation between grain yield and root and shoot physiological indexes. LPR, NSC, ROA, RZ.ZR, NR, GS, and GOGAT represent leaf photosynthetic rate, non-structural carbohydrate (NSC) accumulation in stems, root oxidation activity, zeatin (Z) + zeatin riboside (ZR) contents in roots, nitrate reductase (NR) activity, glutamine synthetase (GS) activity, and glutamate synthase (GOGAT) activity, respectively. MT, PI, HD, and MA represent mid-tillering, panicle initiation, heading, and maturity stages, respectively. * and ** represent the correlation is significant at the p = 0.05 level and the p = 0.01 level, respectively.
The DMA and N accumulation in HD-MA in rice were significantly positively correlated with leaf photosynthetic rate, NSC accumulation in stems, root oxidation activity, Z + ZR contents in roots, and NR and GOGAT activities after HD, but had no significant correlation with GS activity (Figure 11). It showed that the DMA and N uptake of HD-MA played a crucial role in promoting grain yield. The higher leaf photosynthetic rate, NSC accumulation in stems, root oxidation activity, Z + ZR contents in roots, and NR and GOGAT activities of HD-MA were the fundamental reasons for the increase in DMA and N accumulation.
Figure 11.
Correlation between dry matter accumulation (DMA), nitrogen accumulation from heading (HD) to maturity (MA) stage, and physiological indexes at heading stage (HD). LPR, NSC, ROA, RZ.ZR, NR, GS, and GOGAT represent leaf photosynthetic rate, non-structural carbohydrate (NSC) accumulation in stems, root oxidation activity, zeatin (Z) + zeatin riboside (ZR) contents in roots, nitrate reductase (NR) activity, glutamine synthetase (GS) activity, and glutamate synthase (GOGAT) activity, respectively. *, ** and *** represent the correlation is significant at the p = 0.05 level, the p = 0.01 level and the p = 0.001 level respectively.
3.10. Regulation of Panicle Nitrogen Application Rate on Grain Yield in Rice
In the range of 0~216 kg ha−1 PNAR, the spikelet number per panicle rose gradually with the increase in PNAR. Likewise, the filled grains and grain weight progressively declined, and the higher the PNAR, the more pronounced the decrease in filled grains and grain weight. The grain yield was the highest when the PNAR was 108 kg ha−1. Compared with no panicle fertilizer, applying panicle fertilizer increased grain yield by 15.0~21.1% (Table 6). According to the quadratic regression of grain yield and PNAR, the optimal PNAR for the highest yield of Jinxiangyu 1 was calculated with a value of 139.5 kg ha−1, and the highest yield was 9.72 t ha−1 (Figure 12).
Table 6.
Grain yield and its components in rice under different panicle nitrogen application rates (PNAR).
Figure 12.
Quadratic regression between panicle nitrogen application rates (PNAR) and grain yield. JXY1 represents Jinxiangyu 1.
In the range of 0~216 kg ha−1 PNAR, the panicle AEN, REN, and PEP of Jinxiangyu 1 decreased gradually with the increase of PNAR, while the REN increased first and then decreased, and the maximum value appeared under 108P treatment (Table 7).
Table 7.
Panicle nitrogen utilization efficiency of rice under different panicle nitrogen application rates (PNAR).
The shoot dry weight and N uptake of Jinxiangyu 1 steadily rose with the rise of PNAR. The accumulation of NSC in stems rose first, then dropped as PNAR increased, reaching its maximum at 108P. The DMA, N accumulation, and NSC translocation in HD-MA in the 108P treatment were the highest (Figure 13).
Figure 13.
Shoot dry weight accumulation, nitrogen accumulation, and non-structural carbohydrate (NSC) accumulation of rice under different panicle nitrogen application rates (PNAR). 0P, 54P, 108P, 162P, and 216P represent the panicle nitrogen application rate (PNAR) during the spikelet differentiation period, which was 0 kg ha−1, 54 kg ha−1, 108 kg ha−1, 162 kg ha−1, and 216 kg ha−1, respectively. JXY1 represents Jinxiangyu 1. Different letters above the columns represent significant differences at the p < 0.05 level within the same stage.
The leaf photosynthetic rate, root oxidation activity, and Z + ZR contents in roots of Jinxiangyu 1 in HD were significantly higher than those in MA, and the leaf photosynthetic rate, root oxidation activity, and Z + ZR contents in roots during the two stages increased first and then decreased with the increase of PNAR. The 108~162 kg ha−1 PNAR was 20.2~50.4%, 44.0~69.5%, and 22.1~31.3% higher than that of no panicle fertilizer treatment (Figure 14).
Figure 14.
Leaf photosynthetic rate, root oxidation activity, and zeatin (Z) + zeatin riboside (ZR) contents in rice roots under different panicle nitrogen application rates (PNAR). 0P, 54P, 108P, 162P, and 216P represent the panicle nitrogen application rate (PNAR) during the spikelet differentiation period, which was 0 kg ha−1, 54 kg ha−1, 108 kg ha−1, 162 kg ha−1, and 216 kg ha−1, respectively. JXY1 represents Jinxiangyu 1. Different letters above the columns represent significant differences at the p < 0.05 level within the same stage.
The activities of NR, GS, and GOGAT increased first and then decreased slightly with the increase of PNAR, and the activities of three key enzymes of N metabolism (NR, GS, and GOGAT) were the highest under 108P treatment (Figure 15).
Figure 15.
Nitrate reductase (NR), glutamine synthetase (GS), and glutamate synthase (GOGAT) activities of rice under different panicle nitrogen application rates (PNAR). 0P, 54P, 108P, 162P, and 216P represent the panicle nitrogen application rate (PNAR) during the spikelet differentiation period, which was 0 kg ha−1, 54 kg ha−1, 108 kg ha−1, 162 kg ha−1, and 216 kg ha−1, respectively. JXY1 represents Jinxiangyu 1. Different letters above the columns represent significant differences at the p < 0.05 level within the same stage.
4. Discussion
4.1. Effects of N Fertilizer on Rice Yield
The amount of N fertilizer is a significant factor in determining the grain yield. The amount of N fertilizer input in the field affects the ‘storage capacity’ level and ‘grain plumpness’ [27,28]. Some scholars believed that in the range of 0~300 kg ha−1 TNAR, the grain yield of quality, good-tasting rice increased with the increase in TNAR. The reason is mainly the significant rise in the number of effective panicles and spikelets per panicle, which gives the rice a higher population of spikelets and ensures its sufficient ‘storage capacity’. At the same time, the ‘grain plumpness’, that is, the filled grains and grain weight, are slightly reduced [29,30]. Some researchers also believed that applying N fertilizer can promote spikelet differentiation in high-quality rice populations in the range of 0–270 kg ha−1, which benefits the formation of panicle number and spikelet number per panicle. When the N fertilizer rate exceeds 270 kg ha−1, it will cause a decrease in the number of spikelets per panicle, resulting in a decline in the number of spikelets. This phenomenon can be attributed to inadequate transportation of assimilates between the source and sink of rice plants. The term “source” in rice pertains to the organs and tissues responsible for the production and exportation of assimilates, with leaves assuming a crucial role as the primary source during the reproductive growth phase. Excessive N application will lead to a decrease in leaf area index and specific leaf mass, affecting the supply of sources [31]. “Sink” denotes an organ that utilizes or stores assimilates, with spikelets per panicle being the principal sink index closely related to yield. The overapplication of nitrogen leads to an increase in the degeneration of primary and secondary spikelets in rice, leading to diminished “sink capacity”. Simultaneously, the filled grains and grain weight slightly decreased, impairing grain filling and resulting in a substantial decline in grain yield per unit area [32,33,34].
The generation procedure for rice yield is the generation of dry matter production, distribution, and accumulation, in which the DMA from HD to MA has the most significant impact on yield [35,36]. Gaining the amount of N fertilizer can affect the dry weight of leaves and stems at HD, the DMA from HD to MA, and the export rate and transport rate of stems [37,38]. However, too high a N concentration will inhibit rice growth and affect DMA [26,39]. Appropriate N fertilizer rates can maintain the photosynthetic function during the grain filling stage, produce more net photosynthetic products after HD, and promote rice yield [40].
In this paper, the spikelet number of three rice populations increased with the increase of TNAR in the range of 0~360 kg ha−1, and the increasing extent gradually decreased. The 270T treatment significantly increased the DMA and N accumulation in HD-MA and increased rice yield.
4.2. Physiological Mechanisms of N Fertilizer Affecting Rice Yield
The root is a critical part of rice, which provides water and nutrients for various developmental organs and is an essential place for hormone synthesis [41]. CTK is a phytohormone synthesized by roots and transported to the aboveground part through conducting tissues to regulate plant growth and development. Increased CTK activity can facilitate increased spikelet numbers per panicle and rice yield [42]. N fertilizer can promote the biosynthesis and transmembrane transport of CTK, enhance rice root activity, and promote grain yield [43,44]. In our experiment, the strong root oxidation ability and Z + ZR contents in roots under 270T treatment can promote the transport of NSC from stems to grains, increase the activity of critical enzymes in sucrose-starch metabolism, promote rice grain filling, and thus increase rice yield. The root oxidation activity and Z + ZR contents in roots of high-yield panicle fertilizer N rate level (162P) also reached their maximum.
Root and shoot are interdependent. In addition to root physiology, assimilation, accumulation, storage, transport, and their ability to produce photosynthetic material in vegetative organs all play a role in grain output [45,46]. N is the fundamental element of amino acids, proteins, nucleic acids, coenzymes, and photosynthetic pigment molecules in plants. Compared with roots and stems, leaves are the most important organ for N accumulation in rice. Higher N levels in leaves are conducive to optimizing the photosynthetic characteristics of leaves, thereby improving N photosynthetic efficiency. Appropriate application of N fertilizer can significantly increase the net photosynthetic rate of the flag leaf at the late growth stage, prevent the flag leaf from aging, and extend the photosynthetic time [47]. Some studies have pointed out that compared with the high-yield population, the photosynthetic rate and photosynthetic potential of the super-high-yield population are smaller in the early stages of fertility, more prominent in the later stages of fertility, and the photosynthetic potential from HD to MA accounts for more than 50% of the total photosynthetic potential [48]. The NSC stored in the stems mainly includes soluble sugar and starch, the major products of rice photosynthesis and vital substrates for respiration. In the network of plant development and metabolism, NSC is essential. Gaining the accumulation of NSC in stems before HD and the translocation of NSC after HD is advantageous to accelerate the grain filling process and augment grain yield formation [49,50]. This experiment reveals that the higher leaf photosynthetic rate and NSC accumulation under 270T treatment promoted DMA and N uptake in HD-MA, thereby increasing rice yield. The leaf photosynthetic rate and NSC accumulation in stems in HD-MA at 162P were significantly higher than those at low grain yield levels, with an increase of 25.9~50.4% and 23.7~39.0%, respectively.
The N uptake and accumulation in rice are closely related to the activities of key enzymes in N metabolism, such as NR, GS, and GOGAT in leaves. The enzymes that control and limit the rate of N assimilation are known as NR, GS, and GOGAT. They are involved in regulating N and carbon metabolism and are the key enzymes of the N metabolism center. The GS/GOGAT cycle is the primary way of ammonia assimilation in higher plants and is mainly involved in plant N metabolism to convert inorganic N into organic N. These enzymes constitute a N metabolism network and link carbon and N metabolism, affecting the entire metabolic network [51,52]. The expression and activity of the NR gene in rice are affected by NO3-. Increasing N fertilizer can promote the activity of NR, GS, and GOGAT and increase the absorption and utilization of N fertilizer in plants. In this experiment, higher NR and GOGAT activity under 270T treatment promoted DMA and N uptake in HD-MA, thereby increasing rice yield. The level of high-yield PNAR (108P) signally enhanced the activities of critical enzymes of N metabolism in leaves, which could promote the synthesis of more photosynthetic products in leaves, thus increasing the grain yield. However, too high PNAR (216P) will cause the plant to be green and late, which is not advantageous to the further promotion of grain yield.
5. Conclusions
DMA and N uptake from HD to MA play pivotal roles in determining rice yield and N utilization efficiency. Under the appropriate TNAR (270 kg ha−1), the higher leaf photosynthetic rate, NSC accumulation in stems, root oxidation activity, Z + ZR contents in roots, and stronger NR and GOGAT activities from HD to MA were beneficial to promote DMA and N accumulation, thereby increasing grain yield. Appropriate PNAR (108 kg ha−1) was also advantageous for the improvement of the aforementioned physiological indices, thereby facilitating enhanced DMA and N uptake in rice and, consequently, increasing rice yield.
Author Contributions
Conceptualization, L.L.; methodology, S.Z. and K.L.; software, S.Z. and K.L.; validation, S.Z., K.L. and X.Z.; formal analysis, S.Z., K.L. and X.Z.; investigation, W.W., W.Z., H.Z., J.G., J.Y. and S.Z.; resources, L.L.; data curation, S.Z. and K.L.; writing—original draft preparation, S.Z. and K.L.; writing—review and editing, L.L.; supervision, L.L., S.Z. and K.L.; project administration, L.L.; funding acquisition, L.L. All authors have read and agreed to the published version of the manuscript.
Funding
This research was funded by the National Natural Science Foundation of China (grant number 32071947, 31871557), the Open Project of Jiangsu Key Laboratory of Crop Genetics and Physiology (grant number YCSL202102), and the Priority Academic Program Development of Jiangsu Higher Education Institutions (PAPD).
Data Availability Statement
Not applicable.
Conflicts of Interest
The authors declare no conflict of interest.
References
- Cheng, B.; Jiang, Y.; Cao, C. Balance Rice Yield and Eating Quality by Changing the Traditional Nitrogen Management for Sustainable Production in China. J. Clean. Prod. 2021, 312, 127793. [Google Scholar] [CrossRef]
- Liu, K.; Chen, Y.; Huang, J.; Qiu, Y.; Li, S.; Zhuo, X.; Yu, F.; Gao, J.; Li, G.; Zhang, W.; et al. Spikelet Differentiation and Degeneration in Rice Varieties with Different Panicle Sizes. Food Energy Secur. 2022, 11, e320. [Google Scholar] [CrossRef]
- Ray, D.K.; Mueller, N.D.; West, P.C.; Foley, J.A. Yield Trends Are Insufficient to Double Global Crop Production by 2050. PLoS ONE 2013, 8, e66428. [Google Scholar] [CrossRef]
- Fahad, S.; Bajwa, A.A.; Nazir, U.; Anjum, S.A.; Farooq, A.; Zohaib, A.; Sadia, S.; Nasim, W.; Adkins, S.; Saud, S.; et al. Crop Production under Drought and Heat Stress: Plant Responses and Management Options. Front. Plant Sci. 2017, 8, 1147. [Google Scholar] [CrossRef]
- Fu, P.; Wang, J.; Zhang, T.; Huang, J.; Peng, S. High Nitrogen Input Causes Poor Grain Filling of Spikelets at the Panicle Base of Super Hybrid Rice. Field Crops Res. 2019, 244, 107635. [Google Scholar] [CrossRef]
- Xu, L.; Yuan, S.; Wang, X.; Yu, X.; Peng, S. High Yields of Hybrid Rice Do Not Require More Nitrogen Fertilizer than Inbred Rice: A Meta-Analysis. Food Energy Secur. 2021, 10, 341–350. [Google Scholar] [CrossRef]
- Zhang, W.J.; Li, G.H.; Yang, Y.M.; Li, Q.; Zhang, J.; Liu, J.Y.; Wang, S.; Tang, S.; Ding, Y.F. Effects of Nitrogen Application Rate and Ratio on Lodging Resistance of Super Rice with Different Genotypes. J. Integr. Agric. 2014, 13, 63–72. [Google Scholar] [CrossRef]
- Ouyang, W.; Yin, X.; Yang, J.; Struik, P.C. Roles of Canopy Architecture and Nitrogen Distribution in the Better Performance of an Aerobic than a Lowland Rice Cultivar under Water Deficit. Field Crops Res. 2021, 271, 108257. [Google Scholar] [CrossRef]
- Ju, C.; Zhu, Y.; Liu, T.; Sun, C. The Effect of Nitrogen Reduction at Different Stages on Grain Yield and Nitrogen Use Efficiency for Nitrogen Efficient Rice Varieties. Agronomy 2021, 11, 462. [Google Scholar] [CrossRef]
- Song, T.; Xu, F.; Yuan, W.; Chen, M.; Hu, Q.; Tian, Y.; Zhang, J.; Xu, W. Combining Alternate Wetting and Drying Irrigation with Reduced Phosphorus Fertilizer Application Reduces Water Use and Promotes Phosphorus Use Efficiency without Yield Loss in Rice Plants. Agric. Water Manag. 2019, 223, 105686. [Google Scholar] [CrossRef]
- Ali, A.; Xu, P.; Riaz, A.; Wu, X. Current Advances in Molecular Mechanisms and Physiological Basis of Panicle Degeneration in Rice. Int. J. Mol. Sci. 2019, 20, 1613. [Google Scholar] [CrossRef]
- Idowu, O.; Wang, Y.; Homma, K.; Nakazaki, T.; Xu, Z.; Shiraiwa, T. Interaction of Erect Panicle Genotype and Nitrogen Fertilizer Application on the Source-Sink Ratio and Nitrogen Use Efficiency in Rice. Field Crops Res. 2022, 278, 108430. [Google Scholar] [CrossRef]
- Sui, B.; Feng, X.; Tian, G.; Hu, X.; Shen, Q.; Guo, S. Optimizing Nitrogen Supply Increases Rice Yield and Nitrogen Use Efficiency by Regulating Yield Formation Factors. Field Crops Res. 2013, 150, 99–107. [Google Scholar] [CrossRef]
- Ye, C.; Ma, H.; Huang, X.; Xu, C.; Chen, S.; Chu, G.; Zhang, X.; Wang, D. Effects of Increasing Panicle-Stage N on Yield and N Use Efficiency of Indica Rice and Its Relationship with Soil Fertility. Crop J. 2022, 10, 1784–1797. [Google Scholar] [CrossRef]
- Zhang, W.; Zhu, K.; Wang, Z.; Zhang, H.; Gu, J.; Liu, L.; Yang, J.; Zhang, J. Brassinosteroids Function in Spikelet Differentiation and Degeneration in Rice. J. Integr. Plant Biol. 2019, 61, 943–963. [Google Scholar] [CrossRef] [PubMed]
- Gao, Z.; Liang, X.G.; Zhang, L.; Lin, S.; Zhao, X.; Zhou, L.L.; Shen, S.; Zhou, S.L. Spraying Exogenous 6-Benzyladenine and Brassinolide at Tasseling Increases Maize Yield by Enhancing Source and Sink Capacity. Field Crops Res. 2017, 211, 1–9. [Google Scholar] [CrossRef]
- Krouk, G. Hormones and Nitrate: A Two-Way Connection. Plant Mol. Biol. 2016, 91, 599–606. [Google Scholar] [CrossRef] [PubMed]
- Chu, G.; Chen, S.; Xu, C.; Wang, D.; Zhang, X. Agronomic and Physiological Performance of Indica/Japonica Hybrid Rice Cultivar under Low Nitrogen Conditions. Field Crops Res. 2019, 243, 107625. [Google Scholar] [CrossRef]
- Pan, J.; Cui, K.; Wei, D.; Huang, J.; Xiang, J.; Nie, L. Relationships of Non-Structural Carbohydrates Accumulation and Translocation with Yield Formation in Rice Recombinant Inbred Lines under Two Nitrogen Levels. Physiol. Plant. 2011, 141, 321–331. [Google Scholar] [CrossRef]
- Wang, Z.; Zhang, W.; Beebout, S.S.; Zhang, H.; Liu, L.; Yang, J.; Zhang, J. Grain Yield, Water and Nitrogen Use Efficiencies of Rice as Influenced by Irrigation Regimes and Their Interaction with Nitrogen Rates. Field Crops Res. 2016, 193, 54–69. [Google Scholar] [CrossRef]
- Li, G.; Pan, J.; Cui, K.; Yuan, M.; Hu, Q.; Wang, W.; Mohapatra, P.K.; Nie, L.; Huang, J.; Peng, S. Limitation of Unloading in the Developing Grains Is a Possible Cause Responsible for Low Stem Non-Structural Carbohydrate Translocation and Poor Grain Yield Formation in Rice through Verification of Recombinant Inbred Lines. Front. Plant Sci. 2017, 8, 1369. [Google Scholar] [CrossRef]
- Ramasamy, S.; ten Berge, H.F.M.; Purushothaman, S. Yield Formation in Rice in Response to Drainage and Nitrogen Application. Field Crops Res. 1997, 51, 65–82. [Google Scholar] [CrossRef]
- Liu, K.; Li, T.; Chen, Y.; Huang, J.; Qiu, Y.; Li, S.; Wang, H.; Zhu, A.; Zhuo, X.; Yu, F.; et al. Effects of Root Morphology and Physiology on the Formation and Regulation of Large Panicles in Rice. Field Crops Res. 2020, 258, 107946. [Google Scholar] [CrossRef]
- Foyer, C.H.; Valadier, M.H.; Migge, A.; Becker, T.W. Drought-Induced Effects on Nitrate Reductase Activity and MRNA and on the Coordination of Nitrogen and Carbon Metabolism in Maize Leaves. Plant Physiol. 1998, 117, 283–292. [Google Scholar] [CrossRef] [PubMed]
- Hayakawa, T.; Yamaya, T.; Mae, T.; Ojima, K. Changes in the Content of Two Glutamate Synthase Proteins in Spikelets of Rice (Oryza sativa) Plants during Ripening. Plant Physiol. 1993, 101, 1257–1262. [Google Scholar] [CrossRef] [PubMed]
- Chen, Y.; Fan, P.; Mo, Z.; Kong, L.; Tian, H.; Duan, M.; Li, L.; Wu, L.; Wang, Z.; Tang, X.; et al. Deep Placement of Nitrogen Fertilizer Affects Grain Yield, Nitrogen Recovery Efficiency, and Root Characteristics in Direct-Seeded Rice in South China. J. Plant Growth Regul. 2021, 40, 379–387. [Google Scholar] [CrossRef]
- Hou, M.; Yu, M.; Li, Z.; Ai, Z.; Chen, J. Molecular Regulatory Networks for Improving Nitrogen Use Efficiency in Rice. Int. J. Mol. Sci. 2021, 22, 9040. [Google Scholar] [CrossRef]
- Liu, Y.; Wang, H.; Jiang, Z.; Wang, W.; Xu, R.; Wang, Q.; Zhang, Z.; Li, A.; Liang, Y.; Ou, S.; et al. Genomic Basis of Geographical Adaptation to Soil Nitrogen in Rice. Nature 2021, 590, 600–605. [Google Scholar] [CrossRef]
- Chong, H.; Jiang, Z.; Shang, L.; Shang, C.; Deng, J.; Zhang, Y.; Huang, L. Dense Planting with Reduced Nitrogen Input Improves Grain Yield, Protein Quality, and Resource Use Efficiency in Hybrid Rice. J. Plant Growth Regul. 2023, 42, 960–972. [Google Scholar] [CrossRef]
- Zhang, Z.; Chu, C. Nitrogen-Use Divergence Between Indica and Japonica Rice: Variation at Nitrate Assimilation. Mol. Plant 2020, 13, 6–7. [Google Scholar] [CrossRef]
- Liu, Y.; Zhu, X.; He, X.; Li, C.; Chang, T.; Chang, S.; Zhang, H.; Zhang, Y. Scheduling of Nitrogen Fertilizer Topdressing during Panicle Differentiation to Improve Grain Yield of Rice with a Long Growth Duration. Sci. Rep. 2020, 10, 15197. [Google Scholar] [CrossRef]
- Jin, Z.; Shah, T.; Zhang, L.; Liu, H.; Peng, S.; Nie, L. Effect of Straw Returning on Soil Organic Carbon in Rice–Wheat Rotation System: A Review. Food Energy Secur. 2020, 9, e200. [Google Scholar] [CrossRef]
- Wu, T.; Li, C.; Xing, X.; Pan, X.; Liu, C.; Tian, Y.; Wang, Z.; Zhao, J.; Wang, J.; He, B. Straw Return and Organic Fertilizers Instead of Chemical Fertilizers on Growth, Yield and Quality of Rice. Earth Sci. Inform. 2022, 15, 1363–1369. [Google Scholar] [CrossRef]
- Zhang, H.; Li, H.; Yuan, L.; Wang, Z.; Yang, J.; Zhang, J. Post-Anthesis Alternate Wetting and Moderate Soil Drying Enhances Activities of Key Enzymes in Sucrose-to-Starch Conversion in Inferior Spikelets of Rice. J. Exp. Bot. 2012, 63, 215–227. [Google Scholar] [CrossRef]
- Xu, H.; Wang, Z.; Xiao, F.; Yang, L.; Li, G.; Ding, Y.; Paul, M.J.; Li, W.; Liu, Z. Dynamics of Dry Matter Accumulation in Internodes Indicates Source and Sink Relations during Grain-Filling Stage of Japonica Rice. Field Crops Res. 2021, 263, 108009. [Google Scholar] [CrossRef]
- Wang, W.; Cai, C.; He, J.; Gu, J.; Zhu, G.; Zhang, W.; Zhu, J.; Liu, G. Yield, Dry Matter Distribution and Photosynthetic Characteristics of Rice under Elevated CO2 and Increased Temperature Conditions. Field Crops Res. 2020, 248, 107605. [Google Scholar] [CrossRef]
- Zheng, Y.M.; Ding, Y.F.; Liu, Z.H.; Wang, S.H. Effects of Panicle Nitrogen Fertilization on Non-Structural Carbohydrate and Grain Filling in Indica Rice. Agric. Sci. China 2010, 9, 1630–1640. [Google Scholar] [CrossRef]
- Jiang, Q.; Du, Y.; Tian, X.; Wang, Q.; Xiong, R.; Xu, G.; Yan, C.; Ding, Y. Effect of Panicle Nitrogen on Grain Filling Characteristics of High-Yielding Rice Cultivars. Eur. J. Agron. 2016, 74, 185–192. [Google Scholar] [CrossRef]
- Li, C.Z.; Yang, L.; Lin, Y.J.; Zhang, H.; Rad, S.; Yu, X.Z. Assimilation of Exogenous Cyanide Cross Talk in Oryza sativa L. to the Key Nodes in Nitrogen Metabolism. Ecotoxicology 2020, 29, 1552–1564. [Google Scholar] [CrossRef] [PubMed]
- Guo, X.; Hu, Y.; Jiang, H.; Lan, Y.; Wang, H.; Xu, L.; Yin, D.; Wang, H.; Zheng, G.; Lv, Y. Improving Photosynthetic Production in Rice Using Integrated Crop Management in Northeast China. Crop Sci. 2020, 60, 454–465. [Google Scholar] [CrossRef]
- Del Bianco, M.; Giustini, L.; Sabatini, S. Spatiotemporal Changes in the Role of Cytokinin during Root Development. New Phytol. 2013, 199, 324–338. [Google Scholar] [CrossRef]
- Zheng, C.; Zhu, Y.; Wang, C.; Guo, T. Wheat Grain Yield Increase in Response to Pre-Anthesis Foliar Application of 6-Benzylaminopurine Is Dependent on Floret Development. PLoS ONE 2016, 11, e0156627. [Google Scholar] [CrossRef]
- Kawai, T.; Chen, Y.; Takahashi, H.; Inukai, Y.; Siddique, K.H.M. Rice Genotypes Express Compensatory Root Growth With Altered Root Distributions in Response to Root Cutting. Front. Plant Sci. 2022, 13, 830577. [Google Scholar] [CrossRef]
- Chu, G.; Xu, R.; Chen, S.; Xu, C.; Liu, Y.; Abliz, B.; Zhang, X.; Wang, D. Root Morphological-physiological Traits for Japonica/Indica Hybrid Rice with Better Yield Performance under Low N Conditions. Food Energy Secur. 2022, 11, e355. [Google Scholar] [CrossRef]
- Wang, D.R.; Wolfrum, E.J.; Virk, P.; Ismail, A.; Greenberg, A.J.; McCouch, S.R. Robust Phenotyping Strategies for Evaluation of Stem Non-Structural Carbohydrates (NSC) in Rice. J. Exp. Bot. 2016, 67, 6125–6138. [Google Scholar] [CrossRef] [PubMed]
- Lee, S.; Park, J.; Yim, Y. Genetic Modification of Rice for Efficient Nitrogen Utilization. Plant Biotechnol. Rep. 2021, 15, 573–583. [Google Scholar] [CrossRef]
- Deng, F.; Wang, L.; Mei, X.F.; Li, S.X.; Pu, S.L.; Ren, W.J. Polyaspartate Urea and Nitrogen Management Affect Nonstructural Carbohydrates and Yield of Rice. Crop Sci. 2016, 56, 3272–3285. [Google Scholar] [CrossRef]
- Zhu, K.; Yan, J.; Shen, Y.; Zhang, W.; Xu, Y.; Wang, Z.; Yang, J. Deciphering the Morpho–Physiological Traits for High Yield Potential in Nitrogen Efficient Varieties (NEVs): A Japonica Rice Case Study. J. Integr. Agric. 2022, 21, 947–963. [Google Scholar] [CrossRef]
- Li, G.; Hu, Q.; Shi, Y.; Cui, K.; Nie, L.; Huang, J.; Peng, S. Low Nitrogen Application Enhances Starch-Metabolizing Enzyme Activity and Improves Accumulation and Translocation of Non-Structural Carbohydrates in Rice Stems. Front. Plant Sci. 2018, 9, 1128. [Google Scholar] [CrossRef]
- Zhen, F.; Zhou, J.; Mahmood, A.; Wang, W.; Chang, X.; Liu, B.; Liu, L.; Cao, W.; Zhu, Y.; Tang, L. Quantifying the Effects of Short-Term Heat Stress at Booting Stage on Nonstructural Carbohydrates Remobilization in Rice. Crop J. 2020, 8, 194–212. [Google Scholar] [CrossRef]
- Lancien, M.; Martin, M.; Hsieh, M.H.; Leustek, T.; Goodman, H.; Coruzzi, G.M. Arabidopsis Glt1-T Mutant Defines a Role for NADH-GOGAT in the Non-Photorespiratory Ammonium Assimilatory Pathway. Plant J. 2002, 29, 347–358. [Google Scholar] [CrossRef] [PubMed]
- Brauer, E.K.; Rochon, A.; Bi, Y.M.; Bozzo, G.G.; Rothstein, S.J.; Shelp, B.J. Reappraisal of Nitrogen Use Efficiency in Rice Overexpressing Glutamine Synthetase1. Physiol. Plant. 2011, 141, 361–372. [Google Scholar] [CrossRef] [PubMed]
Disclaimer/Publisher’s Note: The statements, opinions and data contained in all publications are solely those of the individual author(s) and contributor(s) and not of MDPI and/or the editor(s). MDPI and/or the editor(s) disclaim responsibility for any injury to people or property resulting from any ideas, methods, instructions or products referred to in the content. |
© 2023 by the authors. Licensee MDPI, Basel, Switzerland. This article is an open access article distributed under the terms and conditions of the Creative Commons Attribution (CC BY) license (https://creativecommons.org/licenses/by/4.0/).














