Nutrient Potential Leachability in a Sandy Soil Amended with Manure-Based Fertilisers
Abstract
1. Introduction
2. Materials and Methods
2.1. Manure Sampling and Characterisation
2.2. Preparation of Manure-Based Fertiliser Blends
2.3. Leaching Experiment
2.4. Statistical Treatment of Data
3. Results and Discussion
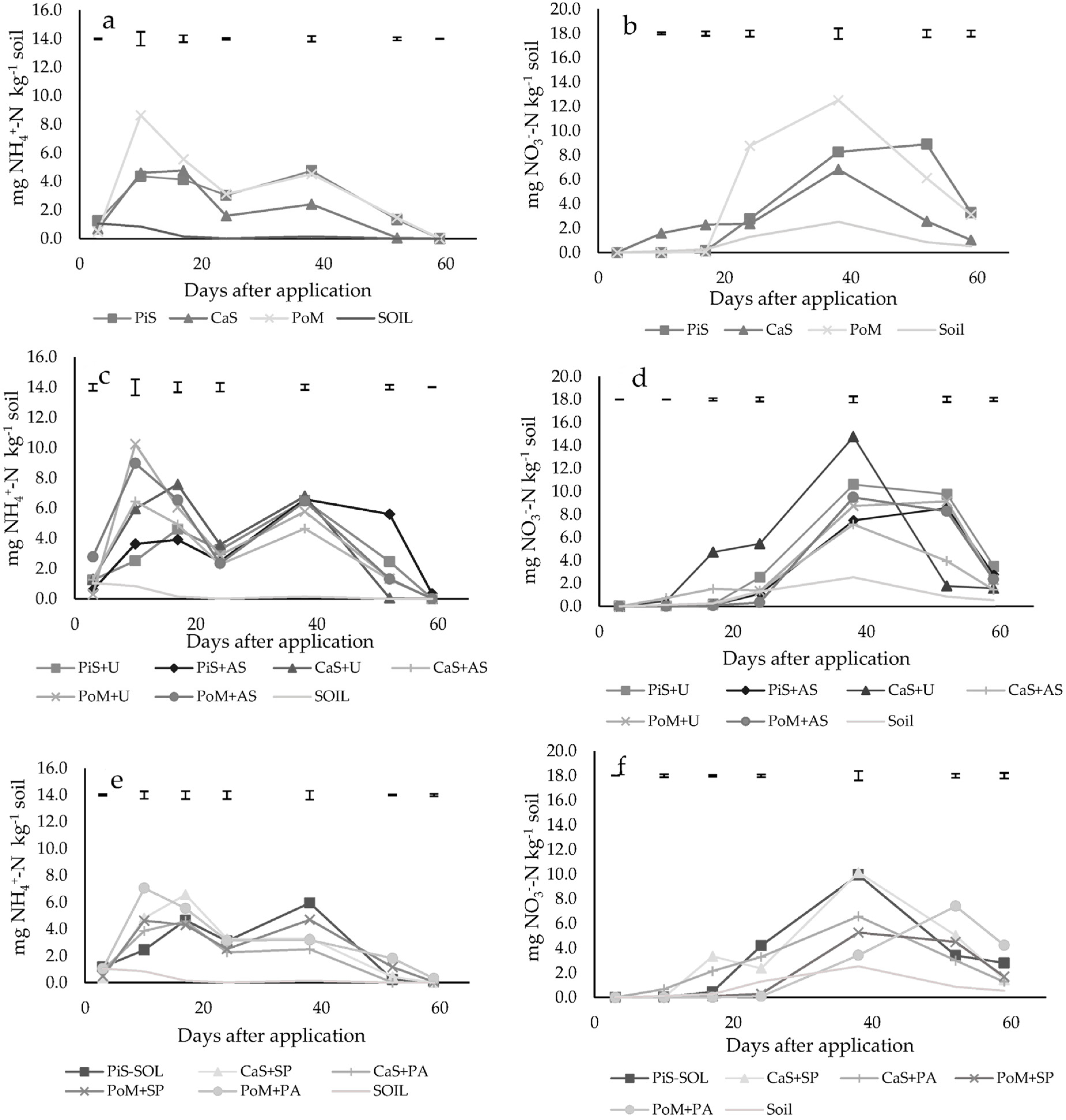
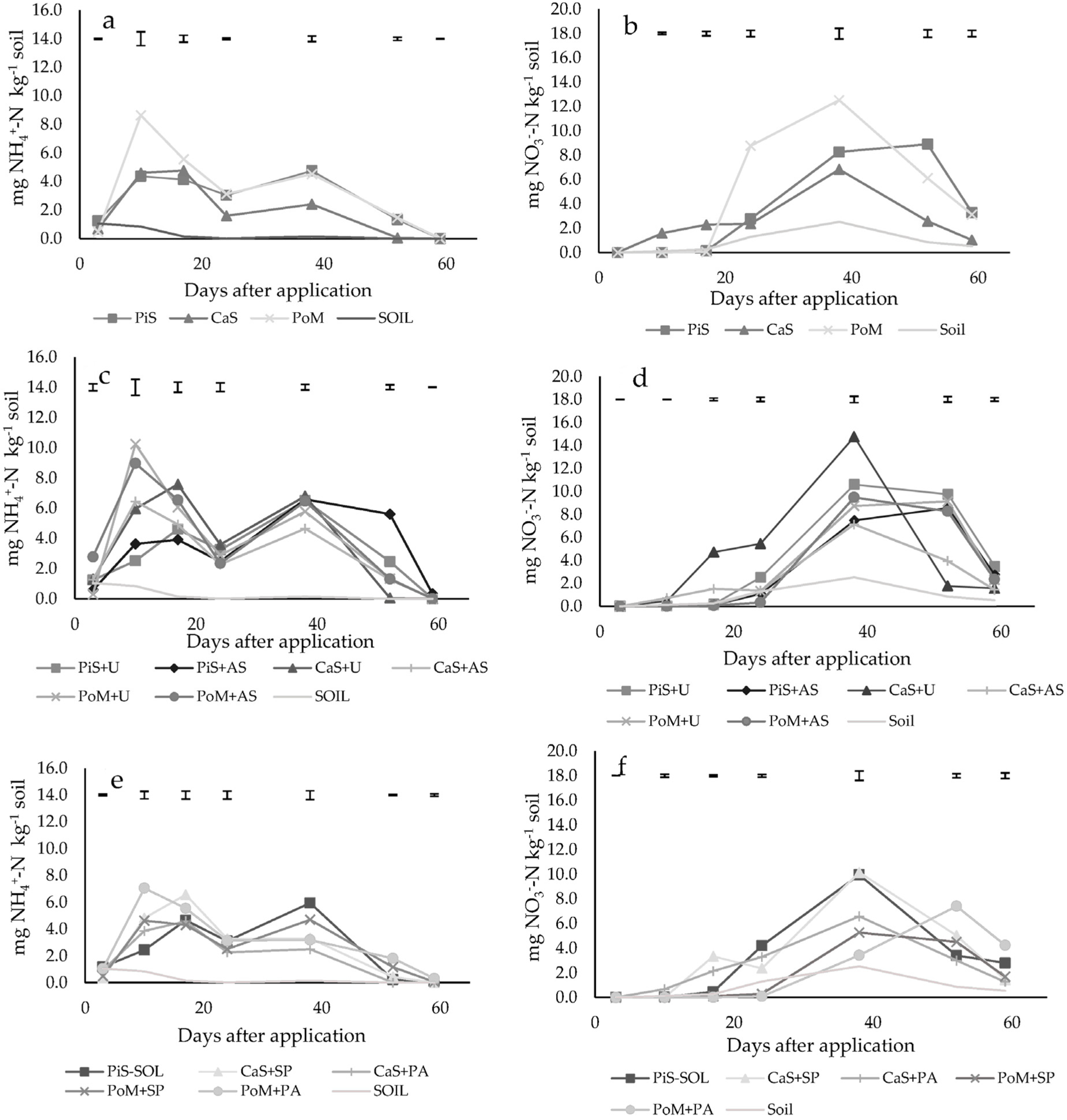
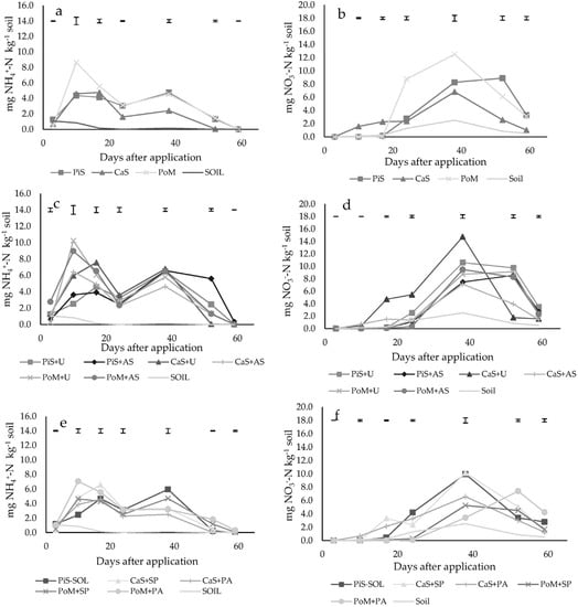
3.1. Potential Leachability of Nitrogen
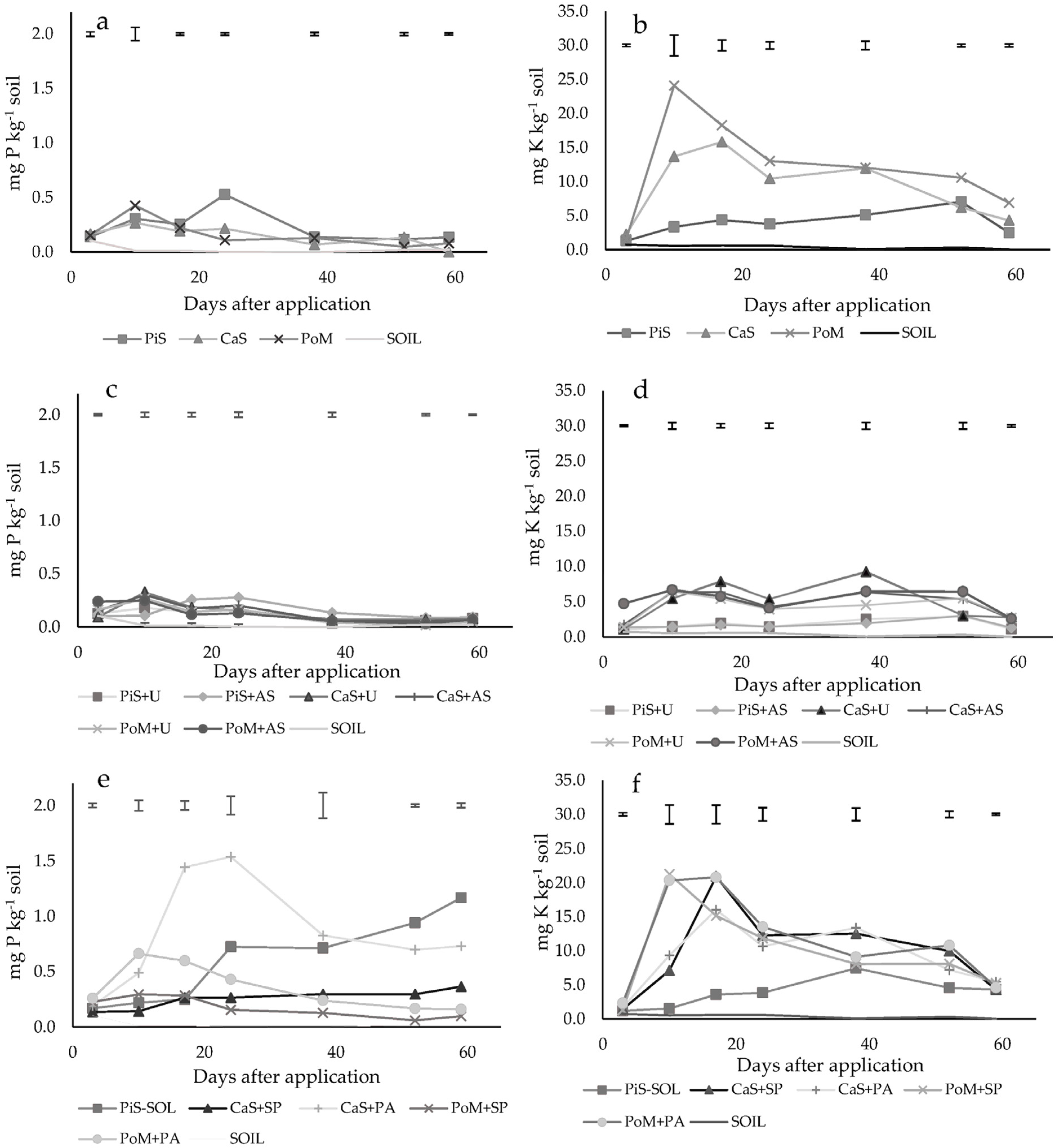
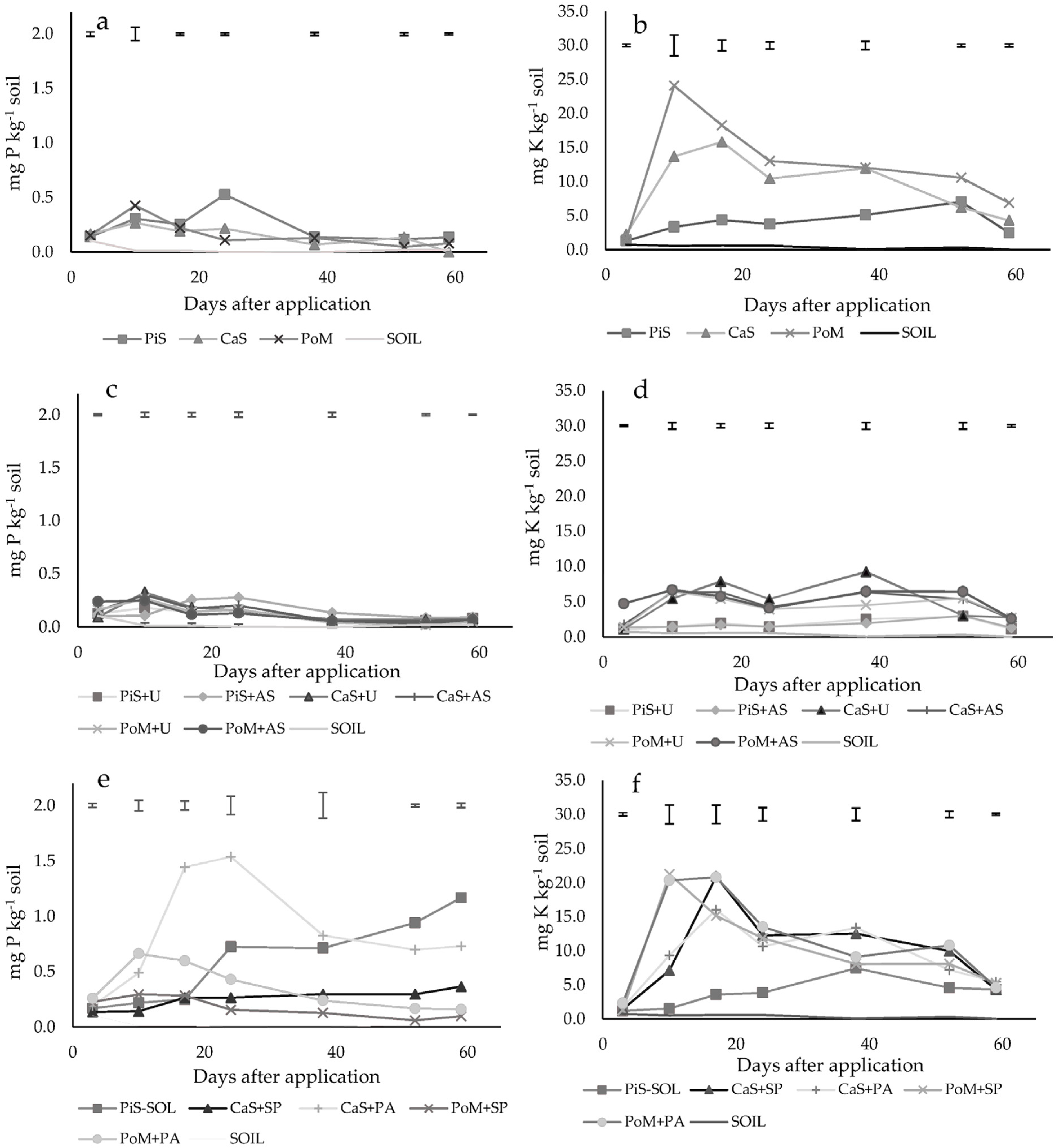
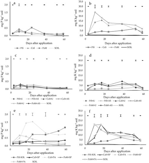
3.2. Potential Leachability of Phosphorus
3.3. Potential Leachability of Potassium
3.4. Potential Leachability of Macronutrients
3.5. Effects on Leachate Electric Conductivity and pH
4. Conclusions
Supplementary Materials
Author Contributions
Funding
Data Availability Statement
Conflicts of Interest
References
- Rayne, N.; Aula, L. Livestock Manure and the Impacts on Soil Health: A Review. Soil Syst. 2020, 4, 64. [Google Scholar] [CrossRef]
- Ritzén, S.; Sandström, G.Ö. Barriers to the Circular Economy—Integration of Perspectives and Domains. Procedia CIRP 2017, 64, 7–12. [Google Scholar] [CrossRef]
- Spiegal, S.; Kleinman, P.J.A.; Endale, D.M.; Bryant, R.B.; Dell, C.; Goslee, S.; Meinen, R.J.; Flynn, K.C.; Baker, J.M.; Browning, D.M.; et al. Manuresheds: Advancing Nutrient Recycling in US Agriculture. Agric. Syst. 2020, 182, 102813. [Google Scholar] [CrossRef]
- Svanbäck, A.; McCrackin, M.L.; Swaney, D.P.; Linefur, H.; Gustafsson, B.G.; Howarth, R.W.; Humborg, C. Reducing Agricultural Nutrient Surpluses in a Large Catchment—Links to Livestock Density. Sci. Total Environ. 2019, 648, 1549–1559. [Google Scholar] [CrossRef]
- Möller, K.; Oberson, A.; Bünemann, E.K.; Cooper, J.; Friedel, J.K.; Glæsner, N.; Hörtenhuber, S.; Løes, A.K.; Mäder, P.; Meyer, G.; et al. Improved Phosphorus Recycling in Organic Farming: Navigating Between Constraints. Adv. Agron. 2018, 147, 159–237. [Google Scholar] [CrossRef]
- Hoover, N.L.; Law, J.Y.; Long, L.A.M.; Kanwar, R.S.; Soupir, M.L. Long-Term Impact of Poultry Manure on Crop Yield, Soil and Water Quality, and Crop Revenue. J. Environ. Manage. 2019, 252, 109582. [Google Scholar] [CrossRef]
- Ozlu, E.; Kumar, S. Response of Soil Organic Carbon, PH, Electrical Conductivity, and Water Stable Aggregates to Long-Term Annual Manure and Inorganic Fertilizer. Soil Sci. Soc. Am. J. 2018, 82, 1243–1251. [Google Scholar] [CrossRef]
- De Boer, H.C. Nitrate Leaching from Liquid Cattle Manure Compared to Synthetic Fertilizer Applied to Grassland or Silage Maize in the Wageningen, Netherlands; Report 1055; Wageningen Livestock Research: Wageningen, The Netherlands, 2017. [Google Scholar]
- Li, P.; Lang, M.; Li, C.; Thomas, B.W.; Hao, X. Nutrient Leaching from Soil Amended with Manure and Compost from Cattle Fed Diets Containing Wheat Dried Distillers’ Grains with Solubles. Water. Air. Soil Pollut. 2016, 227, 393. [Google Scholar] [CrossRef]
- Iqbal, A.; He, L.; Khan, A.; Wei, S.; Akhtar, K.; Ali, I.; Ullah, S.; Munsif, F.; Zhao, Q.; Jiang, L. Organic Manure Coupled with Inorganic Fertilizer: An Approach for the Sustainable Production of Rice by Improving Soil Properties and Nitrogen Use Efficiency. Agronomy 2019, 9, 651. [Google Scholar] [CrossRef]
- Silva, A.A.; Carvalho, M.; Vasconcelos, E.; Fangueiro, D. Dairy Slurry Application to Stubble-Covered Soil: A Study on Sustainable Alternatives to Minimize Gaseous Emissions. Agronomy 2022, 12, 1021. [Google Scholar] [CrossRef]
- MADRP, Ministério da Agricultura do Desenvolvimento Rural e das Pescas, 2018. Diário da República no25/2018. 2 Series, Lisboa. Available online: https://files.dre.pt/2s/2018/02/025000000/0413204170.pdf (accessed on 27 April 2022).
- Xu, R.K.; Qafoku, N.P.; Van Ranst, E.; Li, J.Y.; Jiang, J. Adsorption Properties of Subtropical and Tropical Variable Charge Soils: Implications from Climate Change and Biochar Amendment; Elsevier Inc.: Amsterdam, The Netherlands, 2016; Volume 135, ISBN 9780128046937. [Google Scholar]
- da Silva Cerozi, B.; Fitzsimmons, K. The Effect of PH on Phosphorus Availability and Speciation in an Aquaponics Nutrient Solution. Bioresour. Technol. 2016, 219, 778–781. [Google Scholar] [CrossRef]
- Girotto, E.; Ceretta, C.A.; Lourenzi, C.R.; Lorensini, F.; Tiecher, T.L.; Vieira, R.C.B.; Trentin, G.; Basso, C.J.; Miotto, A.; Brunetto, G. Nutrient Transfers by Leaching in a No-Tillage System through Soil Treated with Repeated Pig Slurry Applications. Nutr. Cycl. Agroecosystems 2013, 95, 115–131. [Google Scholar] [CrossRef]
- Pahalvi, H.N.; Rafiya, L.; Rashid, S.; Nisar, B.; Kamili, A.N. Microbiota and Biofertilizers, Ecofriendly Tools for Reclamation of Degraded Soil Environs; Chapter I; Dar, G., Bhat, R.A., LMehmood, M.A., Hakeemm, K.R., Eds.; Springer Nature Switzerland: Berlin/Heidelberg, Germany, 2022; Volume 2, ISBN 9783030610098. [Google Scholar]
- Oenema, O.; Lesschen, J.P.; Rietra, R.; Rieger, J.; Hendriks, C. D.1.3 Driving Forces of Farming Systems and Their Impacts on CNP Ratios and Flows. 2021, pp. 1–91. Available online: http://nutri2cycle.eu/driving-forces-of-farming-systems-and-their-impactson-cnp-ratios-and-flows/ (accessed on 26 June 2022).
- Chardon, W.J.; Aalderink, G.H.; van der Salm, C. Phosphorus Leaching from Cow Manure Patches on Soil Columns. J. Environ. Qual. 2007, 36, 17–22. [Google Scholar] [CrossRef]
- Vanden Nest, T.; Ruysschaert, G.; Vandecasteele, B.; Houot, S.; Baken, S.; Smolders, E.; Cougnon, M.; Reheul, D.; Merckx, R. The Long Term Use of Farmyard Manure and Compost: Effects on P Availability, Orthophosphate Sorption Strength and P Leaching. Agric. Ecosyst. Environ. 2016, 216, 23–33. [Google Scholar] [CrossRef]
- Liu, J.N.; de Neergaard, A.; Jensen, L.S. Increased Retention of Available Nitrogen during Thermal Drying of Solids of Digested Sewage Sludge and Manure by Acid and Zeolite Addition. Waste Manag. 2019, 100, 306–317. [Google Scholar] [CrossRef]
- Chojnacka, K.; Moustakas, K.; Witek-Krowiak, A. Bio-Based Fertilizers: A Practical Approach towards Circular Economy. Bioresour. Technol. 2020, 295, 122223. [Google Scholar] [CrossRef]
- Tur-Cardona, J.; Bonnichsen, O.; Speelman, S.; Verspecht, A.; Carpentier, L.; Debruyne, L.; Marchand, F.; Jacobsen, B.H.; Buysse, J. Farmers’ Reasons to Accept Bio-Based Fertilizers: A Choice Experiment in Seven Different European Countries. J. Clean. Prod. 2018, 197, 406–416. [Google Scholar] [CrossRef]
- Huang, J.; Duan, Y.; Xu, M.; Zhai, L.; Zhang, X.; Wang, B.; Zhang, Y.; Gao, S.; Sun, N. Nitrogen Mobility, Ammonia Volatilization, and Estimated Leaching Loss from Long-Term Manure Incorporation in Red Soil. J. Integr. Agric. 2017, 16, 2082–2092. [Google Scholar] [CrossRef]
- FAO, Food and Agriculture Organization of the United Nations. Guidelines for Soil Description, 4th ed.; FAO: Rome, Italy, 2006; ISBN 9251055211. [Google Scholar]
- Fangueiro, D.; Surgy, S.; Napier, V.; Menaia, J.; Vasconcelos, E.; Coutinho, J. Impact of Slurry Management Strategies on Potential Leaching of Nutrients and Pathogens in a Sandy Soil Amended with Cattle Slurry. J. Environ. Manag. 2014, 146, 198–205. [Google Scholar] [CrossRef]
- Krorn, M. Spectrophotometric A Study of a Determination of Ammonia: Modified Berthelot Reaction Using Salicylate and Dichloroisocyanurate. Analyst 1956, 81, 677. [Google Scholar] [CrossRef]
- Singh, J.P. A Rapid Method for Determination of Nitrate in Soil and Plant Extracts. Plant Soil 1988, 110, 137–139. [Google Scholar] [CrossRef]
- Soler-Jofra, A.; Pérez, J.; van Loosdrecht, M.C.M. Hydroxylamine and the Nitrogen Cycle: A Review. Water Res. 2021, 190, 116723. [Google Scholar] [CrossRef]
- Padilla, F.M.; Gallardo, M.; Manzano-Agugliaro, F. Global Trends in Nitrate Leaching Research in the 1960–2017 Period. Sci. Total Environ. 2018, 643, 400–413. [Google Scholar] [CrossRef]
- Petersen, S.O. Greenhouse Gas Emissions from Liquid Dairy Manure: Prediction and Mitigation. J. Dairy Sci. 2018, 101, 6642–6654. [Google Scholar] [CrossRef]
- Zare, L.; Ronaghi, A. Comparison of N Mineralization Rate and Pattern in Different Manure- and Sewage Sludge-Amended Calcareous Soil. Commun. Soil Sci. Plant Anal. 2019, 50, 559–569. [Google Scholar] [CrossRef]
- Gómez-Garrido, M.; Faz-Cano, Á.; Martínez-Martínez, S.; Carmona-Garcés, D.M.; Büyükkiliç-Yanardag, A. Nitrogen Dynamic and Leaching in Calcareous Soils Amended With Pig Slurry. In Soil Management and Climate Change: Effects on Organic Carbon, Nitrogen Dynamics, and Greenhouse Gas Emissions; Elsevier Inc.: Amsterdam, The Netherlands, 2018; pp. 171–187. ISBN 9780128121290. [Google Scholar]
- Zhang, H.; Hunt, D.E.; Bittman, S. Animal-Based Organic Amendments and Their Potential for Excessive Nitrogen Leaching and Phosphorus Loading. Agron. J. 2019, 111, 2207–2217. [Google Scholar] [CrossRef]
- EC, European Council, (91/676). Protection of Waters against Pollution Caused by Nitrates from Agricultural Sources; EC, European Council: Brussels, Belgium, 1991; pp. 1–8.
- Scott, J.T.; Lambie, S.M.; Stevenson, B.A.; Schipper, L.A.; Parfitt, R.L.; McGill, A.C. Carbon and Nitrogen Leaching under High and Low Phosphate Fertility Pasture with Increasing Nitrogen Inputs. Agric. Ecosyst. Environ. 2015, 202, 139–147. [Google Scholar] [CrossRef]
- Wang, D.; Guo, L.; Zheng, L.; Zhang, Y.; Yang, R.; Li, M.; Ma, F.; Zhang, X.; Li, Y. Effects of Nitrogen Fertilizer and Water Management Practices on Nitrogen Leaching from a Typical Open Field Used for Vegetable Planting in Northern China. Agric. Water Manag. 2019, 213, 913–921. [Google Scholar] [CrossRef]
- Souri, M.K.; Rashidi, M.; Kianmehr, M.H. Effects of Manure-Based Urea Pellets on Growth, Yield, and Nitrate Content in Coriander, Garden Cress, and Parsley Plants. J. Plant Nutr. 2018, 41, 1405–1413. [Google Scholar] [CrossRef]
- Gerke, J. The Acquisition of Phosphate by Higher Plants: Effect of Carboxylate Release by the Roots. A Critical Review. J. Plant Nutr. Soil Sci. 2015, 178, 351–364. [Google Scholar] [CrossRef]
- Tiecher, T.L.; Lourenzi, C.R.; Girotto, E.; Tiecher, T.; De Conti, L.; Marques, A.C.R.; Silva, L.O.S.; Marchezan, C.; Brunetto, G.; Ceretta, C.A. Phosphorus Forms Leached in a Sandy Typic Hapludalf Soil under No-Tillage with Successive Pig Slurry Applications. Agric. Water Manag. 2020, 242, 106406. [Google Scholar] [CrossRef]
- Liu, X.P.; Bi, Q.F.; Qiu, L.L.; Li, K.J.; Yang, X.R.; Lin, X.Y. Increased Risk of Phosphorus and Metal Leaching from Paddy Soils after Excessive Manure Application: Insights from a Mesocosm Study. Sci. Total Environ. 2019, 666, 778–785. [Google Scholar] [CrossRef] [PubMed]
- Ju, X.t.; Zhang, C. Nitrogen Cycling and Environmental Impacts in Upland Agricultural Soils in North China: A Review. J. Integr. Agric. 2017, 16, 2848–2862. [Google Scholar] [CrossRef]
- Wang, Z.; Jiang, H.; Shen, Y. Forage Production and Soil Water Balance in Oat and Common Vetch Sole Crops and Intercrops Cultivated in the Summer-Autumn Fallow Season on the Chinese Loess Plateau. Eur. J. Agron. 2020, 115, 126042. [Google Scholar] [CrossRef]
- Bi, Q.F.; Li, K.J.; Zheng, B.X.; Liu, X.P.; Li, H.Z.; Jin, B.J.; Ding, K.; Yang, X.R.; Lin, X.Y.; Zhu, Y.G. Partial Replacement of Inorganic Phosphorus (P) by Organic Manure Reshapes Phosphate Mobilizing Bacterial Community and Promotes P Bioavailability in a Paddy Soil. Sci. Total Environ. 2020, 703, 134977. [Google Scholar] [CrossRef] [PubMed]
- McDowell, R.W.; Worth, W.; Carrick, S. Evidence for the Leaching of Dissolved Organic Phosphorus to Depth. Sci. Total Environ. 2021, 755, 142392. [Google Scholar] [CrossRef] [PubMed]
- Regueiro, I.; Pociask, M.; Coutinho, J.; Fangueiro, D. Animal Slurry Acidification Affects Particle Size Distribution and Improves Separation Efficiency. J. Environ. Qual. 2016, 45, 1096. [Google Scholar] [CrossRef]
- Kang, J.; Amoozegar, A.; Hesterberg, D.; Osmond, D.L. Phosphorus Leaching in a Sandy Soil as Affected by Organic and Inorganic Fertilizer Sources. Geoderma 2011, 161, 194–201. [Google Scholar] [CrossRef]
- Gichangi, E.M.; Mnkeni, P.N.S.; Brookes, P.C. Effects of Goat Manure and Inorganic Phosphate Addition on Soil Inorganic and Microbial Biomass Phosphorus Fractions under Laboratory Incubation Conditions. Soil Sci. Plant Nutr. 2009, 55, 764–771. [Google Scholar] [CrossRef]
- Manning, D.A.C. How Will Minerals Feed the World in 2050? Proc. Geol. Assoc. 2015, 126, 14–17. [Google Scholar] [CrossRef]
- Ashworth, A.J.; Chastain, J.P.; Moore, P.A. Nutrient Characteristics of Poultry Manure and Litter. In Animal Manure: Production, Characteristics, Environmental Concerns, and Management; Waldrip, H.M., Pagliari, P.H., He, Z., Eds.; ASA Special Publications: Clemson, SC, USA, 2020; pp. 63–87. ISBN 9780891183716. [Google Scholar]
- Torabian, S.; Farhangi-Abriz, S.; Qin, R.; Noulas, C.; Sathuvalli, V.; Charlton, B.; Loka, D.A. Potassium: A Vital Macronutrient in Potato Production—A Review. Agronomy 2021, 11, 543. [Google Scholar] [CrossRef]
- Macholdt, J.; Piepho, H.P.; Honermeier, B. Mineral NPK and Manure Fertilisation Affecting the Yield Stability of Winter Wheat: Results from a Long-Term Field Experiment. Eur. J. Agron. 2019, 102, 14–22. [Google Scholar] [CrossRef]
- Alfaro, M.A.; Alfaro, M.A.; Jarvis, S.C.; Gregory, P.J. Factors Affecting Potassium Leaching in Different Soils. Soil Use Manag. 2004, 20, 182–189. [Google Scholar] [CrossRef]
- Rowley, M.C.; Grand, S.; Verrecchia, É.P. Calcium-Mediated Stabilisation of Soil Organic Carbon. Biogeochemistry 2018, 137, 27–49. [Google Scholar] [CrossRef]
- Tripolskaja, L.; Baksiene, E.; Razukas, A.; Sidlauskas, G. How Organic Fertilizers Change Chemical Element Leaching: A Summary of the Lysimeter Studies in Lithuania, 1987–2014. Polish J. Environ. Stud. 2016, 25, 2589–2600. [Google Scholar] [CrossRef]
- Wang, Y.; Zhu, Y.; Zhang, S.; Wang, Y. What Could Promote Farmers to Replace Chemical Fertilizers with Organic Fertilizers? J. Clean. Prod. 2018, 199, 882–890. [Google Scholar] [CrossRef]
- de Bang, T.C.; Husted, S.; Laursen, K.H.; Persson, D.P.; Schjoerring, J.K. The Molecular–Physiological Functions of Mineral Macronutrients and Their Consequences for Deficiency Symptoms in Plants. New Phytol. 2021, 229, 2446–2469. [Google Scholar] [CrossRef]
- Pötzsch, F.; Lux, G.; Lewandowska, S.; Schmidtke, K. Field Crops Research Sulphur Demand, Accumulation and Fertilization of Pisum sativum L. in Pure and Mixed Stands with Hordeum vulgare L. under Field Conditions. Field Crop. Res. 2019, 239, 47–55. [Google Scholar] [CrossRef]
- Prather, R.M.; Castillioni, K.; Kaspari, M.; Souza, L.; Prather, C.M.; Reihart, R.W.; Welti, E.A.R. Micronutrients Enhance Macronutrient Effects in a Meta-Analysis of Grassland Arthropod Abundance. Glob. Ecol. Biogeogr. 2020, 29, 2273–2288. [Google Scholar] [CrossRef]
- Qian, X.Y.; Shen, G.X.; Wang, Z.Q.; Chen, X.H.; Zhao, Q.J.; Bai, Y.J.; Tang, Z.Z. Application of Dairy Manure as Fertilizer in Dry Land in East China: Field Monitoring and Model Estimation of Heavy Metal Accumulation in Surface Soil. Environ. Sci. Pollut. Res. 2020, 27, 36913–36919. [Google Scholar] [CrossRef]
- Sohrt, J.; Lang, F.; Weiler, M. Quantifying Components of the Phosphorus Cycle in Temperate Forests. WIREs Water 2017, 4, e1243. [Google Scholar] [CrossRef]
- Cameselle, C.; Gouveia, S.; Urréjola, S. Benefits of Phytoremediation Amended with DC Electric Field. Application to Soils Contaminated with Heavy Metals. Chemosphere 2019, 229, 481–488. [Google Scholar] [CrossRef]
- Osyczka, P.; Rola, K. Integrity of Lichen Cell Membranes as an Indicator of Heavy-Metal Pollution Levels in Soil. Ecotoxicol. Environ. Saf. 2019, 174, 26–34. [Google Scholar] [CrossRef] [PubMed]
- Seaton, F.M.; Barrett, G.; Burden, A.; Creer, S.; Fitos, E.; Garbutt, A.; Griffiths, R.I.; Henrys, P.; Jones, D.L.; Keenan, P.; et al. Soil Health Cluster Analysis Based on National Monitoring of Soil Indicators. Eur. J. Soil Sci. 2021, 72, 2414–2429. [Google Scholar] [CrossRef]
- Wei, W.; Yang, M.; Liu, Y.; Huang, H.; Ye, C.; Zheng, J.; Guo, C.; Hao, M.; He, X.; Zhu, S. Fertilizer N Application Rate Impacts Plant-Soil Feedback in a Sanqi Production System. Sci. Total Environ. 2018, 633, 796–807. [Google Scholar] [CrossRef]



| DM | TOC | NTotal | NH4+-N | Nav | PTotal | KTotal | Blend Composition | NTotal | NH4+-N | Nav | PTotal | KTotal | |||
|---|---|---|---|---|---|---|---|---|---|---|---|---|---|---|---|
| g kg−1 | g kg−1 | g kg−1 | g kg−1 | g kg−1 | g kg−1 | g kg−1 | g Manure | g Mineral | mg kg−1 | mg kg−1 | mg kg−1 | mg kg−1 | mg kg−1 | ||
| 1:1 Ratio | PiS | 129.74 | 55.00 | 8.41 | 5.64 | 5.64 | 2.49 | 2.84 | 13.87 | - | 116.67 | 78.24 | 70.00 | 34.40 | 39.26 |
| CaS | 103.97 | 39.50 | 3.46 | 1.47 | 2.08 | 0.81 | 2.75 | 33.72 | - | 116.67 | 49.57 | 70.00 | 27.31 | 92.39 | |
| PoM | 749.36 | 352.10 | 20.3 | 3.54 | 10.15 | 5.16 | 15.41 | 6.90 | - | 140.00 | 21.66 | 70.00 | 35.45 | 105.86 | |
| 2:1 Ratio | PiS + U | 125.96 | 55.00 | 14.86 | 12.17 | 12.17 | 2.41 | 2.76 | 5.95 | 0.09 (1.3%) | 86.47 | 70.00 | 70.00 | 14.75 | 16.83 |
| PiS + AS | 125.76 | 55.00 | 14.6 | 11.91 | 11.91 | 2.41 | 2.75 | 5.98 | 0.19 (2.8%) | 86.73 | 70.00 | 70.00 | 14.98 | 17.09 | |
| CaS + U | 103.59 | 39.52 | 5.13 | 3.15 | 3.75 | 0.81 | 2.74 | 18.6 | 0.07 (0.4%) | 95.75 | 58.73 | 70.00 | 15.07 | 50.67 | |
| CaS + AS | 103.11 | 39.52 | 5.17 | 3.19 | 3.79 | 0.81 | 2.73 | 18.3 | 0.15 (0.8%) | 95.32 | 58.91 | 70.00 | 14.82 | 50.13 | |
| PoM + U | 727.53 | 352.10 | 33.11 | 16.45 | 23.25 | 5.01 | 14.96 | 2.92 | 0.09 (2.9%) | 99.67 | 49.51 | 70.00 | 15.02 | 44.86 | |
| PoM + AS | 702.53 | 352.10 | 32.16 | 16.07 | 22.64 | 4.83 | 14.44 | 2.90 | 0.19 (6.3%) | 99.42 | 49.68 | 70.00 | 14.90 | 44.49 | |
| 0.5:1 Ratio | PiS-SOL | 232.5 | 96.77 | 10.93 | 6.45 | 6.45 | 4.76 | 3.67 | 12.81 | - | 140.00 | 82.62 | 70.00 | 60.84 | 46.75 |
| CaS + SP | 103.45 | 39.50 | 3.44 | 1.46 | 2.07 | 1.72 | 2.73 | 33.72 | 0.17 (0.5%) | 116.67 | 49.57 | 70.00 | 58.13 | 92.39 | |
| CaS + PA | 99.65 | 39.50 | 3.32 | 1.41 | 1.99 | 1.72 | 2.63 | 33.72 | 1.46 (4.2%) | 116.67 | 49.57 | 70.000 | 60.38 | 92.39 | |
| PoM + SP | 743.67 | 352.10 | 19.9 | 3.08 | 9.95 | 8.65 | 15.11 | 6.90 | 0.14 (1.9%) | 140.00 | 21.66 | 70.00 | 60.66 | 105.86 | |
| PoM + PA | 718.24 | 352.10 | 19.46 | 3.01 | 9.73 | 8.42 | 14.77 | 6.20 | 0.99 (13.8%) | 140.00 | 21.66 | 70.00 | 54.34 | 105.86 | |
| Min N | P | K | Ca | Mg | S | |||||||||
|---|---|---|---|---|---|---|---|---|---|---|---|---|---|---|
| mg N | % Nav | % Nt | mg P | % Applied | mg K | % Applied | mg Ca | % Applied | mg Mg | % Applied | mg S | % Applied | ||
| 1:1 Ratio | PiS | BC 42.27 b | BC 49.21 b | C 29.53 a | B 1.66 a | B 2.45 b | A 26.05 c | A 60.79 b | A 32.93 b | B 25.11 a | A 6.74 b | B 12.85 a | B 7.05 b | B 43.78 a |
| CaS | D 30.82 c | D 32.87 c | C 19.72 b | C 1.18 b | C 3.71 a | A 62.39 b | A 65.17 b | C 26.80 c | D 18.20 a | B 5.93 b | C 11.08 a | C 8.38 b | D 32.04 a | |
| PoM | A 54.49 a | A 66.67 a | B 33.34 a | BC 1.17 b | B 2.82 b | A 84.86 a | A 78.10 a | B 41.91 a | C 22.64 a | A 8.33 a | C 16.28 a | B 16.90 a | B 48.18 a | |
| SOIL | 7.82 d | n.a | n.a | 0.17 c | n.a | 2.18 d | n.a | 17.29 d | n.a | 3.46 c | n.a | 2.98 c | n.a | |
| 2:1 Ratio | PiS + U | A 47.23 b | A 56.30 bc | A 44.34 ab | C 0.77 b | A 4.16 b | B 12.67 d | A 58.70 ab | A 28.98 c | A 42.51 bc | A 5.88 c | A 21.42 c | B 5.07 de | A 50.91 b |
| PiS + AS | AB 43.21 c | AB 50.57 c | B 39.83 c | BC 1.05 a | A 5.97 a | B 12.38 d | A 55.79 abc | A 29.89 c | A 43.63 cd | A 5.95 bc | A 21.79 c | A 19.36 c | D 1.09 c | |
| CaS + U | A 53.80 a | A 65.69 a | A 48.02 a | C 0.97 ab | B 5.32 ab | B 34.91 ab | A 62.72 bc | C 29.12 c | B 40.89 cd | B 6.23 bc | B 22.46 c | C 6.94 de | C 42.37 b | |
| CaS + AS | C 36.99 d | C 41.68 d | B 25.01 d | C 1.00 a | B 5.63 ab | B 33.14 bc | A 60.25 c | B 36.07 b | A 65.69 a | A 7.44 ab | A 32.64 ab | A 27.46 b | E 0.55 c | |
| PoM + U | B 48.22 b | B 57.73 b | A 40.54 c | D 0.84 ab | A 4.51 ab | C 29.96 c | B 60.24 c | C 32.76 bc | B 32.59 d | B 6.53 bc | B 23.48 bc | B 11.77 cd | A 69.70 a | |
| PoM + AS | B 48.90 b | B 58.69 b | A 41.32 bc | CD 0.88 ab | A 5.82 ab | C 36.65 a | A 75.78 a | A 46.93 a | A 60.79 ab | A 8.36 a | A 36.54 a | A 43.96 a | D 5.42 c | |
| SOIL | 7.82 e | n.a | n.a | 0.17 c | n.a | 2.94 | n.a | 17.29 d | n.a | 3.46 d | n.a | 2.98 e | n.a | |
| 0.5:1 Ratio | PiS-SOL | C 37.10 b | C 41.86 b | D 25.10 a | A 4.19 b | A 6.62 b | A 26.51 c | B 50.43 c | A 30.61 b | C 11.97 b | A 6.51 ab | C 6.95 d | B 8.71 c | B 31.75 c |
| CaS + SP | B 41.11 a | B 47.56 a | B 23.78 b | B 1.77 d | D 2.76 cd | A 68.57 b | A 71.04 ab | A 40.71 a | C 34.25 a | A 8.40 a | B 25.80 a | B 15.39 a | B 59.06 b | |
| CaS + PA | D 31.10 c | D 33.26 c | C 16.63 c | A 5.92 a | A 9.53 a | A 63.73 b | A 65.80 ab | A 40.53 a | B 39.43 a | A 7.91 ab | C 19.15 b | B 14.89 a | A 67.69 a | |
| PoM + SP | D 29.70 c | D 31.26 c | D 15.63 c | B 1.25 d | C 1.79 d | B 70.98 b | B 64.28 b | D 29.03 b | D 9.92 b | B 6.20 ab | D 8.97 c | B 7.10 c | C 22.84 d | |
| PoM + PA | C 36.41 b | C 40.26 b | C 24.51 ab | A 2.92 c | B 3.90 c | A 81.55 a | A 74.27 a | C 33.59 ab | D 14.37 b | A 7.45 ab | CD 12.80 c | B 11.14 b | C 27.08 c | |
| SOIL | 7.82 d | n.a | n.a | 0.17 e | n.a | 2.94 d | n.a | 17.29 c | n.a | 3.46 c | n.a | 2.98 d | n.a | |
Disclaimer/Publisher’s Note: The statements, opinions and data contained in all publications are solely those of the individual author(s) and contributor(s) and not of MDPI and/or the editor(s). MDPI and/or the editor(s) disclaim responsibility for any injury to people or property resulting from any ideas, methods, instructions or products referred to in the content. |
© 2023 by the authors. Licensee MDPI, Basel, Switzerland. This article is an open access article distributed under the terms and conditions of the Creative Commons Attribution (CC BY) license (https://creativecommons.org/licenses/by/4.0/).
Share and Cite
Prado, J.; Alvarenga, P.; Ribeiro, H.; Fangueiro, D. Nutrient Potential Leachability in a Sandy Soil Amended with Manure-Based Fertilisers. Agronomy 2023, 13, 990. https://doi.org/10.3390/agronomy13040990
Prado J, Alvarenga P, Ribeiro H, Fangueiro D. Nutrient Potential Leachability in a Sandy Soil Amended with Manure-Based Fertilisers. Agronomy. 2023; 13(4):990. https://doi.org/10.3390/agronomy13040990
Chicago/Turabian StylePrado, Joana, Paula Alvarenga, Henrique Ribeiro, and David Fangueiro. 2023. "Nutrient Potential Leachability in a Sandy Soil Amended with Manure-Based Fertilisers" Agronomy 13, no. 4: 990. https://doi.org/10.3390/agronomy13040990
APA StylePrado, J., Alvarenga, P., Ribeiro, H., & Fangueiro, D. (2023). Nutrient Potential Leachability in a Sandy Soil Amended with Manure-Based Fertilisers. Agronomy, 13(4), 990. https://doi.org/10.3390/agronomy13040990

