Abstract
In recent years, vermicompost (V) has been widely used as an amendment for improving crop productivity and soil quality. However, the ameliorative effect of vermicompost on the continuous cropping pepper remains unclear, particularly in the karst areas of southwestern China. A field experiment was conducted to study the effect of vermicompost application on the yield, quality, nutrient accumulation, fertilizer utilization, and economic benefits of continuous cropping pepper from 2021 to 2022. The experiment included six treatments: CK (no fertilizer), FP (the fertilization practice of local farmers), and FPV (FP combined with vermicompost of 1500, 2250, 3000, and 3750 kg·ha−1). The results show that vermicompost application increased the yield of fresh pod pepper by 28.34–51.36% (2021) and 47.13–68.82% (2022), whereas the yield of dry pod pepper increased by 16.97–35.14% (2021) and 34.48–62.61% (2022), respectively, compared with the FP treatment. The application of vermicompost reduced the nitrate content and increased the vitamin C (VC) and soluble sugar content of the fruits, which is beneficial for improving their quality. Vermicompost application not only increased nutrient uptake but also significantly improved agronomic efficiency (AE) and recovery efficiency (RE). In addition, although the application of vermicompost increased production costs, the increase in yield improved net incomes (16.02–31.83% in 2021 and 35.83–62.85% in 2022), especially in the FPV4 treatment. In conclusion, the use of vermicompost amendment had a positive effect on the productivity and economic benefits of continuous cropping pepper, which may be an effective nutrient management strategy for the continuous cropping pepper in the karst mountain areas of southwest China.
1. Introduction
China is the largest producer and consumer of vegetables in the world [1]. At present, vegetable production in China is still mostly aimed at high yields, and chemical fertilizers play an important role in agricultural production as the main way of increasing vegetable production [2]. However, excessive fertilizer application often leads to severe secondary soil salinization, which is detrimental to the quality of the agricultural land [3]. The long-term application of chemical fertilizers can lead to soil compaction and destruction of the soil structure, which can negatively affect the growth and development of crops [4,5]. Notably, with the development of intensive agriculture and the increase in replanting indices in recent years, continuous cropping barriers have become an important factor limiting the sustainable development of planting in some regions of China [6,7]. The decline in crop yield and quality owing to continuous cropping barriers has become an important constraint for agricultural production in China. Therefore, the implementation of reasonable and effective soil nutrient management strategies to ensure the stability and improvement of agricultural land quality is an urgent and crucial task. Organic fertilizers have received much attention as widely used soil amendments because of their beneficial effects in enhancing crop yield, quality, and improving soil quality. Many studies have confirmed that organic fertilizers can overcome or mitigate the problem of continuous cropping barriers by increasing organic carbon sources and soil microbial diversity [8,9,10].
Vermicompost is a natural biological organic fertilizer formed by earthworms using decomposed organic wastes (livestock manure, sludge, straw, etc.) as bait and is excreted after digestion in the body [11,12]. Vermicompost has a large surface area that provides microsites for the microbial decomposition of organic matter and has a strong capacity for nutrient adsorption and retention, as well as an excellent water holding capacity [13,14,15]. In addition, vermicompost has a passivation effect on heavy metal ions in the soil, which can reduce toxicity to plants by reducing the bioavailability and mobility of heavy metal ions [16,17]. Simultaneously, vermicompost is rich in many microorganisms that can improve the disease resistance of plants by forming antagonistic or inhibitory effects with many pathogenic bacteria [18,19].
Many studies have shown that the application of vermicompost not only promotes plant growth by increasing the availability of soil nutrients but also affects plant nutrient uptake and salt tolerance by regulating plant metabolism and signaling pathways [20,21]. There are two pathways for the production of plant growth regulators in vermicompost: one is produced by earthworms themselves during the production of vermicompost, and the other is produced by earthworms inducing microbial secretion, which stimulates and enhances the activity of microorganisms through the intestinal tract of earthworms [22,23]. It has been found that the addition of vermicompost in appropriate amounts can suppress soil-borne diseases, and solve the problems that commonly affect green production in facility vegetable cultivation [19,24,25]. Studies have shown that vermicompost can significantly alleviate the continuous cropping barriers in the soil of facility cucumber cultivation, inhibit soil-borne diseases in the seedling stage of cucumbers, and effectively enhance rhizosphere soil fertility and promote cucumber growth [19,26]. Currently, vermicompost has been widely used in agricultural production as an important organic amendment and has shown significant advantages in increasing soil fertility, enhancing crop yield, and improving the quality of agricultural products [27,28].
Pepper is widely favored by the public because of its rich nutrition and unique flavor, and it has become the third largest vegetable crop in the world after beans and tomatoes [29]. In recent years, the phenomenon of continuous cropping pepper has been increasing, owing to the limitations of agricultural land resources and the rapid development of the pepper industry. The long-term continuous cropping of pepper has led to the frequent occurrence of pests and diseases, which has caused a continuous decline in pepper yield, quality, and economic benefits, and has seriously restricted the healthy and sustainable development of pepper [30,31]. Although many field experiments have confirmed the positive effects of vermicompost in increasing crop yield and improving soil quality, studies on the effects of vermicompost application on the biological characteristics, fertilizer utilization, and economic benefits of continuous cropping pepper in karst areas are still unknown. To investigate whether vermicompost application has an ameliorative effect on the continuous cropping pepper in the karst region of southwestern China, we conducted a two-year field experiment to assess its potential for the productivity of continuous cropping pepper. Therefore, the objectives of this study were the following: (1) to assess the effects of different vermicompost application rates on the yield and quality of continuous cropping pepper, (2) to investigate the effects of vermicompost application on nutrient accumulation and fertilizer utilization efficiency, and (3) to evaluate the effects of vermicompost application on the economic benefits of continuous cropping pepper.
2. Materials and Methods
2.1. Site Description
The field experiment was conducted in Yaxi Town (27°35′10″ N, 106°40′1″ E) from 2021 to 2022 in the Bozhou District, Zunyi City, Guizhou Province, China. Before conducting the experiment, the field was planted with pod pepper for five years from 2016 to 2020. This region has a subtropical monsoon climate, with an average annual rainfall of 891 mm and an average annual temperature of 14.3 °C. The soil type of the experimental region is yellow soil, which is widely distributed in the karst mountains of southwestern China. The basic physicochemical properties of soil in the experiment region are shown in Table 1.
Table 1.
The basic physicochemical properties of soil and vermicompost.
2.2. Experimental Material
The pod pepper variety used in the experiment was ‘Zunla 9’, which was bred by the Zunyi Academy of Agricultural Sciences and was the main local planting variety. The fertilizers used in the experiment were CF1 (N-P2O5-K2O 15-14-16, Guizhou Tianbao Fengyuan Ecological Agricultural Technology Co., Ltd., Xiuwen, China), CF2 (N-P2O5-K2O 18-6-18, Guizhou Tianbao Fengyuan Ecological Agricultural Technology Co., Ltd., Xiuwen, China), and vermicompost (Hubei Tianshenjia Biological Environmental Protection Technology Co., Ltd., Wuxue, China). Vermicompost was obtained using earthworms to digest cow manure for 60 days and then separating the earthworms from the manure. The basic physicochemical properties of vermicompost are shown in Table 1.
2.3. Experimental Design
The field experiment was conducted in 2021–2022 and included two pod pepper planting seasons. There were six treatments with three replicates: (1) CK, no fertilizer; (2) FP, fertilization practice of local farmers, 900 kg·ha−1 of CF1 + 900 kg·ha−1 of CF2; (3) FPV1, FP combined with 1500 kg·ha−1 of vermicompost; (4) FPV2, FP combined with 2250 kg·ha−1 of vermicompost; (5) FPV3, FP combined with 3000 kg·ha−1 of vermicompost; (6) FPV4, FP combined with 3750 kg·ha−1 of vermicompost. In the experiment, CF1 and vermicompost were both applied to the soil as fertilizer before transplanting the pod pepper, and then a rotary tiller was used to mix fertilizers and the soil evenly. Pod pepper seedlings were transplanted 15 days after the ridging and were covered with plastic film. The planting density was 45,000 plants·ha−1. Each treatment was conducted in a random block and the plot area was 35.00 m2 (3.5 m × 10.0 m). CF2 was applied to the soil as topdressing fertilizer at the early flowering stage of the pod pepper. In addition, all field managements were consistent to ensure the accuracy of the test results.
2.4. Soil Sampling and Analysis
Before fertilizers were spread, soil samples (0–20 cm depth) were collected using a soil auger from 15 randomly selected sites. All the soil samples were mixed into one composite sample, and then air-dried, ground and passed through 1.00 mm and 0.15 mm sieves to measure pH, soil organic matter (SOM), total nitrogen (TN), available phosphorus (AP), and available potassium (AK). The soil pH value was measured using a 1:2.5 extraction mixture with a pH meter (FE20K, Mettler Toledo, Zurich, Switzerland). SOM was determined by the high-temperature external heating potassium dichromate oxidation volumetric method. TN was metered by the H2SO4-H2O2 digestion Kjeldahl method. AP was measured by extraction molybdenum antimony anti-colorimetry of 0.5 mol·L−1 NaHCO3. AK was determined by extraction using ammonium acetate and assessed using a flame photometer (FP640, Shanghai Aopu Analytical Instrument Co., Ltd., Shanghai, China) [32].
2.5. Plant Sampling and Analysis
At the ripening stages of the pod pepper, six plants were sampled in each plot. The fresh pod pepper plants were divided into three parts: stems, leaves and fruits. The plant samples were baked first at 105 °C for 0.5 h, and then baked to a constant weight at 60 °C. The dried stems, leaves, and fruits were weighed and summed to obtain the aboveground dry biomass of the pod pepper. Then, all the dried samples were ground and passed through a 0.25 mm sieve, and digested with a mixture of concentrated H2SO4 and H2O2 to determine N, P and K concentrations [33]. In addition, samples of fresh pod pepper from each plot were collected at the mature stage to determine the content of free amino acid, reducing sugar, VC and nitrate [33].
2.6. Yield of Pod Pepper
According to the maturity of the pod pepper in each plot, the yield of fresh pod peppers in each plot was weighed. Then, the final yield of fresh pepper was calculated according to the weight of multiple harvests. In addition, the moisture content of fresh pod pepper was collected each time and was calculated after being brought back to the laboratory for drying, and then the yield of the dry pod pepper was calculated.
2.7. Calculations and Statistical Analysis [32]
2.7.1. Nutrient Accumulation
The calculation method for nutrient accumulation is as follows.
where NA stands for nutrient accumulation (kg·ha−1), NC stands for nutrient concentration (%), and DB stands for dry biomass (kg·ha−1).
2.7.2. Fertilizer Utilization
The calculation method for fertilizer utilization is as follows.
where AE stands for agronomic efficiency (kg·kg−1), YF stands for the dry yield of fertilization treatment (kg·ha−1), YCK stands for the dry yield of CK treatment (kg·ha−1), RE stands for the recovery efficiency (%), NAF stands for the nutrient accumulation of fertilization treatment (kg·ha−1), NACK stands for the nutrient accumulation of CK treatment (kg·ha−1), and NIF stands for the nutrient input of fertilization treatment (kg·ha−1).
2.7.3. Economic Benefits
The calculation method for economic benefits is as follows.
where OV stands for the output value (yuan·ha−1), Y stands for the yield of the dry pod pepper (kg·ha−1), UP stands for the unit price of the dry pod pepper (yuan·kg−1), NEI stands for net income (yuan·ha−1), and FV stands for the fertilizer value (yuan·ha−1). In the calculation of economic benefits, the unit price of dry pod pepper was 20.00 yuan·kg−1. The fertilizer values of CF1, CF2 and vermicompost were 3350, 3500 and 1000 yuan·t−1, respectively.
The linear plus platform model is:
where Y stands for the yield (kg·ha−1), X stands for the fertilization application rate (kg·ha−1), A stands for the regression coefficient, B stands for the intercept, C stands for the intersection of line and platform, and P stands for the maximum yield (kg·ha−1).
2.8. Statistical Analysis
The results are presented as mean ± standard error. The experimental results were recorded and processed using Excel 2010. Data were analyzed by variance using the SPSS 18.0 statistical software package (SPSS Inc., Chicago, IL, USA). One-way analyses of variance (ANOVA) were used to assess the statistically significant difference in yield, quality, nutrient accumulation, fertilizer utilization, and economic benefits among different treatments based on Duncan’s test (p < 0.05). The figures were conducted with Origin 8.0 (Origin Lab Corporation, Northampton, MA, USA).
3. Results
3.1. Effects of Vermicompost Application on Yield of Pod Pepper
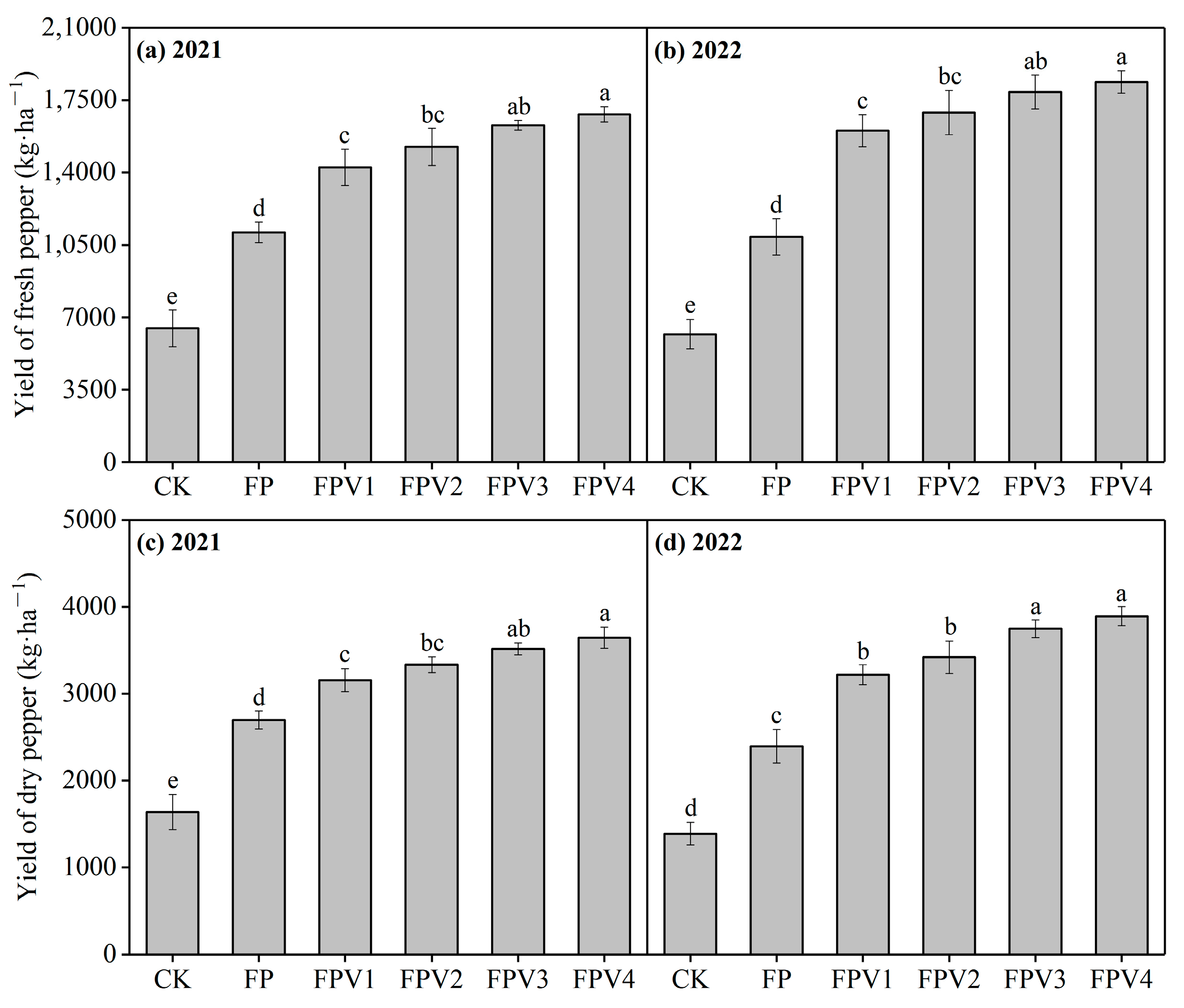
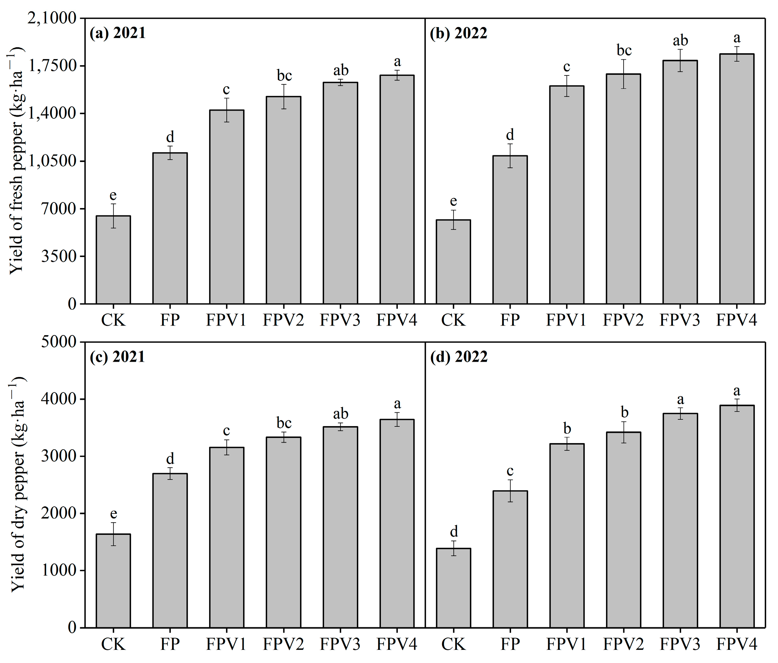
Compared with the CK treatment, fertilizer application increased the yield of fresh pod pepper by 71.77–159.99% (2021) and 76.16–197.40% (2022) (Figure 1). Compared with the FP treatment, the vermicompost application treatments increased the yield of fresh pod pepper by 28.34–51.36% (2021) and 47.13–68.82% (2022). The FPV4 treatment resulted in the highest yield of fresh pod pepper in two years, which was 16,814 kg·ha−1 in 2021 and 18,384 kg·ha−1 in 2022. The change in dry pepper yield was similar to that in fresh pepper yield. Compared with the FP treatment, the vermicompost application treatments significantly increased the yield of dry pod pepper by 16.97–35.14% (2021) and 34.48–62.61% (2022). The FPV4 treatment showed the highest yield of dry pod pepper in the two years, which was 3646 kg·ha−1 in 2021 and 3894 kg·ha−1 in 2022. The optimal application rate of vermicompost was calculated (Figure 2). The results showed that the optimal yield of fresh pod pepper could be obtained when the application rate of vermicompost reached 3042 kg·ha−1, whereas it was 3311 kg·ha−1 for dry pod pepper.
Figure 1.
Effects of vermicompost application on yield of pod pepper in 2021 (a,c) and 2022 (b,d). CK—no fertilizer; FP—fertilization practice of local farmers; FPV1—FP combined with 1500 kg·ha−1 of vermicompost; FPV2—FP combined with 2250 kg·ha−1 of vermicompost; FPV3—FP combined with 3000 kg·ha−1 of vermicompost; and FPV4—FP combined with 3750 kg·ha−1 of vermicompost. Different lowercase letters indicate significant differences among different treatments at the p < 0.05 by Duncan’s MRT method.
Figure 2.
Effects of vermicompost application rate on yield of pod pepper. ** represents significant at p < 0.05.
3.2. Effects of Vermicompost Application on Fruit Quality of Fresh Pod Pepper
The application of vermicompost significantly affected the fruit quality of fresh pod pepper, especially the reducing sugar, VC, and nitrate content (Table 2). Compared with the FP treatment, the vermicompost application treatments increased the reducing sugar by 16.26–35.28% in 2021 and 30.92–50.36% in 2022. The reducing sugar contents in the FPV3 and FPV4 treatments were the highest in two years. Meanwhile, the application of vermicompost increased the VC content by 6.17–26.54% in 2021 and 12.26–60.65% in 2022, whereas the VC content of the FPV4 treatment was the highest in the two years. In addition, compared with the FP treatment, the vermicompost application treatments reduced the nitrate content of fresh pod pepper fruits by 15.14–20.58% in 2021 and 18.92–55.74% in 2022, with the FPV4 treatment showing the lowest nitrate content in the last two years.
Table 2.
Effects of vermicompost application on quality of fresh pod pepper.
3.3. Effects of Vermicompost Application on Nutrients Accumulation of Pod Pepper
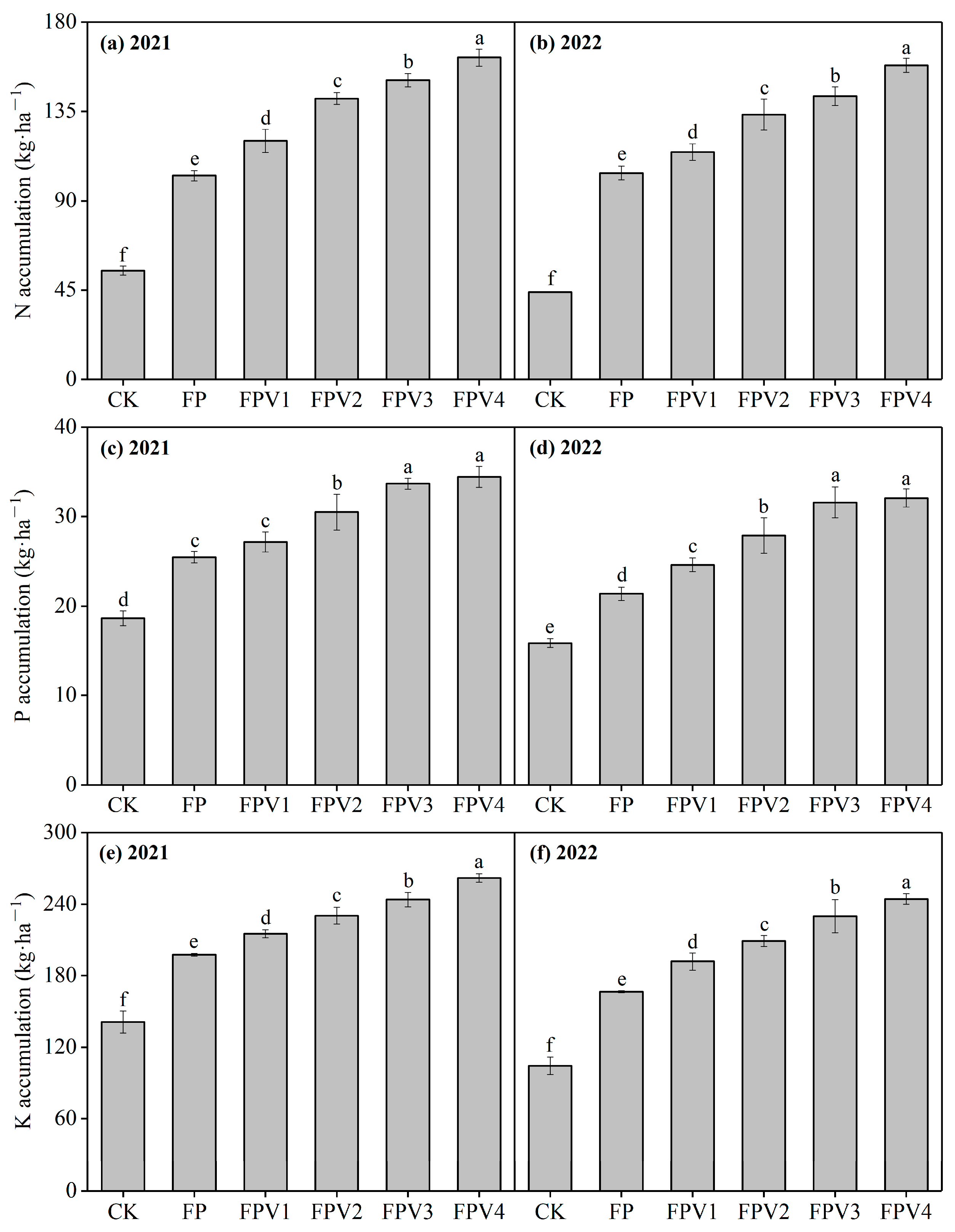
Figure 3 shows the nutrient accumulation in the pod pepper. Compared with the CK treatment, fertilizer application increased the accumulation of N, P, and K by 87.44–195.64%, 36.54–84.84%, and 40.11–85.62, respectively, in 2021, whereas they increased by 136.41–259.26%, 34.66–102.22%, and 59.29–133.89, respectively, in 2022. Compared with the FP treatment, the N, P, and K accumulation of the vermicompost application treatments increased by 16.93–57.72%, 6.67–35.37%, and 8.95–32.48%, respectively, in 2021, whereas they increased by 10.09–62.61%, 15.03–50.17%, and 15.24–46.83%, respectively, in 2022. The treatment of FPV4 showed the highest N, P, and K accumulations in two years, which were 162.02, 34.45, and 261.92 kg·ha−1 in 2021, respectively, and 158.07, 32.09, 244.41 kg·ha−1 in 2022, respectively.
Figure 3.
Effects of vermicompost application on nutrient accumulation in 2021 (a,c,e) and 2022 (b,d,f). CK—no fertilizer; FP—fertilization practice of local farmers; FPV1—FP combined with 1500 kg·ha−1 of vermicompost; FPV2—FP combined with 2250 kg·ha−1 of vermicompost; FPV3—FP combined with 3000 kg·ha−1 of vermicompost; and FPV4—FP combined with 3750 kg·ha−1 of vermicompost. Different lowercase letters indicate significant differences among different treatments at the p < 0.05 by Duncan’s MRT method.
3.4. Effects of Vermicompost Application on Fertilizer Utilization of Pod Pepper
Table 3 shows that the application of vermicompost significantly increased fertilizer efficiency. Compared with FP treatment, the AEN, AEP, and AEK of vermicompost application treatments increased by 43.14–89.36%, 43.25–89.54%, and 43.41–89.69% in 2021, respectively, whereas they increased by 82.01–148.97%, 82.05–148.95%, and 82.32–149.24% in 2022, respectively. The FPV4 treatment showed the highest AE in both years. Similarly, compared with the FP treatment, the REN, REP, and REK of the vermicompost application treatments increased by 36.25–123.67%, 24.91–132.06%, and 31.27–113.46% in 2021, respectively, whereas they increased by 17.47–90.05%, 58.43–194.86%, and 40.94–125.82% in 2022, respectively. The REN, REP, and REK in the FPV4 treatment were 36.10%, 20.12%, and 47.58% in 2021, respectively, whereas they were 38.41%, 20.64%, and 55.10% in 2022, respectively.
Table 3.
Effects of vermicompost application on fertilizer utilization of pod pepper.
3.5. Effects of Vermicompost Application on Economic Benefits of Pod Pepper
Table 4 shows the effects of vermicompost on the economic benefits of pod pepper. Compared with the FP treatment, the output values of the vermicompost application treatments increased by 9155–18,962 yuan·ha−1 in 2021 and 18,165–32,982 yuan·ha−1 in 2022, with increases of 16.97–35.15% in 2021 and 34.48–62.61% in 2022. The output value of the FPV4 treatment was the highest in the two years, at 72,914 yuan·ha−1 in 2021 and 85,659 yuan·ha−1 in 2022. In addition, compared with the FP treatment, the net income of the vermicompost application treatments increased by 7654–15,211 yuan·ha−1 in 2021 and 16,665–29,232 yuan·ha−1 in 2022, with increasing rates of 16.02–31.83% in 2021 and 35.83–62.85% in 2022. The net income of the FPV4 treatment among all treatments was the highest in the two years, at 62,999 yuan·ha−1 in 2021 and 75,744 yuan·ha−1 in 2022.
Table 4.
Effects of vermicompost application on economic benefits of pod pepper.
4. Discussion
Vermicompost is a well-decomposed organic fertilizer with the advantages of high porosity, and excellent aeration and drainage [34,35]. Therefore, vermicompost is often used as an organic amendment to improve soil fertility and promote crop quality and yield [36,37,38]. Compared with conventional organic fertilizers, vermicompost contains a higher and more balanced nutrient content, which helps plant roots absorb nutrients more efficiently [39,40]. The results of this experiment showed that the application of vermicompost had a positive effect on the yield of continuous cropping pepper in karst areas. Compared with no application of vermicompost (FP), the yield of fresh pepper increased by 28.34–51.36% (2021) and 47.13–68.82% (2022), whereas the yield of dry pepper increased by 16.97–35.14% (2021) and 34.48–62.61% (2022). The positive effects of vermicompost on crop yield can be attributed to multiple factors. Studies have shown that vermicompost can not only activate enzyme activities involved in chlorophyll synthesis, plant growth, and fruit ripening but also increase the availability of some nutrients in the soil [41,42]. Some studies have confirmed that vermicompost also contains high amounts of cytokinins, growth hormones, and humic acids, which can promote crop development and yield [19,43]. Although plant hormones or growth regulators in vermicompost were not measured in this experiment, it can be speculated from the yield enhancement effect that they may play an active role in promoting the growth of continuous cropping pepper.
The results of this study also showed that the application of vermicompost had a positive effect on the improvement of fruit quality, such as increasing reducing sugars and VC content, and reducing nitrate content. This finding is similar to those of previous studies. Zaller [44] showed that vermicompost as a cultivation substrate can promote the growth of tomato seedlings and improve fruit quality. Atiyeh et al. [45] concluded that the addition of 20–40% vermicompost to the soil promoted plant growth, increased yield, and improved quality, but the optimal amount of vermicompost to be applied varied depending on the crop species [46,47]. This positive effect can be explained by the fact that vermicompost is rich in essential amino acids such as glutamic acid and glycine, which can be involved in the soluble sugar metabolic process through plant roots and promote the enhancement of soluble sugar content in fruits [48,49]. The input of amino acid nitrogen in vermicompost can cause a significant decrease in the nitrate content of fruits through the inhibition of nitrate reductase, which may be responsible for the decrease in the nitrate content of fruits [50,51,52].
Studies have found that vermicompost was rich in nutrients and small organic molecules required for plant growth and these substances were more easily converted into active components that can be absorbed and used by plants under the action of microorganisms, facilitating the accumulation of nutrients in plants [53,54]. The organic carbon (OC) content of the vermicompost used in this study reached 307.59 g·kg−1, and the TN, AP and AK contents of vermicompost were also significantly higher than those of the test soil, which provided a better supply of nutrients for plant growth. Moreover, similar findings were verified in our experimental results. The present study found that the N, P, and K accumulation of the vermicompost application treatments increased by 16.93–57.72%, 6.67–35.37%, and 8.95–32.48% in 2021, respectively, compared with the FP treatment, whereas they increased by 10.09–62.61%, 15.03–50.17%, and 15.24–46.83% in 2022, respectively. Meanwhile, vermicompost application significantly increased the use efficiency of fertilizer. This was confirmed by previous studies, which showed that nutrients in earthworm feces can be slowly released, which is beneficial for plants’ ability to absorb more nutrients [55]. Similar results were reported by Kalika-Singh et al. [56], who point out that vermicompost released nutrients at a slow pace that encouraged easy plant uptake, resulting in improved nutrient accumulation. In addition, the vermicompost used in this study was produced after the digestion of earthworms fed with cow dung, which contained a large amount of organic material, such as incompletely decomposed straw. Therefore, the application of vermicompost can increase the active organic carbon component in the soil, which promotes the formation of a soil agglomerate structure and enhances the fertilizer and water retention capacity of the soil [57,58]. Notably, some studies have demonstrated that vermicompost is equally effective in promoting growth, quality improvement, and fertilizer use efficiency in continuous cropping plants [19,58,59]. This may be attributed to the changes in the soil microbial community structure caused by the application of vermicompost. Zhang et al. [4] and Yatoo et al. [25] have pointed out that vermicompost contained a large number of beneficial microorganisms, organic matter, and inorganic minerals, which would contribute to the activation and colonization of soil-beneficial microorganisms.
Higher economic benefits are the driving force behind farmers’ planting motivation. Vermicompost has good application prospects as a low-cost and efficient soil amendment [36,60,61]. In this study, net income increased by 16.02–31.83% in 2021 and 35.83–62.85% in 2022 for the vermicompost application treatments (Table 4), and the net income effect was optimal for the FPV3 and FPV4 treatments. This indicates that although the input of vermicompost increased the production cost of pepper, it did not reduce the net income but rather contributed to economic efficiency. This was confirmed by Mengistu et al. [53], who showed that treatment with additional earthworm manure had the highest net benefit with an acceptable economic return, surpassing the sole mineral fertilizer in terms of crop yield and economic return. It is worth noting that this study only analyzed the relative benefits in terms of production value, fertilizer input, and net income. However, the improvement in quality in actual production is also important for increasing farmers’ income; therefore, the potential of vermicompost application for economic benefit enhancement needs to be further investigated.
5. Conclusions
This study showed that the application of vermicompost was beneficial for increasing productivity. Under the experimental conditions, the highest pepper productivity could be achieved when applying 3042–3311 kg·ha−1 of vermicompost. Moreover, vermicompost applacation significantly improved the quality of continuous cropping pepper, especially increasing the reducing sugar and VC content in the fruits and reducing the nitrate content. It is worth noting that the application of cheaper vermicompost as a soil amendment can provide higher economic benefits for the cultivation of continuous cropping pepper in the karst areas of southwestern China. Furthermore, the potential of vermicompost to replace chemical fertilizers should be explored in future research, which will not only help to reduce high doses of chemical fertilizer inputs but also have important significance in promoting sustainable agricultural development.
Author Contributions
Conceptualization, M.Z. and J.G.; data curation, M.Z. and X.G.; formal analysis, M.Z., Y.L. and Q.W.; supervision, L.L.; J.G. and M.W.; writing—original draft, M.Z.; writing—review and editing, M.Z. and J.G. All authors have read and agreed to the published version of the manuscript.
Funding
This research was supported by the Guizhou Provincial Basic Research Program (Natural Science) (QKHJC-ZK [2023]ZD022), the Guizhou Provincial Key Technology R&D Program ([2020]1Y087) and the National Natural Science Foundation of China (No. 31860594).
Data Availability Statement
All data generated or analyzed during this study are included in this published article.
Conflicts of Interest
The authors declare no conflict of interest.
References
- Food and Agriculture Organization of the United Nations (FAO). World Food and Agriculture–Statistical Yearbook 2020; FAO: Rome, Italy, 2020; pp. 150–216. [Google Scholar]
- Wang, F.; Wang, X.; Song, N. Biochar and vermicompost improve the soil properties and the yield and quality of cucumber (Cucumis sativus L.) grown in plastic shed soil continuously cropped for different years. Agric. Ecosyst. Environ. 2021, 315, 107425. [Google Scholar] [CrossRef]
- Zhu, X.; Ros, G.H.; Xu, M.; Cai, Z.; Sun, N.; Duan, Y.; de Vrie, W. Long-term impacts of mineral and organic fertilizer inputs on nitrogen use efficiency for different cropping systems and site conditions in Southern China. Eur. J. Agron. 2023, 146, 126797. [Google Scholar] [CrossRef]
- Bai, X.; Gao, J.; Wang, S.; Cai, H.; Chen, Z.; Zhou, J. Excessive nutrient balance surpluses in newly built solar greenhouses over five years leads to high nutrient accumulations in soil. Agric. Ecosyst. Environ. 2020, 288, 106717. [Google Scholar] [CrossRef]
- Zhang, H.; Zhang, Q.; Song, J.; Zhang, Z.; Chen, S.; Long, Z.; Wang, M.; Yu, Y.; Fang, H. Tracking resistomes, virulence genes, and bacterial pathogens in long-term manure-amended greenhouse soils. J. Hazard. Mater. 2020, 122618. [Google Scholar] [CrossRef]
- Wu, Q.; Zhang, J.; Liu, X.; Chang, T.; Wang, Q.; Shaghaleh, H.; Hamoud, Y.A. Effects of biochar and vermicompost on microorganisms and enzymatic activities in greenhouse soil. Front. Environ. Sci. 2022, 10, 1060277. [Google Scholar] [CrossRef]
- Ji, C.; Ye, R.; Yin, Y.; Sun, X.; Ma, H.; Gao, R. Reductive soil disinfestation with biochar amendment modifified microbial community composition in soils under plastic greenhouse vegetable production. Soil Tillage Res. 2022, 218, 105323. [Google Scholar] [CrossRef]
- Zhang, Y.; Gao, W.; Luan, H.; Tang, J.; Li, R.; Li, M.; Zhang, H.; Huang, S. Effects of a decade of organic fertilizer substitution on vegetable yield and soil phosphorus pools, phosphatase activities, and the microbial community in a greenhouse vegetable production system. J. Integr. Agric. 2022, 21, 2119–2133. [Google Scholar] [CrossRef]
- Zhang, H.; Yang, H.; Zhang, X.; Sun, J.; Dong, L.; Han, H.; Chen, Z. Bama pig manure organic fertilizer Regulates the Watermelon Rhizosphere Bacterial Community to Inhibit the Occurrence of Fusarium Wilt Under Continuous Cropping Conditions. Curr. Microbiol. 2022, 79, 364. [Google Scholar] [CrossRef]
- Su, Y.; Zi, H.; Wei, X.; Hu, B.; Deng, X.; Chen, Y.; Jiang, Y. Application of manure rather than plant-origin organic fertilizers alters the fungal community in continuous cropping tobacco soil. Front. Microbiol. 2022, 13, 818956. [Google Scholar] [CrossRef]
- Guerrero, R.D. Vermicompost production and its use for crop production in the Philippines. Int. J. Glob. Environ. Issues 2010, 10, 378. [Google Scholar] [CrossRef]
- Xiao, Z.; Liu, M.; Jiang, L.; Chen, X.; Griffiths, B.S.; Li, H.; Hu, F. Vermicompost increases defense against root-knot nematode (Meloidogyne incognita) in tomato plants. Appl. Soil Ecol. 2016, 105, 177–186. [Google Scholar] [CrossRef]
- Zucco, M.A.; Walters, S.A.; Chong, S.-K.; Klubek, B.P.; Masabni, J.G. Effect of soil type and vermicompost applications on tomato growth. Int. J. Recycl. Org. Waste Agric. 2015, 4, 135–141. [Google Scholar] [CrossRef]
- Szczech, M.; Rondomański, W.; Brzeski, M.W.; Smolińska, U.; Kotowski, J.F. Suppressive effect of a commercial earthworm compost on some root infecting pathogens of cabbage and tomato. Biol. Agric. Hortic. 1993, 10, 47–52. [Google Scholar] [CrossRef]
- Haribhushan, A.; Shabir, H.W.; Indira, S.; Anando, S.N. Effects of vermicompost and boron on tomato (Solanum lycopersicum cv. Pusa ruby) flowering, fruit ripening, yield and soil fertility in acid soils. Int. J. Agric. Environ. Biotechnol. 2016, 9, 847–853. [Google Scholar] [CrossRef]
- Shen, Z.; Yu, Z.; Xu, L.; Zhao, Y.; Yi, S.; Shen, C.; Wang, Y.; Li, Y.; Zuo, W.; Gu, C.; et al. Effects of vermicompost application on growth and heavy metal uptake of barley grown in mudflat salt-affected Soils. Agronomy 2022, 12, 1007. [Google Scholar] [CrossRef]
- Khan, M.B.; Cui, X.; Jilani, G.; Lazzat, U.; Zehra, A.; Hamid, Y.; Hussain, B.; Tang, L.; Yang, X.; He, Z. Eisenia fetida and biochar synergistically alleviate the heavy metals content during valorization of biosolids via enhancing vermicompost quality. Sci. Total Environ. 2019, 684, 597–609. [Google Scholar] [CrossRef]
- Benazzouk, S.; Dobrev, P.I.; Djazouli, Z.E.; Motyka, V.; Lutts, S. Positive impact of vermicompost leachate on salt stress resistance in tomato (Solanum lycopersicum L.) at the seedling stage: A phytohormonal approach. Plant Soil 2020, 446, 145–162. [Google Scholar] [CrossRef]
- Zhao, H.T.; Li, T.P.; Zhang, Y.; Hu, J.; Bai, Y.C.; Shan, Y.H.; Ke, F. Effects of vermicompost amendment as a basal fertilizer on soil properties and cucumber yield and quality under continuous cropping conditions in a greenhouse. J. Soils Sediments 2017, 17(12), 2718–2730. [Google Scholar] [CrossRef]
- Blouin, M.; Barrere, J.; Meyer, N.; Lartigue, S.; Barot, S.; Mathieu, J. Vermicompost significantly affects plant growth: A meta-analysis. Agron. Sustain. Dev. 2019, 39, 34. [Google Scholar] [CrossRef]
- Pramani, P.; Ghosh, G.K.; Ghosal, P.K.; Banik, P. Changes in organic—C, N, P and K and enzyme activities in vermicompost of biodegradable organic wastes under liming and microbial inoculants. Bioresour. Technol. 2007, 98, 2485–2494. [Google Scholar] [CrossRef]
- Mendoza-Hernández, D.; Fornes, F.; Belda, R.M. Compost and vermicompost of horticultural waste as substrates for cutting rooting and growth of rosemary. Sci. Hortic. 2014, 178, 192–202. [Google Scholar] [CrossRef]
- Zhang, T.; Wang, T.; Liu, K.; Wang, L.; Wang, K.; Zhou, Y. Effects of different amendments for the reclamation of coastal saline soil on soil nutrient dynamics and electrical conductivity responses. Agric. Water Manag. 2015, 159, 115–122. [Google Scholar] [CrossRef]
- Yatoo, A.M.; Ali, M.N.; Baba, Z.A.; Hassan, B. Sustainable management of diseases and pests in crops by vermicompost and vermicompost tea: A review. Agron. Sustain. Dev. 2021, 41, 7. [Google Scholar] [CrossRef]
- Zhao, F.; Zhang, Y.; Li, Z.; Shi, J.; Zhang, G.; Zhang, H.; Yang, L. Vermicompost improves microbial functions of soil with continuous tomato cropping in a greenhouse. J. Soils Sediments 2020, 20, 380–391. [Google Scholar] [CrossRef]
- Zhang, X.; Sa, R.; Gao, J.; Wang, C.; Liu, D.; Zhang, Y. Preventive effect of vermicompost against cucumber Fusarium wilt and improvement of cucumber growth and soil properties. Int. J. Agric. Biol. 2020, 23, 515–521. [Google Scholar] [CrossRef]
- Huang, M.; Zhou, X.; Xie, X.; Zhao, C.; Chen, J.; Cao, F.; Zou, Y. Rice yield and the fate of fertilizer nitrogen as affected by addition of earthworm casts collected from oilseed rape fields: A pot experiment. PLoS ONE 2016, 11, e0167152. [Google Scholar] [CrossRef]
- Tikoria, R.; Kaur, A.; Ohri, P. Modulation of various phytoconstituents in tomato seedling growth and Meloidogyne incognita-induced stress alleviation by vermicompost application. Front. Environ. Sci. 2022, 10, 891195. [Google Scholar] [CrossRef]
- Zou, Z.; Zou, X. Geographical and ecological differences in pepper cultivation and consumption in China. Front. Nutr. 2021, 8, 718517. [Google Scholar] [CrossRef]
- Zhang, M.; Gou, J.; Wei, Q.; Liu, Y.; Qin, S. Effects of different biochar-based fertilizers on the biological properties and economic benefits of pod pepper (Capsicum annuum var. frutescens L.). Appl. Ecol. Environ. Res. 2021, 19, 2829–2841. [Google Scholar] [CrossRef]
- Zhang, M.; Liu, Y.; Wei, Q.; Liu, L.; Gou, J. Biochar-based fertiliser improved the yield, quality and fertiliser utilisation of open field tomato in karst mountainous area. Plant Soil Environ. 2022, 68, 163–172. [Google Scholar] [CrossRef]
- Ning, C.; Liu, R.; Kuang, X.; Chen, H.; Tian, J.; Cai, K. Nitrogen fertilizer reduction combined with biochar application maintain the yield and nitrogen supply of rice but improve the nitrogen use efficiency. Agronomy 2022, 12, 3039. [Google Scholar] [CrossRef]
- Zhang, M.; Liu, Y.; Wei, Q.; Liu, L.; Gu, X.; Gou, J. Biochar-based fertilizer enhances the production capacity and economic benefit of open-field eggplant in the karst region of southwest China. Agriculture 2022, 12, 1388. [Google Scholar] [CrossRef]
- Mahmud, M.; Abdullah, R.; Yaacob, J.S. Effect of vermicompost on growth, plant nutrient uptake and bioactivity of ex vitro pineapple (Ananas comosus var. MD2). Agronomy 2020, 10, 1333. [Google Scholar] [CrossRef]
- Song, X.; Liu, M.; Wu, D.; Griffiths, B.S.; Jiao, J.; Li, H.; Hu, F. Interaction matters: Synergy between vermicompost and PGPR agents improves soil quality, crop quality and crop yield in the field. Appl. Soil Ecol. 2015, 89, 25–34. [Google Scholar] [CrossRef]
- Tascı, F.G.; Kuzucu, C.O. The effects of vermicompost and green manure use on yield and economic factors in broccoli. Horticulturae 2023, 9, 406. [Google Scholar] [CrossRef]
- Goswami, L.; Nath, A.; Sutradhar, S.; Bhattacharya, S.S.; Kalamdhad, A.; Vellingiri, K.; Kim, K.H. Application of drum compost and vermicompost to improve soil health, growth, and yield parameters for tomato and cabbage plants. J. Environ. Manag. 2017, 200, 243–252. [Google Scholar] [CrossRef]
- Santana, N.A.; Jacques, R.J.S.; Antoniolli, Z.I.; Martínez-Cordeiro, H.; Domínguez, J. Changes in the chemical and biological characteristics of grape marc vermicompost during a two-year production period. Appl. Soil Ecol. 2020, 154, 103587. [Google Scholar] [CrossRef]
- Nurhidayati, N.; Ansari, A.S.; Sholihah, A.; Chiangmai, P.N. Vermicompost and rice husk biochar interaction ameliorates nutrient uptake and yield of green lettuce under soilless culture. J. Hortic. Res. 2022, 30, 55–66. [Google Scholar] [CrossRef]
- Vinothini, V.; Anuradha, R.; Senthilkumar, R. Vermicompost production and nutrient analysis using Eudrillus eugine. World J. Pharm. Res. 2016, 5, 1250–1257. [Google Scholar] [CrossRef]
- Liu, X.; Zhang, J.; Wang, Q.; Chang, T.; Shaghaleh, H.; Hamoud, Y.A. Improvement of photosynthesis by biochar and vermicompost to enhance tomato (Solanum lycopersicum L.) yield under greenhouse conditions. Plants 2022, 11, 3214. [Google Scholar] [CrossRef] [PubMed]
- Zuo, Y.; Zhang, J.; Zhao, R.; Dai, H.; Zhang, Z. Application of vermicompost improves strawberry growth and quality through increased photosynthesis rate, free radical scavenging and soil enzymatic activity. Sci. Hortic. 2018, 233, 132–140. [Google Scholar] [CrossRef]
- Arancon, N.; Edwards, C.; Webster, K.; Buckerfield, J. The potential of vermicomposts as plant growth media for greenhouse crop production. Vermiculture Technol. 2010, 103–128. [Google Scholar] [CrossRef]
- Zaller, J.G. Vermicompost as a substitute for peat in potting media: Effects on germination, biomass allocation, yields and fruit quality of three tomato varieties. Sci. Hortic. 2007, 112, 191–199. [Google Scholar] [CrossRef]
- Atiyeh, R.M.; Arancon, N.Q.; Edwards, C.A.; Metzger, J.D. The influence of earthworm-processed pig manure on the growth and productivity of marigolds. Bioresour. Technol. 2002, 81, 103–108. [Google Scholar] [CrossRef] [PubMed]
- Gutiérrez-Miceli, F.A.; Santiago-Borraz, J.; Montes, M.J.A.; Nafate, C.C.; Abud-Archila, M.; Oliva, L.M.A.; Rincón-Rosales, R.; Dendooven, L. Vermicompost as a soil supplement to improve growth, yield and fruit quality of tomato (Lycopersicum esculentum). Bioresour. Technol. 2007, 98, 2781–2786. [Google Scholar] [CrossRef]
- Peyvast, G.; Olfati, J.A.; Madeni, S.; Forghani, A.; Samizadeh, H. Vermicompost as a soil supplement to improve growth and yield of parsley. Int. J. Veg. Sci. 2008, 14, 82–92. [Google Scholar] [CrossRef]
- Scaglia, B.; Nunes, R.R.; Rezende, M.O.O.; Tambone, F.; Adani, F. Investigating organic molecules responsible of auxin-like activity of humic acid fraction extracted from vermicompost. Sci. Total Environ. 2016, 562, 289–295. [Google Scholar] [CrossRef]
- Wang, D.; Shi, Q.; Wang, X.; Wei, M.; Hu, J.; Liu, J.; Yang, F. Influence of cow manure vermicompost on the growth, metabolite contents, and antioxidant activities of Chinese cabbage (Brassica campestris ssp. chinensis). Biol. Fertil. Soils 2010, 46, 689–696. [Google Scholar] [CrossRef]
- Singh, R.P.; Varshney, G. Effects of carbofuran on availability of macronutrients and growth of tomato plants in natural soils and soils amended with inorganic fertilizers and vermicompost. Commun. Soil Sci. Plant Anal. 2013, 44, 2571–2586. [Google Scholar] [CrossRef]
- Márquez-Quiroz, C.; López-Espinosa, S.T.; Sánchez-Chávez, E.; García-Bañuelos, M.L.; De la Cruz-Lázaro, E.; Reyes-Carrillo, J.L. Effect of vermicompost tea on yield and nitrate reductase enzyme activity in saladette tomato. J. Soil Sci. Plant Nutr. 2014, 14, 223–231. [Google Scholar] [CrossRef]
- Doan, T.T.; Henry-des-Tureaux, T.; Rumpel, C.; Janeau, J.L.; Jouquet, P. Impact of compost, vermicompost and biochar on soil fertility, maize yield and soil erosion in Northern Vietnam: A three year mesocosm experiment. Sci. Total Environ. 2015, 514, 147–154. [Google Scholar] [CrossRef] [PubMed]
- Mengistu, T.; Gebrekidan, H.; Kibret, K.; Woldetsadik, K.; Shimelis, B.; Yadav, H. The integrated use of excreta-based vermicompost and inorganic NP fertilizer on tomato (Solanum lycopersicum L.) fruit yield, quality and soil fertility. Int. J. Recycl. Org. Waste Agric. 2017, 6, 63–77. [Google Scholar] [CrossRef]
- Singh, R.; Sharma, R.R.; Kumar, S.; Gupta, R.K.; Patil, R.T. Vermicompost substitution influences growth, physiological disorders, fruit yield and quality of strawberry (Fragaria x ananassa Duch.). Bioresour. Technol. 2008, 99, 8507–8511. [Google Scholar] [CrossRef] [PubMed]
- Kashem, M.A.; Sarker, A.; Hossain, I.; Islam, M.S. Comparison of the effect of vermicompost and inorganic fertilizers on vegetative growth and fruit production of tomato (Solanum lycopersicum L.). Open J. Soil Sci. 2015, 5, 53–58. [Google Scholar] [CrossRef]
- Kalika-Singh, S.; Ansari, A.; Maharaj, G. Vegetable crop cultivation using vermicompost in comparison to chemical fertilizers: A review. Agric. Rev. 2022, 43, 480–484. [Google Scholar] [CrossRef]
- Namazi, E.; Lack, S.; Nejad, E.F. Effect of vermicompost and chemical nitrogen fertilizer application on the various functioning of maize seeds. J. Exp. Biol. Agric. Sci. 2015, 3, 261–268. [Google Scholar] [CrossRef]
- Tomati, U.; Grappelli, A.; Galli, E. The hormone-like effect of earthworm casts on plant growth. Biol. Fertil. Soils 1988, 5, 288–294. [Google Scholar] [CrossRef]
- Maji, D.; Misra, P.; Singh, S.; Kalra, A. Humic acid rich vermicompost promotes plant growth by improving microbial community structure of soil as well as root nodulation and mycorrhizal colonization in the roots of Pisum sativum. Appl. Soil Ecol. 2017, 110, 97–108. [Google Scholar] [CrossRef]
- Zhao, F.; Zhang, Y.; Dijkstra, F.A.; Li, Z.; Zhang, Y.; Zhang, T.; Lu, Y.; Shi, J.; Yang, L. Effects of amendments on phosphorous status in soils with different phosphorous levels. Catena 2019, 172, 97–103. [Google Scholar] [CrossRef]
- Gebisa, B.; Fikadu, T.; Gezu, D.; Jafar, M. Integrated effects of vermicompost and nitrogen on yield and yield components of tomato (Lycopersicum esculentum L.) in lowlands of eastern Harerghe. Plant 2021, 9, 81–87. [Google Scholar] [CrossRef]
Disclaimer/Publisher’s Note: The statements, opinions and data contained in all publications are solely those of the individual author(s) and contributor(s) and not of MDPI and/or the editor(s). MDPI and/or the editor(s) disclaim responsibility for any injury to people or property resulting from any ideas, methods, instructions or products referred to in the content. |
© 2023 by the authors. Licensee MDPI, Basel, Switzerland. This article is an open access article distributed under the terms and conditions of the Creative Commons Attribution (CC BY) license (https://creativecommons.org/licenses/by/4.0/).


