The Chemical Capping Regulation Mechanism of Cotton Main Stem Growth
Abstract
1. Introduction
2. Materials and Methods
2.1. Experimental Site Overview
2.2. Experiment Materials
2.3. Experiment Design and Field Management
2.4. Measurement and Recording of Items
2.4.1. Plant Development
2.4.2. Hormone Concentration in Plant Apex
2.5. Data Analysis
3. Results and Analysis
3.1. Changes of Hormone Concentration in Plant Apex after Chemical Capping Treatment
3.1.1. Changes in IAA Concentration
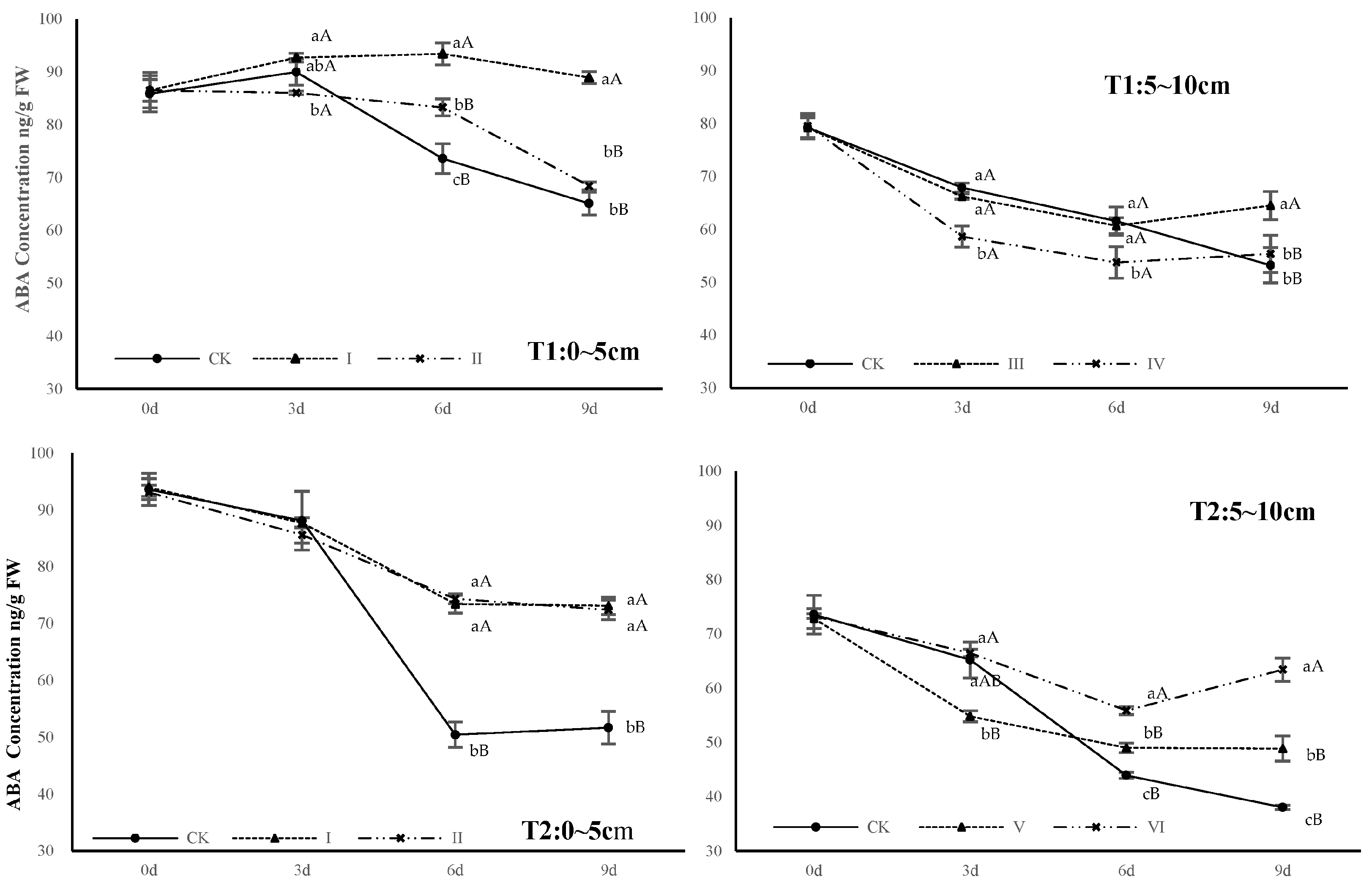
3.1.2. Changes of ABA Concentration
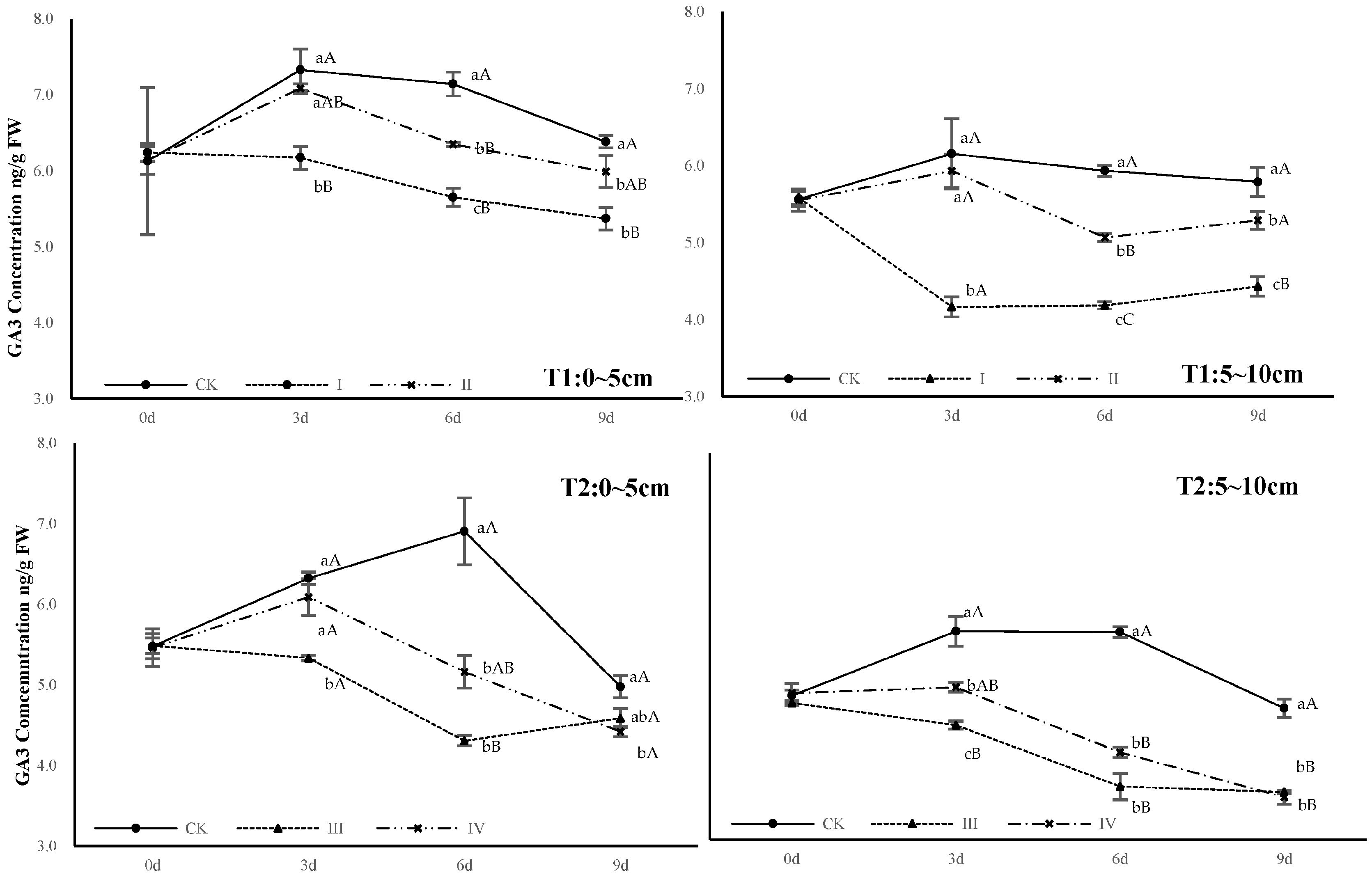
3.1.3. Changes in GA3 Concentration
3.1.4. Changes in ZR and ZR Nucleoside (ZR) Concentration
3.2. Plant Development after Capping Treatment
3.2.1. Changes in Plant Height
3.2.2. Changes of Fruit Branch Number
3.2.3. Change of Average Length of Upper Nodes (Fifth and Above) of the Main Stem
4. Discussion
5. Conclusions
Author Contributions
Funding
Data Availability Statement
Acknowledgments
Conflicts of Interest
References
- Zhao, Q.; Zhou, C.-J.; Zhang, J.-S.; Li, S.-L.; Yun, Y.-L.; Tian, X.-L. Effect of chemical detopping on the canopy and yield of cotton (Gossypium hirsutum) in south Xinjiang. Cotton Sci. 2011, 23, 329–333. [Google Scholar]
- Bourland, F.M.; Oosterhuis, D.M.; Tugwell, N.P. Concept for monitoring the growth and development of cotton plants using mainstem node counts. J. Prod. Agric. 1992, 5, 532–538. [Google Scholar] [CrossRef]
- McConnell, J.S.; Glover, R.E.; Vories, E.D.; Baker, W.H.; Frizzell, B.S.; Bourland, F.M. Nitrogen-fertilization and plant development of cotton as determined by nodes above white flower. J. Plant Nutr. 1995, 18, 1027–1036. [Google Scholar] [CrossRef]
- Wu, G.; Liu, X.-H.; Zhao, Q.; Yi, Z.-B. Investigation and analysis of the cotton topping in chemical technology in Manasi county. Cotton Sci. 2015, 37, 42–45. [Google Scholar]
- Xia, D.-L. Application effect of chemical capping agent flutenamine in cotton fields of Xinjiang Corps. China Cotton 2016, 43, 41–42. [Google Scholar]
- Yang, C.-X.; Zhang, W.-F.; Xu, S.-Z.; Sui, L.-L.; Liang, F.-B.; Dong, H.-Y. Effects of spraying chemical topping agents on canopy structure and canopy photosynthetic production in cotton. Sci. Agric. Sin. 2016, 49, 1672–1684. [Google Scholar]
- Qi, H.-K.; Wang, S.; Xu, D.-Y.; Lu, Z.-Y.; Zhao, W.-C.; Hao, Y.-J.; Zhang, X.; Li, W.; Han, H.-Y.; Wang, J.-T.; et al. Cotton Chemical Topping by Applying DPC in Different Cotton-Growing Regions. Cotton Sci. 2020, 32, 425–437. [Google Scholar]
- Xu, M.; Jin, L.-L.; Li, R.-C.; Sun, L.-Y.; Wang, Z.-S. Study on Cotton Chemical Topping in Liaohe Cotton Area. Crops 2022, 5, 201–207. [Google Scholar]
- Li, X.-X.; Wang, L.-H.; Gao, L.-L.; Zhang, J.-S. Effects of exogenous salicylic acid on hormone contents and growth characteristics of cotton seedlings under salt stress. Agric. Res. Arid. Areas 2017, 35, 216–222. [Google Scholar]
- Zhang, X.; Tian, Q.-F.; Zhao, C.; Ma, Y.-X.; Wei, C.-H.; Chen, Y.; Chen, D.-H. Exogenous hormones affect Bt protein content of two Bt cotton cultivars. Agron. J. 2019, 111, 3076–3083. [Google Scholar]
- Li, T.; Dai, J.-L.; Zhang, Y.-J.; Kong, X.-Q.; Li, C.-D.; Dong, H.-Z. Topical shading substantially inhibits vegetative branching by altering leaf photosynthesis and hormone contents of cotton plants. Field Crops Res. 2019, 238, 18–26. [Google Scholar] [CrossRef]
- Thimann, K.V.; Skoog, F. Studies on the growth hormone of plants. III. The inhibiting action of the growth substance on bud development. Proc. Natl. Acad. Sci. USA 1933, 19, 714–716. [Google Scholar] [CrossRef] [PubMed]
- Ljung, K.; Bhalerao, R.P.; Sandberg, G. Sites and homeostatic control of auxin biosynthesis in Arabidopsis during vegetative growth. Plant J. 2001, 28, 465–474. [Google Scholar] [CrossRef] [PubMed]
- Li, C.-J. Role of Ethylene in Apical Dominance of Pea Plants. Act Phytophysiol. Sinaca 1997, 23, 282–287. [Google Scholar]
- Christine, A.; Beveridge, G.; James, L. Axillary Meristem Development Budding Relationships between Network Controlling Flowering, Branching, and Photoperiod Responsiveness. Plant Physiol. 2003, 131, 927–934. [Google Scholar]
- Shibaoka, H. Plant hormone-induced changes in the orientation of cortical microtubules: Alterations in the cross-linking between microtubules and the plasma membrane. Annu. Rev. Plant Physiol. Plant Mol. Biol. 1994, 45, 527–544. [Google Scholar] [CrossRef]
- Pearce, D.W.; Reid, D.M.; Pharis, R.P. Ethylene-mediated regulation of gibberellin content and growth in Helianthus-Annuus L. Plant Physiol. 1991, 95, 1197–1202. [Google Scholar] [CrossRef]
- Johnston, W.J.; Golob, C.T.; Sitton, J.W.; Schultz, T.R. Effect of temperature and postharvest field burning of Kentucky bluegrass on germination of sclerotia of Claviceps purpurea. Plant Dis. 1996, 80, 766–768. [Google Scholar] [CrossRef]
- Alarcon, M.V.; Lloret-Salamanca, A.; Lloret, P.G.; Iglesias, D.J.; Talon, M.; Salguero, J. Effects of antagonists and inhibitors of ethylene biosynthesis on maize root elongation. Plant Signal. Behav. 2009, 4, 1154–1156. [Google Scholar] [CrossRef]
- Zhang, T.; Zhao, Q.; Nie, Z.-Y. Effects of Chemical Detopping on Endogenous Hormones, Fruit Branch Length and Spatial Distribution of Ringing in Cotton. Acta Agric. Boreali-Sin. 2020, 35, 202–208. [Google Scholar]
- Gao, L.-L.; Li, G.; Kang, Z.-H.; Li, J.-W.; Wang, M.-F.; Ma, Y.-Z.; Zhang, J.-S. Effect of defoliants on antioxidative enzyme activity and endogenous hormone contents of cotton. Chin. J. Pestic. Sci. 2016, 18, 439–446. [Google Scholar]
- Li, D.-X.; Li, C.-D.; Sun, C.-F.; Sun, H.-C.; Liu, L.-T.; Zhang, Y.-J.; Xiao, K. The Effects of Drought on Endogenous Hormone Contents and Balance in Main Stem Leaves of Cotton. Cotton Sci. 2010, 22, 231–235. [Google Scholar]
- Yang, Y.-M.; Xu, C.-N.; Wang, B.-M.; Jia, J.-Z. Effects of plant growth regulators on secondary wall thickening of cotton fibers. Plant Growth Regul. 2001, 35, 233–237. [Google Scholar]
- Zhao, J.; Li, G.; Yi, G.-X.; Wang, B.-M.; Deng, A.-X.; Nan, T.-G.; Zhao, H.-L.; Li, Q.-X. Comparison between conventional indirect competitive enzyme-linked immunosorbent assay (icELISA) and simplified icELISA for small molecules. Anal. Chim. Acta 2006, 571, 79–85. [Google Scholar] [CrossRef] [PubMed]
- Paciorek, T.; Chiapelli, B.J.; Wang, J.-Y.; Paciorek, M.; Yang, H.-P.; Sant, A.; Val, D.L.; Boddu, J.; Liu, K.; Gu, C.-Y.; et al. Targeted suppression of gibberellin biosynthetic genes ZmGA20ox3 and ZmGA20ox5 produces a short stature maize ideotype. Plant Biotechnol. J. 2022, 20, 1140–1153. [Google Scholar] [CrossRef] [PubMed]







| Treatment | No-Capping | T1: 12 July | T2: 18 July | ||
|---|---|---|---|---|---|
| CA | DPC | CA | DPC | ||
| Dosage | - | 1125 mL/hm2 | 120 g/hm2 | 1125 mL/hm2 | 120 g/hm2 |
| No | CK | I | II | III | IV |
Disclaimer/Publisher’s Note: The statements, opinions and data contained in all publications are solely those of the individual author(s) and contributor(s) and not of MDPI and/or the editor(s). MDPI and/or the editor(s) disclaim responsibility for any injury to people or property resulting from any ideas, methods, instructions or products referred to in the content. |
© 2023 by the authors. Licensee MDPI, Basel, Switzerland. This article is an open access article distributed under the terms and conditions of the Creative Commons Attribution (CC BY) license (https://creativecommons.org/licenses/by/4.0/).
Share and Cite
Xu, M.; Jin, L.; Li, J.; Sun, L.; Wang, Z. The Chemical Capping Regulation Mechanism of Cotton Main Stem Growth. Agronomy 2023, 13, 1467. https://doi.org/10.3390/agronomy13061467
Xu M, Jin L, Li J, Sun L, Wang Z. The Chemical Capping Regulation Mechanism of Cotton Main Stem Growth. Agronomy. 2023; 13(6):1467. https://doi.org/10.3390/agronomy13061467
Chicago/Turabian StyleXu, Min, Lulu Jin, Jinglin Li, Liyuan Sun, and Zisheng Wang. 2023. "The Chemical Capping Regulation Mechanism of Cotton Main Stem Growth" Agronomy 13, no. 6: 1467. https://doi.org/10.3390/agronomy13061467
APA StyleXu, M., Jin, L., Li, J., Sun, L., & Wang, Z. (2023). The Chemical Capping Regulation Mechanism of Cotton Main Stem Growth. Agronomy, 13(6), 1467. https://doi.org/10.3390/agronomy13061467
