Combined Application of Biochar and Pruned Tea Plant Litter Benefits Nitrogen Availability for Tea and Alters Microbial Community Structure
Abstract
1. Introduction
2. Materials and Methods
2.1. Preparation of Biochar, Soils and Tea Plant Litter
2.2. Experimental Design and Sampling
2.3. Soil Chemical Analysis
2.4. DNA Extraction and Illumina Sequencing
2.5. Processing of Illumina MiSeq Sequence Data
2.6. Statistical Analyses
3. Results
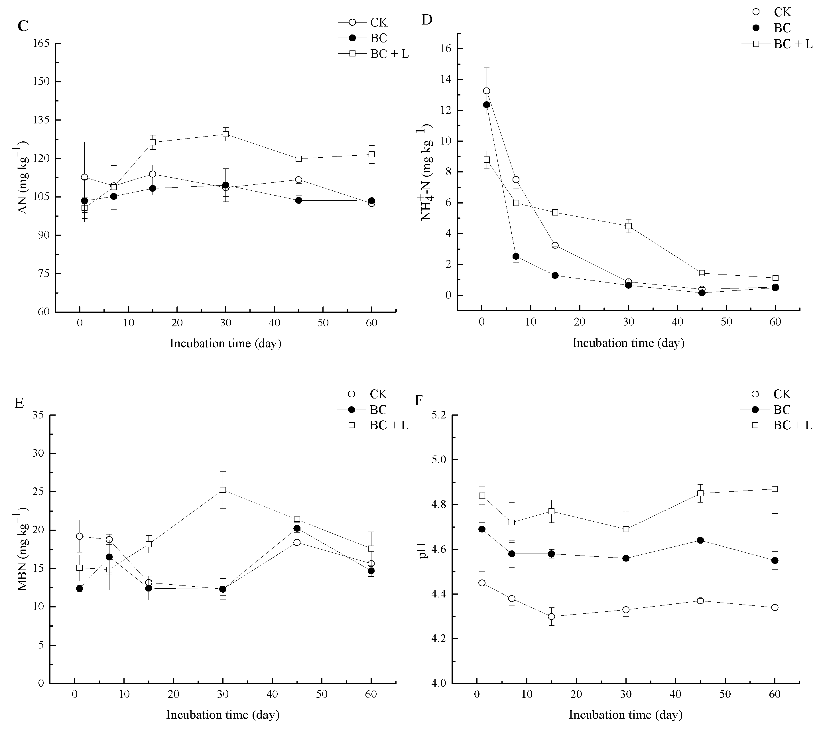
3.1. Changes in Soil Property
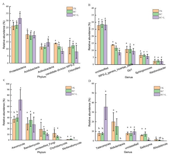
3.2. Microbial Community Characteristics Investigated by Miseq Pyrosequecing
3.3. Relationships between Microbial Community Characteristics and Soil Available N
3.4. Relationships between Soil Environmental Factors and Microbial Groups
4. Discussion
4.1. Response of Soil Property to Biochar and Pruned Tea Plant Litter
4.2. Response of Microbial Community to Biochar and Pruned Tea Litter
4.3. Implications for Management
5. Conclusions
Author Contributions
Funding
Data Availability Statement
Conflicts of Interest
Abbreviations
| AN | available nitrogen |
| ANOVA | analysis of variance |
| AOA | ammonia-oxidizing archaea |
| AOB | ammonia-oxidizing bacteria |
| C/H | the ratio of total carbon to total H |
| C/N | the ratio of total carbon to total nitrogen |
| MBN | microbial biomass nitrogen |
| N | nitrogen |
| –N | ammonium nitrogen |
| NO3−–N | nitrate nitrogen |
| OTU | operational taxonomic unit |
| RDA | redundancy analysis |
| SOC | soil organic carbon |
| TC | total carbon |
| TN | total nitrogen |
References
- Crops and Livestock Products. Available online: https://www.fao.org/faostat/en/#data/QCL (accessed on 10 April 2023).
- Wang, H.; Xu, R.K.; Wang, N.; Li, X.H. Soil acidification of alfisols as influenced by tea cultivation in eastern China. Pedosphere 2010, 20, 799–806. [Google Scholar] [CrossRef]
- Su, Y.J.; Liao, W.Y.; Wang, Y.J.; Zhang, Y.L.; Wu, X.R.; Hu, S.G.; Sun, L. Influences of soil pH and cultivation years on active aluminum species distribution from tea soils in southern Anhui, China. J. Agro-Environ. Sci. 2013, 32, 721–728. [Google Scholar] [CrossRef]
- Huang, Y.; Kang, R.; Mulder, J.; Zhang, T.; Duan, L. Nitrogen saturation, soil acidification, and ecological effects in a subtropical pine forest on acid soil in southwest China. J. Geophys. Res. Biogeosci. 2015, 120, 2457–2472. [Google Scholar] [CrossRef]
- Raut, N.; Dörsch, P.; Sitaula, B.K.; Bakken, L.R. Soil acidification by intensified crop production in south Asia results in higher N2O/(N2 + N2O) product ratios of denitrification. Soil Biol. Biochem. 2012, 55, 104–112. [Google Scholar] [CrossRef]
- Börjesson, G.; Menichetti, L.; Kirchmann, H.; Kätterer, T. Soil microbial community structure affected by 53 years of nitrogen fertilisation and different organic amendments. Biol. Fertil. Soils 2012, 48, 245–257. [Google Scholar] [CrossRef]
- Ni, K.; Liao, W.Y.; Yi, X.Y.; Niu, S.Y.; Ma, L.F.; Shi, Y.Z.; Zhang, Q.F.; Liu, M.Y.; Ruan, J.Y. Fertilization status and reduction potential in tea gardens of China. J. Plant Nutr. Fert 2019, 25, 421–432. [Google Scholar]
- Dai, Z.; Zhang, X.; Tang, C.; Muhammad, N.; Wu, J.; Brookes, P.C.; Xu, J. Potential role of biochars in decreasing soil acidification—A critical review. Sci. Total Environ. 2017, 581–582, 601–611. [Google Scholar] [CrossRef]
- Case, S.D.C.; McNamara, N.P.; Reay, D.S.; Stott, A.W.; Grant, H.K.; Whitaker, J. Biochar suppresses N2O emissions while maintaining N availability in a sandy loam soil. Soil Biol. Biochem. 2015, 81, 178–185. [Google Scholar] [CrossRef]
- Yuan, J.H.; Xu, R.K. Effects of biochars generated from crop residues on chemical properties of acid soils from tropical and subtropical China. Soil Res. 2012, 50, 570–578. [Google Scholar] [CrossRef]
- Kulczycki, G.; Magnucka, E.G.; Oksińska, M.P.; Kucińska, J.; Kobyłecki, R.; Pawęska, K.; Zarzycki, R.; Kacprzak, A.; Pietr, S.J. The effect of various types of biochar mixed with mineral fertilization on the development and ionome of winter wheat (Triticum aestivum L.) seedlings and soil properties in a pot experiment. Agronomy 2020, 10, 1903. [Google Scholar] [CrossRef]
- Yuan, J.H.; Xu, R.K. The amelioration effects of low temperature biochar generated from nine crop residues on an acidic ultisol. Soil Use Manag. 2011, 27, 110–115. [Google Scholar] [CrossRef]
- Soinne, H.; Hovi, J.; Tammeorg, P.; Turtola, E. Effect of biochar on phosphorus sorption and clay soil aggregate stability. Geoderma 2014, 219–220, 162–167. [Google Scholar] [CrossRef]
- Van Zwieten, L.; Rose, T.; Herridge, D.; Kimber, S.; Rust, J.; Cowie, A.; Morris, S. Enhanced biological N2 fixation and yield of faba bean (Vicia faba L.) in an acid soil following biochar addition: Dissection of causal mechanisms. Plant Soil 2015, 395, 7–20. [Google Scholar] [CrossRef]
- Nguyen, T.T.N.; Xu, C.-Y.; Tahmasbian, I.; Che, R.; Xu, Z.; Zhou, X.; Wallace, H.M.; Bai, S.H. Effects of biochar on soil available inorganic nitrogen: A review and meta-analysis. Geoderma 2017, 288, 79–96. [Google Scholar] [CrossRef]
- Yu, L.; Yu, M.; Lu, X.; Tang, C.; Liu, X.; Brookes, P.C.; Xu, J. Combined application of biochar and nitrogen fertilizer benefits nitrogen retention in the rhizosphere of soybean by increasing microbial biomass but not altering microbial community structure. Sci. Total Environ. 2018, 640–641, 1221–1230. [Google Scholar] [CrossRef]
- Kim, J.; Yoo, G.; Kim, D.; Ding, W.; Kang, H. Combined application of biochar and slow-release fertilizer reduces methane emission but enhances rice yield by different mechanisms. Appl. Soil Ecol. 2017, 117–118, 57–62. [Google Scholar] [CrossRef]
- Dai, Z.; Wang, Y.; Muhammad, N.; Yu, X.; Xiao, K.; Meng, J.; Liu, X.; Xu, J.; Brookes, P.C. The effects and mechanisms of soil acidity changes, following incorporation of biochars in three soils differing in initial pH. Soil Sci. Soc. Am. J. 2014, 78, 1606–1614. [Google Scholar] [CrossRef]
- Ameloot, N.; Sleutel, S.; Das, K.C.; Kanagaratnam, J.; de Neve, S. Biochar amendment to soils with contrasting organic matter level: Effects on N mineralization and biological soil properties. GCB Bioenergy 2015, 7, 135–144. [Google Scholar] [CrossRef]
- Yu, L.; Lu, X.; He, Y.; Brookes, P.C.; Liao, H.; Xu, J. Combined biochar and nitrogen fertilizer reduces soil acidity and promotes nutrient use efficiency by soybean crop. J. Soils Sediments 2017, 17, 599–610. [Google Scholar] [CrossRef]
- Mukherjee, A.; Lal, R. Biochar impacts on soil physical properties and greenhouse gas emissions. Agronomy 2013, 3, 313–339. [Google Scholar] [CrossRef]
- Nelson, N.O.; Agudelo, S.C.; Yuan, W.; Gan, J. Nitrogen and phosphorus availability in biochar-amended soils. Soil Sci. 2011, 176, 218. [Google Scholar] [CrossRef]
- Ding, Y.; Liu, Y.X.; Wu, W.X.; Shi, D.Z.; Yang, M.; Zhong, Z.K. Evaluation of biochar effects on nitrogen retention and leaching in multi-layered soil columns. Water Air Soil Pollut. 2010, 213, 47–55. [Google Scholar] [CrossRef]
- Che, R.; Qin, J.; Tahmasbian, I.; Wang, F.; Zhou, S.; Xu, Z.; Cui, X. Litter amendment rather than phosphorus can dramatically change inorganic nitrogen pools in a degraded grassland soil by affecting nitrogen-cycling microbes. Soil Biol. Biochem. 2018, 120, 145–152. [Google Scholar] [CrossRef]
- Marcos, M.S.; Bertiller, M.B.; Cisneros, H.S.; Olivera, N.L. Nitrification and ammonia-oxidizing bacteria shift in response to soil moisture and plant litter quality in arid soils from the patagonian monte. Pedobiologia 2016, 59, 1–10. [Google Scholar] [CrossRef]
- Bhatnagar, J.M.; Peay, K.G.; Treseder, K.K. Litter chemistry influences decomposition through activity of specific microbial functional guilds. Ecol. Monogr. 2018, 88, 429–444. [Google Scholar] [CrossRef]
- Shan, L.; Song, C.; Zhang, X.; Ren, J. Effects of long-term nitrogen and phosphorus addition on plant defence compounds in a freshwater wetland. Ecol. Indic. 2018, 94, 1–6. [Google Scholar] [CrossRef]
- Yang, X.; Ma, L.; Ji, L.; Shi, Y.; Yi, X.; Yang, Q.; Ni, K.; Ruan, J. Long-term nitrogen fertilization indirectly affects soil fungi community structure by changing soil and pruned litter in a subtropical tea (Camellia sinensis L.) plantation in China. Plant Soil 2019, 444, 409–426. [Google Scholar] [CrossRef]
- Qamar-uz-Zaman; Sarwar, S.; Ahmad, F.; Hamid, F.S. Effect of nitrogenous fertilizer on the growth and yield of tea (Camellia sinensis L.) pruned in curved vs. flat shape. J. Agric. Res. 2011, 49, 477–482. [Google Scholar]
- Vance, E.D.; Brookes, P.C.; Jenkinson, D.S. An extraction method for measuring soil microbial biomass C. Soil Biol. Biochem. 1987, 19, 703–707. [Google Scholar] [CrossRef]
- Roberts, T.L.; Ross, W.J.; Norman, R.J.; Slaton, N.A.; Wilson, C.E., Jr. Predicting nitrogen fertilizer needs for rice in arkansas using alkaline hydrolyzable-nitrogen. Soil Sci. Soc. Am. J. 2011, 75, 1161–1171. [Google Scholar] [CrossRef]
- Thangarajan, R.; Bolan, N.S.; Naidu, R.; Surapaneni, A. Effects of temperature and amendments on nitrogen mineralization in selected australian soils. Environ. Sci. Pollut. Res. 2015, 22, 8843–8854. [Google Scholar] [CrossRef]
- Caporaso, J.G.; Kuczynski, J.; Stombaugh, J.; Bittinger, K.; Bushman, F.D.; Costello, E.K.; Fierer, N.; Peña, A.G.; Goodrich, J.K.; Gordon, J.I.; et al. QIIME allows analysis of high-throughput community sequencing data. Nat. Methods 2010, 7, 335–336. [Google Scholar] [CrossRef]
- Edgar, R.C.; Haas, B.J.; Clemente, J.C.; Quince, C.; Knight, R. UCHIME improves sensitivity and speed of chimera detection. Bioinformatics 2011, 27, 2194–2200. [Google Scholar] [CrossRef]
- Langille, M.G.I.; Zaneveld, J.; Caporaso, J.G.; McDonald, D.; Knights, D.; Reyes, J.A.; Clemente, J.C.; Burkepile, D.E.; Vega Thurber, R.L.; Knight, R.; et al. Predictive functional profiling of microbial communities using 16S rRNA marker gene sequences. Nat. Biotechnol. 2013, 31, 814–821. [Google Scholar] [CrossRef]
- Nguyen, N.H.; Song, Z.; Bates, S.T.; Branco, S.; Tedersoo, L.; Menke, J.; Schilling, J.S.; Kennedy, P.G. FUNGuild: An open annotation tool for parsing fungal community datasets by ecological guild. Fungal Ecol. 2016, 20, 241–248. [Google Scholar] [CrossRef]
- Clarke, K.R.; Warwick, R.M. Change in Marine Communities: An Approach to Statistical Analysis and Interpretation, 2nd ed.; Plymouth Marine Laboratory: Plymouth, UK, 2001. [Google Scholar]
- Gao, S.; DeLuca, T.H. Biochar alters nitrogen and phosphorus dynamics in a western rangeland ecosystem. Soil Biol. Biochem. 2020, 148, 107868. [Google Scholar] [CrossRef]
- Ahmad, M.; Rajapaksha, A.U.; Lim, J.E.; Zhang, M.; Bolan, N.; Mohan, D.; Vithanage, M.; Lee, S.S.; Ok, Y.S. Biochar as a sorbent for contaminant management in soil and water: A review. Chemosphere 2014, 99, 19–33. [Google Scholar] [CrossRef]
- Zavalloni, C.; Alberti, G.; Biasiol, S.; Vedove, G.D.; Fornasier, F.; Liu, J.; Peressotti, A. Microbial mineralization of biochar and wheat straw mixture in soil: A short-term study. Appl. Soil Ecol. 2011, 50, 45–51. [Google Scholar] [CrossRef]
- Kuzyakov, Y. Priming Effects: Interactions between living and dead organic matter. Soil Biol. Biochem. 2010, 42, 1363–1371. [Google Scholar] [CrossRef]
- Wang, H.Y.; Gai, X.P.; Zhai, L.M.; Liu, H.B. Effect of biochar on soil nitrogen cycling: A review. Acta Ecol. Sin. 2016, 36, 5998–6011. [Google Scholar] [CrossRef]
- Yang, X.; Ni, K.; Shi, Y.; Yi, X.; Ji, L.; Ma, L.; Ruan, J. Heavy nitrogen application increases soil nitrification through ammonia-oxidizing bacteria rather than archaea in acidic tea (Camellia sinensis L.) plantation soil. Sci. Total Environ. 2020, 717, 137248. [Google Scholar] [CrossRef] [PubMed]
- Zechmeister-Boltenstern, S.; Keiblinger, K.M.; Mooshammer, M.; Peñuelas, J.; Richter, A.; Sardans, J.; Wanek, W. The application of ecological stoichiometry to plant-microbial-soil organic matter transformations. Ecol. Monogr. 2015, 85, 133–155. [Google Scholar] [CrossRef]
- Diallo, M.D.; Guisse, A.; Sall, S.N.; Dick, R.P.; Assigbetse, K.B.; Dieng, A.L.; Chotte, J. Influence of tropical leaf litter on nitrogen mineralization and community structure of ammonia-oxidizing bacteria. Biotechnol. Agron. Soc. Environ. 2015, 19, 173–183. [Google Scholar]
- Glassman, S.I.; Wang, I.J.; Bruns, T.D. Environmental filtering by pH and soil nutrients drives community assembly in fungi at fine spatial scales. Mol. Ecol. 2017, 26, 6960–6973. [Google Scholar] [CrossRef]
- Zhang, T.; Wang, N.F.; Liu, H.Y.; Zhang, Y.Q.; Yu, L.Y. Soil pH is a key determinant of soil fungal community composition in the Ny-Ålesund region, Svalbard (high arctic). Front. Microbiol. 2016, 7, 227. [Google Scholar] [CrossRef]
- Yang, X.D.; Ni, K.; Shi, Y.Z.; Yi, X.Y.; Zhang, Q.F.; Fang, L.; Ma, L.F.; Ruan, J. Effects of long-term nitrogen application on soil acidification and solution chemistry of a tea plantation in China. Agric. Ecosyst. Environ. 2018, 252, 74–82. [Google Scholar] [CrossRef]
- Liu, W.J.; Jiang, H.; Yu, H.Q. Development of biochar-based functional materials: Toward a sustainable platform carbon material. Chem. Rev. 2015, 115, 12251–12285. [Google Scholar] [CrossRef]
- Li, Y.; Bezemer, T.M.; Yang, J.; Lü, X.; Li, X.; Liang, W.; Han, X.; Li, Q. Changes in litter quality induced by N deposition alter soil microbial communities. Soil Biol. Biochem. 2019, 130, 33–42. [Google Scholar] [CrossRef]
- Soumare, A.; Sall, S.N.; Sanon, A.; Cissoko, M.; Hafidi, M.; Ndoye, I.; Duponnois, R. Changes in soil pH, polyphenol content and microbial community mediated by eucalyptus camaldulensis. Appl. Ecol. Environ. Res. 2016, 14, 1–19. [Google Scholar] [CrossRef]
- Hättenschwiler, S.; Vitousek, P.M. The role of polyphenols in terrestrial ecosystem nutrient cycling. Trends Ecol. Evol. 2000, 15, 238–243. [Google Scholar] [CrossRef]
- Siles, J.A.; Cajthaml, T.; Frouz, J.; Margesin, R. Assessment of soil microbial communities involved in cellulose utilization at two contrasting alpine forest sites. Soil Biol. Biochem. 2019, 129, 13–16. [Google Scholar] [CrossRef]
- Dighton, J. Fungi in Ecosystem Processes, 2nd ed.; CRC Press: Boca Raton, FL, USA, 2018; ISBN 978-1-315-37152-8. [Google Scholar] [CrossRef]
- Hodge, A.; Fitter, A.H. Substantial nitrogen acquisition by arbuscular mycorrhizal fungi from organic material has implications for N cycling. Proc. Natl. Acad. Sci. USA 2010, 107, 13754–13759. [Google Scholar] [CrossRef]
- Tang, S.; Ma, Q.; Marsden, K.A.; Chadwick, D.R.; Luo, Y.; Kuzyakov, Y.; Wu, L.; Jones, D.L. Microbial community succession in soil is mainly driven by carbon and nitrogen contents rather than phosphorus and sulphur contents. Soil Biol. Biochem. 2023, 180, 109019. [Google Scholar] [CrossRef]
- Bamminger, C.; Zaiser, N.; Zinsser, P.; Lamers, M.; Kammann, C.; Marhan, S. Effects of biochar, earthworms, and litter addition on soil microbial activity and abundance in a temperate agricultural soil. Biol. Fertil. Soils 2014, 50, 1189–1200. [Google Scholar] [CrossRef]







| Variables | Source of Variation | Degrees of Freedom | Mean Square | F Ratio | p Value |
|---|---|---|---|---|---|
| SOC | Treatments | 2 | 52.57 | 185.80 | <0.001 |
| Sampling time | 5 | 4.703 | 16.62 | <0.001 | |
| Treatments × Sampling time | 10 | 2.538 | 2.538 | <0.001 | |
| Residual | 36 | 0.283 | |||
| Total | 53 | ||||
| TN | Treatments | 2 | 0.064 | 13.88 | <0.001 |
| Sampling time | 5 | 0.020 | 1.78 | 0.142 | |
| Treatments × Sampling time | 10 | 0.003 | 1.48 | 0.189 | |
| Residual | 36 | 0.002 | |||
| Total | 53 | ||||
| AN | Treatments | 2 | 744.48 | 24.28 | <0.05 |
| Sampling time | 5 | 151.05 | 4.93 | <0.001 | |
| Treatments × Sampling time | 10 | 114.88 | 3.75 | <0.05 | |
| Residual | 36 | 30.67 | |||
| Total | 53 | ||||
| −N | Treatments | 2 | 13.93 | 60.42 | <0.001 |
| Sampling time | 5 | 151.55 | 657.40 | <0.001 | |
| Treatments × Sampling time | 10 | 10.14 | 43.97 | <0.001 | |
| Residual | 36 | 0.231 | |||
| Total | 53 | ||||
| MBN | Treatments | 2 | 72.06 | 29.09 | <0.001 |
| Sampling time | 5 | 30.73 | 12.41 | <0.001 | |
| Treatments × Sampling time | 10 | 36.79 | 14.86 | <0.001 | |
| Residual | 36 | 2.48 | |||
| Total | 53 | ||||
| pH | Treatments | 2 | 0.81 | 433.75 | <0.001 |
| Sampling time | 5 | 0.02 | 11.55 | <0.001 | |
| Treatments × Sampling time | 10 | 0.004 | 2.22 | <0.05 | |
| Residual | 36 | 0.002 | |||
| Total | 53 |
| X Value | Y Value | Regression Equation | Significance | R2 |
|---|---|---|---|---|
| Bacteria | AN | Y1 = 81.54 − 0.32X1 + 0.39X2 + 2.93X3 * − 0.47X4 | 0.04 | 0.55 |
| Fungi | AN | Y1 = 78.19 + 1.03X6 * + 0.44X7 − 0.18X9 | 0.02 | 0.83 |
| Bacteria | −N | Y2 = −42.64 + 0.91X1 * − 0.04X2 + 0.03X3 + 0.7X4 * | 0.03 | 0.58 |
| Fungi | −N | Y2 = 1.71 − 0.33X8 − 0.21X9 − 0.4X10 | 0.59 | 0.55 |
| SOC | TN | AN | pH | SOC/TN | SOC/AN | Ascomy | Basidiomy | Chy | Unclassified | |
|---|---|---|---|---|---|---|---|---|---|---|
| TN | 0.62 * | |||||||||
| AN | −0.42 | 0.31 | ||||||||
| pH | 0.59 * | 0.73 ** | 0.30 | |||||||
| SOC/TN | 0.94 ** | 0.33 | −0.63 * | 0.41 | ||||||
| SOC/AN | 0.92 ** | 0.32 | −0.74 ** | 0.33 | 0.97 ** | |||||
| Ascomy | 0.12 | 0.40 | 0.34 | 0.69 * | −0.02 | −0.02 | ||||
| Basidiomy | 0.03 | 0.10 | 0.02 | −0.29 | −0.02 | −0.03 | −0.80 ** | |||
| Chy | −0.53 | −0.78 ** | −0.31 | −0.68 * | −0.33 | −0.28 | −0.59 * | 0.20 | ||
| unclassified | 0.09 | −0.47 | −0.58 * | −0.50 | 0.32 | 0.32 | −0.38 | −0.15 | 0.17 | |
| Mor | 0.18 | −0.35 | −0.55 | −0.40 | 0.36 | 0.36 | −0.61 * | 0.33 | 0.50 | 0.33 |
Disclaimer/Publisher’s Note: The statements, opinions and data contained in all publications are solely those of the individual author(s) and contributor(s) and not of MDPI and/or the editor(s). MDPI and/or the editor(s) disclaim responsibility for any injury to people or property resulting from any ideas, methods, instructions or products referred to in the content. |
© 2023 by the authors. Licensee MDPI, Basel, Switzerland. This article is an open access article distributed under the terms and conditions of the Creative Commons Attribution (CC BY) license (https://creativecommons.org/licenses/by/4.0/).
Share and Cite
Luo, Y.; Zhang, Y.; Wang, Y.; Sun, Y.; Xia, X.; Su, Y.; Liao, W. Combined Application of Biochar and Pruned Tea Plant Litter Benefits Nitrogen Availability for Tea and Alters Microbial Community Structure. Agronomy 2023, 13, 1465. https://doi.org/10.3390/agronomy13061465
Luo Y, Zhang Y, Wang Y, Sun Y, Xia X, Su Y, Liao W. Combined Application of Biochar and Pruned Tea Plant Litter Benefits Nitrogen Availability for Tea and Alters Microbial Community Structure. Agronomy. 2023; 13(6):1465. https://doi.org/10.3390/agronomy13061465
Chicago/Turabian StyleLuo, Yi, Yongli Zhang, Yejun Wang, Yulong Sun, Xianjiang Xia, Youjian Su, and Wanyou Liao. 2023. "Combined Application of Biochar and Pruned Tea Plant Litter Benefits Nitrogen Availability for Tea and Alters Microbial Community Structure" Agronomy 13, no. 6: 1465. https://doi.org/10.3390/agronomy13061465
APA StyleLuo, Y., Zhang, Y., Wang, Y., Sun, Y., Xia, X., Su, Y., & Liao, W. (2023). Combined Application of Biochar and Pruned Tea Plant Litter Benefits Nitrogen Availability for Tea and Alters Microbial Community Structure. Agronomy, 13(6), 1465. https://doi.org/10.3390/agronomy13061465

