Abstract
Soil organic carbon (SOC) pools have the potential to attain sustainable agriculture goals under climate change. External organic and inorganic nutrient inputs considerably affect SOC mineralization and SOC pools. Therefore, a laboratory-based, three-factor soil incubation experiment was conducted to investigate the impact of different exogenous nutrient additions on the mineralization and stability of SOC. The study investigated the effects of three fertilizer types (inorganic, organic, and a combination of inorganic and organic) and three rates of fertilizer addition (low, medium, and high) while considering two temperature levels (15 °C and 25 °C). At 25 °C, the application of fertilizer at a high rate significantly increased the SOC mineralization (2.84–19.97%) compared to fertilizer applied at a low rate, while, at 15 °C, different fertilizer types had no significant impact. Overall, fertilization resulted in an increase in the total potential mineralizable carbon (7.87–84.50%), while the rate of decomposition was decreased. The priming effect of inorganic fertilizer decreased over time, with the main effect observed during the initial 14 days. The addition of organic fertilizer resulted in a lesser increment in the soil activity index while simultaneously yielding a higher Q10 compared to inorganic fertilizer. Overall, the mixed application of organic and inorganic fertilizers was suggested to improve SOC stabilization and promote sustainable agricultural development.
1. Introduction
Soil organic matter (SOM) refers to the organic substances present in the soil; it originates from the decomposition of plant and animal residues, as well as microbial biomass. SOM plays essential roles in plant growth, nutrient cycling, water retention, and climate regulation [1,2]. Soil organic carbon (SOC) is critical in maintaining soil fertility, increasing ecosystem productivity, and promoting sustainable agricultural development [3].
SOC mineralization is the process by which organic carbon present in the soil, including plant residues, animal feces, and other organic matter, is decomposed by microorganisms under specific conditions. This decomposition results in the conversion of organic carbon into inorganic carbon compounds, such as carbon dioxide and inorganic carbon [4,5]. Moreover, this process also releases some mineral nutrients, which are directly related to soil fertility and crop growth [2,6]. As the largest carbon pool in terrestrial ecosystems, small changes in soil carbon storage under different nutrient supplies can trigger significant fluctuations in atmospheric greenhouse gas concentrations [7]. Therefore, it is imperative to understand the mechanisms of SOC mineralization under nutrient addition in different temperature regimes [8].
SOC stability in agricultural lands is the prime focus to prevent SOC decomposition and mitigate carbon dioxide, which could play an important role in climate change mitigation [9]. The stability of SOC is influenced by various factors, including the chemical composition of organic compounds, physical protection by soil aggregates, interactions with minerals, and environmental conditions such as temperature and moisture [1,10,11]. Furthermore, external nutrient addition can affect the SOC mineralization rate, storage, and stability of SOC [12,13]. Fertilization is a crucial aspect of modern agriculture, with the primary objective of maintaining or enhancing soil fertility and providing the necessary nutrients to achieve optimal crop growth and yield [14]. However, research has demonstrated that applying nitrogen fertilizers can enhance the mineralization process of SOC [15]. Nonetheless, some research has revealed that external nitrogen input can have inhibitory effects or no considerable impact on SOC mineralization [16,17]. Appropriate utilization of nitrogen fertilizer can maintain soil fertility. In contrast, excessive fertilizer use can accelerate SOC decomposition by changing the soil C/N ratio and disrupting agricultural sustainable development [18]. Recently, organic fertilizers (for example, manure) have been suggested to increase SOC content, especially due to their long-term nutrient supply [19], feasible application methods, and affordable expenses. However, excessive use of organic fertilizers can also contribute to soil acidification. Using a mix of organic and inorganic fertilizers has not been reported extensively, and this aspect needs further research for better utilization of agricultural resources and to promote agricultural sustainability. The priming effect is a transitory alteration in soil organic matter turnover resulting from soil practices [20]. Using external fertilizers can lead to a priming effect on the mineralization of SOC by exerting an impact on soil microbial communities and external factors, including chemical structure alterations. For instance, adding nitrogen and other nutrients could change the soil’s microbial diversity and the SOC mineralization process [21,22].
Researchers have extensively examined the environmental factors that influence the direction and magnitude of the priming effect and have observed that it is strongly related to several incubation conditions, including the soil’s organic carbon content, texture, amount of exogenous organic carbon addition, and soil edaphic factors [23]. Noticeably, some studies on the priming effect have only used a single incubation temperature [24,25,26]. In this aspect, further investigations are necessary to understand the magnitude of the priming effect under varying incubation temperatures.
The North China Plain, one of the main grain-producing regions in China, meets 30% of the nation’s total grain production [27]. Since the 1980s, excessive utilization of external fertilizers in the North China Plain has resulted in substantial SOC depletion [28]. Thus, increasing the storage and stability of SOC in the North China Plain under the optimum use of fertilizers is necessary for agricultural sustainability. Nevertheless, it is challenging to quantitatively monitor the dynamic mineralization of organic carbon under field conditions, and too many uncontrollable factors exist in field experiments to appropriately regulate the addition of external nutrients. However, organic and inorganic nutrient addition under laboratory conditions can reflect the true mechanisms for SOC mineralization and stabilization.
Regarding the influence of exogenous nutrient addition on the mineralization and stability of SOC, we hypothesize that the addition of inorganic and organic fertilizers to the soil would differently affect SOC mineralization by changing the nutrient supply and microbial communities. The specific objectives of this study are to: (a) assess the impact of different types and amounts of fertilizers on SOC mineralization; (b) compare the priming effect of inorganic fertilizers on SOC mineralization at two different temperatures; and (c) evaluate the temperature sensitivity of SOC mineralization under different nutrient additions.
2. Materials and Methods
2.1. Experimental Design and Management
This study evaluated SOC’s mineralization capacity and stability with laboratory incubation experiments under different types and application rates of exogenous fertilizers. The exogenous fertilizers used were categorized into three types, including inorganic fertilizer (I), organic fertilizer (O), and a mixed application of organic and inorganic fertilizers (X) with equal nitrogen addition levels, and the application rates were classified into three levels: low (L), medium (M), and high (H).
The experiment utilized urea as an inorganic fertilizer, while chicken manure sieved through a 2 mm sieve was used as the organic fertilizer. Table 1 presents the properties of the organic fertilizer. The application rates were determined following the “equal” nitrogen principle. The application rates were categorized as low, medium, and high based on 0.01%, 0.02%, and 0.03% nitrogen addition rates, respectively, to the dry soil mass. Table 2 shows the specific quantities of fertilizer added to each treatment. Moreover, a control treatment was established by culturing 30 g of dry soil (S) without adding external materials. Finally, an empty incubation bottle treatment (C.K.) was created by excluding soil samples or exogenous fertilizers to remove the effect of carbon dioxide in the air.
Table 1.
Basic properties of soil and organic fertilizer.
Table 2.
Details of fertilizer treatments.
2.2. Soil Sampling
In May 2022, soil sampling was conducted at the Wuqiao experimental station of China Agricultural University in Hebei Province. The station is situated in the North China Plain (37°36′ N, 116°21′ E), with an annual precipitation of 531.1 mm and a temperate monsoon climate, where the temperature was 12.6 °C. Soil samples were collected from the 0–20 cm soil layer, air-dried, and the impurities were removed before being ground and sieved through a 2 mm screen. The soil’s physical and chemical properties have been presented by Pu et al. [29]. The soil samples were analyzed for SOC content using the K2Cr2O7-H2SO4 oxidation method [30] and placed in airtight incubation bottles with 30 g of soil per bottle for storage and later use.
2.3. Laboratory Incubation
As described in Section 2.1, exogenous fertilizers were incorporated with 30 g soil in each sealed bottle, and this process was replicated three times. Before the incubation experiment, 10 mL of water was added to each incubation bottle, and then the bottles were completely sealed. A 10 mL beaker filled with a 1 M NaOH solution was added to each incubation bottle. The environmental humidity in the incubation chamber was set to a relative humidity of 15%. The specimens were pre-incubated separately in incubators at 15 °C and 25 °C. After a week of pre-incubating, the samples were incubated at a constant temperature for 140 days. The NaOH absorbed the carbon dioxide released from the soil samples in the beaker; on days 3, 7, 14, 28, 56, 84, 112, and 140 of the experiment, the beakers were removed, and the CO2 released from the soil was quantified using hydrochloric acid back-titration. The results were expressed in the quantity of carbon dioxide released per kilogram of SOC (mg CO2-C/kg).
2.4. Data Calculation and Statistical Analysis
2.4.1. Data Calculation
The mineralization of the organic carbon in the soil per unit weight at each stage can be calculated using the following formula:
where Cn represents the mineralization of organic carbon in the soil per unit weight at each stage (mg C/kg); CHCl is the concentration of hydrochloric acid during the titration (mol/L); Vck is the volume of hydrochloric acid consumed during the titration of the blank sample (mL); Vn is the volume of hydrochloric acid consumed during the titration of the sample (mL); MC is the molar mass of the carbon element (12 g/mol); and m is the weight of the soil sample (30 g).
The cumulative mineralization of SOC on the nth day is given by:
The mineralization rate of SOC during the incubation period is given by:
where R represents the mineralization rate of SOC (mg C/kg × d); CN is the amount of mineralization of SOC during the incubation period; and t is the number of days of incubation.
The relative priming effect (PE) of SOC mineralization under the inorganic fertilizer addition can be expressed as [22]:
In this equation, CN(E) represents the cumulative mineralization of SOC on the “nth” day under the inorganic fertilizer addition; CN(S) represents the cumulative mineralization of SOC on the “nth” day under the incubation of pure soil (S); and P.E. represents the relative activation effect under the inorganic fertilizer addition.
The temperature sensitivity coefficient, Q10, of SOC mineralization can be calculated using the following formula:
Here, R represents the mineralization rate of SOC; T represents the incubation temperature; a represents the net mineralization rate of the soil when the temperature is 0 °C; and b represents the temperature reaction coefficient.
For different samples, Q10 can be obtained using the following formula [31]:
Here, R2 and R1 represent the mineralization rate of samples at different temperatures under the same fertilizer addition, and T2 and T1 represent the different temperatures under the same fertilizer addition.
The SOC mineralization incubation experiment data were analyzed using a first-order kinetics double carbon pool model [32]. It has several advantages, including a simplified description, low data requirements, high applicability, good predictive capability, and strong interpretability. These characteristics have led to the widespread use of this model in studying the dynamic changes of soil organic carbon and evaluating the effectiveness of land management measures. This model is based on the assumption that carbon mineralization originates from the potential mineralization ability. C1 and C2 can be interpreted as the components of potential carbon mineralization that decompose at constant rates (K1, K2), and their mathematical expression is [33]:
Here, Ct represents the cumulative organic carbon mineralization per kilogram of sample soil within time “t” (mg C/kg); C1 represents the potential mineralizable carbon in the slow carbon pool per kilogram of sample soil (mg C/kg); C2 represents the potential mineralizable carbon in the active carbon pool per kilogram of sample soil (mg C/kg); K1 and K2 are the decomposition rates of organic carbon in the slow and active carbon pools, respectively, in days (d−1).
To further illustrate the effect of fertilizer addition on SOC, the ratio of the fitted carbon pools to the total organic carbon content of the samples was calculated using the following equation:
Here, Cm represents the SOC activity index, which is an indicator that measures the mineralizability or activity of organic carbon in the soil. It represents the potential amount of organic carbon in the soil that can be decomposed and released as carbon dioxide by microorganisms [34]; C1 and C2 represent the potential mineralizable carbon in the slow and active carbon pools, respectively; and COC represents the total organic carbon content of the sample in milligrams of carbon per kilogram (mg C/kg).
2.4.2. Statistical Analysis
Using Excel 2019 and SPSS 20.0 to sort, calculate, and process our data, we used a general linear model to investigate the effects of different treatments, including the type and amount of fertilizer added, on the cumulative mineralization of SOC at two different temperatures using two-factor variance analysis. The results were compared at p < 0.05 using Tukey’s test for multiple comparisons of mean values between the treatments. Both Origin Pro 2023 and GraphPad Prism 9 were used for graphing.
3. Results
3.1. Mineralization of SOC under Different Treatments
The results of the two-factor variance analysis indicate that the variety of fertilizer added, the application rate of fertilizer, and their interaction significantly influenced the cumulative mineralization of SOC at 25 °C (p < 0.05). At 15 °C, there was no significant influence by the fertilizer type. The M.O. showed the highest value of mineralization at 15 °C, whereas the H.O. showed the highest value of mineralization at 25 °C.
At 25 °C, compared to group S, the fertilizers M.O., H.O. and H.X. exhibited significant increases of 8.72% to 25.41% (145.67–424.67 mg C/kg) cumulative mineralization of SOC (p < 0.05). When applying the same type of fertilizer, except for fertilizer O, the application rate had no significant effect on the cumulative mineralization of SOC. With fertilizer O, the low-rate addition had a 13.44% (271.41 mg C/kg) and 16.65% (348.94 mg C/kg) decrease in mineralization compared to the medium and high rates.
The cumulative mineralization of SOC in the L.I., M.O., M.X., H.I., H.O. and H.X. was higher than group S by 20.25% (166.38 mg C/kg), 25.22% (207.27 mg C/kg), 15.65% (128.63 mg C/kg), 16.59% (136.37 mg C/kg), 22.17% (182.18 mg C/kg), and 16.99% (139.67 mg C/kg), respectively. The L.O. had lower mineralization by 22.28% (29.29 mg C/kg) and 20.34% (204.2 mg C/kg) compared to the M.O. and H.O. (Table 3).
Table 3.
Two-factor variance analysis of SOC mineralization.
3.2. Differences in SOC Mineralization Processes of Various Additions
The R2 values for all the groups exceeded 0.99, indicating high-quality fitting results and dependable outcomes.
All the fertilizer treatments increased the C1 in the slow carbon pool. The C1 decreased with an increase in the fertilizer application rate. Moreover, the C1 rate was generally inscribed as I > X > O when the addition rate remained constant. The C1 in fertilizer I was revealed to be highly responsive to the rate of fertilizer addition, while, in fertilizer X, it was found to be the least responsive. In the L.I. and M.I., the C1 increased by 82.68% (2707.86 mg C/kg) and 32.07% (1050.43 mg C/kg), respectively. In fertilizers O and X, only the L.O. and L.X. exhibited a significant increase of 40.81% (1336.40 mg C/kg) and 36.22% (1186.11 mg C/kg) compared to group S (p < 0.05) (Table 4).
Table 4.
Results of fitting double carbon pools for primary kinetics of soil incubation samples at 25 °C.
In the active carbon pool, all the treatments resulted in significant increases in the C2 concentration compared to group S, ranging from 61.95% (61.425 mg C/kg) to 296.36% (293.86 mg C/kg) in the L.O. Under the same type of fertilizer, the C2 increased with a higher rate of fertilizer addition. Meanwhile, under the same addition rate, the C2 generally showed that X ≈ I > O. The sensitivity of various fertilizer types to addition rates was similar, with the value of fertilizer I registering a slightly higher sensitivity than the other two groups.
In the slow carbon pool, except for the H.O., all the treatments showed significantly lower K1 values than fertilizer S of 10.99% (0.0005) to 56.70% (0.00258) (p < 0.05). Additionally, the results showed that higher nitrogen rates led to increased K1 values. For the same application rates, the K1 values followed the order of O > X > I, where the difference was 8.61% (0.00023) and 26.22% (0.0007) (relative to fertilizer X as the baseline) at the low nitrogen rate, 31.92% (0.00098) and 12.38% (0.00038) at the medium rate, and 43.78% (0.00162) and 21.35% (0.00079) at the high rate, respectively. Fertilizer O was the most responsive to addition rates among the treatments, while I and X were less sensitive. In contrast, no specific pattern could be observed for K2 in the active carbon pool of fertilizers O and X. Instead, it was mainly manifested by a positive correlation between the K2 and nitrogen rates in fertilizer I, which seemed a negative correlation trend in fertilizer O, and with fertilizer X balancing the characteristics of the other two. Overall, I > X ≈ O.
The fertilizer type, application rate, and their interaction showed significant effects on the Cm (p < 0.05). Except for the M.O., M.X., H.O. and H.X., the addition of fertilizers significantly enhanced the index of active organic carbon by 28.03% (10.38%) to 84.49% (31.29%) compared to group S (p < 0.05). The inorganic fertilizer had the strongest effect, and the organic fertilizer exerted the weakest. Additionally, the Cm decreased as the application rate of fertilizer increased (Table 5).
Table 5.
SOC activity index of soil incubation samples at 25 °C.
3.3. Priming Effect on SOC of Inorganic Nitrogen Addition
The results indicate that the priming effects of SOC gradually decreased over time in all three treatments. At 25 °C, the inorganic nitrogen fertilizer’s relative priming effect values ranged from 1.25 to 4.31 and significantly increased with increasing application rates. On the other hand, there were no significant differences in the relative priming effect values of the inorganic nitrogen fertilizer among the different application rates at 15 °C, with values ranging from 6.45 to 7.65.
3.4. Effects on Temperature Sensitivity of SOC Mineralization of Various Additions
The two-factor variance analysis indicated that the variety of fertilizers significantly affected the temperature sensitivity of the SOC mineralization (p < 0.05). Except for the L.O. and H.O., the Q10 values of all the treatments were lower than those of S. Only a significant decrease of 15.69% (0.32) was observed in the L.I. compared to S (p < 0.05). Fertilizer O had the highest Q10 value, while fertilizer I had the lowest. The Q10 values of fertilizer X increased by 0.19% (0.01) at the medium rate to 12.68% (0.13) at the low rate compared to fertilizer I (Table 6).
Table 6.
Two-factor variance analysis of SOC mineralization.
4. Discussion
4.1. SOC Mineralization Response to Different Fertilizer Additions
Our study results showed that nitrogen fertilizer application affects SOC mineralization rates, similar to Hu’s and Yan’s results [35,36]. However, several studies have determined that nitrogen fertilizer input may also reduce SOC mineralization and increase the accumulation of the SOC pool [37,38]. This could be because nitrogen fertilizer often increases the input of exogenous carbon, such as from crop residues and root exudates. Additionally, differences in soil properties in different regions can also contribute to variations in the results. It has been found that fertilization significantly increases macroaggregate formation, ranging from 0.25 mm to 1 mm, by improving soil microbial diversity [38,39,40], indicating that it could be a critical factor to improve the SOC pool and minimize SOC mineralization. In addition, some studies suggest that fertilization affects the quantity, microbial community composition, and enzyme activity of soil microorganisms, ultimately leading to the accelerated breakdown of SOC because of a C/N ratio disturbance [41]. Our experimental results also support these conclusions.
The differences in SOC mineralization are attributed to variations in each carbon pool and relative decomposition rates. Several studies have indicated that, due to fertilization, there has been a general rise in the total potential mineralizable carbon of the soil, which is similar to our results [42]. We also found a decline in the constant rate of SOC decomposition with the organic fertilizer. This might be due to additional organic input to SOC, which could accelerate soil aggregation by inducing soil microbial activities and, thereby, decreasing SOC mineralization [43].
Our study revealed that fertilizer X typically produces higher mineralization rates of 0.82% to 3.79% than fertilizer I (25 °C). These results are comparable to Chaudhary’s study [44]. However, when applying a mixture of fertilizers, the cumulative mineralization rates are decreased by 1.79% to 15.26% compared to only organic fertilizer. This may be attributed to the optimum microbial community when compared to the organic fertilizer. In addition, the meta-analysis conducted by Zhang et al. confirms that carbon input positively influences the mineralization of SOC due to higher microbial growth and other soil biological properties [23]. Compared to the mixed fertilizer with the same nitrogen content, the exogenous carbon content of the organic fertilizer was two times higher. This may contribute to the differences in SOC mineralization between the different fertilizers at the same application rate.
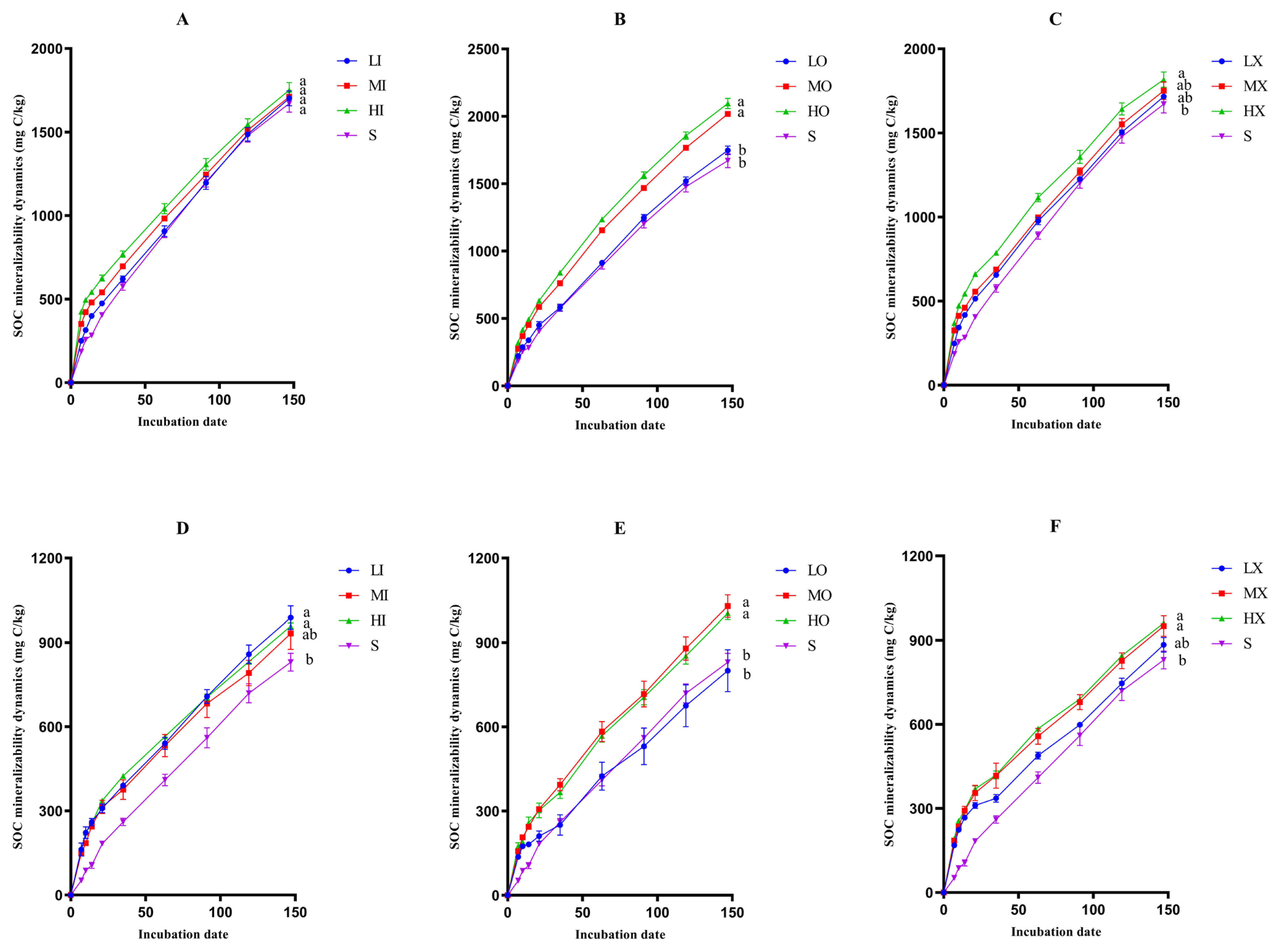
Our results illustrated that the mineralization rate of each inorganic fertilizer treatment was lower than that of group S when excluding the mineralization data of the first seven days of pre-incubation. Moreover, considering the priming effect of group I at 25 °C and 15 °C, the effect of inorganic fertilizer on the mineralization of SOC is transient and rapid, and primarily concentrated within the first 14 days. From the previous academic research, the evidence suggests that the introduction of inorganic fertilizers may affect soil pH [45], thereby inhibiting microbial activities in the later stages of incubation, resulting in lower mineralization rates compared to S in later stages (Figure 1). Therefore, long-duration and single-use of inorganic fertilizers are not recommended.
Figure 1.
Cumulative mineralization of SOC among treatments at 25 °C (A–C) and 15 °C (D–F); L.I., Low-rate inorganic fertilizer-added soil sample; L.O., Low-rate organic fertilizer-added soil sample; L.X., Low-rate mixed fertilization-added soil sample; M.I., Medium-rate inorganic fertilizer-added soil sample; M.O., Medium-rate organic fertilizer-added soil sample; M.X., Medium-rate mixed fertilization-added soil sample; H.I., High-rate inorganic fertilizer-added soil sample; H.O., High-rate organic fertilizer-added soil sample; H.X., High-rate mixed fertilization-added soil sample; S, Pure soil sample culture. Means followed by different lowercase letters in the same figure for factors or their interaction indicate significant differences at p < 0.05.
Additionally, except for the H.O. and H.X., each treatment had a higher organic carbon activity index than group S. This suggests that organic fertilizer usually promotes SOC protection by inhibiting the supply of the active carbon pool, suppressing the SOC decomposition rate and improving the SOC stability. Instead, fertilizer I had a significant increase on the Cm, thus having detrimental effects on SOC maintenance. The research conducted by Katyal et al. demonstrates that reducing SOC mineralization and increasing SOC sequestration is crucial for sustainable agricultural productivity [46]. Meanwhile, several research studies indicate that the long-term application of inorganic fertilizers can enhance SOC loss, decrease soil fertility, and reduce crop yields by inducing soil acidity [47]. From our research, we found that the detrimental effects of inorganic fertilizers on soil fertility are also manifested in the rapid loss of SOC (Figure 2). Conclusively, inorganic fertilization can significantly enhance SOC mineralization in the short run, but inorganic fertilization alone is not constructive to preserving and sustaining soil fertility.
Figure 2.
Soil-priming effect of inorganic fertilizer addition at 25 °C (A) and 15 °C (B). L.I., Low-rate inorganic fertilizer-added soil sample; M.I., Medium-rate inorganic fertilizer-added soil sample; H.I., High-rate inorganic fertilizer-added soil sample. Means followed by different lowercase letters in the same figure for factors or their interaction indicate significant differences at p < 0.05.
4.2. Sources of Differences in Priming Effect
The study conducted by Muskus has shown that the increase in pH and temperature can stimulate soil microbial activity [48]. At 15 °C, the results reveal that there was no significant difference in the cumulative priming effect between each inorganic fertilizer group. Conversely, at 25 °C, we found H.I. > M.I. > L.I (Figure 2). Interpreting this experiment’s finding, we can infer that at low temperatures, the reduction in soil pH attributed to the addition of inorganic fertilizer is particularly sensitive to the soil microbial community, which offsets the positive exogenous nitrogen impact on its activity to some extent. There is no obvious dissimilarity in the mineralization accumulation among the three different application rates in the mixed fertilizer group at 15 °C; however, at 25 °C, the pattern is more pronounced in the organic fertilizer group. Moreover, the findings showed that the Q10 value pattern is O > X > I, indicating that the organic fertilizer has a pronounced impact on the microbial community under different temperature regimes.
4.3. Limitations and Perspectives
Previous research has indicated that plant physiological activity is associated with nutrient supply [49]. Plant residues, including their roots, also significantly return nutrients and carbon to the soil [50]. Moreover, the soil near plant roots is characterized by greater microbial activity and more unstable carbon input relative to the bulk soil conditions [51]. Hence, variations may exist between our experimental findings and field experiments. Nonetheless, organic fertilizers contain complex microbial compositions, which could alter SOC processing mechanisms under field conditions. Considering the above limitations, field experiments using stable isotopes are needed to completely understand the effect of organic fertilizers on SOC mineralization.
5. Conclusions
In this study, laboratory mineralization experiments were conducted to measure the mineralization of SOC under various temperatures, fertilizer types, and application rates. The results indicated that the fertilizer type and application rate significantly impacted SOC mineralization. Fertilization was found to increase the mineralization of SOC, with higher effects observed in fertilizers O (organic) and X (mix) compared to fertilizer I. At 25 °C, the rates and types of fertilizer significantly impacted SOC mineralization. The high rate of fertilizer increased mineralization by 2.84% to 19.97% compared to the low rate, and, among the same fertilizer rates, fertilizer O showed a 2.63% to 19.73% increase in mineralization compared to the inorganic fertilizer, while fertilizer X fell in-between. In contrast, at 15 °C, the different fertilizer types showed no significant effects on SOC mineralization, but the higher nitrogen levels in fertilizers X and O resulted in higher mineralization. Conversely, at 25 °C, the priming effects of the inorganic fertilizer significantly increased (by 244.8%) with the high-rate (compared to the low-rate) fertilizers, while no significant difference was observed at 15 °C. With fertilization, the total amount of potentially mineralizable carbon in the soil increased, while the rate of organic carbon decomposition decreased. Fertilizer addition significantly affected the Cm (carbon mineralizability), with the inorganic fertilizer showing the highest increase and the organic fertilizer having the lowest. Different nitrogen rates have no significant impact on Q10. However, under different fertilizer types, the addition of organic fertilizer can increase the Q10 value of the soil.
Our study suggests that the detrimental effects of inorganic fertilizer on soil fertility are mainly manifested in a significant increase in the soil activity index and a rapid increase in SOC mineralization. Therefore, long-term application of inorganic fertilizer is not a good agricultural practice. The most appropriate treatment for SOC stabilization is to utilize a mixture of organic and inorganic fertilizers. This approach could promote mineralization in the short term and could improve SOC stability in the long run.
Author Contributions
Conceptualization, B.D. and A.Y.; methodology, B.D.; software, A.Y.; validation, B.D. and A.Y.; formal analysis, A.Y.; investigation, B.D.; resources, H.Z.; data curation, B.D.; writing—original draft preparation, B.D.; writing—review and editing, A.Y.; visualization, A.Y.; supervision, H.Z.; project administration, H.Z.; funding acquisition, H.Z. All authors have read and agreed to the published version of the manuscript.
Funding
This research was funded by the Intergovernmental International Cooperation on Scientific and Technological Innovation as Part of National Key R&D Programs (2021YFE0114500).
Data Availability Statement
Data are available on request due to restrictions.
Conflicts of Interest
The authors declare no conflict of interest.
References
- Lehmann, J.; Kleber, M. The contentious nature of soil organic matter. Nature 2015, 528, 60–68. [Google Scholar] [CrossRef] [PubMed]
- Wardle, D.A.; Bardgett, R.D.; Klironomos, J.N.; Setälä, H.; van der Putten, W.H.; Wall, D.H. Ecological linkages between aboveground and belowground biota. Science 2004, 304, 1629–1633. [Google Scholar] [CrossRef] [PubMed]
- Lal, R. Soil health and carbon management. Food Energy Secur. 2016, 5, 212–222. [Google Scholar] [CrossRef]
- Ameloot, N.; Graber, E.R.; Verheijen, F.G.A.; De Neve, S. Interactions between biochar stability and soil organisms: Review and research needs. Eur. J. Soil Sci. 2013, 64, 379–390. [Google Scholar] [CrossRef]
- El-Naggar, A.; El-Naggar, A.H.; Shaheen, S.M.; Sarkar, B.; Chang, S.X.; Tsang, D.C.W.; Rinklebe, J.; Ok, Y.S. Biochar composition-dependent impacts on soil nutrient release, carbon mineralization, and potential environmental risk: A review. J. Environ. Manag. 2019, 241, 458–467. [Google Scholar] [CrossRef]
- Lscher, T.B.; Paterson, E.; Freitag, T.; Thornton, B.; Herrmann, A.M. Temperature sensitivity of substrate-use efficiency can result from altered microbial physiology without change to community composition. Soil Biol. Biochem. 2017, 109, 59–69. [Google Scholar]
- Olson, K.R.; Gennadiyev, A.N.; Kovach, R.G.; Schumacher, T.E. Comparison of Prairie and Eroded Agricultural Lands on Soil Organic Carbon Retention (South Dakota). Open J. Soil Sci. 2014, 4, 136–150. [Google Scholar] [CrossRef]
- Krna, M.A.; Rapson, G.L. Clarifying ‘carbon sequestration’. Carbon Manag. 2013, 4, 309–322. [Google Scholar] [CrossRef]
- Ramesh, T.; Bolan, N.S.; Kirkham, M.B.; Wijesekara, H.; Kanchikerimath, M.; Rao, C.S.; Sandeep, S.; Rinklebe, J.; Ok, Y.S.; Choudhury, B.U.; et al. Soil organic carbon dynamics: Impact of land use changes and management practices: A review. Adv. Agron. 2019, 156, 1–107. [Google Scholar]
- Kan, Z.; Liu, W.; Liu, W.; Lal, R.; Dang, Y.P.; Zhao, X.; Zhang, H. Mechanisms of soil organic carbon stability and its response to no-till: A global synthesis and perspective. Glob. Chang. Biol. 2022, 28, 693–710. [Google Scholar] [CrossRef]
- Plante, A.F.; Fernández, J.M.; Haddix, M.L.; Steinweg, J.M.; Conant, R.T. Biological, chemical and thermal indices of soil organic matter stability in four grassland soils. Soil Biol. Biochem. 2011, 43, 1051–1058. [Google Scholar] [CrossRef]
- Paustian, K.; Lehmann, J.; Ogle, S.; Reay, D.; Robertson, G.P.; Smith, P. Climate-smart soils. Nature 2016, 532, 49–57. [Google Scholar] [CrossRef] [PubMed]
- Wang, Y.; Guo, Y.; Wang, X.; Song, C.; Song, Y.; Liu, Z.; Wang, S.; Gao, S.; Ma, G. Mineral protection controls soil organic carbon stability in permafrost wetlands. Sci. Total Environ. 2023, 869, 161864. [Google Scholar] [CrossRef] [PubMed]
- Gao, Y.; Song, X.; Zheng, W.; Wu, L.; Chen, Q.; Yu, X.; Li, Z.; Li, R.; Gao, F.; Tian, H.; et al. The controlled-release nitrogen fertilizer driving the symbiosis of microbial communities to improve wheat productivity and soil fertility. Field Crop. Res. 2022, 289, 108712. [Google Scholar] [CrossRef]
- Qiu, Q.; Wu, L.; Ouyang, Z.; Li, B.; Xu, Y.; Wu, S.; Gregorich, E.G. Priming effect of maize residue and urea N on soil organic matter changes with time. Appl. Soil Ecol. 2016, 100, 65–74. [Google Scholar] [CrossRef]
- Liang, Z.; Cao, B.; Jiao, Y.; Liu, C.; Li, X.; Meng, X.; Shi, J.; Tian, X. Effect of the combined addition of mineral nitrogen and crop residue on soil respiration, organic carbon sequestration, and exogenous nitrogen in stable organic matter. Appl. Soil Ecol. 2022, 171, 104324. [Google Scholar] [CrossRef]
- Xu, Y.; Fan, J.; Ding, W.; Gunina, A.; Chen, Z.; Bol, R.; Luo, J.; Bolan, N. Characterization of organic carbon in decomposing litter exposed to nitrogen and sulfur additions: Links to microbial community composition and activity. Geoderma 2017, 286, 116–124. [Google Scholar] [CrossRef]
- Hu, Q.; Liu, T.; Ding, H.; Guo, L.; Li, C.; Jiang, Y.; Cao, C. Application rates of nitrogen fertilizers change the pattern of soil organic carbon fractions in a rice-wheat rotation system in China. Agric. Ecosyst. Environ. 2022, 338, 108081. [Google Scholar] [CrossRef]
- Deru, J.G.C.; Bloem, J.; de Goede, R.; Brussaard, L.; van Eekeren, N. Effects of organic and inorganic fertilizers on soil properties related to the regeneration of ecosystem services in peat grasslands. Appl. Soil Ecol. 2023, 187, 104838. [Google Scholar] [CrossRef]
- Blagodatskaya, E.; Kuzyakov, Y. Mechanisms of real and apparent priming effects and their dependence on soil microbial biomass and community structure: Critical review. Biol. Fert. Soils 2008, 45, 115–131. [Google Scholar] [CrossRef]
- Kuzyakov, Y.; Friedel, J.K.; Stahr, K. Review of mechanisms and quantification of priming effects. Soil Biol. Biochem. 2000, 32, 1485–1498. [Google Scholar] [CrossRef]
- Wang, H.; Boutton, T.W.; Xu, W.; Hu, G.; Jiang, P.; Bai, E. Quality of fresh organic matter affects priming of soil organic matter and substrate utilization patterns of microbes. Sci. Rep. 2015, 5, 10102. [Google Scholar] [CrossRef] [PubMed]
- Zhang, W.; Wang, X.; Wang, S. Addition of external organic carbon and native soil organic carbon decomposition: A meta-analysis. PLoS ONE 2013, 8, e54779. [Google Scholar] [CrossRef] [PubMed]
- Chen, X.; You, M.; Han, X.; Lu, X.; Zou, W.; Yan, J. Native soil organic-carbon contents shape distinct bacterial communities associated with priming effect. Pedobiologia 2022, 95, 150842. [Google Scholar] [CrossRef]
- Zheng, Y.; Jin, J.; Wang, X.; Clark, G.J.; Tang, C. Increasing nitrogen availability does not decrease the priming effect on soil organic matter under pulse glucose and single nitrogen addition in woodland topsoil. Soil Biol. Biochem. 2022, 172, 108767. [Google Scholar] [CrossRef]
- Zheng, Y.; Jin, J.; Wang, X.; Clark, G.J.; Franks, A.; Tang, C. Nitrogen addition increases the glucose-induced priming effect of the particulate but not the mineral-associated organic carbon fraction. Soil Biol. Biochem. 2023, 184, 109106. [Google Scholar] [CrossRef]
- Kan, Z.; Ma, S.; Liu, Q.; Liu, B.; Virk, A.L.; Qi, J.; Zhao, X.; Lal, R.; Zhang, H. Carbon sequestration and mineralization in soil aggregates under long-term conservation tillage in the North China Plain. Catena 2020, 188, 104428. [Google Scholar] [CrossRef]
- Zhang, W.; Yu, Y.; Huang, Y.; Li, T.; Wang, P. Modeling methane emissions from irrigated rice cultivation in China from 1960 to 2050. Glob. Chang. Biol. 2011, 17, 3511–3523. [Google Scholar] [CrossRef]
- Pu, C.; Kan, Z.; Liu, P.; Ma, S.; Qi, J.; Zhao, X.; Zhang, H. Residue management induced changes in soil organic carbon and total nitrogen under different tillage practices in the North China Plain. J. Integr. Agric. 2019, 18, 1337–1347. [Google Scholar] [CrossRef]
- Ruirui, C.; Xiaoting, W. Book Review: Analytical Methods for Soil and Agro-Chemistry; Zhu, H.Z., He, P.A., Chen, C.Z., Zhou, H.M., Su, D.C., Xu, J.M., Qin, H.Y., Bao, S.D., Lu, R.K., Jiang, S.H., Eds.; Soil Science Society of China Beijing, China Agricultural Science and Technology Press: Beijing, China, 2000; p. 638. ISBN 9787801199256. (In Chinese) [Google Scholar] [CrossRef]
- Hamdi, S.; Moyano, F.; Sall, S.; Bernoux, M.; Chevallier, T. Synthesis analysis of the temperature sensitivity of soil respiration from laboratory studies in relation to incubation methods and soil conditions. Soil Biol. Biochem. 2013, 58, 115–126. [Google Scholar] [CrossRef]
- Bonde, T.A.; Rosswall, T. Seasonal Variation of Potentially Mineralizable Nitrogen in Four Cropping Systems. Soil Sci. Soc. Am. J. 1987, 51, 1508–1514. [Google Scholar] [CrossRef]
- Duan, H.; Cheng, J.; Han, M.; Zhang, H. Effect of Tillage and Residue-Returning Mode on Soil Carbon Mineralizability and Accumulation in a Wheat—Maize System. Agronomy 2022, 12, 1442. [Google Scholar] [CrossRef]
- De Moraes Sá, J.C.; Potma Gonçalves, D.R.; Ferreira, L.A.; Mishra, U.; Inagaki, T.M.; Ferreira Furlan, F.J.; Moro, R.S.; Floriani, N.; Briedis, C.; de Oliveira Ferreira, A. Soil carbon fractions and biological activity based indices can be used to study the impact of land management and ecological successions. Ecol. Indic. 2018, 84, 96–105. [Google Scholar] [CrossRef]
- Hu, Q.; Liu, T.; Ding, H.; Li, C.; Tan, W.; Yu, M.; Liu, J.; Cao, C. Effects of nitrogen fertilizer on soil microbial residues and their contribution to soil organic carbon and total nitrogen in a rice-wheat system. Appl. Soil Ecol. 2023, 181, 104648. [Google Scholar] [CrossRef]
- Yan, Z.; Zhang, W.; Wang, Q.; Liu, E.; Sun, D.; Liu, B.; Liu, X.; Mei, X. Changes in soil organic carbon stocks from reducing irrigation can be offset by applying organic fertilizer in the North China Plain. Agric. Water Manag. 2022, 266, 107539. [Google Scholar] [CrossRef]
- Lu, X.; Hou, E.; Guo, J.; Gilliam, F.S.; Li, J.; Tang, S.; Kuang, Y. Nitrogen addition stimulates soil aggregation and enhances carbon storage in terrestrial ecosystems of China: A meta-analysis. Glob. Chang. Biol. 2021, 27, 2780–2792. [Google Scholar] [CrossRef]
- Ramirez, K.S.; Craine, J.M.; Fierer, N. Consistent effects of nitrogen amendments on soil microbial communities and processes across biomes. Glob. Chang. Biol. 2012, 18, 1918–1927. [Google Scholar] [CrossRef]
- Feng, M.; Li, T.; He, B.; Bai, L.; Wu, X. Soil water repellency and micro-aggregate fractions in response to crop growth periods in a sloping cropland subjecting to long-term fertilization management. Sci. Total Environ. 2022, 838, 156350. [Google Scholar] [CrossRef]
- Meng, D.; Cheng, H.; Shao, Y.; Luo, M.; Xu, D.; Liu, Z.; Ma, L. Progress on the Effect of Nitrogen on Transformation of Soil Organic Carbon. Processes 2022, 10, 2425. [Google Scholar] [CrossRef]
- Zhang, W.; Cui, Y.; Lu, X.; Bai, E.; He, H.; Xie, H.; Liang, C.; Zhang, X. High nitrogen deposition decreases the contribution of fungal residues to soil carbon pools in a tropical forest ecosystem. Soil Biol. Biochem. 2016, 97, 211–214. [Google Scholar] [CrossRef]
- Zhang, Y.; Wu, L.; Zhang, X.; Deng, A.; Abdulkareem, R.; Wang, D.; Zheng, C.; Zhang, W. Effect of Long-Term Organic Amendment Application on the Vertical Distribution of Nutrients in a Vertisol. Agronomy 2022, 12, 1162. [Google Scholar] [CrossRef]
- Nakajima, T.; Shrestha, R.K.; Jacinthe, P.A.; Lal, R.; Bilen, S.; Dick, W. Soil organic carbon pools in ploughed and no-till Alfisols of central Ohio. Soil Use Manag. 2016, 32, 515–524. [Google Scholar] [CrossRef]
- Chaudhary, S.; Dheri, G.S.; Brar, B.S. Long-term effects of NPK fertilizers and organic manures on carbon stabilization and management index under rice-wheat cropping system. Soil Tillage Res. 2017, 166, 59–66. [Google Scholar] [CrossRef]
- Guo, J.H.; Liu, X.J.; Zhang, Y.; Shen, J.L.; Han, W.X.; Zhang, W.F.; Christie, P.; Goulding, K.W.T.; Vitousek, P.M.; Zhang, F.S. Significant Acidification in Major Chinese Croplands. Science 2010, 327, 1008–1010. [Google Scholar] [CrossRef]
- Katyal, J.C.; Rao, N.H.; Reddy, M.N. Critical aspects of organic matter management in the Tropics: The example of India. Nutr. Cycl. Agroecosyst. 2001, 61, 77–88. [Google Scholar] [CrossRef]
- Choudhary, M.; Panday, S.C.; Meena, V.S.; Singh, S.; Yadav, R.P.; Mahanta, D.; Mondal, T.; Mishra, P.K.; Bisht, J.K.; Pattanayak, A. Long-term effects of organic manure and inorganic fertilization on sustainability and chemical soil quality indicators of soybean-wheat cropping system in the Indian mid-Himalayas. Agric. Ecosyst. Environ. 2018, 257, 38–46. [Google Scholar] [CrossRef]
- Muskus, A.M.; Miltner, A.; Hamer, U.; Nowak, K.M. Microbial community composition and glyphosate degraders of two soils under the influence of temperature, total organic carbon and pH. Environ. Pollut. 2022, 297, 118790. [Google Scholar] [CrossRef]
- Shen, H.; Xu, Z.H.; Yan, X.L. Effect of Fertilization on Oxidizable Carbon, Microbial Biomass Carbon, and Mineralizable Carbon under different Agroecosystems. Commun. Soil Sci. Plant Anal. 2001, 32, 1575–1588. [Google Scholar] [CrossRef]
- Six, J.; Elliott, E.T.; Paustian, K. Soil macroaggregate turnover and microaggregate formation: A mechanism for C sequestration under no-tillage agriculture. Soil. Biol. Biochem. 2000, 32, 2099–2103. [Google Scholar] [CrossRef]
- Atkinson, D.; Ke, B.; Forbes, P.; Je, H.; Baddeley, J.A.; Watson, C.A. The influence of arbuscular mycorrhizal colonization and environment on root development in soil. Eur. J. Soil Sci. 2003, 54, 751–757. [Google Scholar] [CrossRef]
Disclaimer/Publisher’s Note: The statements, opinions and data contained in all publications are solely those of the individual author(s) and contributor(s) and not of MDPI and/or the editor(s). MDPI and/or the editor(s) disclaim responsibility for any injury to people or property resulting from any ideas, methods, instructions or products referred to in the content. |
© 2023 by the authors. Licensee MDPI, Basel, Switzerland. This article is an open access article distributed under the terms and conditions of the Creative Commons Attribution (CC BY) license (https://creativecommons.org/licenses/by/4.0/).

