Biostimulants Improve Yield and Quality in Preharvest without Impinging on the Postharvest Quality of Hass Avocado and Mango Fruit: Evaluation under Organic and Traditional Systems
Abstract
1. Introduction
2. Materials and Methods
2.1. Localization, and General Description of Productive Systems
2.2. Experimental Design and Treatments
2.3. Preharvest Yield and Quality Variables Evaluated
2.4. Postharvest Treatments and Quality Variables Evaluated
2.4.1. Respiration Rate
2.4.2. Ethylene Rate
2.4.3. Weight Loss
2.4.4. Color Index
2.5. Statistical Analysis
- (i)
- yij = αj + ϵijyij = αj + ϵij
- (ii)
- yij = βj + ϵijyij = βj + ϵij
- (iii)
- yijk = αj + βk + (αβ)jk + ϵijkyijk = αj + βk + (αβ)jk + ϵijk, where
3. Results
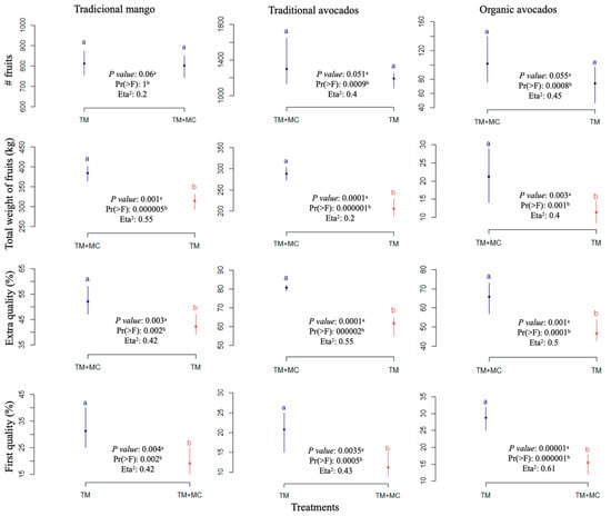
3.1. Yield and Quality Variables under Preharvest
3.2. Quality Variables under Postharvest Simulation
4. Discussion
4.1. Yield and Quality Variables under Preharvest
4.2. Quality Variables under Postharvest Simulation
5. Conclusions
Supplementary Materials
Author Contributions
Funding
Data Availability Statement
Acknowledgments
Conflicts of Interest
References
- FAO FAOSTAT. Available online: http://www.fao.org/faostat/es/#home (accessed on 9 February 2023).
- Castellanos, D.; Mendoza, R.; Guevara, R.; Herrera, A. Respiration and ethylene generation modeling of “Hass” avocado and feijoa fruits and application in modified atmosphere packaging. Int. J. Food Prop. 2017, 20, 333–349. [Google Scholar] [CrossRef]
- Wolstenholme, B.N. Ecology: Climate and soils. In The Avocado: Botany, Production and Uses; CABI Publishing: Wallingford, UK, 2013; pp. 86–117. [Google Scholar]
- Shivran, M.; Sharma, N.; Dubey, A.K.; Singh, S.K.; Sharma, N.; Muthusamy, V.; Jain, M.; Singh, B.P.; Singh, N.; Kumar, N.; et al. Scion/Rootstock Interaction Studies for Quality Traits in Mango (Mangifera indica L.) Varieties. Agronomy 2023, 13, 204. [Google Scholar] [CrossRef]
- Lawson, T.; Lycett, G.W.; Ali, A.; Chin, C.F. Characterization of Southeast Asia mangoes (Mangifera indica L.) according to their physicochemical attributes. Sci. Hortic. 2019, 243, 189–196. [Google Scholar] [CrossRef]
- Rojas, E. Aplicación de Bioestimulantes Foliares Sobre el Rendimiento y Calidad de Fruto de Palto (Persea Americana Mill), Variedad Fuerte en el Valle de Cieneguillo sur, Piura. Universidad Nacional de Piura. Available online: https://repositorio.unp.edu.pe/bitstream/handle/UNP/1265/AGR-ROJ-GUE-18.pdf?sequence=1&isAllowed=y (accessed on 9 February 2023).
- Apaza, W.; Villavicencio, Y.; Moreno, R.; Huallanca, C. Comportamiento de Los Cinco Patrones de Palto Más Utilizados en la Irrigación de Chavimochic a la Pudrición Radicular Ocasionada por Phytophthora cinnamomi. VIII Congreso Mundial de la Palta, Lima—Perú. Available online: https://www.avocadosource.com/WAC8/Section_03/Section_03_Abstracts_Spanish.pdf (accessed on 10 November 2021).
- Evans, E.; Ballen, F.H.; Siddiq, M. Mango Production, Global Trade, Consumption Trends, and Postharvest Processing and Nutrition. In Handbook of Mango Fruit; Siddiq, M., Brecht, J.K., Sidhu, J.S., Eds.; John Wiley & Sons Ltd.: Maitland, FL, USA, 2017; pp. 1–16. [Google Scholar] [CrossRef]
- APEDA-Agricultural and Processed Food Products Export Development Authority. Products-Fresh Fruits and Vegetable: Mango; Ministry of Commerce and Industry, Government of India: New Delhi, India, 2020. [Google Scholar]
- Ramírez-Gil, J.G.; Morales, J.G.; Peterson, A.T. Potential Geography and Productivity of “Hass” Avocado Crops in Colombia Estimated by Ecological Niche Modeling. Sci. Hortic. 2018, 237, 287–295. [Google Scholar] [CrossRef]
- Ramírez-Gil, J.G.; Franco, G.; Henao-Rojas, J.C. Review of the concept of quality in Hass avocado and the pre-harvest and harvest factors that determine it under tropical conditions. Rev. Colomb. Cienc. Hortíc. 2019, 13, 359–370. [Google Scholar] [CrossRef]
- Brown, P.; Sebastian, S. Biostimulants in agriculture. Front. Plant Sci. 2015, 6, 671. [Google Scholar] [CrossRef]
- Rouphael, Y.; Colla, G. Editorial: Biostimulants in Agriculture. Front. Plant Sci. 2020, 11, 40. [Google Scholar] [CrossRef]
- Du Jardin, P. Plant biostimulants: Definition, concept, main categories, and regulation. Sci. Hortic. 2015, 196, 3–14. [Google Scholar] [CrossRef]
- Koulympoudi, L.; Chatzissavvidis, C.; Giannakoula, A.E. Physiological and Biochemical Responses of Apple (Malus domestica Borkh.) to Biostimulants Application and Substrate Additives under Salinity Stress. Appl. Sci. 2023, 13, 1290. [Google Scholar] [CrossRef]
- Morales, J.P. Influence of foliar sprays of an amino acid formulation on fruit yield of “Edward” mango. Acta Hortic. 2015, 1075, 157–160. [Google Scholar] [CrossRef]
- Milic, B.; Tarlanovic, J.; Keserovic, Z.; Magazin, N.; Miodragovic, M.; Popara, G. Bioregulations can improve fruit yield, yield and plant growth of northern highbush blueberry (Vaccinium corymbosum L). Sci. Hortic. 2018, 235, 214–220. [Google Scholar] [CrossRef]
- Tarantino, A.; Lops, F.; Disciglio, G.; Lopriore, G. Effects of plant biostimulants on fruit set, growth, yield and fruit quality attributes of ‘Orange Rubis’ Apricot (Prunus armeniaca L.) cultivars in two consecutive years. Sci. Hortic. 2018, 239, 26–34. [Google Scholar] [CrossRef]
- Rouphael, Y.; Colla, G. Synergistic Biostimulatory Action: Designing the Next Generation of Plant Biostimulants for Sustainable Agriculture. Front. Plant Sci. 2018, 9, 1655. [Google Scholar] [CrossRef] [PubMed]
- Siddiqui, M. Preharvest Modulation of Postharvest Fruit and Vegetable Quality; Academic Press: London, UK, 2018; 516p. [Google Scholar]
- Fischer, G.; Parra, A.; Balaguera, H.E. Altitude as a determinant of fruit quality with emphasis on the Andean tropics of Colombia. A review. Agron. Colomb. 2022, 40, 212–227. [Google Scholar] [CrossRef]
- Alcaraz, M.L.; Thorp, T.G.; Hormaza, J.I. Phenological growth stages of avocado (Persea americana) according to the BBCH scale. Sci. Hortic. 2013, 164, 434–439. [Google Scholar] [CrossRef]
- Salazar, S.; Lord, E.; Lovatt, C. Inflorescence and flower development of the “Hass” avocado (Persea americana Mill.) during ‘on’ and ‘off’ crop years. J. Am. Soc. Hortic. Sci. 1998, 123, 537–544. [Google Scholar] [CrossRef]
- Hernández, P.M.; Aranguren, M.; Reig, C.; Fernández Galván, D.; Mesejo, C.; Martínez, A.; Galán, V.; Agustí, M. Phenological growth stages of mango (Mangifera indica L.) according to the BBCH scale. Sci. Hortic. 2011, 130, 536–540. [Google Scholar] [CrossRef]
- González, A.K.; González, L.F.; Córdoba, L.D.; Rincón, A.; Balaguera, H.E. Regulating the postharvest life of Campomanesia lineatifolia R. & P. fruits through the interaction of ethylene, 1-methylcyclopropene and low temperatures. Rev. Colomb. Cienc. Hortíc. 2021, 15, e12499. [Google Scholar] [CrossRef]
- Lenth, R.V.; Buerkner, P.; Herve, M.; Love, J.; Miguez, F.; Riebl, H.; Singmann, H. Emmeans: Estimated Marginal Means, aka Least-Squares Means. Available online: https://cran.r-project.org/web/packages/emmeans/emmeans.pdf (accessed on 14 May 2023).
- Nakagawa, S.; Cuthill, I.C. Effect size, confidence interval and statistical significance: A practical guide for biologists. Biol. Rev. Camb. Philos. Soc. 2007, 82, 591–605. [Google Scholar] [CrossRef]
- Ben-shachar, M.S.; Lüdecke, D.; Makowski, D. Effectsize: Estimation of Effect Size Indices and Standardized Parameters. J. Open Source Softw. 2020, 5, 1–7. [Google Scholar] [CrossRef]
- Anderson, M.J. Permutational Multivariate Analysis of Variance (PERMANOVA). Wiley StatsRef 2017, 1–15. [Google Scholar] [CrossRef]
- R Development Core Team. R: The R Project for Statistical Computing [WWW Document]. R Foundation for Statistical Computing, Vienna, Austria. Available online: https://www.r-project.org/ (accessed on 14 May 2023).
- Gupta, S.; Kulkarni, M.G.; White, J.F.; Stirk, W.A.; Papenfus, H.B.; DoleŽal, K. Categories of various plant biostimulants-mode of application and shelf-life. In Biostimulants for Crops From Seed Germination to Plant Development—A Practical Approach; Gupta, S., Van Staden, J., Eds.; Elsevier Inc.: Amsterdam, The Netherlands, 2021; pp. 1–60. [Google Scholar] [CrossRef]
- Bahuguna, A.; Sharma, S.; Rai, A.; Bhardwaj, R.; Sahoo, S.K.; Pandey, A.; Yadav, B. Chapter 15. Advance technology for biostimulants in agriculture. In New and Future Developments in Microbial Biotechnology and Bioengineering; Singh, H.B., Vaishnav, A., Eds.; Elsevier Inc.: Amsterdam, The Netherlands, 2016; pp. 393–412. [Google Scholar]
- Rengel, Z.; Cakmak, I.; White, P.J. (Eds.) Marschner’s Mineral Nutrition of Plants, 4th ed.; Academic Press: London, UK, 2023. [Google Scholar]
- Frioni, T.; Sabbatini, P.; Tombesi, S.; Norrie, J.; Poni, S.; Gatti, M.; Palliotti, A. Effect of a biostimulants derived from the brown seaweed Ascophyllum nodosum on ripening dynamics and fruit quality of grapevines. Sci. Hortic. 2018, 232, 97–106. [Google Scholar] [CrossRef]
- Tarafdar, J.C. Chapter 17. Biostimulants for sustainable crop production. In New and Future Developments in Microbial Biotechnology and Bioengineering; Singh, H.B., Vaishnav, A., Eds.; Elsevier Inc.: Amsterdam, The Netherlands, 2016; pp. 299–313. [Google Scholar]
- Abd El-Motty, E.Z.; Shahin, M.F.M.; El-Shiekh, M.H.; Abd-El-Migeed, M.M.M. Effect of algae extract and yeast application on growth, nutritional status, yield and fruit quality of ‘Keitte’ mango trees. Agric. Biol. 2010, 1, 421–429. [Google Scholar] [CrossRef]
- Ravi, I.; Kamaraju, K.; Kumar, N.S. Foliar application of seaweed bio formulation enhances growth and yield of banana cv. Grand Naine (AAA). Indian J. Nat. Sci. 2018, 8, 13482–13488. [Google Scholar]
- Pachón, Y.; Balaguera, H.; Flores, N. Postharvest behavior and chilling injury in avocado (Persea americana Mill) fruit cv. Hass treated with 1-methylcyclopropene, ethylene, and intermittent warming. Rev. Fac. Nac. Agron. 2022, 75, 9895–9907. [Google Scholar] [CrossRef]
- Barrientos, A.; Vargas, H.; Martinez, T.; Lázaro, M.D. Effect of preharvest calcium spraying on ripening and chilling injury in ‘Hass’ (Persea americana Mill.) avocado. Rev. Chain. Ser. Hortic. 2016, 22, 145–159. [Google Scholar] [CrossRef]
- Munhuweyi, K.; Mpai, S.; Sivakumar, D. Extension of Avocado Fruit Postharvest Quality Using Non-Chemical Treatments. Agronomy 2020, 10, 212. [Google Scholar] [CrossRef]
- Parvin, N.; Rahman, A.; Roy, J.; Rashid, M.H.; Paul, N.C.; Mahamud, M.A.; Imran, S.; Sakil, M.A.; Uddin, F.M.J.; Molla, M.E.; et al. Chitosan Coating Improves Postharvest Shelf-Life of Mango (Mangifera indica L.). Horticulturae 2023, 9, 64. [Google Scholar] [CrossRef]
- Wawrzynska, A.; Moniuzko, G.; Sirko, A. Links between Ethylene and Sulfur Nutrition—A Regulatory Interplay or Just Metabolite Association? Plant Sci. 2016, 6, 1053. [Google Scholar] [CrossRef]
- Velázquez, D.; Ruíz, V.; Ibáñez, A.; Torres, C.; Tobar, J.; García, F. Cambios fisicoquímicos poscosecha en frutos de aguacate “Hass” (Persea americana mill) cultivados a diferente altitud. Agroproductividad 2017, 10, 24–28. [Google Scholar]
- El-Shaieny, A.-H.A.H.; Abd-Elkarim, N.A.A.; Taha, E.M.; Gebril, S. Bio-Stimulants Extend Shelf Life and Maintain Quality of Okra Pods. Agriculturae 2022, 12, 1699. [Google Scholar] [CrossRef]
- Khan, A.S.; Munir, T.M.; Shaheen, T.; Tassawar, M.A.; Rafiq, S.; Ali, R.; Anwar, R.N.U.; Rehman, M.U.; Hasan, A.U. Supplemental foliar applied mixture of amino acids and seaweed extract improved vegetative growth, yield and quality of citrus fruit. Sci. Hortic. 2022, 296, 110903. [Google Scholar] [CrossRef]
- Yahia, E.M.; Carrillo, A. Postharvest Physiology and Biochemistry of Fruits and Vegetables, 1st ed.; Elsevier Inc.: Kidlington, UK, 2019. [Google Scholar]
- Abidi, W.; Acrimi, R.; Hajlaoui, H.; Rejeb, H.; Gogorcena, Y. Foliar Fertilization of Potassium Silicon Improved Postharvest Fruit Quality of Peach and Nectarine [Prunus persica (L.) Batsch] Cultivars. Agriculture 2023, 13, 195. [Google Scholar] [CrossRef]
- Márquez, C.; Yepes, D.; Sanchez, L.; Osorio, J. Cambios Físico-Químicos Del Aguacate (Persea Americana Mill. Cv. “Hass”) En Poscosecha Para Dos Municipios De Antioquia. Temas Agrar. 2014, 19, 32–47. [Google Scholar] [CrossRef]
- Boselli, M.; Bahouaoui, M.; Lachhab, N.; Sanzani, S.M.; Ippolito, A. Grapevine: Protein hydrolysates against water stress. Inf. Agrar. 2015, 22, 39.e42. [Google Scholar]






| Composition * | Douce® | Nat-Douce® |
|---|---|---|
| Water soluble potassium (K2O; g/L) | 100 | 50 |
| Water soluble phosphorus (P2O5; g/L) | 65 | - |
| Total calcium (CaO; g/L) | - | 3 |
| Sulfur (S; g/L) | - | 14 |
| Boron (B; g/L) | 2.50 | - |
| Water soluble silicon (SiO2; g/L) | 20 | - |
| Total oxidizable organic carbon (COOT; g/L), from seaweed extracts | - | 41 |
| Phenylalanine (ppm) | 300 | - |
| Methionine (ppm) | 300 | - |
| Free amino acids (ppm): L-aspartic, L-cysteine, L-phenylalanine, trionine, valine, lysine, serine, methionine, glycine, isoleusine, histidine, leusine, arginine, alanine, tyrosine, proline, glutamic acid | 600 | - |
| Secondary metabolites (g/L) | 50 | 50 |
| Experiment | Firmness (N) | TSS (° Brix) | Titratable Acidity (%) | |||||||
|---|---|---|---|---|---|---|---|---|---|---|
| 6 d | 13 d | 20 d | 27 d | 6 d | 13 d | 20 d | 6 d | 13 d | 20 d | |
| Refrigeration | ||||||||||
| Control | 26.30 ± 6.6 a | 10.34 ± 0.3 a | 5.92 ± 1.6 a | 5.86 ± 0.7 a | 4.7 ± 0.9 a | 7.1 ± 0.2 a | 7.3 ± 0.2 a | 2.1 ± 0.4 a | 0.05 ± 0.0 a | 0.05 ± 0.0 a |
| Treatment | 38.83 ± 2.0 a | 12.87 ± 3.5 a | 4.65 ± 0.9 a | 3.44 ± 1.6 a | 4.6 ± 0.3 a | 5.4 ± 0.1 b | 6.9 ± 0.5 a | 1.9 ± 0.0 a | 0.18 ± 0.0 a | 0.06 ± 0.0 a |
| Significance | 0.06 | 0.40 | 0.52 | 0.24 | 0.92 | 0.003 | 0.46 | 0.69 | 0.07 | 0.64 |
| Room temperature | ||||||||||
| Control | 21.19 ± 6.0 a | 6.13 ± 0.7 b | 3.52 ± 0.2 a | 4.7 ± 0.8 a | 3.6 ± 0.8 a | 7.6 ± 0.5 a | 0.08 ± 0.0 a | 0.05 ± 0.0 a | 0.06 ± 0.0 a | |
| Treatment | 16.76 ± 4.1 a | 11.5 ± 2.4 a | 5.70 ± 1.0 a | 3.3 ± 0.3 a | 4.8 ± 0.1 a | 7.7 ± 0.4 a | 0.41 ± 0.0 a | 0.06 ± 0.0 a | 0.05 ± 0.0 a | |
| Significance | 0.49 | 0.04 | 0.17 | 0.5 | 0.9 | 0.6 | 0.18 | 0.85 | 0.91 | |
| Experiment | Firmness (N) | TSS (Brix) | Titratable Acidity (%) | |||||||
|---|---|---|---|---|---|---|---|---|---|---|
| 6 d | 13 d | 20 d | 27 d | 6 d | 13 d | 20 d | 6 d | 13 d | 20 d | |
| Refrigeration | ||||||||||
| Control | 43.9 ± 0.7 a | 43.66 ± 0.7 a | 9.68 ± 2.2 a | 43.93 ± 0.7 a | 5.53 ± 0.5 a | 6.33 ± 0.6 a | 5.87 ± 0.6 a | 3.9 ± 0.4 a | 0.09 ± 0.0 a | 0.19 ± 0.0 a |
| Treatment | 37.9 ± 3.2 a | 41.97 ± 2.7 a | 8.51 ± 2.0 a | 37.99 ± 3.2 a | 5.37 ± 0.3 a | 4.87 ± 0.6 a | 4.43 ± 0.7 a | 3.8 ± 0.2 a | 0.11 ± 0.0 a | 0.12 ± 0.0 a |
| Significance | 0.08 | 0.53 | 0.63 | 0.08 | 0.82 | 0.19 | 0.22 | 0.82 | 0.52 | 0.41 |
| Room temperature | ||||||||||
| Control | 38.4 ± 0.3 a | 7.97 ± 0.5 b | 7.02 ± 0.7 a | 4.30 ± 0.3 a | 5.33 ± 0.0 a | 4.27 ± 0.6 a | 3.0 ± 0.2 a | 0.05 ± 0.0 a | 0.09 ± 0.0 a | |
| Treatment | 40.2 ± 1.6 a | 9.68 ± 1.3 a | 7.11 ± 0.8 a | 4.07 ± 0.3 a | 3.50 ± 1.0 a | 3.73 ± 0.6 a | 2.9 ± 0.4 a | 0.07 ± 0.0 a | 0.32 ± 0.1 a | |
| Significance | 0.24 | 0.04 | 0.34 | 0.7 | 0.2 | 0.6 | 0.74 | 0.25 | 0.30 | |
| Experiment | Firmness (N) | TSS (° Brix) | Titratable Acidity (%) | |||||||||
|---|---|---|---|---|---|---|---|---|---|---|---|---|
| 10 d | 20 d | 30 d | 40 d (SL) | 10 d | 20 d | 30 d | 40 d (SL) | 10 d | 20 d | 30 d | 40 d (SL) | |
| Refrigeration | ||||||||||||
| Control | 68.5 ± 2.0 a | 50.7 ± 3.6 a | 7.7 ± 0.7 a | 1.8 ± 0.4 a | 8.48 ± 1.0 a | 9.86 ± 0.4 a | 10.2 ± 0.2 a | 10.5 ± 0.3 a | 1.32 ± 0.1 a | 1.0 ± 0.0 a | 1.1 ± 0.1 a | 0.4 ± 0.0 a |
| Treatment | 68.4 ± 4.4 a | 45.9 ± 10.3 a | 6.0 ± 0.5 a | 3.3 ± 0.9 a | 8.12 ± 0.2 a | 9.08 ± 0.5 a | 8.9 ± 0.6 a | 9.9 ± 0.3 a | 1.14 ± 0.1 a | 1.0 ± 0.0 a | 1.1 ± 0.1 a | 0.3 ± 0.0 a |
| Significance | 0.98 | 0.67 | 0.16 | 0.09 | 0.75 | 0.74 | 0.08 | 0.28 | 0.14 | 0.70 | 0.77 | 0.35 |
| Room temperature | ||||||||||||
| Control | 56.2 ± 5.0 a | 9.9 ± 0.7 a | 6.3 ± 1.0 a | - | 10.98 ± 0.7 a | 10.54 ± 0.3 a | 10.2 ± 0.7 a | - | 0.98 ± 0.1 b | 0.3 ± 0.0 b | 0.2 ± 0.0 a | - |
| Treatment | 54.4 ± 7.2 a | 15.7 ± 2.7 a | 7.4 ± 0.9 a | - | 9.48 ± 0.4 a | 11.10 ± 0.4 a | 10.9 ± 0.6 a | - | 1.22 ± 0.1 a | 0.4 ± 0.1 a | 0.2 ± 0.0 a | - |
| Significance | 0.84 | 0.10 | 0.41 | - | 0.11 | 0.37 | 0.49 | - | 0.04 | 0.04 | 0.27 | - |
Disclaimer/Publisher’s Note: The statements, opinions and data contained in all publications are solely those of the individual author(s) and contributor(s) and not of MDPI and/or the editor(s). MDPI and/or the editor(s) disclaim responsibility for any injury to people or property resulting from any ideas, methods, instructions or products referred to in the content. |
© 2023 by the authors. Licensee MDPI, Basel, Switzerland. This article is an open access article distributed under the terms and conditions of the Creative Commons Attribution (CC BY) license (https://creativecommons.org/licenses/by/4.0/).
Share and Cite
Rojas-Rodríguez, M.L.; Ramírez-Gil, J.G.; González-Concha, L.F.; Balaguera-López, H.E. Biostimulants Improve Yield and Quality in Preharvest without Impinging on the Postharvest Quality of Hass Avocado and Mango Fruit: Evaluation under Organic and Traditional Systems. Agronomy 2023, 13, 1917. https://doi.org/10.3390/agronomy13071917
Rojas-Rodríguez ML, Ramírez-Gil JG, González-Concha LF, Balaguera-López HE. Biostimulants Improve Yield and Quality in Preharvest without Impinging on the Postharvest Quality of Hass Avocado and Mango Fruit: Evaluation under Organic and Traditional Systems. Agronomy. 2023; 13(7):1917. https://doi.org/10.3390/agronomy13071917
Chicago/Turabian StyleRojas-Rodríguez, Mariana Lucia, Joaquín Guillermo Ramírez-Gil, Luis Felipe González-Concha, and Helber Enrique Balaguera-López. 2023. "Biostimulants Improve Yield and Quality in Preharvest without Impinging on the Postharvest Quality of Hass Avocado and Mango Fruit: Evaluation under Organic and Traditional Systems" Agronomy 13, no. 7: 1917. https://doi.org/10.3390/agronomy13071917
APA StyleRojas-Rodríguez, M. L., Ramírez-Gil, J. G., González-Concha, L. F., & Balaguera-López, H. E. (2023). Biostimulants Improve Yield and Quality in Preharvest without Impinging on the Postharvest Quality of Hass Avocado and Mango Fruit: Evaluation under Organic and Traditional Systems. Agronomy, 13(7), 1917. https://doi.org/10.3390/agronomy13071917

