Effects of Meteorological Factors and Water-Nitrogen Management Techniques on Carbon Dioxide Fluxes in Wheat Fields in a Dry Semi-Humid Area
Abstract
1. Introduction
2. Materials and Methods
2.1. Experimental Site Description
2.2. Experimental Design and Implementation
2.3. Indicator Monitoring Methods
2.3.1. CO2-C Flux Measurement
2.3.2. Meteorological Factor Monitoring
2.4. Statistical Analysis
3. Results
3.1. Dynamics of CO2-C Fluxes in Wheat Fields
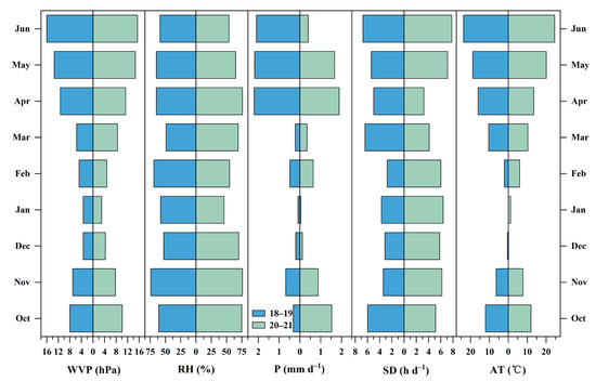
3.2. Dynamics of Meteorological Factors
3.3. Responses of CO2-C Fluxes to Meteorological Factors
3.3.1. Correlation Analysis
3.3.2. Path Analysis
3.4. Modeling Based on PLS Analysis
3.5. Model Validation
4. Discussion
4.1. Responses of Ecosystem Carbon Dioxide Fluxes to Meteorological Factors
4.2. Responses of Ecosystem Carbon Dioxide Fluxes to Water and Nitrogen Managements
4.3. Modeling the Relationships between Ecosystem Carbon Dioxide Fluxes and Meteorological Factors
5. Conclusions
Supplementary Materials
Author Contributions
Funding
Data Availability Statement
Acknowledgments
Conflicts of Interest
References
- IPCC. Climate Change 2021: The Physical Science Basis. Contribution of Working Group I to the Sixth Assessment Report of the Intergovernmental Panel on Climate Change; Cambridge University Press: Cambridge, UK; New York, NY, USA, 2021. [Google Scholar]
- Liu, C.; Wu, Z.; Hu, Z.; Yin, N.; Islam, A.T.; Wei, Z. Characteristics and influencing factors of carbon fluxes in winter wheat fields under elevated CO2 concentration. Environ. Pollut. 2022, 307, 119480. [Google Scholar] [CrossRef] [PubMed]
- Fatumah, N.; Munishi, L.K.; Ndakidemi, P.A. Variations in greenhouse gas fluxes in response to short-term changes in weather variables at three elevation ranges, wakiso district, Uganda. Atmosphere 2019, 10, 708. [Google Scholar] [CrossRef]
- Pratibha, G.; Srinivas, I.; Rao, K.; Shanker, A.K.; Raju, B.; Choudhary, D.K.; Rao, K.S.; Srinivasarao, C.; Maheswari, M. Net global warming potential and greenhouse gas intensity of conventional and conservation agriculture system in rainfed semi arid tropics of India. Atmos. Environ. 2016, 145, 239–250. [Google Scholar] [CrossRef]
- Li, S.; Hu, M.; Shi, J.; Tian, X.; Wu, J. Integrated wheat-maize straw and tillage management strategies influence economic profit and carbon footprint in the Guanzhong Plain of China. Sci. Total Environ. 2021, 767, 145347. [Google Scholar] [CrossRef] [PubMed]
- Lal, R.; Follett, R.F.; Stewart, B.A.; Kimble, J.M. Soil carbon sequestration to mitigate climate change and advance food security. Soil Sci. 2007, 172, 943–956. [Google Scholar] [CrossRef]
- La Scala, N., Jr.; Panosso, A.; Pereira, G. Modelling short-term temporal changes of bare soil CO2 emissions in a tropical agrosystem by using meteorological data. Appl. Soil Ecol. 2003, 24, 113–116. [Google Scholar] [CrossRef]
- Jabro, J.; Sainju, U.; Stevens, W.; Evans, R. Carbon dioxide flux as affected by tillage and irrigation in soil converted from perennial forages to annual crops. J. Environ. Manag. 2008, 88, 1478–1484. [Google Scholar] [CrossRef]
- Wang, W.; Liao, Y.; Wen, X.; Guo, Q. Dynamics of CO2 fluxes and environmental responses in the rain-fed winter wheat ecosystem of the Loess Plateau, China. Sci. Total Environ. 2013, 461, 10–18. [Google Scholar] [CrossRef] [PubMed]
- Dhadli, H.S.; Brar, B.; Black, T. Influence of crop growth and weather variables on soil CO2 emissions in a maize-wheat cropping system. Agric. Res. J. 2015, 52, 28–34. [Google Scholar] [CrossRef]
- He, X.; Du, Z.; Wang, Y.; Lu, N.; Zhang, Q. Sensitivity of soil respiration to soil temperature decreased under deep biochar amended soils in temperate croplands. Appl. Soil Ecol. 2016, 108, 204–210. [Google Scholar] [CrossRef]
- Yang, J.; Duan, Y.; Yang, X.; Awasthi, M.K.; Li, H.; Zhang, L. Modeling CO2 exchange and meteorological factors of an apple orchard using partial least square regression. Environ. Sci. Pollut. Res. 2020, 27, 43439–43451. [Google Scholar] [CrossRef] [PubMed]
- Jiang, Y.; Wang, P.; Xu, X.; Zhang, J. Dynamics of carbon fluxes with responses to vegetation, meteorological and terrain factors in the south-eastern Tibetan Plateau. Environ. Earth Sci. 2014, 72, 4551–4565. [Google Scholar] [CrossRef]
- Yue-Lin, L.; Otieno, D.; Owen, K.; Zhang, Y.; Tenhunen, J.; Xing-Quan, R.; Yong-Biao, L. Temporal variability in soil CO2 emission in an orchard forest ecosystem. Pedosphere 2008, 18, 273–283. [Google Scholar]
- Zhu, Z.; Chen, D. Nitrogen fertilizer use in China–Contributions to food production, impacts on the environment and best management strategies. Nutr. Cycl. Agroecosyst. 2002, 63, 117–127. [Google Scholar] [CrossRef]
- Trost, B.; Prochnow, A.; Drastig, K.; Meyer-Aurich, A.; Ellmer, F.; Baumecker, M. Irrigation, soil organic carbon and N2O emissions. A review. Agron. Sustain. Dev. 2013, 33, 733–749. [Google Scholar] [CrossRef]
- Yang, X.; Lu, Y.; Ding, Y.; Yin, X.; Raza, S. Optimising nitrogen fertilisation: A key to improving nitrogen-use efficiency and minimising nitrate leaching losses in an intensive wheat/maize rotation (2008–2014). Field Crops Res. 2017, 206, 1–10. [Google Scholar] [CrossRef]
- Zhang, W.; He, X.; Zhang, Z.; Gong, S.; Zhang, Q.; Zhang, W.; Liu, D.; Zou, C.; Chen, X. Carbon footprint assessment for irrigated and rainfed maize (Zea mays L.) production on the Loess Plateau of China. Biosyst. Eng. 2018, 167, 75–86. [Google Scholar] [CrossRef]
- Sainju, U.M.; Jabro, J.D.; Stevens, W.B. Soil carbon dioxide emission and carbon content as affected by irrigation, tillage, cropping system, and nitrogen fertilization. J. Environ. Qual. 2008, 37, 98–106. [Google Scholar] [CrossRef]
- Hou, H.; Yang, Y.; Han, Z.; Cai, H.; Li, Z. Deficit irrigation effectively reduces soil carbon dioxide emissions from wheat fields in Northwest China. J. Sci. Food Agric. 2019, 99, 5401–5408. [Google Scholar] [CrossRef] [PubMed]
- Sapkota, A.; Haghverdi, A.; Avila, C.C.; Ying, S.C. Irrigation and greenhouse gas emissions: A review of field-based studies. Soil Syst. 2020, 4, 20. [Google Scholar] [CrossRef]
- Zhou, L.; Zhou, X.; Zhang, B.; Lu, M.; Luo, Y.; Liu, L.; Li, B. Different responses of soil respiration and its components to nitrogen addition among biomes: A meta-analysis. Glob. Chang. Biol. 2014, 20, 2332–2343. [Google Scholar] [CrossRef]
- Mancinelli, R.; Marinari, S.; Brunetti, P.; Radicetti, E.; Campiglia, E. Organic mulching, irrigation and fertilization affect soil CO2 emission and C storage in tomato crop in the Mediterranean environment. Soil Tillage Res. 2015, 152, 39–51. [Google Scholar] [CrossRef]
- Qiu, W.; Liu, J.; Li, B.; Wang, Z. N2O and CO2 emissions from a dryland wheat cropping system with long-term N fertilization and their relationships with soil C, N, and bacterial community. Environ. Sci. Pollut. Res. 2020, 27, 8673–8683. [Google Scholar] [CrossRef] [PubMed]
- Zheng, Z.; Hoogenboom, G.; Cai, H.; Wang, Z. Winter wheat production on the Guanzhong Plain of Northwest China under projected future climate with SimCLIM. Agric. Water Manag. 2020, 239, 106233. [Google Scholar] [CrossRef]
- Li, C.; Wang, C.; Wen, X.; Qin, X.; Liu, Y.; Han, J.; Li, Y.; Liao, Y.; Wu, W. Ridge–furrow with plastic film mulching practice improves maize productivity and resource use efficiency under the wheat–maize double–cropping system in dry semi–humid areas. Field Crops Res. 2017, 203, 201–211. [Google Scholar] [CrossRef]
- Li, W.; Xiong, L.; Wang, C.; Liao, Y.; Wu, W. Optimized ridge–furrow with plastic film mulching system to use precipitation efficiently for winter wheat production in dry semi–humid areas. Agric. Water Manag. 2019, 218, 211–221. [Google Scholar] [CrossRef]
- Igrejas, G.; Branlard, G. The importance of wheat. In Wheat Quality for Improving Processing Human Health; Igrejas, G., Ikeda, T.M., Guzmán, C., Eds.; Springer: Cham, Switzerland, 2020; pp. 1–7. [Google Scholar]
- Wu, M.; Xu, Y.; Zheng, J.; Hao, Z. North Expansion of Winter Wheat Planting Area in China under Different Emissions Scenarios. Agriculture 2022, 12, 763. [Google Scholar] [CrossRef]
- Hu, Y.; Ma, P.; Zhang, B.; Hill, R.L.; Wu, S.; Chen, G. Exploring optimal soil mulching for the wheat-maize cropping system in sub-humid drought-prone regions in China. Agric. Water Manag. 2019, 219, 59–71. [Google Scholar] [CrossRef]
- Li, R.; Hou, X.; Jia, Z.; Han, Q. Soil environment and maize productivity in semi-humid regions prone to drought of Weibei Highland are improved by ridge-and-furrow tillage with mulching. Soil Tillage Res. 2020, 196, 104476. [Google Scholar] [CrossRef]
- Beetz, S.; Liebersbach, H.; Glatzel, S.; Jurasinski, G.; Buczko, U.; Höper, H. Effects of land use intensity on the full greenhouse gas balance in an Atlantic peat bog. Biogeosciences 2013, 10, 1067–1082. [Google Scholar] [CrossRef]
- Vera, J.C.; Acreche, M.M. Towards a baseline for reducing the carbon budget in sugarcane: Three years of carbon dioxide and methane emissions quantification. Agric. Ecosyst. Environ. 2018, 267, 156–164. [Google Scholar] [CrossRef]
- Du, Y.; Du, J.; Liu, X.; Yuan, Z. Multiple-to-multiple path analysis model. PLoS ONE 2021, 16, e0247722. [Google Scholar] [CrossRef] [PubMed]
- Levanoni, O.; Bishop, K.; Mckie, B.G.; Hartman, G.r.; Eklöf, K.; Ecke, F. Impact of beaver pond colonization history on methylmercury concentrations in surface water. Environ. Sci. Technol. 2015, 49, 12679–12687. [Google Scholar] [CrossRef]
- Jia, Q.; Yu, W.; Zhou, L.; Liang, C. Atmospheric and surface-condition effects on CO2 exchange in the Liaohe Delta Wetland, China. Water 2017, 9, 806. [Google Scholar] [CrossRef]
- Obrador, B.; von Schiller, D.; Marcé, R.; Gómez-Gener, L.; Koschorreck, M.; Borrego, C.; Catalán, N. Dry habitats sustain high CO2 emissions from temporary ponds across seasons. Sci. Rep. 2018, 8, 3015. [Google Scholar] [CrossRef] [PubMed]
- Cai, J.; Xu, K.; Zhu, Y.; Hu, F.; Li, L. Prediction and analysis of net ecosystem carbon exchange based on gradient boosting regression and random forest. Appl. Energy 2020, 262, 114566. [Google Scholar] [CrossRef]
- Chicco, D.; Warrens, M.J.; Jurman, G. The coefficient of determination R-squared is more informative than SMAPE, MAE, MAPE, MSE and RMSE in regression analysis evaluation. PeerJ Comput. Sci. 2021, 7, e623. [Google Scholar] [CrossRef]
- Feiziene, D.; Feiza, V.; Vaideliene, A.; Povilaitis, V.; Antanaitis, S. Soil surface carbon dioxide exchange rate as affected by soil texture, different long-term tillage application and weather. Agriculture 2010, 97, 25–42. [Google Scholar]
- Golovatskaya, E.; Dyukarev, E. The influence of environmental factors on the CO2 emission from the surface of oligotrophic peat soils in West Siberia. Eurasian Soil Sci. 2012, 45, 588. [Google Scholar] [CrossRef]
- Huang, H.; Zhang, J.; Meng, P.; Fu, Y.; Zheng, N.; Gao, J. Seasonal variation and meteorological control of CO2 flux in a hilly plantation in the mountain areas of North China. Acta Meteorol. Sin. 2011, 25, 238–248. [Google Scholar] [CrossRef]
- Hontoria, C.; Saa, A.; Rodríguez-Murillo, J. Relationships between soil organic carbon and site characteristics in peninsular Spain. Soil Sci. Soc. Am. J. 1999, 63, 614–621. [Google Scholar] [CrossRef]
- Yin, X. Atmospheric water vapor pressure over land surfaces: A generic algorithm with data input limited to air temperature, precipitation and geographic location. Theor. Appl. Climatol. 1999, 63, 183–194. [Google Scholar] [CrossRef]
- Driesen, E.; Van den Ende, W.; De Proft, M.; Saeys, W. Influence of environmental factors light, CO2, temperature, and relative humidity on stomatal opening and development: A review. Agronomy 2020, 10, 1975. [Google Scholar] [CrossRef]
- Talbott, L.D.; Rahveh, E.; Zeiger, E. Relative humidity is a key factor in the acclimation of the stomatal response to CO2. J. Exp. Bot. 2003, 54, 2141–2147. [Google Scholar] [CrossRef] [PubMed]
- Song, X.; Yuan, H.; Kimberley, M.O.; Jiang, H.; Zhou, G.; Wang, H. Soil CO2 flux dynamics in the two main plantation forest types in subtropical China. Sci. Total Environ. 2013, 444, 363–368. [Google Scholar] [CrossRef] [PubMed]
- Mukhopadhyay, S.; Maiti, S. Soil CO2 flux in grassland, afforested land and reclaimed coalmine overburden dumps: A case study. Land Degrad. Dev. 2014, 25, 216–227. [Google Scholar] [CrossRef]
- Melling, L.; Hatano, R.; Goh, K.J. Soil CO2 flux from three ecosystems in tropical peatland of Sarawak, Malaysia. Tellus Ser. B-Chem. Phys. Meteorol. 2005, 57, 1–11. [Google Scholar] [CrossRef]
- Yan, L.; Chen, S.; Huang, J.; Lin, G. Differential responses of auto-and heterotrophic soil respiration to water and nitrogen addition in a semiarid temperate steppe. Glob. Chang. Biol. 2010, 16, 2345–2357. [Google Scholar] [CrossRef]
- Jia, X.; Shao, M.; Wei, X. Soil CO2 efflux in response to the addition of water and fertilizer in temperate semiarid grassland in northern China. Plant Soil 2013, 373, 125–141. [Google Scholar] [CrossRef]
- Liu, Y.; Li, S.; Yang, S.; Hu, W.; Chen, X. Diurnal and seasonal soil CO2 flux patterns in spring maize fields on the Loess Plateau, China. Acta Agric. Scand. Sect. B-Soil Plant Sci. 2010, 60, 245–255. [Google Scholar]
- Wang, Y.; Cheng, S.; Fang, H.; Yu, G.; Xu, X.; Xu, M.; Wang, L.; Li, X.; Si, G.; Geng, J. Contrasting effects of ammonium and nitrate inputs on soil CO2 emission in a subtropical coniferous plantation of southern China. Biol. Fertil. Soils 2015, 51, 815–825. [Google Scholar] [CrossRef]
- Yan, W.; Zhong, Y.; Liu, J.; Shangguan, Z. Response of soil respiration to nitrogen fertilization: Evidence from a 6-year field study of croplands. Geoderma 2021, 384, 114829. [Google Scholar] [CrossRef]
- Shao, R.; Deng, L.; Yang, Q.; Shangguan, Z. Nitrogen fertilization increase soil carbon dioxide efflux of winter wheat field: A case study in Northwest China. Soil Tillage Res. 2014, 143, 164–171. [Google Scholar] [CrossRef]
- Qin, Z.; Su, G.; Zhang, J.; Ouyang, Y.; Yu, Q.; Li, J. Identification of important factors for water vapor flux and CO2 exchange in a cropland. Ecol. Model. 2010, 221, 575–581. [Google Scholar] [CrossRef]






| Factors | bi | rij*bj | riy | R(i) | R2 and e | |||||
|---|---|---|---|---|---|---|---|---|---|---|
| AT | RH | WVP | P | SD | ||||||
| R | AT | 0.1412 | - | −0.0122 | 0.4983 | 0.2798 | −0.1206 | 0.7866 | 0.2022 | 0.7717 and 0.4778 |
| RH | −0.2373 | 0.0073 | - | 0.1133 | 0.1639 | 0.0865 | 0.1337 | −0.1198 | ||
| WVP | 0.5136 | 0.1370 | −0.0523 | - | 0.3100 | −0.0983 | 0.8100 | 0.5682 | ||
| P | 0.4108 | 0.0962 | −0.0947 | 0.3876 | - | −0.0179 | 0.7820 | 0.4737 | ||
| SD | −0.2248 | 0.0757 | 0.0913 | 0.2246 | 0.0327 | - | 0.1994 | −0.1402 | ||
| I | AT | 0.1410 | - | −0.0106 | 0.5191 | 0.2435 | −0.1277 | 0.7653 | 0.1959 | 0.7275 and 0.5220 |
| RH | −0.2063 | 0.0073 | - | 0.1180 | 0.1427 | 0.0916 | 0.1532 | −0.1058 | ||
| WVP | 0.5350 | 0.1368 | −0.0455 | - | 0.2698 | −0.1041 | 0.7920 | 0.5612 | ||
| P | 0.3575 | 0.0960 | −0.0823 | 0.4038 | - | −0.0190 | 0.7560 | 0.4127 | ||
| SD | −0.2381 | 0.0756 | 0.0794 | 0.2339 | 0.0285 | - | 0.1792 | −0.1420 | ||
| RN | AT | 0.0668 | - | −0.0124 | 0.6892 | 0.1914 | −0.1153 | 0.8197 | 0.1050 | 0.7815 and 0.4675 |
| RH | −0.2414 | 0.0034 | - | 0.1567 | 0.1121 | 0.0827 | 0.1135 | −0.1131 | ||
| WVP | 0.7104 | 0.0648 | −0.0532 | - | 0.2121 | −0.0940 | 0.8400 | 0.6888 | ||
| P | 0.2810 | 0.0455 | −0.0963 | 0.5361 | - | −0.0171 | 0.7491 | 0.3420 | ||
| SD | −0.2150 | 0.0358 | 0.0929 | 0.3106 | 0.0224 | - | 0.2467 | −0.1523 | ||
| IN | AT | 0.0415 | - | −0.0123 | 0.7340 | 0.1578 | −0.1176 | 0.8034 | 0.0650 | 0.7433 and 0.5067 |
| RH | −0.2386 | 0.0021 | - | 0.1669 | 0.0924 | 0.0844 | 0.1072 | −0.1081 | ||
| WVP | 0.7565 | 0.0403 | −0.0526 | - | 0.1748 | −0.0959 | 0.8231 | 0.6731 | ||
| P | 0.2316 | 0.0283 | −0.0952 | 0.5710 | - | −0.0175 | 0.7182 | 0.2790 | ||
| SD | −0.2194 | 0.0223 | 0.0918 | 0.3308 | 0.0184 | - | 0.2439 | −0.1552 | ||
| Meteorological Factors | Tolerance | VIF |
|---|---|---|
| AT | 0.029 | 34.216 |
| RH | 0.446 | 2.244 |
| WVP | 0.027 | 37.079 |
| P | 0.342 | 2.926 |
| SD | 0.496 | 2.015 |
| Model Number | Meteorological Factors | R | I | RN | IN | ||||
|---|---|---|---|---|---|---|---|---|---|
| R2Y (cum) | Q2 (cum) | R2Y (cum) | Q2 (cum) | R2Y (cum) | Q2 (cum) | R2Y (cum) | Q2 (cum) | ||
| 1 | P, AT, WVP, RH, SD | 0.696 | 0.669 | 0.659 | 0.626 | 0.715 | 0.684 | 0.679 | 0.641 |
| 2 | P, AT, RH, SD | 0.693 | 0.651 | 0.653 | 0.600 | 0.698 | 0.643 | 0.658 | 0.593 |
| 3 | P, WVP, RH, SD | 0.687 | 0.651 | 0.648 | 0.601 | 0.694 | 0.646 | 0.655 | 0.598 |
| 4 | P, AT, WVP, RH | 0.714 | 0.702 | 0.676 | 0.662 | 0.733 | 0.716 | 0.696 | 0.674 |
| 5 | P, AT, WVP, SD | 0.701 | 0.678 | 0.663 | 0.636 | 0.720 | 0.696 | 0.683 | 0.655 |
| 6 | P, AT, WVP | 0.724 | 0.714 | 0.684 | 0.675 | 0.743 | 0.731 | 0.704 | 0.690 |
| 7 | P, AT, RH | 0.714 | 0.698 | 0.672 | 0.652 | 0.719 | 0.692 | 0.678 | 0.645 |
| 8 | P, AT, SD | 0.701 | 0.668 | 0.659 | 0.618 | 0.704 | 0.665 | 0.664 | 0.618 |
| 9 | P, WVP, RH | 0.696 | 0.678 | 0.658 | 0.636 | 0.700 | 0.673 | 0.661 | 0.629 |
| 10 | P, WVP, SD | 0.704 | 0.676 | 0.664 | 0.629 | 0.708 | 0.675 | 0.668 | 0.628 |
| 11 | P, AT | 0.732 | 0.724 | 0.688 | 0.679 | 0.735 | 0.720 | 0.692 | 0.675 |
| 12 | P, WVP | 0.723 | 0.713 | 0.683 | 0.674 | 0.724 | 0.709 | 0.683 | 0.666 |
| R | I | RN | IN | |||||
|---|---|---|---|---|---|---|---|---|
| SC | UC | SC | UC | SC | UC | SC | UC | |
| AT | 0.468 # 0.124 | 95.297 | 0.455 # 0.144 | 102.214 | 0.314 # 0.090 | 100.678 | 0.308 # 0.104 | 108.605 |
| WVP | - | - | - | - | 0.322 # 0.069 | 190.014 | 0.315 # 0.085 | 204.925 |
| P | 0.465 # 0.151 | 952.450 | 0.450 # 0.137 | 1015.100 | 0.287 # 0.135 | 924.994 | 0.275 # 0.126 | 975.974 |
| Const | 1.075 | −71.969 | 1.073 | −21.553 | 1.078 | −698.781 | 1.063 | −717.445 |
| r | RMSE (mg m−2 d−1) | SMAPE | |
|---|---|---|---|
| R | 0.985 | 324.05 | 22.01% |
| I | 0.988 | 265.72 | 16.40% |
| RN | 0.993 | 551.84 | 22.78% |
| IN | 0.989 | 517.40 | 19.29% |
Disclaimer/Publisher’s Note: The statements, opinions and data contained in all publications are solely those of the individual author(s) and contributor(s) and not of MDPI and/or the editor(s). MDPI and/or the editor(s) disclaim responsibility for any injury to people or property resulting from any ideas, methods, instructions or products referred to in the content. |
© 2023 by the authors. Licensee MDPI, Basel, Switzerland. This article is an open access article distributed under the terms and conditions of the Creative Commons Attribution (CC BY) license (https://creativecommons.org/licenses/by/4.0/).
Share and Cite
Ma, X.; Lv, M.; Cai, T.; Jia, Z. Effects of Meteorological Factors and Water-Nitrogen Management Techniques on Carbon Dioxide Fluxes in Wheat Fields in a Dry Semi-Humid Area. Agronomy 2023, 13, 1925. https://doi.org/10.3390/agronomy13071925
Ma X, Lv M, Cai T, Jia Z. Effects of Meteorological Factors and Water-Nitrogen Management Techniques on Carbon Dioxide Fluxes in Wheat Fields in a Dry Semi-Humid Area. Agronomy. 2023; 13(7):1925. https://doi.org/10.3390/agronomy13071925
Chicago/Turabian StyleMa, Xiangcheng, Mengfan Lv, Tie Cai, and Zhikuan Jia. 2023. "Effects of Meteorological Factors and Water-Nitrogen Management Techniques on Carbon Dioxide Fluxes in Wheat Fields in a Dry Semi-Humid Area" Agronomy 13, no. 7: 1925. https://doi.org/10.3390/agronomy13071925
APA StyleMa, X., Lv, M., Cai, T., & Jia, Z. (2023). Effects of Meteorological Factors and Water-Nitrogen Management Techniques on Carbon Dioxide Fluxes in Wheat Fields in a Dry Semi-Humid Area. Agronomy, 13(7), 1925. https://doi.org/10.3390/agronomy13071925
