Abstract
The long-term extensive application of chemical fertilizers wreaks havoc on soil bacterial structure and function. To reduce the damage caused by chemical fertilizers, a six-year experiment was performed to study the effects of replacing 0% (CK), 25% (S25), 50% (S50), 75% (S75), and 100% (S100) of 225 kg ha−1 mineral nitrogen fertilizer with an equivalent amount of nitrogen from maize straw on the soil bacterial community structure, diversity, and function. The results showed that Proteobacteria, Acidobacteria, and Gemmatimonadetes were the dominant soil bacterial phyla after the replacement treatments. Replacing mineral nitrogen fertilizer with an equivalent amount of nitrogen from maize straw significantly reduced the number of Photobacterium and bacterial populations involved in genetic information processing in soil, but significantly increased the number of bacterial populations involved in organismal systems, human diseases, and environmental information processing. Compared with other treatments, the relative abundance of TK10 significantly increased by 33.52–76.36% in S25. The number of subgroup 6, Gram-negative, biofilm-forming, potentially pathogenic, and anaerobic bacteria significantly increased, whereas that of Chloroflexi and Blastocatellia subgroup 4 significantly decreased in S50 and S75 compared with CK. The number of TK10 and Blastocatellia subgroup 4 in S50 and S100, respectively, was significantly lower than that in CK. Bacterial species were significantly more present in S25 than in S75. The diversity of bacterial species in S75 was significantly lower than that in CK. S25 and S100 were more favorable to increasing the number of Gram-positive, aerobic, mobile-element containing, and stress-tolerant bacteria. Rhodobacteraceae, Pyrinomonadaceae, Xanthobacteraceae, Nocardioidaceae, and Vulgatibacteraceae with statistical differences in CK, S25, S50, S75, and S100, respectively, could be used as biomarkers. Chloroflexi, Acidobacteria, and Nitrospirae could be used as the main basis for the bacterial classification of soil samples in the equivalent substitution of nitrogen chemical fertilizer with maize straw. S25 is ideal for increasing soil bacterial species richness and abundance.
1. Introduction
Soil microbes significantly influence soil formation and development, material circulation, and fertility evolution and are key players in maintaining soil ecological functions [1]. The structure and changes of soil microbial communities are important early indicators for evaluating soil quality. The long-term application of inorganic fertilizers results in severe soil erosion, thinning of the soil layer, and reduced soil microbial activity [2,3]. However, straw as an organic fertilizer source is widely used in agricultural production [4]. Straw is abundant in organic matter and nutrients, providing suitable carbon and nitrogen sources for the growth and reproduction of soil microorganisms [5,6]. Straw returning is an effective measure to improve soil structure and biological properties [7,8,9]. It is estimated that about 3.4 billion tons of crop straw are produced annually in the world, and more than 60% of straw is discarded or burned, resulting in a huge waste of nutritional resources and serious environmental pollution. The total output of straw has reached 710 million tons in China, which ranks first in the world in straw output, thereby providing a rich source of straw for straw returning [10].
Straw return has selective effects on soil bacterial and fungal communities [11]. Straw return maintains soil bacterial diversity and builds a unique soil fungal community while increasing soil fungal diversity [12]. The numbers of bacterial, fungal, and actinomycete taxa in soil all showed a gradual increase with the amount of straw returned to the field [13]. However, straw returning alone might lead to soil microbes competing with crops for nitrogen [14]. Therefore, the combination of straw and chemical fertilizers is necessary [15].
Compared with the single application of nitrogen fertilizer, straw returning with different proportions of nitrogen fertilizer improved the evenness of soil bacteria but did not significantly affect the bacterial abundance and community composition [16]. Zheng et al. (2022) [17] found that the amount and activity of ammonia-oxidizing bacteria in red soil could be significantly further increased by adding straw with nitrogen-phosphorus-potassium fertilizers or adding pig manure or biological carbon then with no fertilization. Yu et al. (2022) [18] concluded that low-amount straw returning could increase the diversity and abundance of soil bacterial communities in the cultivated layer better than no fertilizer, whereas medium- and high-amount straw returning had the opposite effect. Wang et al. (2021) [19] thought that straw returning with mineral nitrogen fertilizer increased the abundance of soil bacteria in the rice seedling stage compared with mineral nitrogen fertilizer alone but had less effect on its evenness.
However, little is known about the interaction effect of equivalent nitrogen provided by different rates of straw and mineral fertilizer on soil bacterial community structure, diversity, and ecological functions. Thus, a six-year field experiment was performed in which nitrogen provided by mineral fertilizer was replaced with equivalent nitrogen provided by maize straw. We hypothesized that replacing the nitrogen from the mineral fertilizer with an equivalent amount of nitrogen from maize straw would increase the number of stress-tolerant bacteria and bacteria in the soil organic system. The objectives of this study were to explore the differences in soil bacterial community structure, diversity, and function in response to the substitution of chemical fertilizer with maize straw and to provide the bacterial classification basis when classifying soil samples subjected to straw returning.
2. Materials and Methods
2.1. Site Description and Experimental Design
A six-year field experiment with maize was performed in loam (sand 39.8%, silt 31.1%, and clay 29.1%) [20] in 2016–2021 at the Dongyang Research Station of Shanxi Agricultural University, Jinzhong, Shanxi, China (37°56′ N, 112°69′ E; 800 m altitude). The mean annual air temperature was 9.8 °C. The mean minimum air temperature of the coldest month (January) was −6.1 °C and the mean maximum air temperature of the hottest month (July) was 28.1 °C. The experimental site was characterized by low and erratic rainfall with droughts occurring at different stages of maize growth. The long-term mean annual rainfall at the site was 430.2 mm and the mean annual evaporation was 1860.1 mm. The study area is irrigated. The rainfall during the maize growth stage was 319, 362, 277, 210, 349, and 323 mm in each year from 2016 to 2021, respectively. The rainfall was greater during the maize growth stage in 2016 and 2017, which could satisfy maize growth, whereas it was less during the maize growth stage in 2018–2021, which could not satisfy maize growth. Therefore, no irrigation was performed in 2016 and 2017, but irrigation was performed at 146.2, 225.0, 95.63, and 122.95 mm in 2018, 2019, 2020, and 2021, respectively. Soil analyses of samples taken from the same experimental area in April 2016 showed that the top 20 cm of soil had a pH of 8.4, a soil organic matter of 13.0 g kg−1, a total nitrogen of 1.3 g kg−1, a total phosphorus of 0.9 g kg−1, a total potassium of 27.1 g kg−1, an available nitrogen of 51.2 mg kg−1, an available phosphorus of 7.7 mg kg−1, and an available potassium of 176.4 mg kg−1.
The field experiment was performed in a 5 × 6 m plot using a completely randomized block design with five treatments and three replicates. The nitrogen was provided by the maize straw at 0%, 25%, 50%, 75%, and 100% of 225 kg ha−1 nitrogen, replacing the nitrogen provided by the mineral fertilizer in 2016–2021. The five treatments were: (i) the application of 100% of 225 kg ha−1 nitrogen provided by the mineral fertilizer only (CK); (ii) the application of 25% of 225 kg ha−1 (56.25 kg ha−1) nitrogen provided by the maize straw in combination with 75% of 225 kg ha−1 (168.75 kg ha−1) nitrogen provided by the mineral fertilizer (S25); (iii) the application of 50% of 225 kg ha−1 (112.50 kg ha−1) nitrogen provided by the maize straw in combination with 50% of 225 kg ha−1 nitrogen provided by the mineral fertilizer (S50); (iv) the application of 75% of 225 kg ha−1 nitrogen provided by the maize straw in combination with 25% of 225 kg ha−1 nitrogen provided by the mineral fertilizer (S75); and (v) the application of 100% of 225 kg ha−1 nitrogen provided by the maize straw only (S100). Maize straw (C/N ration 65.58, C/P ration 167.43) was harvested, chopped and incorporated into a 0–15 cm soil depth each experimental year in late October. Additionally, 105 kg ha−1 of phosphorus mineral fertilizer was used in CK. Replacement treatments included phosphorus mineral fertilizer at 105 kg ha−1 minus the phosphorus content of the straw incorporation. The mineral nitrogen and phosphorus fertilizers were applied separately as basal fertilizers before sowing the maize. Urea and monoammonium phosphate were also used. Rotary tillage was used before sowing. The maize variety used was Dafeng 30. In each experimental year, seeds were planted at a rate of 49,500 plants ha−1 in late April or early May, and the crop was harvested in late September. Residues were harvested using a maize harvesting machine. Weeds were managed using a herbicide.
2.2. Sampling and Analysis Methods
After the crops were harvested in 2021, soil drills were used to collect the surface soil (0–20 cm) of each treatment plot using the five-spot sampling method. Impurities such as stones and roots in the soil were removed by hand. The soil was sifted using a 2 mm mesh soil sieve, put into an airtight bag, and stored on dry ice. The CTAB method was used for DNA extraction. The small fragment library constructed from the V3 + V4 region of the bacterial 16S rRNA gene was sequenced using the paired-end sequencing method on the Illumina NovaSeq sequencing platform. The raw reads filtering used Trimmomatic v0.33 software, and then the cutadapt 1.9.1 software was used to identify and remove the primer sequences to obtain clean reads. Usearch v10 software was used to perform the fragment assembly of the clean reads of each sample through the overlap and then carry out the length filtering. UCHIME v4.2 software was used to identify and remove chimeric sequences to obtain effective reads. Usearch v10 software was used for reads clustering under the 97.0% similarity level to obtain OTU. The reference database used to assign taxonomic annotations was the Silva database.
2.3. Statistical Analysis
QIIME2 v2020.6 software was used to analyze the relative abundance in individual bacterial species (Analysis of Variance was used, and the Bonferroni method was selected for multiple test correction), the ACE and Shannon indices, as well as for principal component analysis (PCA) and cluster analysis. The randomForest package in R was used for random forest analysis and visualization. Species with significant differences were analyzed by linear discriminant analysis (LDA) effect size (LEfSe), and the LDA value was the default 2.5. BugBase was used for phenotypic prediction. PICRUSt2 v2.3.0 software was used to analyze the differences in the Kyoto Encyclopedia of Genes and Genomes (KEGG) metabolic pathways among the different treatments.
3. Results
3.1. Relative Abundance of Bacteria
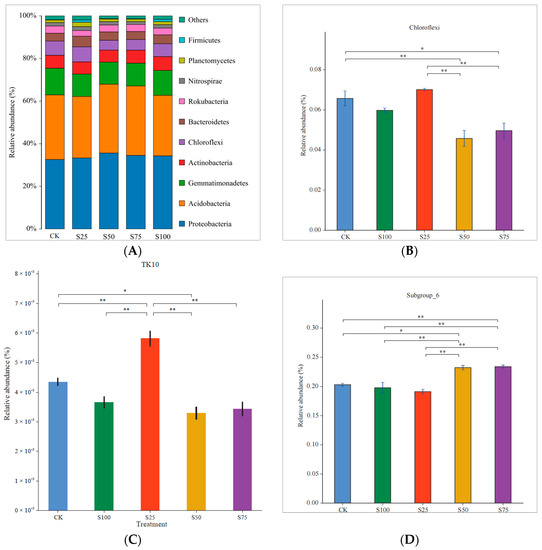
The community composition of soil bacteria among the treatments was similar at the phylum level, which mainly included Proteobacteria, Acidobacteria, Gemmatimonadetes, Actinobacteria, Chloroflexi, Bacteroidetes, Rokubacteria, Nitrospirae, Planctomycetes, and Firmicutes, accounting for 98.12–98.69% phyla (Figure 1A). The relative abundances of Proteobacteria, Acidobacteria, and Gemmatimonadetes were the highest.

Figure 1.
(A): Species distribution of different fertilization treatments at the phylum level; (B–F): Effects of fertilization on the relative abundance of individual bacteria. The relative abundance axis expresses the proportion of the specific individual bacteria among the total number of bacteria OTUs. The three lines from bottom to top are the lower quartile, the mean, and the upper quartile.; (G,H): Effects of fertilization on the ACE index and Shannon index; * indicates a significant difference (p ≤ 0.05); ** indicates a highly significant difference (p ≤ 0.01).
The relative abundance of Chloroflexi in S50 and S75 significantly decreased by 30.44% and 24.50% compared with CK, respectively (Figure 1B). The relative abundance of Chloroflexi in S25 was significantly increased by 52.96% and 40.93% compared with S50 and S75, respectively.
The relative abundance of TK10 in S25 was significantly higher than that in CK by 33.52% (Figure 1C). The relative abundance of TK10 in S50 was significantly lower than that in CK by 24.29%. The relative abundance of TK10 in S25 was significantly increased by 76.36%, 68.92%, and 58.64% compared with S50, S75, and S100.
The relative abundance of subgroup 6 in S50 and S75 significantly increased by 14.43% and 15.25% compared with CK, by 17.47% and 18.31% compared with S100, and by 21.57% and 22.44% compared with S25 (Figure 1D).
The relative abundance of Blastocatellia subgroup 4 in S50, S75, and S100 significantly decreased by 15.38%, 16.67%, and 13.87% compared with CK (Figure 1E). The relative abundance of Blastocatellia subgroup 4 in S25 was significantly increased by 27.93%, 29.90%, and 25.69% compared with S50, S75, and S100.
No Photobacterium was detected in S50 and S100 (Figure 1F). The relative abundance of Photobacterium in S25 was significantly lower than that in CK by 41.79%. The relative abundance of Photobacterium in S75 was significantly lower than that in CK by 98.27% and S25 by 97.03%.
3.2. Ace and Shannon Index
S25 significantly increased the ACE index compared with S75 (Figure 1G). It showed that the abundance of species in the bacterial community of S25 was significantly higher than that of S75.
The Shannon index of S75 was significantly lower than that of CK (Figure 1H). It showed that the diversity of bacterial species in S75 was significantly lower than that in CK.
3.3. Clustered Heat Maps
After S50 and S75 were clustered, they were clustered with CK and S100, and finally they were clustered with S25 (Figure 2A). This showed that S50 and S75 had a similar community composition of soil bacteria with a relative abundance greater than 1%. CK and S100 had relatively similar community compositions of soil bacteria with a relative abundance greater than 1%. However, the community composition of soil bacteria with the relative abundance of S25, greater than 1%, was significantly different from the other treatments.


Figure 2.
(A): Clustered heatmaps of soil bacteria with a relative abundance greater than 1% at the phylum level; the color gradient from blue to red indicates the relative abundance from low to high; (B): PCA of soil bacteria at the phylum level; (C): Histogram of the distribution of LDA scores at the family level of soil bacteria; (D): Random forest of soil bacteria at the phylum level; and (E): BugBase phenotype prediction of soil bacteria under different fertilization treatments.
The relative abundances of Latescibacteria, Firmicutes, Verrucomicrobia, Bacteroidetes, Planctomycetes, Chloroflexi, and Nitrospirae were the highest in S25. The relative abundances of Armatimonadetes, Gemmatimonadetes, and Rokubacteria were the highest in CK. The relative abundance of Actinobacteria was the highest in S100. The relative abundances of Proteobacteria and Acidobacteria were the highest in S50 and S75, respectively. In both S50 and S75, the relative abundance of Proteobacteria, Acidobacteria, and Rokubacteria was higher, whereas the relative abundance of the remaining bacteria with relative abundance greater than 1% was lower.
3.4. PCA
CK and S25 negatively correlated with the first principal component (Figure 2B). S50, S75, and S100 positively correlated with the first principal component. Except for S100, each treatment positively correlated with the second principal component. S50 and S75 were close and located in quadrant I, and their bacterial composition was similar. CK and S25 were close and located in quadrant II, and their bacterial composition was similar. S100 was farther away from the other treatments and was located alone in quadrant IV.
3.5. LEfSe
CK, S25, S50, S75, and S100 had 4, 14, 4, 42, and 1 differential families, respectively (Figure 2C). The differential species of CK were Rhodobacteraceae, Vibrionaceae, uncultured bacterium_p_WS2, and Nitrosococcaceae, among which Rhodobacteraceae had the greatest impact. The differential species of S25 included Pyrinomonadaceae, Nitrospiraceae, uncultured bacterium_c_KD4_96, uncultured bacterium_c_Anaerolineae, uncultured bacterium_o_S085, uncultured bacterium_c_Gitt GS 136, uncultured bacterium_c_TK10, AKYG1722, Ardenticatenaceae, Roseiflexaceae, bacterium YC LK LKJ27, Chthoniobacteraceae, cvE6, and uncultured bacterium_o_Chthonomonadales, of which Pyrinomonadaceae had the greatest impact. The differential species of S50 were Xanthobacteraceae, Solibacteraceae subgroup 3, TRA3 20, and uncultured bacterium_c_subgroup 5, among which Xanthobacteraceae had the greatest impact. The differential species of S75 were uncultured bacterium_c_subgroup 6 and Nocardioidaceae, among which uncultured bacterium_c_subgroup 6 had the greatest impact. The only differential species in S100 was Vulgatibacteraceae.
3.6. Random Forests
Chloroflexi had the highest mean decrease Gini value, followed by Acidobacteria and Nitrospirae (Figure 2D). Moreover, the mean decrease Gini values of these three bacteria were all higher than 0.77, whereas the mean decrease Gini values of the other bacteria were all lower than 0.59. This indicated that the three bacterial phyla Chloroflexi, Acidobacteria, and Nitrospirae were essential for sample classification and could be used as the main basis for the bacterial classification of soil samples.
3.7. Bacterial Phenotypes
S25 and S100 had similar bacterial phenotypes, showing that the relative abundance of Gram-negative, biofilm-forming, potentially pathogenic, and anaerobic phenotype communities was low (Figure 2E). The relative abundance of facultatively anaerobic, Gram-positive, aerobic, mobile-element containing, and stress-tolerant phenotype communities was high. The changes in the relative abundance of the bacterial phenotype communities of CK were slightly similar to those of S25 and S100. Except for facultatively anaerobic, the changes in the relative abundance of the other bacterial phenotype communities of CK were consistent with those of S25 and S100. The changes in the relative abundance of the bacterial phenotype communities of S50 and S75 were similar. Except for facultatively anaerobic, the changes in the relative abundance of the other bacterial phenotype communities of S50 and S75 were opposite to those of S25 and S100. The relative abundance of the facultatively anaerobic community of CK was significantly lower than that of the other treatments. Except for facultatively anaerobic and biofilm-forming, the relative abundance of the other bacterial phenotype communities in CK were in the middle of the other treatments.
3.8. Functions Prediction
Compared with CK, the straw-returning treatments could significantly increase the relative abundance of the organismal systems, human diseases, and environmental information processing populations, among which the relative abundance of the environmental information processing population was the largest (except S50) and that of the genetic information processing population was significantly reduced (Figure 3). The relative abundance of the cellular process’s population of S25, S50, and S100 was significantly higher than that of CK, whereas the relative abundance of the cellular process’s population of S75 was significantly lower than that of CK. The relative abundance of the metabolism population of S25 and S100 was significantly lower than that of CK, whereas the relative abundance of the metabolism population of S75 was significantly higher than that of CK. The relative abundance of the metabolism population of S25 was significantly lower than that of S50 and S75 but significantly higher than that of S100. Contrary to the changing trend of the relative abundance of the metabolism population, the relative abundance of the environmental information processing, cellular processes, and human diseases populations of S25 was significantly higher than that of S50 and S75 and significantly lower than that of S100. The relative abundance of the genetic information processing population of S25 was significantly higher than that of S50, S75, and S100. The relative abundance of the organismal system’s population of S25 was significantly higher than that of S75 but significantly lower than that of S100.

Figure 3.
Analysis chart of differences in the KEGG metabolic pathways of soil bacteria under different fertilization treatments.
The relative abundance of the metabolism and genetic information processing populations of S50 was significantly lower than that of S75, whereas the relative abundance of the environmental information processing, cellular processes, human diseases, and organismal systems populations of S50 was significantly higher than that of S75, of which the relative abundance of the human diseases’ population had the largest increase.
The relative abundance of the metabolism population of S50 and S75 was significantly higher than that of S100. The relative abundance of the genetic information processing, environmental information processing, cellular processes, human diseases, and organismal systems populations was significantly lower in S50 and S75 than in S100, among which the relative abundance of the organismal system’s population had the smallest decrease.
4. Discussion
Soil microorganisms are key indicators for the evaluation of a soil’s biological characteristics [21,22]. In this study, Proteobacteria, Acidobacteria, and Gemmatimonadetes were the dominant soil bacterial phyla, conforming to the results of Xu et al. (2022) [23], who said that Proteobacteria, Acidobacteria, Actinobacteria, Bacteroidetes, Gemmatimonadetes, and Chloroflexi were the dominant soil bacterial phyla of returning straw, accounting for more than 90% of the total bacteria.
Wang et al. (2022) [16] showed that the relative abundance of Chloroflexi decreased after the straw return combined with the application of nitrogen fertilizer, which was consistent with our results.
TK10 can be used in wine-making to improve its antioxidant activity. In this study, the relative abundance of TK10 was significantly increased in S25, whereas it decreased in S50. This might be due to the low amount of available nitrogen that was added to the soil when 50% of the chemical fertilizer was substituted with maize straw, which could not meet the available nitrogen demand for TK10 growth.
Both subgroup 6 and Blastocatellia subgroup 4 belong to Acidobacteria [24]. In this study, S50 and S75 had a significantly increased subgroup 6 but a significantly decreased Blastocatellia subgroup 4, which might be related to the characteristics of the two bacteria and their roles in soil.
Wang et al. (2021) [19] found that the application of straw returning and nitrogen fertilizer had little effect on soil bacterial diversity at the tillering and maturity stages of rice. Yu et al. (2022) [18] showed that a 5 kg m−2 of maize straw return improved the diversity and abundance of the soil bacterial community in the plow layer compared to no return, whereas maize straw return amounts of 1.0 kg m−2 and 1.5 kg m−2 had the opposite effect. In this study, the substitution of 25% of the chemical fertilizer with maize straw significantly increased species abundance compared to 75%, whereas the substitution of 75% of the chemical fertilizer with maize straw significantly reduced species diversity compared to only applying chemical fertilizer. This was probably because chemical nitrogen fertilizers are fast-acting and can be directly used by bacteria and crops [25], whereas the substitution of 75% of the chemical fertilizer with maize straw contained less chemical nitrogen fertilizer. Thus, bacteria and crops competed severely for nitrogen, resulting in lower species abundance and species diversity.
In this study, the LEfSe analysis showed that different treatments had different species. Rhodobacteraceae, Pyrinomonadaceae, Xanthobacteraceae, Nocardioidaceae, and Vulgatibacteraceae were considered to have the greatest impact on each treatment and were thus selected as biomarkers.
Zhang (2020) [26] suggested that long-term warming and crop straw returning in the last season can make soil bacteria change their function from environmental information processing to metabolism. In this study, the equivalent substitution of nitrogen chemical fertilizer with maize straw could significantly increase the number of bacterial populations involved in organismal systems, human diseases, and environmental information processing, which might be caused by a high carbon-to-nitrogen ratio of the straw itself (Wang et al., 2013) [27] and the bacteria carried by straw incorporation.
Poisonous substances had the function of inhibiting the luminescence of Photobacterium (Jennings et al., 2001) [28]. In this study, replacing mineral nitrogen fertilizer with an equivalent amount of nitrogen from maize straw significantly reduced the number of Photobacterium and bacterial populations involved in genetic information processing in soil, which might be due to the insect eggs carried by straw incorporation.
5. Conclusions
Proteobacteria, Acidobacteria, and Gemmatimonadetes were the main soil bacterial phyla after the replacement treatments, with Proteobacteria as the main bacterial phylum. The equivalent substitution of nitrogen chemical fertilizer with maize straw was more beneficial to the establishment of the bacterial community structure of the soil organic system rather than applying chemical fertilizers alone. The substitution of 75% of the equivalent nitrogen chemical fertilizer with maize straw significantly reduced soil bacterial species diversity compared with applying chemical fertilizers only. Chloroflexi, Acidobacteria, and Nitrospirae were the dominant bacterial phyla responsible for differences in the soil bacterial community structure of the equivalent nitrogen substitution of chemical fertilizer with maize straw. The phenotypic changes of soil bacteria with medium and high equivalent nitrogen substitution of chemical fertilizer with maize straw were opposite to those of low and total nitrogen chemical fertilizer substitution.
Author Contributions
X.W.: Formal analysis, Writing—Original draft, Funding acquisition; L.X. (Ling Xie): Formal analysis; L.X. (Lulu Xu): Collected the soil sample in 2021. All authors have read and agreed to the published version of the manuscript.
Funding
This work was supported by the youth top-notch talent support program of Shanxi province (grant number HNZXBJ001); State Key Laboratory of Integrative Dryland Agriculture, Shanxi Agricultural University (Grant number 202105D121008-1-7); and the Special Fund for Agro-scientific Research in the Public Interest (grant number 201503124).
Institutional Review Board Statement
Not applicable.
Informed Consent Statement
Not applicable.
Data Availability Statement
Not applicable.
Conflicts of Interest
The authors declare no conflict of interest.
References
- Mapelli, F.; Marasco, R.; Rizzi, A.; Baldi, F.; Ventura, S.; Borin, D.S. Bacterial Communities Involved in Soil Formation and Plant Establishment Triggered by Pyrite Bioweathering on Arctic Moraines. Microb. Ecol. 2011, 61, 438–447. [Google Scholar] [CrossRef] [PubMed]
- Sabir, M.S.; Shahzadi, F.; Ali, F.; Shakeela, Q.; Niaz, Z.; Ahmed, S. Comparative Effect of Fertilization Practices on Soil Microbial Diversity and Activity: An Overview. Curr. Microbiol. 2021, 78, 3644–3655. [Google Scholar] [CrossRef] [PubMed]
- Yang, L.; Zhang, Y.; Huang, X.; Zhang, Y.; Zhao, Y.; Shi, X. Effects of long-term application of chloride containing fertilizers on the biological fertility of purple soil under a rice-wheat rotation system. Sci. Agric. Sin. 2016, 49, 686–694. [Google Scholar]
- Dhaliwal, S.S.; Naresh, R.K.; Gupta, R.K.; Panwar, A.S.; Mahajan, N.C.; Singh, R.; Mandal, A. Effect of tillage and straw return on carbon footprints, soil organic carbon fractions and soil microbial community in different textured soils under rice–wheat rotation: A review. Rev. Environ. Sci. Biotechnol. 2020, 19, 103–115. [Google Scholar] [CrossRef]
- Hao, M.; Hu, H.; Liu, Z.; Dong, Q.; Sun, K.; Feng, Y.; Li, G.; Ning, T. Shifts in microbial community and carbon sequestration in farmland soil under long-term conservation tillage and straw returning. Appl. Soil Ecol. 2019, 136, 43–54. [Google Scholar] [CrossRef]
- Su, Y.; Lv, J.L.; Yu, M.; Ma, Z.H.; Xi, H.; Kou, C.L.; He, Z.C.; Shen, A.L. Long-term decomposed straw return positively affects the soil microbial community. J. Appl. Microbiol. 2020, 128, 138–150. [Google Scholar] [CrossRef] [PubMed]
- Fan, W.; Wu, J.; Ahmed, S.; Hu, U.; Chen, X.; Li, X. Short-term effects of different straw returning methods on the soil physicochemical properties and quality index in dryland farming in NE China. Sustainability 2020, 12, 2631. [Google Scholar] [CrossRef]
- Tian, P.; Lian, H.; Wang, Z.; Jiang, Y.; Li, C.; Sui, P.; Qi, H. Effects of deep and shallow tillage with straw incorporation on soil organic carbon, total nitrogen and enzyme activities in Northeast China. Sustainability 2020, 12, 8679. [Google Scholar] [CrossRef]
- Zhao, S.; Li, K.; Zhou, W.; Qiu, S.; Huang, S.; He, P. Changes in soil microbial community, enzyme activities and organic matter fractions under long-term straw return in north-central China. Agric. Ecosyst. Environ. 2016, 216, 82–88. [Google Scholar] [CrossRef]
- Yuan, H. Development of Ignition-Assisting Agents for Densified Corn Stover Briquetting Fuel and Experimental Study and Simulation of Combustion Characteristics. Ph.D. Thesis, Beijing University of Chemical Technology, Beijing, China, 2010. [Google Scholar]
- Yang, H.; Ma, J.; Rong, Z.; Zeng, D.; Wang, Y.; Hu, S.; Ye, W.; Zheng, X. Wheat Straw Return Influences Nitrogen-Cycling and Pathogen Associated Soil Microbiota in a Wheat–Soybean Rotation System. Front. Microbiol. 2019, 10, 1811. [Google Scholar] [CrossRef]
- Yang, H.; Meng, Y.; Feng, J.; Li, Y.; Zhai, S.; Liu, J. Direct and indirect effects of long-term ditch-buried straw return on soil bacterial community in a rice–wheat rotation system. Land Degrad. Dev. 2020, 31, 851–867. [Google Scholar] [CrossRef]
- Qiang, X.; Yuan, H.; Gao, W. The influence of straw returning volume on soil CO2 release and soil microbial content. J. Appl. Ecol. 2004, 15, 469–472. [Google Scholar]
- Samoura, M. Integrative Effects of Tillage and Straw Incorporation on Crop Yield and Greenhouse Gas Emission in a Double Rice Cropping System. Ph.D. Thesis, Chinese Academy of Agricultural Sciences, Beijing, China, 2019. [Google Scholar]
- Gosal, S.K.; Gill, G.K.; Sharma, S.; Walia, S.S. Soil nutrient status and yield of rice as affected by long-term integrated use of organic and inorganic fertilizers. J. Plant. Nutr. 2018, 41, 539–544. [Google Scholar] [CrossRef]
- Wang, J.; Ma, Y.; Di, L.; Yang, Y.; Xu, F.; Qian, X. Microbial community structure and abundance of iron oxidizing bacteria as a result of straw retuning in paddy soil. J. Yangzhou Univ. (Agric. Life Sci. Ed.) 2022, 43, 97–104. [Google Scholar]
- Zheng, J.; Cheng, M.; Luan, L.; Kong, P.; Sun, B.; Jiang, Y. Effects of straw returning on the ammonia-oxidizers and nitrification in the rhizosphere of maize in a red soil. Acta Ecol. Sin. 2022, 42, 1–12. [Google Scholar]
- Yu, M.; Gao, X.; Liu, X.; Wang, Z. Effects of different straw returning amount on soil nutrients and bacterial community structure in dryland. J. Arid. Land. Resour. Environ. 2022, 36, 171–177. [Google Scholar]
- Wang, J.; Hu, J.; Di, L.; Liu, L.; Wang, G.; Qian, X.; Zhang, Z. Effects of straw returning and nitrogen management on soil microbial community structure at different rice growth stages. Jiangsu J. Agric. Sci. 2021, 37, 1460–1470. [Google Scholar]
- Liu, S.; Zheng, X.; Chen, J.; Wu, B. Effect of irrigation and nitrogen treatments on nitrogen migration and accumulation in soil phase transition during freezing-thawing period. Agric. Res. Arid. Areas 2017, 035, 166–172. [Google Scholar]
- Molina-Montenegro, M.A.; Oses, R.; Atala, C.; Torres-Díaz, C.; Bolados, G.; León-Lobos, P. Nurse effect and soil microorganisms are key to improve the establishment of native plants in a semiarid community. J. Arid. Environ. 2016, 126, 54–61. [Google Scholar] [CrossRef]
- Fierer, N.; Wood, S.A.; Bueno de Mesquita, C.P. How microbes can, and cannot, be used to assess soil health. Soil Biol. Biochem. 2021, 153, 108111. [Google Scholar] [CrossRef]
- Xu, J.; Wang, S.; Mu, X.; Zhao, X.; Tang, B.; Xia, L.; Zhao, Y.; Liu, T. Effects of Straw Microorganisms Returning on Soil Nutrients, Rhizosphere Soil Bacterial Community Diversity and Yield of Winter Wheat. J. Henan Agric. Sci. 2022, 50, 201–206. [Google Scholar]
- Dedysh, S.N.; Yilmaz, P. Refining the taxonomic structure of the phylum Acidobacteria. Int. J. Syst. Evol. Microbiol. 2018, 68, 3796–3806. [Google Scholar] [CrossRef]
- Fu, X.; Zheng, S.; Lv, X.; Fu, L.; Liu, Z.; Quan, G.; Ji, W.; Liu, L.; Zhang, J. Effects of combination of organic compound biological fertilizer and readily available fertilizer on rice yield and soil fertility. North Rice 2021, 51, 14–18. [Google Scholar]
- Zhang, T. Effects of Warming and StrawApplication on Soil Microbial Community in a Soybean—Winter Wheat Rotation Cropland. Master’s Thesis, Nanjing University of Information Science & Technology, Nanjing, China, 2020; pp. 32–37. [Google Scholar]
- Wang, Z.; Gao, M.; Wang, Z.; She, Z.; Hu, B.; Wang, Y.; Zhao, C. Comparison of physicochemical parameters during the forced-aeration composting of sewage sludge and maize straw at different initial C/N ratios. J. Air Waste Manag. Assoc. 2013, 63, 1130–1136. [Google Scholar] [CrossRef] [PubMed]
- Jennings, V.L.K.; Rayner-Brandes, M.H.; Bird, D.J. Assessing chemical toxicity with the bioluminescent photobacterium (vibrio fischeri): A comparison of three commercial systems. Water Res. 2001, 35, 3448–3456. [Google Scholar] [CrossRef]
Disclaimer/Publisher’s Note: The statements, opinions and data contained in all publications are solely those of the individual author(s) and contributor(s) and not of MDPI and/or the editor(s). MDPI and/or the editor(s) disclaim responsibility for any injury to people or property resulting from any ideas, methods, instructions or products referred to in the content. |
© 2023 by the authors. Licensee MDPI, Basel, Switzerland. This article is an open access article distributed under the terms and conditions of the Creative Commons Attribution (CC BY) license (https://creativecommons.org/licenses/by/4.0/).