Effect of Organic and Mineral Soil Additives on Asparagus Growth and Productivity in Replant Soils
Abstract
1. Introduction
2. Materials and Methods
2.1. Site Selection, History, and Soil Properties
2.2. Testing Supplemented Soils from Sites A and B through Pot Trials
2.3. Testing Supplements in Field Trials
2.4. Statistical Analyses
3. Results
3.1. Pot Trials
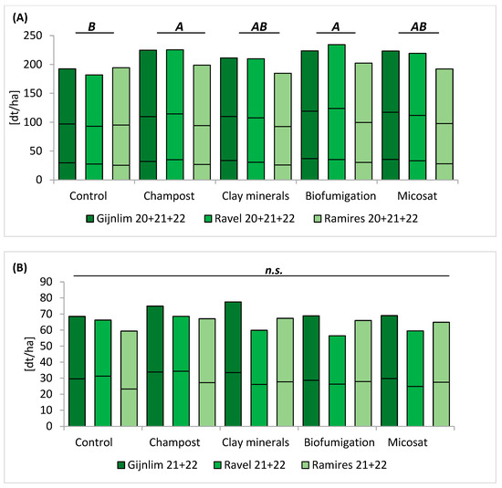
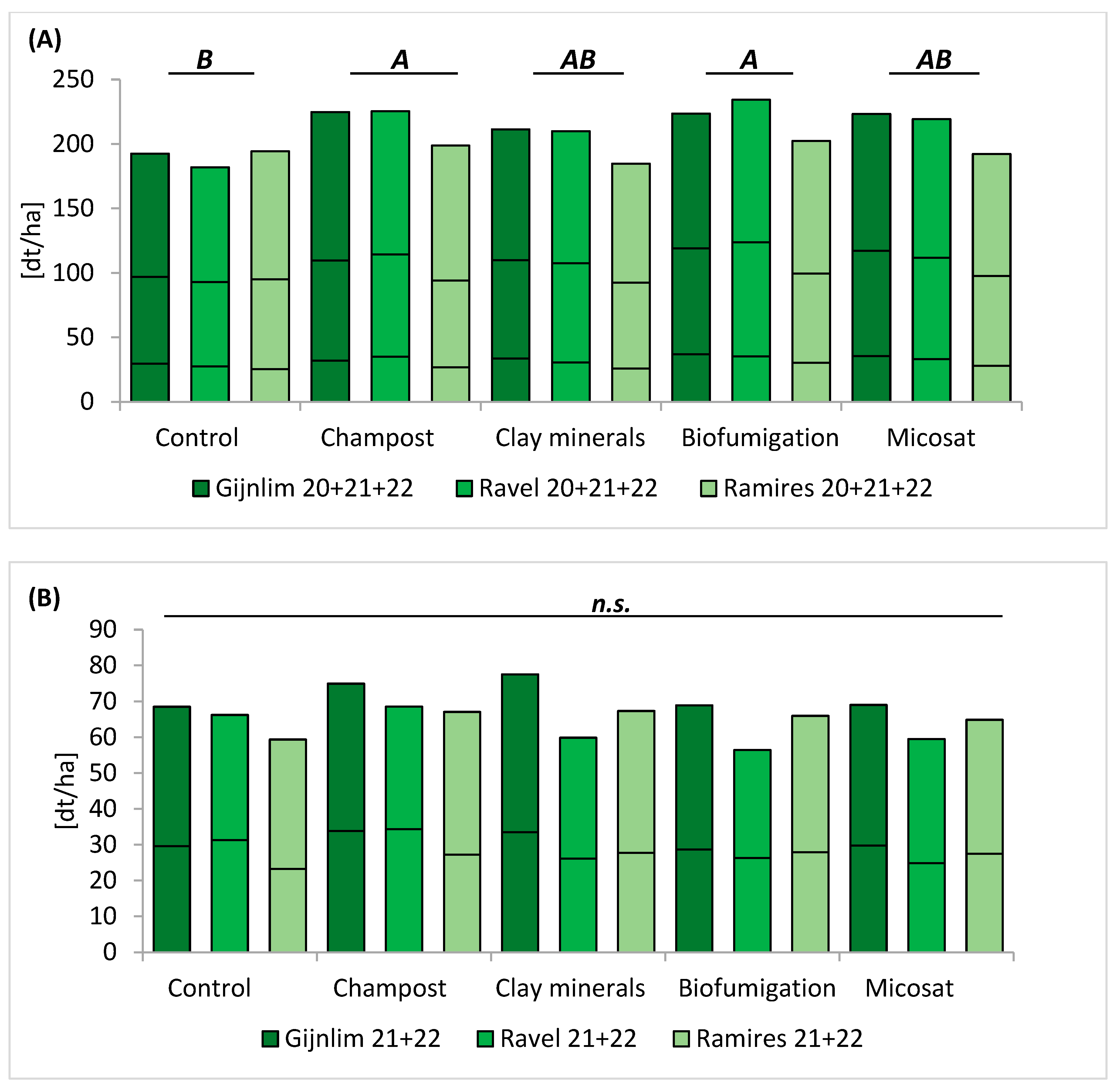
3.2. Field Trials
4. Discussion
5. Conclusions
Supplementary Materials
Author Contributions
Funding
Data Availability Statement
Acknowledgments
Conflicts of Interest
References
- Schofield, P.E. Asparagus decline and replant problem in New Zealand. N. Z. J. Crop Hortic. Sci. 1991, 19, 213–220. [Google Scholar] [CrossRef]
- Elmer, W.H. Asparagus decline and replant problem: A look back and a look forward at strategies for mitigating losses. Acta Hortic. 2018, 1223, 195–204. [Google Scholar] [CrossRef]
- Lake, R.J.; Falloon, P.G.; Cook, D.W.M. Replant problem and chemical components of asparagus roots. N. Z. J. Crop Hortic. Sci. 1993, 21, 53–58. [Google Scholar] [CrossRef]
- Schofield, P.E. The Involvement of Fusarium, Autotoxins and Herbicide Residues in the Asparagus (Asparagus officinalis L.) Replant Problems: A Thesis Presented in Partial Fulfilment of the Requirements for the Degree of Doctor of Philosophy in Plant Science at Massey University. Ph.D. Thesis, Massey University, Palmerston North, New Zealand, 1997. [Google Scholar]
- Paschold, P.J. Nachbau von Spargel. 2009. Available online: http://p14832.typo3server.infouploads/media/Spargel_Nachbau_2009.pdf (accessed on 10 June 2022).
- Aldenhoff, L. Use of additives and asparagus cultivars to reduce problems with replanting. Acta Hortic. 2018, 1223, 213–218. [Google Scholar] [CrossRef]
- Blok, W.J.; Bollen, G.J. The role of autotoxins from root residues of the previous crop in the replant disease of asparagus. Neth. J. Plant Pathol. 1993, 99, 29–40. [Google Scholar] [CrossRef]
- Blok, W.J.; Bollen, G.J. Inoculum sources of Fusarium oxysporum f. sp. asparagi in asparagus production. Ann. Appl. Biol. 1996, 128, 219–231. [Google Scholar] [CrossRef]
- Elmer, W.H. Influence of formononetin and sodium chloride on mycorrhizae and Fusarium crown and root rot of asparagus. Plant Dis. 2002, 86, 1318–1324. [Google Scholar] [CrossRef]
- Elmer, W.H. Effect of biochar amendments on mycorrhizal as-sociations and Fusarium crown and root rot of Asparagus in re-plant soils. Plant Dis. 2011, 95, 960–966. [Google Scholar] [CrossRef]
- Elmer, W.H. Influence of biochar, earthworms and leaf mold mulch on root health, mycorrhizal colonization and yield of asparagus. Plant Dis. 2016, 100, 2507–2512. [Google Scholar] [CrossRef]
- Grogan, R.G.; Kimble, K.A. The association of Fusarium wilt with the asparagus decline and replant problem in California. Phytopathology 1959, 49, 122–125. [Google Scholar]
- Hartung, A.C.; Stephens, C.T. Effects of allelopathic substances produced by asparagus on incidence and severity of asparagus decline due to Fusarium crown rot. J. Chem. Ecol. 1983, 9, 1163–1174. [Google Scholar] [CrossRef] [PubMed]
- Hung, L. The asparagus decline and replant problem in Taiwan. J. Chin. Soc. Hortic. Sci. 1974, 20, 63–70. [Google Scholar]
- Noperi-Mosqueda, L.C.; López-Moreno, F.J.; Navarro-León, E.; Sánchez, E.; Blasco, B.; Moreno, D.A.; Soriano, T.; Ruiz, J.M. Effects of asparagus decline on nutrients and phenolic compounds, spear quality, and allelopathy. Sci. Hortic. 2020, 261, 109029. [Google Scholar] [CrossRef]
- Blok, W.J. Early Decline of Asparagus in The Netherlands: Aetiology, Epidemiology and Management. Ph.D. Thesis, Wageningen Agricultural University, Wageningen, The Netherlands, 1997. [Google Scholar]
- Spath, M.; Insam, H.; Peintner, U.; Kelderer, M.; Kuhnert-Finkernagel, R.; Franke-Whittle, I.H. Linking soil biotic and abiotic factors to apple replant disease: A greenhouse approach. J. Phytopathol. 2015, 163, 287–299. [Google Scholar] [CrossRef]
- Winkelmann, T.; Smalla, K.; Amelung, W.; Baab, G.; Grunewaldt-Stöcker, G.; Kanfra, X.; Meyhöfer, R.; Reim, S.; Schmitz, M.; Vetterlein, D.; et al. Apple replant disease: Causes and mitigation strategies. Curr. Issues Mol. Biol. 2019, 30, 89–106. [Google Scholar] [CrossRef] [PubMed]
- Yim, B.; Smalla, K.; Winkelmann, T. Evaluation of apple replant problems based on different soil disinfection treatments-links to soil microbial community structure? Plant Soil 2013, 366, 617–631. [Google Scholar] [CrossRef]
- Mahnkopp-Dirks, F.; Simon, M.; Lehndorff, E.; Pätzold, S.; Wrede, A.; Winkelmann, T. Induction and diagnosis of apple replant disease (ARD): A matter of heterogeneous soil properties? Sci. Hortic. 2018, 241, 167–177. [Google Scholar] [CrossRef]
- Blok, W.J.; Coenen, T.C.M.; Termorshuizen, A.J.; Lamers, J.G. The potential of biological soil disinfestation to manage Fusarium foot and root rot in Asparagus. Acta Hortic. 2008, 776, 135–144. [Google Scholar] [CrossRef]
- Borrego-Benjumea, A.; Basallote-Ureba, M.J.; Melero-Vara, J.M. Characterization of Fusarium isolates from asparagus fields in southwestern Ontario and influence of soil organic amendments on Fusarium crown and root rot. Phytopathology 2014, 104, 403–415. [Google Scholar] [CrossRef]
- Franke-Whittle, I.H.; Knapp, B.A.; Fuchs, J.; Kaufmann, R.; Insam, H. Application of COMPOCHIP microarray to investigate the bacterial communities of different composts. Microb. Ecol. 2009, 57, 510–521. [Google Scholar] [CrossRef]
- Matsubara, Y.; Okada, T.; Liu, J. Suppression of Fusarium crown rot and increase in several free amino acids in mycorrhizal Asparagus. Am. J. Plant Sci. 2014, 2014, 235–240. [Google Scholar] [CrossRef]
- Hanschen, F.S.; Yim, B.; Winkelmann, T.; Smalla, K.; Schreiner, M. Degradation of Biofumigant Isothiocyanates and Allyl Glucosinolate in Soil and Their Effects on the Microbial Community Composition. PLoS ONE 2015, 10, e0132931. [Google Scholar] [CrossRef]
- López-Moreno, F.J.; Atero-Calvo, S.; Navarro-León, E.; Blasco, B.; Soriano, T.; Ruiz, J.M. Evaluation of Physiological and Quality Parameters of Green Asparagus Spears Subjected to Three Treatments against the Decline Syndrome. Agronomy 2021, 11, 937. [Google Scholar] [CrossRef]
- Mazzola, M.; Zhao, X. Brassica juncea seed meal particle size influences chemistry but not soil biology-based suppression of individual agents inciting apple replant disease. Plant Soil 2010, 337, 313–324. [Google Scholar] [CrossRef]
- Jorzig, C.; Feller, C.; Müller, A.; Witzel, K.; Hanschen, F.; Büttner, C. Effect of Biological Allyl Isothiocyanate on the Growth of Asparagus Seedlings in Replant Soil Infested with Fusarium oxysporum and Rhizoctonia solani. Tagungsband 2019 der ALVA, Wien. 2019. Available online: https://www.alva.at/pdf-files/74_ALVA_Tagung/Tagungsband_2019.pdf (accessed on 20 February 2023).
- de la Lastra, E.; Marín-Guirao, J.I.; López-Moreno, F.; Soriano, T.; de Cara-García, M.; Capote, N. Potential inoculum sources of Fusarium species involved in asparagus decline syndrome and evaluation of soil disinfestation methods by qPCR protocols. Pest Manag. Sci. 2021, 77, 4749–4757. [Google Scholar] [CrossRef]
- de Lamo, F.J.; Takken, F.L.W. Biocontrol by Fusarium oxysporum Using Endophyte-Mediated Resistance. Front. Plant Sci. 2020, 11, 37. [Google Scholar] [CrossRef] [PubMed]
- Bao, J.; Fravel, D.; Lazarovits, G.; Chellemi, D.; van Berkum, P.; O’Neill, N. Biocontrol genotypes of Fusarium oxysporum from tomato fields in Florida. Phytoparasitica 2004, 32, 9–20. [Google Scholar]
- He, C.Y.; Hsiang, T.; Wolyn, D.J. Induction of systemic disease resistance and pathogen defence responses in Asparagus officinalis inoculated with nonpathogenic strains of Fusarium oxysporum. Plant Pathol. 2002, 51, 225–230. [Google Scholar] [CrossRef]
- Elmer, W.H. Combining nonpathogenic strains of Fusarium oxysporum with sodium chloride to suppress Fusarium crown rot of asparagus in replanted fields. Plant Pathol. 2004, 53, 751–758. [Google Scholar] [CrossRef]
- Panth, M.; Hassler, S.C.; Baysal-Gurel, F. Methods for Management of Soilborne Diseases in Crop Production. Agriculture 2020, 10, 16. [Google Scholar] [CrossRef]
- Hanschen, F.S.; Winkelmann, T. Biofumigation for Fighting Replant Disease—A Review. Agronomy 2020, 10, 425. [Google Scholar] [CrossRef]





| Site | Clay (%) | Soil Class | OS (%) | pH | DNA Multiscan Hybridisation Signal | |||||
|---|---|---|---|---|---|---|---|---|---|---|
| Fusarium sp. | F. oxysporum | F. solani | Pythium sp. | P. ultimum | P. irregulare | |||||
| A | 7 | Sand | 1.2 | 6.1 | 6 | 0 | 4 | 4 | 4 | 0 |
| B | 3.8 | Sand | 1.8 | 5.7 | 6 | 4 | 6 | 6 | 6 | 4 |
| 1. Pot Trial | 2. Pot Trial | 3. Pot Trial | |
|---|---|---|---|
| Treatments | untreated soil, sterilised soil, untreated soil + Fimonit® | untreated soil, sterilised soil, untreated soil + Promot, untreated soil + champost, untreated soil + RhizoVital | untreated soil, sterilised soil, untreated soil + champost, untreated soil + biofumigation |
| Cultivar | ‘Gijnlim’, ‘Ravel’, ‘Ramires’ | ‘Gijnlim’ | ‘Gijnlim’ |
| Site | A and B | B | B |
| Replicates | 4 | 5 | 6 |
| Model | three-factorial | one-factorial | one-factorial |
| Weeks | 12 | 12 | 8 |
| Effect | Shoots | Roots | Total Biomass |
|---|---|---|---|
| (g/Plant) | (g/Plant) | (g/Plant) | |
| Treatment | |||
| Untreated soil | 8.3 ± 0.31 a | 19.7 ± 0.77 b | 27.9 ± 0.95 b |
| Untreated soil + clay mineral | 8.5 ± 0.22 a | 19.0 ± 0.75 b | 27.4 ± 0.95 b |
| Steam-sterilised soils | 8.1 ± 0.21 a | 22.6 ± 0.92 a | 30.7 ± 1.02 a |
| HSD (p = 0.05) | 0.73 | 1.94 | 2.01 |
| Source site of soil | |||
| A | 8.9 ± 0.16 a | 23.1 ± 0.58 a | 32.0 ± 0.58 a |
| B | 7.6 ± 0.18 b | 17.9 ± 0.55 b | 25.5 ± 0.59 b |
| HSD (p = 0.05) | 0.49 | 1.31 | 1.36 |
| Site/cultivar | |||
| A/Gijnlim | 8.7 ± 0.21 a | 22.8 ± 0.97 a | 31.5 ± 0.91 a |
| A/Ravel | 9.1 ± 0.35 a | 24.1 ± 1.27 a | 33.2 ± 1.28 a |
| A/Ramires | 9.0 ± 0.29 a | 22.4 ± 0.82 a | 31.3 ± 0.81 a |
| HSD (p = 0.05) | 1.03 | 2.74 | 2.84 |
| B/Gijnlim | 8.0 ± 0.29 a | 20.0 ± 1.01 a | 28.0 ± 1.01 a |
| B/Ravel | 7.5 ± 0.36 a | 18.2 ± 0.73 ab | 25.7 ± 0.81 ab |
| B/Ramires | 7.4 ± 0.29 a | 15.5 ± 0.58 b | 22.9 ± 0.67 b |
| HSD (p = 0.05) | 1.03 | 2.74 | 2.84 |
| Soil B Treatment | Shoots | Roots | Total Biomass |
|---|---|---|---|
| (g/Plant) | (g/Plant) | (g/Plant) | |
| Untreated | 9.1 ± 0.38 a | 18.3 ± 0.57 b | 27.3 ± 0.50 b |
| Untreated + Promot | 9.0 ± 0.51 a | 18.3 ± 1.55 b | 27.2 ± 1.44 b |
| Untreated + Champost | 7.6 ± 0.36 a | 19.3 ± 1.83 ab | 27.0 ± 2.10 b |
| Untreated + RhizoVital | 8.7 ± 0.49 a | 20.5 ± 0.94 ab | 29.2 ± 0.79 ab |
| Steam sterilised | 8.9 ± 0.27 a | 25.2 ± 1.68 a | 34.0 ± 1.74 a |
| HSD (p = 0.05) | 1.75 | 5.95 | 6.13 |
| Soil B Treatment | Shoots | Roots | Total Biomass |
|---|---|---|---|
| (g/Plant) | (g/Plant) | (g/Plant) | |
| Untreated | 2.0 ± 0.09 b | 9.1 ± 0.50 b | 11.0 ± 0.56 b |
| Steam sterilised | 2.0 ± 0.11 b | 10.3 ± 0.33 b | 12.3 ± 0.31 b |
| Untreated + Champost | 2.3 ± 0.09 b | 10.7 ± 0.67 b | 13.0 ± 0.73 b |
| Untreated + Biofumigation | 3.6 ± 0.14 a | 16.0 ± 0.60 a | 19.6 ± 0.66 a |
| HSD (p = 0.05) | 0.44 | 2.15 | 2.34 |
| Site A | Site B | ||||||
|---|---|---|---|---|---|---|---|
| 2020 | 2021 | 2022 | Sum 2020–2022 | 2021 | 2022 | Sum 2021–2022 | |
| Treatment | <0.001 * | 0.007 * | 0.109 | 0.013 * | 0.101 | 0.486 | 0.127 |
| Cultivar | <0.001 * | 0.001 * | 0.388 | 0.008 * | 0.010 * | <0.001 * | <0.001 * |
| Treatment × cultivar | 0.649 | 0.268 | 0.877 | 0.655 | 0.123 | 0.815 | 0.306 |
Disclaimer/Publisher’s Note: The statements, opinions and data contained in all publications are solely those of the individual author(s) and contributor(s) and not of MDPI and/or the editor(s). MDPI and/or the editor(s) disclaim responsibility for any injury to people or property resulting from any ideas, methods, instructions or products referred to in the content. |
© 2023 by the authors. Licensee MDPI, Basel, Switzerland. This article is an open access article distributed under the terms and conditions of the Creative Commons Attribution (CC BY) license (https://creativecommons.org/licenses/by/4.0/).
Share and Cite
Djalali Farahani-Kofoet, R.; Häfner, F.; Feller, C. Effect of Organic and Mineral Soil Additives on Asparagus Growth and Productivity in Replant Soils. Agronomy 2023, 13, 1464. https://doi.org/10.3390/agronomy13061464
Djalali Farahani-Kofoet R, Häfner F, Feller C. Effect of Organic and Mineral Soil Additives on Asparagus Growth and Productivity in Replant Soils. Agronomy. 2023; 13(6):1464. https://doi.org/10.3390/agronomy13061464
Chicago/Turabian StyleDjalali Farahani-Kofoet, Roxana, Franziska Häfner, and Carmen Feller. 2023. "Effect of Organic and Mineral Soil Additives on Asparagus Growth and Productivity in Replant Soils" Agronomy 13, no. 6: 1464. https://doi.org/10.3390/agronomy13061464
APA StyleDjalali Farahani-Kofoet, R., Häfner, F., & Feller, C. (2023). Effect of Organic and Mineral Soil Additives on Asparagus Growth and Productivity in Replant Soils. Agronomy, 13(6), 1464. https://doi.org/10.3390/agronomy13061464

