Impact of Sandy Soil Amendment with Dairy Slurry Treated through pH Adjustment on Nutrient and Coliform Leaching
Abstract
1. Introduction
2. Materials and Methods
2.1. Soil Sampling and Slurry Preparation
2.2. Physicochemical Analysis
2.2.1. Soil
2.2.2. Dairy Slurry and Leachates
2.3. Microbiological Analysis
2.3.1. Detection of Salmonella in DS
2.3.2. Enumeration of Escherichia coli (E. coli) in DS
2.3.3. Enumeration of Fecal Coliforms in Leachates (MPN/100 mL)
2.4. Experimental Setup
2.5. Statistical Analysis
3. Results and Discussion
3.1. Physicochemical and Microbiological Characterization of Raw and Treated Slurries
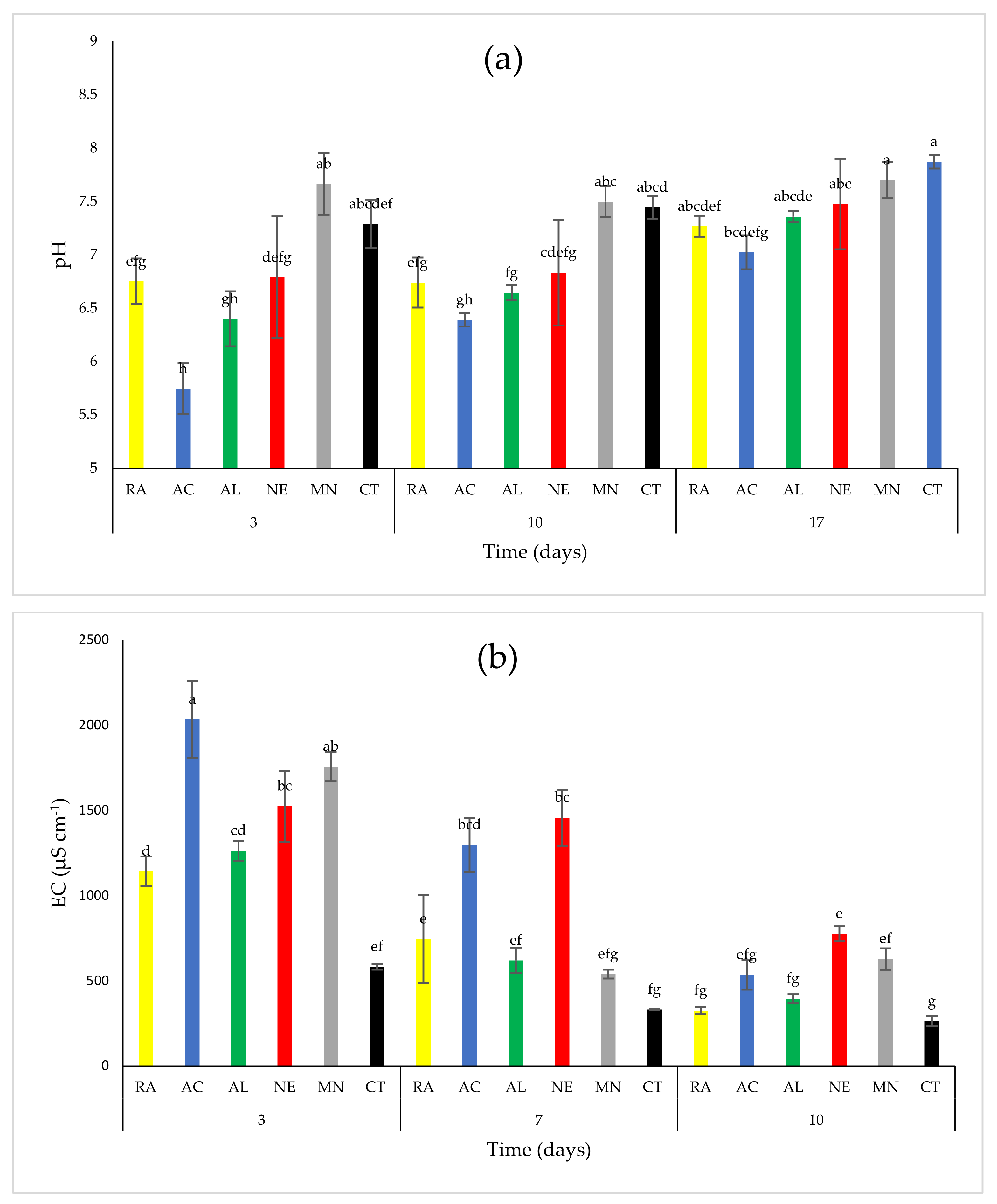
3.2. Physicochemical Characterization of the Leachates
3.2.1. Nutrient Leaching
Nitrogen Content of the Leachates
Nitrate (NO3−)
Ammoniacal nitrogen (NH4+)
Phosphorus (P)
Sulfur (S) and Potassium (K)
Other Nutrient Leaching (Na, Ca, Mg, Fe, Cu, Zn, Mn, and B)
3.2.2. Coliform Leaching
4. Conclusions
Supplementary Materials
Author Contributions
Funding
Acknowledgments
Conflicts of Interest
References
- Scarlat, N.; Fahl, F.; Dallemand, J.-F.; Monforti, F.; Motola, V. A Spatial Analysis of Biogas Potential from Manure in Europe. Renew. Sustain. Energy Rev. 2018, 94, 915–930. [Google Scholar] [CrossRef]
- Amin, M.G.M.; Forslund, A.; Bui, X.T.; Juhler, R.K.; Petersen, S.O.; Lægdsmand, M. Persistence and Leaching Potential of Microorganisms and Mineral N in Animal Manure Applied to Intact Soil Columns. Appl. Environ. Microbiol. 2013, 79, 535–542. [Google Scholar] [CrossRef] [PubMed]
- Guber, A.; Pachepsky, Y.; Shelton, D.; Yu, O. Association of Fecal Coliforms with Soil Aggregates: Effect of Water Content and Bovine Manure Application. Soil Sci. 2009, 174, 543–548. [Google Scholar] [CrossRef]
- Mawdsley, J.L.; Bardgett, R.D.; Merry, R.J.; Pain, B.F.; Theodorou, M.K. Pathogens in Livestock Waste, Their Potential for Movement through Soil and Environmental Pollution. Appl. Soil Ecol. 1995, 2, 1–15. [Google Scholar] [CrossRef] [PubMed]
- Nørring, N.P.; Jørgensen, E. Eutrophication and Agriculture in Denmark: 20 Years of Experience and Prospects for the Future. In Eutrophication in Coastal Ecosystems: Towards Better Understanding and Management Strategies Selected Papers from the Second International Symposium on Research and Management of Eutrophication in Coastal Ecosystems, 20–23 June 2006, Nyborg, Denmark; Andersen, J.H., Conley, D.J., Eds.; Springer Netherlands: Dordrecht, Germany, 2009; pp. 65–70. ISBN 978-90-481-3385-7. [Google Scholar]
- Hess, T.F.; Grdzelishvili, I.; Sheng, H.; Hovde, C.J. Heat Inactivation of E. Coli During Manure Composting. Compost Sci. Util. 2004, 12, 314–322. [Google Scholar] [CrossRef]
- Manyi-Loh, C.E.; Mamphweli, S.N.; Meyer, E.L.; Makaka, G.; Simon, M.; Okoh, A.I. An Overview of the Control of Bacterial Pathogens in Cattle Manure. Int. J. Environ. Res. Public. Health 2016, 13, 843. [Google Scholar] [CrossRef]
- Martin, H.D. Manure Composting as a Pathogen Reduction Strategy; Ministry of Agriculture, Food and Rural Affairs: Guelph, ON, Cananda, 2005.
- Pell, A.N. Manure and Microbes: Public and Animal Health Problem? J. Dairy Sci. 1997, 80, 2673–2681. [Google Scholar] [CrossRef]
- Cools, D.; Merckx, R.; Vlassak, K.; Verhaegen, J. Survival of E. coli and Enterococcus spp. Derived from Pig Slurry in Soils of Different Texture. Appl. Soil Ecol. 2001, 17, 53–62. [Google Scholar] [CrossRef]
- Bradford, S.A.; Simunek, J.; Walker, S.L. Transport and Straining of E. Coli O157:H7 in Saturated Porous Media. Water Resour. Res. 2006, 42, 1–12. [Google Scholar] [CrossRef]
- Unc, A.; Goss, M.J. Transport of Bacteria from Manure and Protection of Water Resources. Appl. Soil Ecol. 2004, 25, 1–18. [Google Scholar] [CrossRef]
- Teixeira, P.; Almeida, L.; Brandão, J.; Costa, S.; Pereira, S.; Valério, E. Non-Potable Use of Lisbon Underground Water: Microbiological and Hydrochemical Data from a 4-Year Case Study. Environ. Monit. Assess. 2018, 190, 455. [Google Scholar] [CrossRef]
- Giglio, O.; Quaranta, A.; Barbuti, G.; Napoli, C.; Caggiano, G.; Montagna, M. Factors Influencing Groundwater Quality: Towards an Integrated Management Approach. Ann. Ig. Med. Prev. E Comunità. 2015, 27, 52–57. [Google Scholar] [CrossRef]
- Rodrigues, J.; Alvarenga, P.; Silva, A.C.; Brito, L.; Tavares, J.; Fangueiro, D. Animal Slurry Sanitization through pH Adjustment: Process Optimization and Impact on Slurry Characteristics. Agronomy 2021, 11, 517. [Google Scholar] [CrossRef]
- dos Santos, J.Q. Fertilização—Fundamentos Agroambientais da Utilização dos Adubos e Correctivos; Publindústria, Edições Técnicas: Porto, Portugal, 2015; ISBN 978-989-723-085-1. [Google Scholar]
- Fangueiro, D.; Hjorth, M.; Gioelli, F. Acidification of Animal Slurry—A Review. J. Environ. Manag. 2015, 149, 46–56. [Google Scholar] [CrossRef]
- Fangueiro, D.; Surgy, S.; Napier, V.; Menaia, J.; Vasconcelos, E.; Coutinho, J. Impact of Slurry Management Strategies on Potential Leaching of Nutrients and Pathogens in a Sandy Soil Amended with Cattle Slurry. J. Environ. Manag. 2014, 146, 198–205. [Google Scholar] [CrossRef]
- Lee, L.S.; Carmosini, N.; Sassman, S.A.; Dion, H.M.; Sepúlveda, M.S. Agricultural Contributions of Antimicrobials and Hormones on Soil and Water Quality. In Advances in Agronomy; Sparks, D.L., Ed.; Academic Press: Cambridge, MA, USA, 2007; Volume 93, pp. 1–68. [Google Scholar]
- Liu, X.-P.; Bi, Q.-F.; Qiu, L.-L.; Li, K.-J.; Yang, X.-R.; Lin, X.-Y. Increased Risk of Phosphorus and Metal Leaching from Paddy Soils after Excessive Manure Application: Insights from a Mesocosm Study. Sci. Total Environ. 2019, 666, 778–785. [Google Scholar] [CrossRef]
- Mantovi, P.; Fumagalli, L.; Beretta, G.P.; Guermandi, M. Nitrate Leaching through the Unsaturated Zone Following Pig Slurry Applications. J. Hydrol. 2006, 316, 195–212. [Google Scholar] [CrossRef]
- Toor, G.S.; Sims, J.T. Phosphorus Leaching in Soils Amended with Animal Manures Generated from Modified Diets. J. Environ. Qual. 2016, 45, 1385–1391. [Google Scholar] [CrossRef]
- Alegbeleye, O.O.; Sant’Ana, A.S. Manure-Borne Pathogens as an Important Source of Water Contamination: An Update on the Dynamics of Pathogen Survival/Transport as Well as Practical Risk Mitigation Strategies. Int. J. Hyg. Environ. Health 2020, 227, 113524. [Google Scholar] [CrossRef]
- Kalra, Y. Handbook of Reference Methods for Plant Analysis; CRC Press: Boca Raton, FL, USA, 1997; ISBN 978-1-4200-4939-8. [Google Scholar]
- Mulvaney, R.L. Nitrogen—Inorganic Forms. In Methods of Soil Analysis; John Wiley & Sons, Ltd.: Hoboken, NJ, USA, 1996; pp. 1123–1184. ISBN 978-0-89118-866-7. [Google Scholar]
- Fangueiro, D.; Pereira, J.L.S.; Fraga, I.; Surgy, S.; Vasconcelos, E.; Coutinho, J. Band Application of Acidified Slurry as an Alternative to Slurry Injection in a Mediterranean Double Cropping System: Agronomic Effect and Gaseous Emissions. Agric. Ecosyst. Environ. 2018, 267, 87–99. [Google Scholar] [CrossRef]
- Grigg, J.L. Prediction of Plant Response to Fertilisers by Means of Soil Tests. N. Z. J. Agric. Res. 1965, 8, 893–904. [Google Scholar] [CrossRef]
- Lakanen, E.; Erviö, R. A Comparison of Eight Extractants for the Determination of Plant Available Micronutrients in Soils. Acta Agric. Fenn. 1971, 123, 223–232. [Google Scholar]
- Plant Production and Protection Division. Guide to Laboratory Establishment for Plant Nutrient Analysis; FAO: Rome, Italy, 2008; ISBN 978-92-5-105981-4. [Google Scholar]
- Particle-Size Analysis—Gee—1986—SSSA Book Series—Wiley Online Library. Available online: https://acsess.onlinelibrary.wiley.com/doi/abs/10.2136/sssabookser5.1.2ed.c15 (accessed on 8 September 2021).
- Fangueiro, D.; Ribeiro, H.; Vasconcelos, E.; Coutinho, J.; Cabral, F. Treatment by acidification followed by solid-liquid separation affects slurry and slurry fractions composition and their potential of N mineralization. Bioresour. Technol. 2009, 100, 4914–4917. [Google Scholar] [CrossRef] [PubMed]
- Sáez-Plaza, P.; Navas, M.J.; Wybraniec, S.; Michałowski, T.; Asuero, A.G. An Overview of the Kjeldahl Method of Nitrogen Determination. Part II. Sample Preparation, Working Scale, Instrumental Finish, and Quality Control. Crit. Rev. Anal. Chem. 2013, 43, 224–272. [Google Scholar] [CrossRef]
- ISO 6579-1:2017; Microbiology of the Food Chain—Horizontal Method for the Detection, Enumeration and Serotyping of Salmonella—Part 1: Detection of Salmonella spp. [WWW Document]; ISO: Geneva, Switzerland, 2017. Available online: https://www.iso.org/cms/render/live/en/sites/isoorg/contents/data/standard/05/67/72756712.html (accessed on 25 June 2020).
- ISO 16649-2; ISO 16649-2; Microbiology of Food and Animal Feeding Stuffs—Horizontal Method for the Enumeration of 2-Glucoronidase-Positive Escherichia Coli—Part 2: Colony-Count Technique at 44 Degrees Using 5-Bromo-4-Chloro-3-Indolyl 2-D-Glucuronide [WWWDocument]. ISO: Geneva, Switzerland, 2015. Available online: https://infostore.saiglobal.com/en-us/Standards/GOST-ISO-16649-2-2015-551612_SAIG_GOST_GOST_1260029/ (accessed on 12 October 2020).
- Greenburg, A. (Ed.) Standard Methods for the Examination of Water and Wastewater, 16th ed.; American Public Health Association, American Water Works Association and Water Pollution Control Federation: Washington, DC, USA, 1985. [Google Scholar]
- Despacho n.o 1230/2018|DRE. Available online: https://dre.pt/dre/detalhe/despacho/1230-2018-114627305 (accessed on 19 July 2022).
- Van Kessel, J.S.; Reeves, J.B. On-Farm Quick Tests for Estimating Nitrogen in Dairy Manure1. J. Dairy Sci. 2000, 83, 1837–1844. [Google Scholar] [CrossRef]
- Martínez-Suller, L.; Provolo, G.; Brennan, D.; Howlin, T.; Carton, O.T.; Lalor, S.T.J.; Richards, K.G. A Note on the Estimation of Nutrient Value of Cattle Slurry Using Easily Determined Physical and Chemical Parameters. Ir. J. Agric. Food Res. 2010, 49, 5. [Google Scholar]
- Vervoort, R.W.; Radcliffe, D.E.; Cabrera, M.L.; Latimore, M. Nutrient Losses in Surface and Subsurface Flow from Pasture Applied Poultry Litter and Composted Poultry Litter. Nutr. Cycl. Agroecosyst. 1998, 50, 287–290. [Google Scholar] [CrossRef]
- Fangueiro, D.; Pereira, J.L.S.; Macedo, S.; Trindade, H.; Vasconcelos, E.; Coutinho, J. Surface Application of Acidified Cattle Slurry Compared to Slurry Injection: Impact on NH3, N2O, CO2 and CH4 Emissions and Crop Uptake. Geoderma 2017, 306, 160–166. [Google Scholar] [CrossRef]
- Cho, W.-M.; Ravindran, B.; Kim, J.K.; Jeong, K.-H.; Lee, D.J.; Choi, D.-Y. Nutrient Status and Phytotoxicity Analysis of Goat Manure Discharged from Farms in South Korea. Environ. Technol. 2017, 38, 1191–1199. [Google Scholar] [CrossRef]
- Zhao, J.; Zhao, J.; Pullens, J.W.M.; Sørensen, P.; Blicher-Mathiesen, G.; Olesen, J.E.; Børgesen, C.D. Agronomic and Environmental Factors Influencing the Marginal Increase in Nitrate Leaching by Adding Extra Mineral Nitrogen Fertilizer. Agric. Ecosyst. Environ. 2022, 327, 107808. [Google Scholar] [CrossRef]
- Zhao, J.; De Notaris, C.; Olesen, J.E. Autumn-Based Vegetation Indices for Estimating Nitrate Leaching during Autumn and Winter in Arable Cropping Systems. Agric. Ecosyst. Environ. 2020, 290, 106786. [Google Scholar] [CrossRef]
- Wang, Y.; Ying, H.; Yin, Y.; Zheng, H.; Cui, Z. Estimating Soil Nitrate Leaching of Nitrogen Fertilizer from Global Meta-Analysis. Sci. Total Environ. 2019, 657, 96–102. [Google Scholar] [CrossRef]
- Mufwanzala, N.; Dikinya, O. Impact of Poultry Manure and Its Associated Salinity on the Growth and Yield of Spinach (Spinacea Oleracea) and Carrot (Daucus Carota). Int. J. Agric. Biol. Pak. 2010, 12, 489–494. [Google Scholar]
- Masunga, R.H.; Uzokwe, V.N.; Mlay, P.D.; Odeh, I.; Singh, A.; Buchan, D.; De Neve, S. Nitrogen Mineralization Dynamics of Different Valuable Organic Amendments Commonly Used in Agriculture. Appl. Soil Ecol. 2016, 101, 185–193. [Google Scholar] [CrossRef]
- Meers, E.; Velthof, G.L.; Michels, E.; Rietra, R.P.J.J. Biorefinery of Inorganics: Recovering Mineral Nutrients from Biomass and Organic Waste; Wiley: Hoboken, NJ, USA, 2020; ISBN 978-1-118-92145-6. [Google Scholar]
- Eutrophication—European Environment Agency. Available online: https://www.eea.europa.eu/publications/signals-2000/page014.html (accessed on 18 March 2021).
- Di, H.J.; Cameron, K.C.; Moore, S.; Smith, N.P. Nitrate Leaching and Pasture Yields Following the Application of Dairy Shed Effluent or Ammonium Fertilizer under Spray or Flood Irrigation: Results of a Lysimeter Study. Soil Use Manag. 1998, 14, 209–214. [Google Scholar] [CrossRef]
- Salazar, F.; Martínez-Lagos, J.; Alfaro, M.; Misselbrook, T. Low Nitrogen Leaching Losses Following a High Rate of Dairy Slurry and Urea Application to Pasture on a Volcanic Soil in Southern Chile. Agric. Ecosyst. Environ. 2012, 160, 23–28. [Google Scholar] [CrossRef]
- Fangueiro, D.; Gusmão, M.; Grilo, J.; Porfírio, G.; Vasconcelos, E.; Cabral, F. Proportion, Composition and Potential N Mineralisation of Particle Size Fractions Obtained by Mechanical Separation of Animal Slurry. Biosyst. Eng. 2010, 106, 333–337. [Google Scholar] [CrossRef]
- Roboredo, M.; Fangueiro, D.; Lage, S.; Coutinho, J. Phosphorus Dynamics in Soils Amended with Acidified Pig Slurry and Derived Solid Fraction. Geoderma 2012, 189–190, 328–333. [Google Scholar] [CrossRef]
- Fangueiro, D.; Surgy, S.; Fraga, I.; Monteiro, F.G.; Cabral, F.; Coutinho, J. Acidification of Animal Slurry Affects the Nitrogen Dynamics after Soil Application. Geoderma 2016, 281, 30–38. [Google Scholar] [CrossRef]
- Daudén, A.; Quílez, D. Pig Slurry versus Mineral Fertilization on Corn Yield and Nitrate Leaching in a Mediterranean Irrigated Environment. Eur. J. Agron. 2004, 21, 7–19. [Google Scholar] [CrossRef]
- Eriksen, J.; Hermansen, J.E.; Strudsholm, K.; Kristensen, K. Potential Loss of Nutrients from Different Rearing Strategies for Fattening Pigs on Pasture. Soil Use Manag. 2006, 22, 256–266. [Google Scholar] [CrossRef]
- O’ Flynn, C.J.; Healy, M.G.; Lanigan, G.J.; Troy, S.M.; Somers, C.; Fenton, O. Impact of Chemically Amended Pig Slurry on Greenhouse Gas Emissions, Soil Properties and Leachate. J. Environ. Manag. 2013, 128, 690–698. [Google Scholar] [CrossRef] [PubMed]
- Svoboda, N.; Taube, F.; Wienforth, B.; Kluß, C.; Kage, H.; Herrmann, A. Nitrogen Leaching Losses after Biogas Residue Application to Maize. Soil Tillage Res. 2013, 130, 69–80. [Google Scholar] [CrossRef]
- Husson, O. Redox Potential (Eh) and PH as Drivers of Soil/Plant/Microorganism Systems: A Transdisciplinary Overview Pointing to Integrative Opportunities for Agronomy. Plant Soil 2013, 362, 389–417. [Google Scholar] [CrossRef]
- Cordell, D.; Neset, T.-S.S. Phosphorus Vulnerability: A Qualitative Framework for Assessing the Vulnerability of National and Regional Food Systems to the Multi-Dimensional Stressors of Phosphorus Scarcity. Glob. Environ. Chang. 2014, 24, 108–122. [Google Scholar] [CrossRef]
- Chadwick, D.; Wei, J.; Yan’an, T.; Guanghui, Y.; Qirong, S.; Qing, C. Improving Manure Nutrient Management towards Sustainable Agricultural Intensification in China. Agric. Ecosyst. Environ. 2015, 209, 34–46. [Google Scholar] [CrossRef]
- Elser, J.; Bennett, E. A Broken Biogeochemical Cycle. Nature 2011, 478, 29–31. [Google Scholar] [CrossRef]
- MacDonald, G.K.; Bennett, E.M.; Potter, P.A.; Ramankutty, N. Agronomic Phosphorus Imbalances across the World’s Croplands. Proc. Natl. Acad. Sci. USA 2011, 108, 3086–3091. [Google Scholar] [CrossRef]
- Hooda, P.S.; Truesdale, V.W.; Edwards, A.C.; Withers, P.J.A.; Aitken, M.N.; Miller, A.; Rendell, A.R. Manuring and Fertilization Effects on Phosphorus Accumulation in Soils and Potential Environmental Implications. Adv. Environ. Res. 2001, 5, 13–21. [Google Scholar] [CrossRef]
- Leytem, A.B.; Smith, D.R.; Applegate, T.J.; Thacker, P.A. The Influence of Manure Phytic Acid on Phosphorus Solubility in Calcareous Soils. Soil Sci. Soc. Am. J. 2006, 70, 1629–1638. [Google Scholar] [CrossRef]
- Eriksen, J.; Sørensen, P.; Elsgaard, L. The Fate of Sulfate in Acidified Pig Slurry during Storage and Following Application to Cropped Soil. J. Environ. Qual. 2008, 37, 280–286. [Google Scholar] [CrossRef]
- Schils, R.L.M.; van der Meer, H.G.; Wouters, A.P.; Geurink, J.H.; Sikkema, K. Nitrogen Utilization from Diluted and Undiluted Nitric Acid Treated Cattle Slurry Following Surface Application to Grassland. Nutr. Cycl. Agroecosystems 1999, 53, 269–280. [Google Scholar] [CrossRef]
- Gustafsson, J.P.; Mwamila, L.B.; Kergoat, K. The PH Dependence of Phosphate Sorption and Desorption in Swedish Agricultural Soils. Geoderma 2012, 189–190, 304–311. [Google Scholar] [CrossRef]
- Güngör, K.; Jürgensen, A.; Karthikeyan, K.G. Determination of Phosphorus Speciation in Dairy Manure Using XRD and XANES Spectroscopy. J. Environ. Qual. 2007, 36, 1856–1863. [Google Scholar] [CrossRef]
- Li, Y.; Jones, D.L.; Chen, Q.; Chadwick, D.R. Slurry Acidification and Anaerobic Digestion Affects the Speciation and Vertical Movement of Particulate and Nanoparticulate Phosphorus in Soil after Cattle Slurry Application. Soil Tillage Res. 2019, 189, 199–206. [Google Scholar] [CrossRef]
- Loide, V.; Saue, T.; Võsa, T.; Tamm, K. The Effect of Acidified Slurry on Crop Uptake and Leaching of Nutrients from a Loamy Topsoil. Acta Agric. Scand. Sect. B Soil Plant Sci. 2020, 70, 31–38. [Google Scholar] [CrossRef]
- Lehmann, J.; Schroth, G. Nutrient Leaching. In Trees, Crops and Soil Fertility: Concepts and Research Methods; Schroth, G., Sinclair, F.L., Eds.; CABI: Wallingford, UK, 2002; pp. 151–166. ISBN 978-0-85199-593-9. [Google Scholar]
- Havlin, J. (Ed.) Soil Fertility and Fertilizers: An Introduction to Nutrient Management, 6th ed.; Prentice Hall: Upper Saddle River, NJ, USA, 1999; ISBN 978-0-13-626806-2. [Google Scholar]
- Thakur, P.; Kumar, P. Leaching Losses of Micronutrient: A Review. Biol. Forum–Int. J. 2020, 9, 13–21. [Google Scholar]
- Haynes, R.J.; Swift, R.S. Effects of soil acidification and subsequent leaching on levels of extractable nutrients in a soil. Plant Soil 1986, 95, 327–336. [Google Scholar] [CrossRef]
- Decree-Law Nº 236/98 Establishing Quality Standards, Criteria and Objectives in Order to Protect the Aquatic Environment and Improve the Quality of Water According to Its Main Uses. Available online: https://faolex.fao.org/docs/pdf/por24403.pdf (accessed on 25 March 2023).



| Parameter | Mean Value and Standard Error (n = 3) | ||
|---|---|---|---|
| Soil nutrients (mg kg−1) | TN | 914.5 ± 11.4 | |
| NH4+ | 7.5 ± 0.7 | ||
| NO3− | 43.4 ± 3.8 | ||
| Extractable P | 43.4 ± 0.0 | ||
| Extractable K | 336.1 ± 0.0 | ||
| Available Fe | 3851.7 ± 1252.1 | ||
| Available Cu | 26.8 ± 6.3 | ||
| Available Zn | 23.5 ± 3.7 | ||
| Available Mn | 29.5 ± 3.1 | ||
| Exchangeable cations | Ca | 419.1 ± 20.9 | |
| Mg | 161.7 ± 7.0 | ||
| Na | 59.3 ± 17.4 | ||
| Particle Size Distribution (%) | Coarse sand | 71.9 | |
| Fine sand | 20.3 | ||
| Silt | 4.5 | ||
| Clay | 3.3 | ||
| pH | KCl | 5.0 ± 0.0 | |
| H2O | 5.7 ± 0.1 | ||
| EC (µS cm−1) | 74.6 ± 3.6 | ||
| OM (%) | 1.5 ± 0.1 | ||
| Slurry Sample ID | RA | AC | AL | NE | ||
|---|---|---|---|---|---|---|
| Physicochemical parameters | pH | 7.51 ± 0.03 | 5.13 ± 0.08 | 9.0 ± 0.01 | 7.11 ± 0.1 | |
| EC | (mS cm−1) | 14.99 ± 0.32 | 17.13 ± 0.63 | 17.63 ± 0.41 | 19.16 ± 0.61 | |
| DM | (g kg−1) | 88.13 ± 4.39 | 83.72 ± 0.62 | 88.18 ± 2.35 | 95.83 ± 3.19 | |
| OM | (g kg−1) [DM] | 678.07 ± 4.69 | 798.88 ± 147.86 | 670.9 ± 25.41 | 619.08 ± 6.39 | |
| N-NH4+ | (g kg−1) | 1.44 ± 0.03 | 1.38 ± 0.04 | 1.11 ± 0.02 | 1.25 ± 0.01 | |
| TN | 3.59 ± 0.16 | 3.53 ± 0.04 | 3.26 ± 0.02 | 3.40 ± 0.01 | ||
| P | 0.60 ± 0.03 | 0.49 ± 0.04 | 0.55 ± 0.02 | 0.57 ± 0.01 | ||
| K | 2.66 ± 0.16 | 2.08 ± 0.11 | 4.61 ± 0.23 | 4.70 ± 0.13 | ||
| Na | 1.44 ± 0.10 | 1.12 ± 0.05 | 1.47 ± 0.06 | 1.53 ± 0.05 | ||
| Mg | 0.57 ± 0.04 | 0.52 ± 0.12 | 0.54 ± 0.01 | 0.54 ± 0.01 | ||
| Ca | 1.31 ± 0.09 | 1.14 ± 0.1 | 1.30 ± 0.01 | 1.26 ± 0.02 | ||
| S | 0.36 ± 0.02 | 3.04 ± 0.24 | 0.36 ± 0.01 | 3.21 ± 0.12 | ||
| Cu | (mg kg−1) | 3.27 ± 0.27 | 2.95 ± 0.27 | 2.95 ± 0.07 | 2.89 ± 0.11 | |
| Zn | 20.19 ± 1.30 | 17.96 ± 1.6 | 18.70 ± 0.25 | 18.32 ± 0.4 | ||
| Fe | 180.86 ± 14.04 | 193.52 ± 53.74 | 165.80 ± 6.15 | 174.04 ± 24.5 | ||
| Mn | 24.36 ± 1.56 | 21.04 ± 1.67 | 22.71 ± 0.16 | 22.27 ± 0.3 | ||
| B | 2.67 ± 0.19 | 2.90 ± 0.7 | 2.48 ± 0.1 | 2.45 ± 0.08 | ||
| Microbiological parameters | E. coli | CFU g−1 | 1.56 × 104 | 1.62 × 103 | 1.40 × 103 | 3.23 × 103 |
| Salmonella | Not detected in 25 g | |||||
| Nutrient | Units | RA | AC | AL | NE | MN |
|---|---|---|---|---|---|---|
| N-NO3− | % of N applied | 11.04 ± 2.92 bc | 16.06 ± 3.26 b | 14.17 ± 0.33 bc | 5.98 ± 3.26 c | 50.34 ± 7.65 a |
| N-NH4+ | 2.59 ± 0.25 b | 16.75 ± 1.37 c | 7.40 ± 1.17 a | 16.58 ± 2.20 c | 19.68 ± 3.37 c | |
| T-P | % of T-P applied | 29.53 ± 19.63 a | 18.01 ± 9.78 a | 33.37 ± 22.02 a | 23.15 ± 13.80 a | - |
| T-K | % of T-K applied | 5.38 ± 6.97 b | 13.63 ± 1.91 ab | 5.38 ± 6.97 b | 24.22 ± 2.78 a | - |
| T-S | % of T-S applied | 69.43 ± 8.59 c | 87.16 ± 2.88 ab | 92.42 ± 7.12 a | 78.45 ± 5.65 bc | - |
| Leachate Sample ID | Time after Fertilizer Application (d) | Na | Ca | Mg | Fe | Cu | Zn | Mn | B |
|---|---|---|---|---|---|---|---|---|---|
| mg L−1 | |||||||||
| RA | 3 | 49.22 ± 2.44 b | 108.88 ± 18.72 c | 22.19 ± 4.69 bc | 5.74 ± 2.05 a | 0.25 ± 0.0 def | 0.19 ± 0.0 def | 3.51 ± 0.57 bc | 0.065 ± 0.010 ab |
| 10 | 32.63 ± 3.15 de | 58.78 ± 3.97 de | 12.25 ± 0.79 def | 2.91 ± 0.71 abcde | 0.94 ± 0.34 ab | 0.37 ± 0.07 abc | 2.15 ± 0.50 cd | 0.027 ± 0.004 f | |
| 17 | 26.39 ± 3.86 ef | 19.16 ± 2.19 gh | 3.61 ± 0.53 g | 2.45 ± 0.45 bcde | 0.71 ± 0.18 bcd | 0.26 ± 0.05 cde | 0.41 ± 0.22 def | 0.040 ± 0.005 cdef | |
| AC | 3 | 68.91 ± 4.42 a | 199.20 ± 22.92 a | 41.22 ± 5.35 a | 3.48 ± 1.44 abc | 0.17 ± 0.03 ef | 0.46 ± 0.13 a | 8.25 ± 1.72 a | 0.056 ± 0.004 abcd |
| 10 | 49.91 ± 5.54 b | 81.67 ± 10.27 d | 19.15 ± 4.94 cd | 2.40 ± 0.71 bcde | 0.41 ± 0.11 cdef | 0.43 ± 0.07 a | 4.26 ± 1.15 b | 0.062 ± 0.009 ab | |
| 17 | 17.45 ± 1.63 gh | 15.60 ± 3.05 h | 3.39 ± 0.70 g | 2.18 ± 0.30 bcde | 0.65 ± 0.12 bcde | 0.26 ± 0.05 cde | 0.52 ± 0.27 def | 0.066 ± 0.006 a | |
| AL | 3 | 50.45 ± 1.97 b | 111.39 ± 11.82 c | 22.87 ± 2.70 bc | 2.43 ± 1.47 bcde | 0.24 ± 0.02 def | 0.13 ± 0.03 defg | 3.62 ± 0.44 bc | 0.048 ± 0.004 abcde |
| 10 | 35.64 ± 3.92 cd | 44.09 ± 8.47 efg | 8.94 ± 2.00 efg | 5.93 ± 2.68 a | 1.25 ± 0.56 a | 0.40 ± 0.07 ab | 2.00 ± 0.44 cde | 0.032 ± 0.002 ef | |
| 17 | 23.60 ± 2.75 fg | 20.09 ± 1.33 gh | 3.88 ± 0.48 g | 3.33 ± 0.83 abcd | 0.84 ± 0.22 abc | 0.27 ± 0.04 bcd | 0.48 ± 0.18 def | 0.038 ± 0.003 def | |
| NE | 3 | 62.19 ± 4.80 a | 150.75 ± 13.20 b | 26.54 ± 6.16 b | 1.57 ± 0.24 cde | 0.21 ± 0.05 ef | 0.12 ± 0.07 fg | 3.93 ± 1.50 b | 0.048 ± 0.004 abcde |
| 10 | 49.92 ± 5.20 b | 75.62 ± 4.29 d | 15.96 ± 1.70 cde | 4.78 ± 2.10 ab | 0.69 ± 0.02 bcd | 0.12 ± 0.04 efg | 2.87 ± 0.49 bc | 0.026 ± 0.012 f | |
| 17 | 31.78 ± 3.11 def | 30.39 ± 2.25 fgh | 4.57 ± 1.05 g | 2.55 ± 1.74 bcde | 0.59 ± 0.28 bcdef | 0.16 ± 0.06 defg | 0.28 ± 0.19 ef | 0.057 ± 0.015 abc | |
| MN | 3 | 43.50 ± 1.50 bc | 140.71 ± 16.17 b | 20.32 ± 1.99 bc | 0.65 ± 0.18 cde | 0.18 ± 0.02 ef | 0.03 ± 0.02 g | 2.07 ± 0.55 cd | 0.047 ± 0.004 bcde |
| 10 | 11.69 ± 0.96 hi | 30.94 ± 2.97 fgh | 4.61 ± 0.56 g | 0.66 ± 0.16 cde | 0.40 ± 0.03 cdef | 0.09 ± 0.01 fg | 0.25 ± 0.07 ef | 0.032 ± 0.002 ef | |
| 17 | 5.99 ± 0.82 i | 28.58 ± 2.36 fgh | 3.89 ± 0.28 g | 0.25 ± 0.03 e | 0.23 ± 0.04 def | 0.07 ± 0.01 fg | 0.18 ± 0.14 f | 0.061 ± 0.002 ab | |
| CT | 3 | 33.85 ± 1.55 de | 49.19 ± 1.54 ef | 7.62 ± 0.35 fg | 0.61 ± 0.16 cde | 0.21 ± 0.02 ef | 0.07 ± 0.01 fg | 0.66 ± 0.05 def | 0.047 ± 0.002 bcde |
| 10 | 15.23 ± 1.35 h | 27.99 ± 2.7 fgh | 4.66 ± 0.53 g | 0.41 ± 0.17 de | 0.18 ± 0.01 ef | 0.05 ± 0.01 g | 0.26 ± 0.08 ef | 0.032 ± 0.001 ef | |
| 17 | 9.28 ± 1.84 hi | 20.19 ± 1.62 gh | 3.05 ± 0.32 g | 0.23 ± 0.10 e | 0.12 ± 0.02 f | 0.04 ± 0.01 g | 0.13 ± 0.01 f | 0.057 ± 0.009 abc | |
Disclaimer/Publisher’s Note: The statements, opinions and data contained in all publications are solely those of the individual author(s) and contributor(s) and not of MDPI and/or the editor(s). MDPI and/or the editor(s) disclaim responsibility for any injury to people or property resulting from any ideas, methods, instructions or products referred to in the content. |
© 2023 by the authors. Licensee MDPI, Basel, Switzerland. This article is an open access article distributed under the terms and conditions of the Creative Commons Attribution (CC BY) license (https://creativecommons.org/licenses/by/4.0/).
Share and Cite
Rodrigues, J.; Fragoso, R.; Brito, L.; Fangueiro, D. Impact of Sandy Soil Amendment with Dairy Slurry Treated through pH Adjustment on Nutrient and Coliform Leaching. Agronomy 2023, 13, 1176. https://doi.org/10.3390/agronomy13041176
Rodrigues J, Fragoso R, Brito L, Fangueiro D. Impact of Sandy Soil Amendment with Dairy Slurry Treated through pH Adjustment on Nutrient and Coliform Leaching. Agronomy. 2023; 13(4):1176. https://doi.org/10.3390/agronomy13041176
Chicago/Turabian StyleRodrigues, Joana, Rita Fragoso, Luísa Brito, and David Fangueiro. 2023. "Impact of Sandy Soil Amendment with Dairy Slurry Treated through pH Adjustment on Nutrient and Coliform Leaching" Agronomy 13, no. 4: 1176. https://doi.org/10.3390/agronomy13041176
APA StyleRodrigues, J., Fragoso, R., Brito, L., & Fangueiro, D. (2023). Impact of Sandy Soil Amendment with Dairy Slurry Treated through pH Adjustment on Nutrient and Coliform Leaching. Agronomy, 13(4), 1176. https://doi.org/10.3390/agronomy13041176

