Next Article in Journal
A Comparison of Different Remote Sensors for Ramie Leaf Area Index Estimation
Previous Article in Journal
Effects of Planting Practices on Soil Organic Carbon during Old Apple Orchards’ Reconstruction on the Loess Plateau
 
 
Font Type:
Arial Georgia Verdana
Font Size:
Aa Aa Aa
Line Spacing:
Column Width:
Background:
Article

Chemical Characteristics Analysis and Quality Assessment of Reed-Based Spent Mushroom Substrate

1
Key Laboratory of Wetland Ecology and Environment, Northeast Institute of Geography and Agroecology, Chinese Academy of Sciences, Changchun 130102, China
2
University of Chinese Academy of Sciences, Beijing 100049, China
*
Author to whom correspondence should be addressed.
Agronomy 2023, 13(3), 898; https://doi.org/10.3390/agronomy13030898
Submission received: 9 February 2023 / Revised: 11 March 2023 / Accepted: 15 March 2023 / Published: 17 March 2023
(This article belongs to the Section Grassland and Pasture Science)

Abstract

Chemical characteristics analysis and quality assessment is necessary before choosing a sustainable utilization way for spent mushroom substrate (SMS) disposal. Therefore, three varieties SMS of Pleurotus spp. cultivated on reed were taken as samples to analyze chemical characteristics on the feed and fertilizer nutrients, and mineral elements. All SMS were acidic, pH was 5.26–5.51. There was no significant difference on the contents of fiber, carbon, pH, Pb, Cd, Hg, and As in three SMS, but they were lower than that in substrate (S), expect of Pb and Cd. The principal component analysis based on 25 variables showed that 2 components explained 72.2% of the quality variation in SMS. The first component (56.8%) differentiated S, SMS of Pleurotus eryngii (SMS-P.E) from SMS of P. ostreatus and P. citrinopileatus (SMS-P.C, SMS-P.O). The second component (15.4%) differentiated SMS-P.C from SMS-P.O. The contents of total sugar, total amino acids, total potassium, crude polysaccharide, and crude lipid were similar between S and SMS-P.E. The contents of crude protein, ash, total nitrogen, Ca, Zn, Cu, and Mn in SMS-P.E were even more than that in S. The feed and fertilizer parameters of total sugar, amino acids, crude protein, total nitrogen, and total phosphorus were much lower in SMS-P.C than SMS-P.O. Therefore, a utilization suggestion was provided: according to the contents of total carbon and nitrogen, neutral detergent fiber and Ca, SMS-P.E grown on reed could be considered as materials for secondary cultivation of mushroom; based on the parameters of crude protein, amino acids, total sugar, SMS-P.O was more fit for utilization as feed and fertilizer than that of P. citrinopileatus; SMS-P.C could be used as fertilizer.

1. Introduction

The top three cultivated mushrooms in the world are Lentinula (shiitake), Pleurotus (oyster mushroom), and Auricularia (wood ear mushrooms) [1]. Pleurotus cultivation has gained popularity due to its high nutritional value and ability to grow on diverse substrates, and does not require any intensive care [2]. China is the major producer and consumer of Pleurotus spp., accounting for nearly 90% of the total world production [3]. With the increased cultivation of Pleurotus spp. mushroom, the production of spent mushroom substrates (SMS) is huge. During the mushroom cultivation process, 15–25% of the mushroom substrates’ components are used by mushroom, and 75–85% remain in the SMS [4]. Usually, SMS is available in huge amounts underlined by the fact that 1 kg of fresh mushrooms results in 2 kg dry weight of spent substrate [5]. Therefore, the utilization and disposal of SMS cannot be ignored, which has an important environmental and ecological impact.
SMS are mostly disposed of in landfills and open burning in the past [6,7]. Landfilling causes large-scale eutrophication of surface water bodies [8]. Open burning results in airborne hazards [7]. The traditional methods of utilization on SMS are not friendly to the environment. At present, recycling utilization of SMS is conducive to environmental protection and sustainable development of resources [9]. For example, SMS can be reused as a source of lignocellulosic enzymes [10], fertilizer, and animal feed [2], substrates to cultivate other mushrooms, materials for organo-pollutants biodegradation [2,11,12], and bioethanol production [13], materials for construction [1] and energy [14]. SMS is rich in cellulose, lignin, vitamins, and other bioactive substances [15]. As animal feed, NDF, ADF, ash, and protein in SMS added in feed could be ensure easy digestibility by ruminant [16]. It also may be used to feed fish, poultry, pigs, cows, and insects [1,17,18,19]. However, it remains a challenging task to choose more scientific and efficient utilization methods, to establish a sustainable avenue for SMS disposal [20]. Therefore, the chemical analysis and comprehensive assessment of SMS is the premise of selecting the utilization method of SMS resources.
The chemical characteristics of SMS are mainly influenced by the cultivational materials, mushroom varieties, and cultivation methods. Pleurotus spp. can be cultivated by agricultural waste [21], grass plants [22], and trees sawdust [23]. In recent years, the cultivation of mushroom by using natural herbs [22] and wetland plants [24] became popular. In particular, there are many research reports on the cultivation of oyster mushroom by reed [25,26,27,28]. Phragmites australis (common reed) is a rhizomatic and perennial herb that is widely distributed in the world with high environmental adaptability. Reeds RE the dominant species in salt marsh, with function of ecological security barrier and economic value. In Western of Songnen Plain in Northeast China, reed wetland has an important ecological significance for the prevention and control of saline–alkali land. Diversified utilization of wetland reed can promote the conservation and restoration of wetlands, and continue to perform their ecological functions. Reed was mainly used as materials for papermaking and energy in the local areas. Since 2017, efforts have been made to use wetland reed as a substrate for cultivating mushroom [27]. However, with the development of the technologies of mushroom cultivation on reed, the disposal of SMS is also an important environmental problem.
Our objective was that we tried to maximum efficiency of using reed-based SMS. The hypothesis was that the chemical characteristics of reed-based SMS were affected by different Pleurotus spp. The chemical analysis and comprehensive assessment on SMS from cultivation mushroom on reed is necessary before utilization. Therefore, three varieties SMS of Pleurotus spp. cultivated on reeds were chosen to determine nutrients and chemical characteristics. The objective was to provide a scientific basis and suggestion for SMS resource utilization.

2. Materials and Methods

2.1. Study Areas

Reed substrates was from an inland saline-alkaline marsh named Niuxintaobao Wetlands (45°13′ N, 123°21′ E) in Northeast China. The soil type is marsh saline soil and alkali soil with significant capacity and poor texture, the characteristics of the soil were high pH (8.0–10.5) and salinity (0.1–1.6%) [29].

2.2. SMS Collection of P. australis Substrate

The cylindrical bag cultivation experiments of mushroom on reed substrates were conducted between May and August in 2019 [28]. The mushroom cultivation had three stages, (1) sterile sticks preparation, (2) inoculation and mycelial culture, and (3) management of mushroom fruiting [28]. The sterile sticks weighed approximately 1.3 kg of fresh mass (FM), containing reed (50%), corn cob (38%), bran (5%), bean cake (5%), gypsum (1%), and lime (1%), with a water content of 55–60.0%. Mushroom strains of P. eryngii (P.E), P. ostreatus (P.O), and P. citrinopileatus (P.C) were provided by Jilin Agriculture University. The inoculated sticks were put in a sterile and dark room for mycelial cultivation. Twenty-five days were needed for mycelial overgrowth with air temperature of 25 °C and humidity of 60–65%, respectively. Then, the sticks were moved to cultivational room overshadowed for management of mushroom fruiting, with a temperature of 20–25 °C, air humidity of 70–90%, respectively. Ventilation was provided both for mycelial culture and management of mushroom fruiting.
Spent mushroom substrates (SMS) were collected after harvesting three flushes of mushroom in September. The SMS from P. eryngii (SMS-P.E), P. ostreatus (SMS-P.O) and P. citrinopileatus (SMS-P.C) were collected separately. The substrate (S) was taken as control after sterilization and before edible fungus inoculation. The polypropylene bags outside of edible fungus sticks, were removed from SMS. All samples were then dried at 60 °C for 48 h to a constant weight, smashed to powder, and used for the determination of chemical composition.

2.3. Chemical Analysis of SMS

Samples of S and SMS were dried at 60 °C to a constant weight, then ground into a coarse powder using a mill. Twenty-five parameters were chosen to describe the chemical characteristics of SMS (Table 1).

2.3.1. Determination Parameters for Feed Nutrient

The contents of eight parameters, neutral detergent fiber (NDF), acid detergent fiber (ADF), ash, crude protein (CP), amino acids (AA), the total sugar (TS), crude polysaccharide (CPA), and crude lipid (CL) were analyzed.
NDF and ADF were determined by the Van S washing method [30]. Ash content was measured using the rapid ash method. CP was calculated using total nitrogen content (respective measurements were verified by the macro Kjeldahl method using a Kjeltec analyzer unit) by employing the converting factor 6.25 [31]. AA composition, including alanine (Ala), arginine (Arg), aspartic acid (Asp), tyrosine (Tyr), glutamic acid (Glu), glycine (Gly), histidine (His), isoleucine (Ile), leucine (Leu), lysine (Lys), methionine (Met), phenylalanine (Phe), proline (Pro), serine (Ser), threonine (Thr), and valine (Val), was determined by ion exchange chromatography (IEC) according to an existing method [32]. The total content of AA was calculated by the sixteen components. TS content was determined according to the measuring methods standard (GB/T 15672-2009). CPA content was measured by the methods described in the determination standard (NY/T 1676-2008). CL content was determined according to the standard of GB/T 6433-2006.

2.3.2. Determination Parameters for Fertilizer Nutrients

The contents of six parameters, pH, total carbon (TC), total nitrogen (TN), total phosphorus (TP), total potassium (TK), and Ca were measured.
The pH was determined using PHS-3 (INESA Co. Limited, Shanghai, China), in a suspension (SMS:water = 1:5) after 1 h end-over-end shaking at 25 °C. Total carbon was measured according to the H2SO4-K2Cr2O7 oxidation method. TN and TP were determine using a SAN++ continuous flow chemical analyzer (SKALAR Analytical Instruments, Netherlands). TK and Calcium were determined by atomic absorption spectrometry (AAS). C/N was calculated.

2.3.3. Microelement and Heavy Metal Characteristics

The contents of five parameters Cu, Fe, Zn, and Mn were determined by atomic absorption spectrometry (AAS, GB/T13885-2017; GB/T13080-2018), Se were measured using method of heavy metals in feed.
Heavy metal contents of Cd, Cr, Hg, and Pb were determined by atomic absorption spectrometry (AAS, GB/T13885-2017; GB/T13080-2018), As and Ni were measured using method of heavy metals in feed.

2.4. Statistical Analysis

Differences in nutrients and chemical composition were analyzed by using one-way analysis of variance in SPSS 17.0 (SPSS Inc., Chicago, IL, USA) among different variety of SMS, and plotted in a histogram using Microsoft Office Excel 2007. A transformation was necessary to satisfy the statistical requirement if the data were not normally distributed. Different treatments were analyzed using the least-significant difference method for multiple comparisons (p < 0.05).
Principal component analysis (PCA) was used to investigate the patterns of categorical parameters assessed using SPSS 17.0. The original variables were transformed into new uncorrelated variables, where each principal component is a linear combination of the original variables [33].

3. Results

3.1. Organic Compounds of SMS

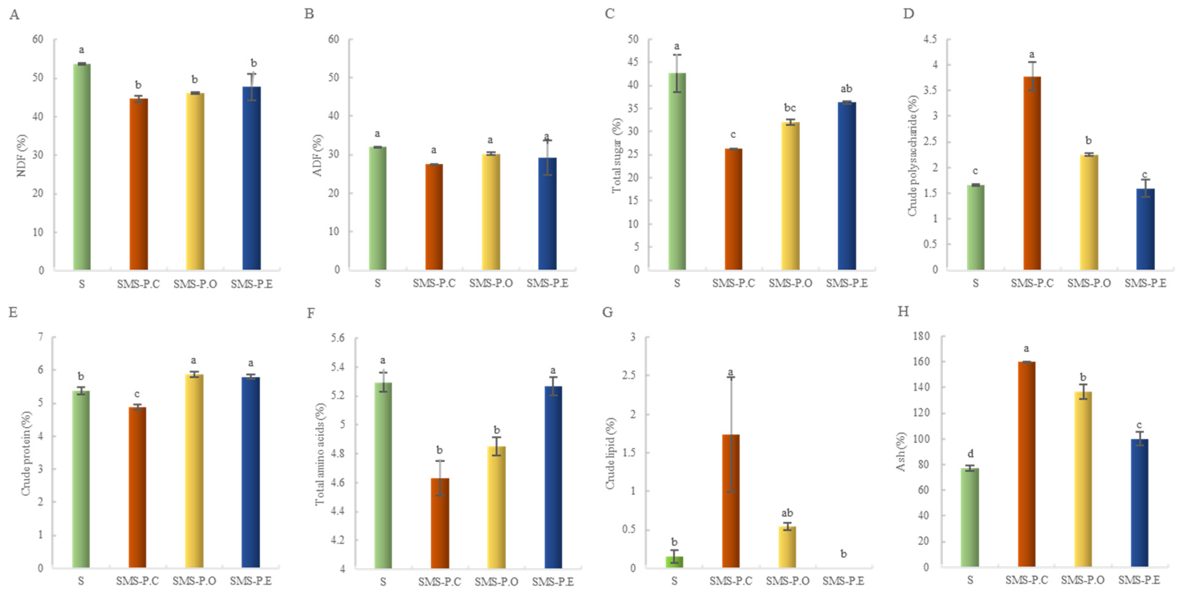
No significant differences were found on the contents of ADF under different SMS treatments (Figure 1B). The change tendency in contents of CPA, CL, and ash were similar, in that they were the highest in SMS-P.C, followed by SMS-P.O and SMS-P.E. The contents of CPA and CL were not significant difference between SMS-P.E and S (Figure 1D,G,H). The contents of NDF, TS, and AA were similar, in that they were the lowest in SMS-P.C, followed by SMS-P.O and SMS-P.E. The content of TS and AA were not significant difference between SMS-P.E and S (Figure 1A,C,F). The content of crude protein in SMS-P.O and SMS-P.E were higher than that in S and SMS-P.C (Figure 1E).
His and Glu are the most abundant components both in S and SMS (Figure 2). His did not change significantly in different treatments. The contents of Glu in SMS were lower than that of S. The changes tendency of Asp, Pro, and Gly in different treatments were similar with His. The change tendency of Thr, Ser, Ala, Val, Ile, and Leu in SMS-P.C and SMS-P.O were lower than that in S and SMS-P.E. The changes tendency of Met, Tyr, Phe, Lys, and Arg in different treatments, were similar with Glu. Total free AA was lower than that in other treatments.

3.2. Chemical Characteristics of SMSp

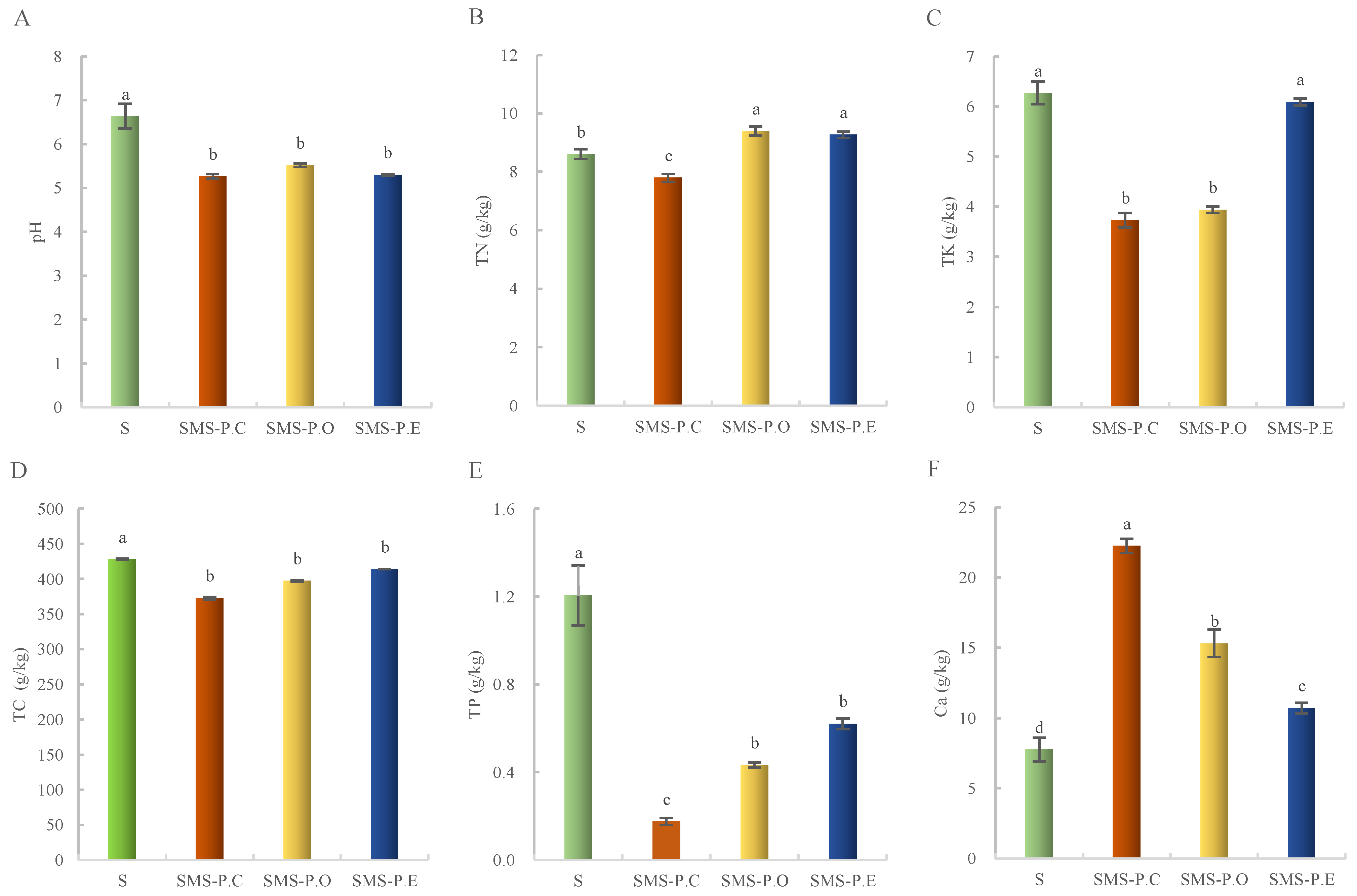
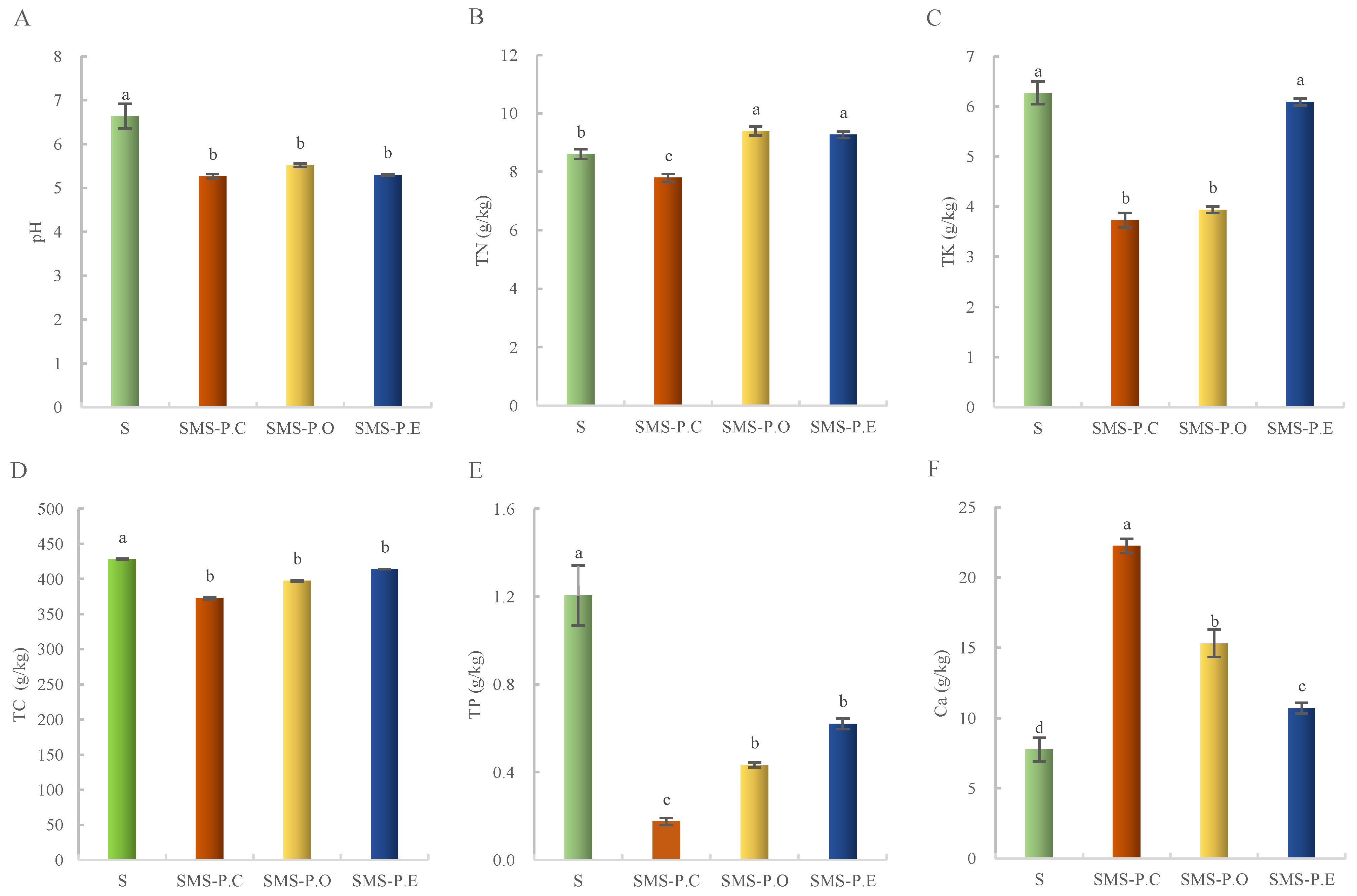
Compared with S, the pH, C, and TP were all decreased in SMSs, but there was no significant difference in the values of pH and C among SMSs; TP was the lowest in SMS-P.C, and lower in SMS-P.O (Figure 3A,D,E, p < 0.05). The pH in S treatment was close to neutral (6.64); however, all SMSs were acidic (5.26–5.51). The carbon content in S treatment was 481 g/kg but decreased to 405–427 g/kg in SMSs. The K content was higher markedly in S and SMS-P.E than that in SMS-P.C and SMS-P.O (Figure 3C).
The characteristics of TN content in different treatments were similar with CP, that was higher in SMS-P.O and SMS-P.E than that in S and SMS-P.C (Figure 3B). The characteristics of Ca content was similar to ash, in that it was the highest in SMS-P.C, followed by SMS-P.O; however, it was the lowest in S (Figure 3F).

3.3. Microelements and Heavy Metals in SMS

Zn content was lower in SMSs than S and was higher in SMS-P.E than the other two SMS treatments. Fe content was higher in SMS-P.C and S than in SMS-P.O and SMS-P.E. Mn content was similar in S and SMS-P.O, both were lower than that in SMS-P.C and SMS-P.E. Cu content was higher in SMS-P.C and SMS-P.E than in S and SMS-P.O. Se content was higher in SMS-P.O than other treatments (Table 2).
The concentration of Cd and Hg was very low in all SMS samples, and lower than food safety standards (2002 GB). Compared with S, the contents of Pb and Ni increased significantly in SMSs, and the levels were higher in SMS-P.C. Compared with S, the contents of Cr and As decreased in SMSs, and the levels were lower in SMS-P.O (Table 3).

3.4. Principal Component Analysis of SMS

The PCA based on 25 chemical and nutrient parameters showed that 2 components explained 72.2% of the quality variation in SMS (Figure 4). The first component (56.8%) replaced 17 of the parameters. The second component (15.4%) replaced 8 of the parameters.
The first component differentiated S and SMS-P.E from SMS-P.C and SMS-P.O. The second component differentiated S and SMS-P.C from SMS-P.O and SMS-P.E. S was characterized by TC, TS, TP, and Zn. SMS-P.C was characterized by CP, Ash, Cu, Ni, and Ca. SMS-P.O was characterized by CL. SMS-P.E was characterized by TK, Mn, and AA (Figure 4).

4. Discussion

As a natural grass, reed was used to cultivate three varieties of oyster mushrooms, and, consequently, SMS had different compounds and chemical elements composition. The chemical characteristics of SMS depend on the mushroom species used on the substrate [2], which could be used as feed, fertilizer, or mushroom substrates for second cultivation in agricultural field.
When the reed was used to cultivate oyster mushroom, the CP contents in SMS was higher than that in substrates [25]. It was consistent with our study, that the CP contents of SMS-P.O and SMS-P.E were higher than that in S treatment (Figure 1E). SMS contained residual substrate and mycelium. The increment of nutrients might be from residual mycelial. The SMS containing higher CP has potential for use in ruminant feed, i.e., as roughage or in silage [25]. Increment of CP, CPA, and CL can increase the palatability and health of the feed. The decrement of nutrients in SMS indicated that compounds in substrates were consumed by mushroom growth. Due to the contents of CP and AA in mushroom were significantly higher in P. citrinopileatus than the other two mushrooms [28], the residual of CP and AA in SMS was relatively lower (Figure 1E,F). However, it was interesting that the content of TS in P. eryngii was the highest in both the mushrooms and SMS (Figure 1C).
The fiber quality was better in SMS from reed than that from agro-wastes substrate [34]. Reed could be considered as an alternate of sawdust, NDF contents of reed-based SMS in the present study were similar with SMS from sawdust [35] (Table 4), and even more NDF and ADF contents in SMS when cultivating P. eryngii condition (the difference was 7–16%) [36]. The first component (56.8%) of differentiated S and SMS-P.E from SMS-P.C and SMS-P.O. The contents of TS, AA, TK, CPA, and CL were similar between S and SMS-P.E. The contents of CP, Ash, TN, Ca, Zn, Cu, and Mn in SMS-P.E were even more than that in S. Therefore, SMS-P.E could be considered as materials for secondary cultivating mushrooms directly (experiments have been completed to prove this opinion). SMS is rich in C, N, and other mineral nutrients [37,38], and are needed by other edible fungi for the growth and reproduction of nutrients naturally. SMS used to cultivate other mushrooms can reduce the production cost of edible fungi. Of course, SMS-P.O and SMS-P.C can also be used to cultivate mushroom after supplementing some ingredient [1], such as, the formulation of 40% substitution of SMS had the highest biological efficiency, in the secondary cultivation of bisporus mushroom [39]; button mushrooms can be produced on SMS from straw complemented with 20% vermicompost or sunflower seed hulls [40].
The amount of SMS added to the feed is very important for animals’ growth. of the most supplementation of SMS to feed is lower than 20% [41]. Using SMS from reed to feed fish or crab is the research that we want to do in the future, in the cycle utilization of Figure S1. Comparison with non-Pleurotus spp. [9,41,42], the carbon contents were higher in three kinds of SMS in this study, but the nitrogen was lower, which leading to a high C/N (Figure 3). Comparison with SMS of Pleurotus spp. grown on other substrates, reed-based SMS in this study still had superiority in contents of carbon and C/N. The carbon and nitrogen value of SMS was similar with the contents in the study of Liu et al. [43], but there was a difference on pH, the SMS of reed was acidic. Using reed to cultivate Pleurotus spp., there was a significant increase in TN concentration and reduction in TP in SMS [25] (Figure 3). Therefore, both SMS-P.O and SMS-P.E can be considered as feed supplements.
SMS used as fertilizer was friendly for environments and food security. The nitrate contents of vegetables with adding SMS were lower than the legal limit and lower than that with chemical fertilizer [12]. Experimental research has proved that adding SMS (10% of dry weight) to pig manure composting could reduce the N2O, Me2S, Me2SS, and H2S emissions by over 30% [43]. Moreover, SMS fertilizer reduces NH3 emissions by 36% when compared to a corn stover [44]. A continuous application of SMS to paddy fields for 10 years could significantly increase the contents of SOC, humic carbon, and humic acid carbon, but the amount of SMS was not the best in the largest quantities, the highest amount was 9574.5 kg hm−2 [9]. Therefore, according to the nutrients in SMS-P.C, it could be considered as fertilizer. Of course, SMS-P.E and SMS-P.O were also fit for fertilizer utilization, but they could have more cycling uses. That is why a quality analysis and nutrient assessment is necessary before choosing a utilization way. Further research will be conducted to research the cost-benefit analysis of using three kinds of SMS as cultivated materials, feed supplement and fertilizer.
In the future, more SMS will be produced, with the increasing tendency of mushroom cultivation on reed. It is suggested to classify the SMS. The reuses of SMS would depend on the chemical analysis and assessments.

5. Conclusions

Characteristics analysis and quality assessment of reed-based SMS is necessary before choosing their utilization way. The mushroom strains of Pleurotus spp. had significant effects on SMS. More than 12 parameters (TC, TN, NDF, TS, and so on) indicated the advantage of SMS-P.E as secondary cultivational substrates. According to the nutrient comparison (crude protein, amino acids, and total sugar) with other SMS utilization as feed, reed-based SMS had superiority in contents of carbon and C/N, both of SMS-P.O and SMS-P.E can be considered as feed supplements. SMS of P. citrinopileatus grown on reed could be used as fertilizer.

Supplementary Materials

The following supporting information can be downloaded at: https://www.mdpi.com/article/10.3390/agronomy13030898/s1, Figure S1: Circle uses in P. australis marsh.

Author Contributions

Conceptualization, methodology, software, validation, investigation, data curation, writing—original draft preparation, writing—review and editing, visualization, supervision, project administration, funding acquisition, X.L.; resources, formal analysis, M.W.; All authors have read and agreed to the published version of the manuscript.

Funding

This research was funded by the Strategic Priority Research Program of the Chinese Academy of Sciences, Grant No. XDA28110401, XDA23060404.

Data Availability Statement

The data used during the current study are available from the corresponding author on reasonable request.

Acknowledgments

We thank Mingyang Cui, who helped to make biplot of principal component analysis PCA.

Conflicts of Interest

The authors declare no conflict of interest.

References

  1. Grimm, D.; Wösten, H.A.B. Mushroom cultivation in the circular economy. Appl. Microbiol. Biotechnol. 2018, 102, 7795–7803. [Google Scholar] [CrossRef]
  2. Mohd Hanafi, F.H.; Rezania, S.; Mat Taib, S.; Md Din, M.F.; Yamauchi, M.; Sakamoto, M.; Hara, H.; Park, J.; Ebrahimi, S.S. Environmentally sustainable applications of agro-based spent mushroom substrate (SMS): An overview. J. Mater. Cycles Waste Manag. 2018, 20, 1383–1396. [Google Scholar] [CrossRef]
  3. Royse, D.J.; Rhodes, T.W.; Ohga, S.; Sanchez, J.E. Yield, mushroom size and time to production of Pleurotus cornucopiae (oyster mushroom) grown on switch grass substrate spawned and supplemented at various rates. Bioresour. Technol. 2004, 91, 85–91. [Google Scholar] [CrossRef] [PubMed]
  4. Moon, Y.H.; Jeong, C.S. Feeding value of spent mushroom (Pleurotus eryngii) substrate. J. Mushroom 2012, 10, 236–243. [Google Scholar] [CrossRef]
  5. Finney, K.N.; Ryu, C.; Sharifi, V.N.; Swithenbank, J. The reuse of spent mushroom compost and coal tailings for energy recovery: Comparison of thermal treatment technologies. Bioresour. Technol. 2009, 100, 310–315. [Google Scholar] [CrossRef]
  6. Carrasco, J.; Zied, D.C.; Pardo, J.E.; Preston, G.M.; Pardo-Giménez, A. Supplementation in mushroom crops and its impact on yield and quality. AMB Express 2018, 8, 146. [Google Scholar] [CrossRef]
  7. Oanh, N.T.K.; Permadi, D.A.; Hopke, P.K.; Smith, K.R.; Dong, N.P.; Dang, A.N. Annual emissions of air toxics emitted from crop residue open burning in Southeast Asia over the period of 2010–2015. Atmos. Environ. 2018, 187, 163–173. [Google Scholar] [CrossRef]
  8. Rahi, D.K.; Rahi, S.; Pandey, A.K.; Rajak, R.C. Enzymes from mushrooms and their industrial application. In Advances in Fungal Biotechnology; Rai, M., Ed.; IK International Publishing House Pvt. Ltd.: New Dehli, India, 2009; pp. 136–184. [Google Scholar]
  9. Li, F.; Kong, Q.; Zhang, Q.; Wang, H.; Wang, L.; Luo, T. Spent mushroom substrates affect soil humus composition, microbial biomass and functional diversity in paddy fields. Appl. Soil Ecol. 2020, 149, 103489. [Google Scholar] [CrossRef]
  10. Phan, C.W.; Sabaratnam, V. Potential uses of spent mushroom substrate and its associated lignocellulosic enzymes. Appl. Microbiol. Biotechnol. 2012, 96, 863–873. [Google Scholar] [CrossRef] [PubMed]
  11. Tran, H. Vermicomposting of Spent Mushroom Compost Using Perionyxexkavatus and Artificial Nutrient Compound. Int. J. Environ. Agric. Res. 2016, 2, 101–109. [Google Scholar]
  12. Gobbi, V.; Nicoletto, C.; Zanin, G.; Sambo, P. Specific humus systems from mushrooms culture. Appl. Soil Ecol. 2018, 123, 709–713. [Google Scholar] [CrossRef]
  13. Oguri, E.; Takimura, O.; Matsushika, A.; Inoue, H.; Sawayama, S. Bioethanol Production by Pichia stipitis from Enzymatic Hydrolysates of Corncob-based Spent Mushroom Substrate. Food Sci. Technol. Res. 2011, 17, 267–272. [Google Scholar] [CrossRef]
  14. Li, Y.J.; Sun, G.Q.; Guo, J.F.; Wang, H.Y.; Pang, J.; Xie, Y.J. Latest research progress and utilization on spent mushroom substrate. Edible Fungi China 2017, 35, 1–4, (Chinese with English Abstract). [Google Scholar] [CrossRef]
  15. Medina, E.; Paredes, C.; Bustamante, M.; Moral, R.; Moreno-Caselles, J. Relationships between soil physico-chemical, chemical and biological properties in a soil amended with spent mushroom substrate. Geoderma 2012, 173–174, 152–161. [Google Scholar] [CrossRef]
  16. Fazaeli, H.; Shafyee-Varzeneh, H.; Farahpoor, A.; Moayyer, A. Recycling of mushroom compost wheat straw in the diet of feedlot calves with two physical forms. Int. J. Recycl. Org. Waste Agric. 2014, 3, 3. [Google Scholar] [CrossRef]
  17. Paripuranam, T.D.; Divya, V.V.; Ulaganathan, P.; Balamurugan, V.; Umamaheswari, S. Replacing fish meal with earthworm and mushroom meals in practival diets of Labeo rohita and Hemigrammus caudovittatus fingerlings. Indian J. Anim. Res. 2011, 45, 115–119. [Google Scholar]
  18. Vega, F.E.; Blackwell, M. Insect-Fungal Associations: Ecology and Evolution; Oxford University Press: New York, NY, USA, 2005; ISBN 9780195166521. [Google Scholar]
  19. Cline, A.R.; Leschen, R.A.B. Coleoptera associated with the oyster mushroom, Pleurotus ostreatus Fries, in North America. Southeast. Nat. 2005, 4, 409–420. [Google Scholar] [CrossRef]
  20. Devi, J.; Deb, U.; Barman, S.; Das, S.; Bhattacharya, S.S.; Tsang, Y.F.; Lee, J.-H.; Kim, K.-H. Appraisal of lignocellusoic biomass degrading potential of three earthworm species using vermireactor mediated with spent mushroom substrate: Compost quality, crystallinity, and microbial community structural analysis. Sci. Total Environ. 2020, 716, 135215. [Google Scholar] [CrossRef]
  21. Chukwurah, N.F.; Eze, S.C.; Chiejina, N.V.; Onyeonagu, C.C.; Ugwuoke, K.I.; Ugwu, F.S.O.; Nkwonta, C.G.; Akobueze, E.U.; Aruah, C.B.; Onwuelughasi, C.U. Performance of oyster mushroom (Pleurotus ostreatus) in different local agricultural waste materials. Afr. J. Biotechnol. 2012, 11, 8979–8985. [Google Scholar] [CrossRef]
  22. Liang, Z.C.; Wu, C.Y.; Shieh, Z.L.; Cheng, S.L. Utilization of grass plants for cultivation of Pleurotus citrinopileatus. Int. Biodeterior. Biodegrad. 2009, 63, 509–514. [Google Scholar] [CrossRef]
  23. Moonmoon, M.; Uddin, N.; Ahmed, S.; Shelly, N.J.; Khan, A. Cultivation of different strains of king oyster mushroom (Pleurotus eryngii) on saw dust and rice straw in Bangiadesh. Saudi J. Biol. Sci. 2012, 17, 341–345. [Google Scholar] [CrossRef]
  24. Elbagory, M.; El-Nahrawy, S.; Omara, A.E.-D.; Eid, E.M.; Bachheti, A.; Kumar, P.; Fayssal, S.A.; Adelodun, B.; Bachheti, R.K.; Kumar, P.; et al. Sustainable Bioconversion of Wetland Plant Biomass for Pleurotus ostreatus var. florida Cultivation: Studies on Proximate and Biochemical Characterization. Agriculture 2022, 12, 2095. [Google Scholar] [CrossRef]
  25. Hultberg, M.; Prade, T.; Bodin, H.; Vidakovic, A.; Asp, H. Adding benefit to wetlands-Valorization of harvested common reed through mushroom production. Sci. Total Environ. 2018, 637, 1395–1399. [Google Scholar] [CrossRef]
  26. de Ita, M.V.; Antonio, M.D.C.; Lara, M.H.; Arenas, O.R. Wild reed (Arundo donax) as an alternative substrate in the production of Pleurotus ostreatus. Sci. Fungorum 2018, 48, 15–22. [Google Scholar] [CrossRef]
  27. Li, X.Y.; Liu, X.T.; Li, X.J.; Jiang, M.; Yang, F.Y.; Wen, B.L. Sample of saline-alkaline wetland agriculture in western Songnen Plain: Reed-Fish-Crab-Mushroom mode. Wetland Sci. 2021, 19, 106–109, (Chinese with English Abstract). [Google Scholar] [CrossRef]
  28. Li, X.Y.; Chen, G.S.; Li, X.J.; Yao, F. Three Pleurotus mushroom species cultivated in a mixed Phragmites australis substrate differ in nutrient utilization capacity. J. Food Compos. Anal. 2023, 115, 104924. [Google Scholar] [CrossRef]
  29. Yang, Y.L.; Mou, X.J.; Wen, B.L.; Liu, X. Soil Carbon, Nitrogen and Phosphorus Concentrations and Stoichiometries Across a Chronosequence of Restored Inland Soda Saline-Alkali Wetlands, Western Songnen Plain, Northeast China. Chin. Geogr. Sci. 2020, 30, 934–946. [Google Scholar] [CrossRef]
  30. Goering, H.K.; Van Soest, P.J. Forage Fiber Analyses (Apparatus, Reagents, Procedures, and Some Applications); Agriculture Handbook No. 379; Agriculture Research Service, USDA: Washington, DC, USA, 1970; pp. 387–598. [Google Scholar]
  31. Koutrotsios, G.; Mountzouris, K.C.; Chatzipavlidis, I.; Zervakis, G.I. Bioconversion of lignocellulosic residues by Agrocybe cylindracea and Pleurotus ostreatus mushroom fungi-Assessment of their effect on the final product and spent substrate properties. Food Chem. 2014, 161, 127–135. [Google Scholar] [CrossRef]
  32. Llames, C.; Fontaine, J. Determination of amino acids in feeds: Collaborative study. J. AOAC Int. 1994, 77, 1362–1402. [Google Scholar] [CrossRef]
  33. Menandro, L.M.S.; Cantarella, H.; Franco, H.C.J.; Kölln, O.T.; Pimenta, M.T.B.; Sanches, G.M.; Rabelo, S.C.; Carvalho, J.L.N. Comprehensive assessment of sugarcane straw: Implications for biomass and bioenergy production. Biofuels Bioprod. Biorefining 2017, 11, 488–504. [Google Scholar] [CrossRef]
  34. Lou, Z.-M.; Wang, Z.-X.; Zhou, X.-X.; Fu, R.-Q.; Liu, Y.; Xu, X.-H. Compositional variation of spent mushroom substrate during cyclic utilization and its environmental impact. Environ. Sci. 2016, 37, 397–402. [Google Scholar] [CrossRef]
  35. Preeyaporn, S.; Anon, T.; Sutticha, N.R.T. Evaluation of spent mushroom substrate after cultivation of Pleurotus ostreatus as a new raw material for xylooligosaccharides production using crude xylanases from Aspergillus favus KUB2. 3 Biotech 2021, 11, 176. [Google Scholar] [CrossRef]
  36. Kim, Y.I.; Lee, Y.H.; Kim, K.H.; Oh, Y.K.; Moon, Y.H.; Kwak, W.S. Effects of Supplementing Microbially-fermented Spent Mushroom Substrates on Growth Performance and Carcass Characteristics of Hanwoo Steers (a Field Study). Asian-Aust. J. Anim. Sci. 2012, 25, 1575–1581. [Google Scholar] [CrossRef] [PubMed]
  37. Han, X.; Hu, H.; Shi, X.; Zhang, L.; He, J. Effects of different agricultural wastes on the dissipation of PAHs and the PAH-degrading genes in a PAH contaminated soil. Chemosphere 2017, 172, 286–293. [Google Scholar] [CrossRef]
  38. Lou, Z.; Sun, Y.; Bian, S.; Baig, S.A.; Hu, B.; Xu, X. Nutrient conservation during spent mushroom compost application using spent mushroom substrate derived biochar. Chemosphere 2017, 169, 23–31. [Google Scholar] [CrossRef] [PubMed]
  39. Lu, L.X. Screening of New Matrix and Nutritional Physiology; Jilin Agricultural University: Changchun, China, 2014. [Google Scholar]
  40. González Matute, R.; Figlas, D.; Curvetto, N. Agaricus blazei production on non-composted substrates based on sunflower seed hulls and spent oyster mushroom substrate. World J. Microbiol. Biotechnol. 2011, 27, 1331–1339. [Google Scholar] [CrossRef]
  41. Cheng, Z.Q.; Liu, J.H.; Kang, L.J.; Zhang, H.M.; Ma, Q. Characteristics and environmental impact of the waste materials cultured Auricularia auricular. Environ. Pollut. Prev. 2017, 34, 45–54, (Chinese with English Abstract). [Google Scholar] [CrossRef]
  42. Deng, B.L.; Shi, Y.Z.; Zhang, L. Effects of spent mushroom substrate-derived biochar on soil CO2 and N2O emissions depend on pyrolysis temperature. Chemosphere 2020, 246, 125608. [Google Scholar] [CrossRef]
  43. Liu, Y.; Ma, R.; Li, D.; Qi, C.; Han, L.; Chen, M.; Fu, F.; Yuan, J.; Li, G. Effects of calcium magnesium phosphate fertilizer, biochar and spent mushroom substrate on compost maturity and gaseous emissions during pig manure composting. J. Environ. Manag. 2020, 267, 110649. [Google Scholar] [CrossRef]
  44. Li, S.; Li, D.; Li, J.; Li, Y.; Li, G.; Zang, B.; Li, Y. Effects of spent mushroom substrate as a bulking agent on gaseous emissions and compost quality during pig manure composting. Environ. Sci. Pollut. Res. Int. 2018, 25, 12398–12406. [Google Scholar] [CrossRef]
Figure 1. The contents of neutral detergent fiber (NDF) (A), acid detergent fiber (ADF) (B), total sugar (C), crude polysaccharide (D), crude protein (E), amino acids (F), crude lipid (G), and ash (H), in substrate (S) and spent mushroom substrates (SMS). Notes: SMS-P.C, SMS-P.O, and SMS-P.E indicated SMS from P. eryngii, P. ostreatus, and P. citrinopileatus. The diverse letters indicated significant difference at 0.05 level.
Figure 1. The contents of neutral detergent fiber (NDF) (A), acid detergent fiber (ADF) (B), total sugar (C), crude polysaccharide (D), crude protein (E), amino acids (F), crude lipid (G), and ash (H), in substrate (S) and spent mushroom substrates (SMS). Notes: SMS-P.C, SMS-P.O, and SMS-P.E indicated SMS from P. eryngii, P. ostreatus, and P. citrinopileatus. The diverse letters indicated significant difference at 0.05 level.
Agronomy 13 00898 g001
Figure 2. Changes in amino acid components in substrate (S) and spent mushroom substrates (SMS). SMS-P.C, SMS-P.O, and SMS-P.E indicated SMS from P. eryngii, P. ostreatus, and P. citrinopileatus. Amino acid components included alanine (Ala), arginine (Arg), aspartic acid (Asp), tyrosine (Tyr), glutamic acid (Glu), glycine (Gly), histidine (His), isoleucine (Ile), leucine (Leu), lysine (Lys), methionine (Met), phenylalanine (Phe), proline (Pro), serine (Ser), threonine (Thr), and valine (Val). ** indicated significance of amino acid among SMS at 0.05 level.
Figure 2. Changes in amino acid components in substrate (S) and spent mushroom substrates (SMS). SMS-P.C, SMS-P.O, and SMS-P.E indicated SMS from P. eryngii, P. ostreatus, and P. citrinopileatus. Amino acid components included alanine (Ala), arginine (Arg), aspartic acid (Asp), tyrosine (Tyr), glutamic acid (Glu), glycine (Gly), histidine (His), isoleucine (Ile), leucine (Leu), lysine (Lys), methionine (Met), phenylalanine (Phe), proline (Pro), serine (Ser), threonine (Thr), and valine (Val). ** indicated significance of amino acid among SMS at 0.05 level.
Agronomy 13 00898 g002
Figure 3. The pH (A), TN (B), TK (C), TC (D), TP (E), and Ca (F) in substrate and spent mushroom substrates. Notes: SMS-P.C, SMS-P.O, and SMS-P.E indicated SMS from P. eryngii, P. ostreatus, and P. citrinopileatus. TN, TK, TC, TP were abbreviations of total nitrogen, total potassium, total carbon and total phosphorus. Substrate and spent mushroom substrates were abbreviated by S and SMS. The diverse letters indicated significant difference at 0.05 level.
Figure 3. The pH (A), TN (B), TK (C), TC (D), TP (E), and Ca (F) in substrate and spent mushroom substrates. Notes: SMS-P.C, SMS-P.O, and SMS-P.E indicated SMS from P. eryngii, P. ostreatus, and P. citrinopileatus. TN, TK, TC, TP were abbreviations of total nitrogen, total potassium, total carbon and total phosphorus. Substrate and spent mushroom substrates were abbreviated by S and SMS. The diverse letters indicated significant difference at 0.05 level.
Agronomy 13 00898 g003
Figure 4. Biplot representing the first (PC1) and second (PC2) axes of principal component analysis, showing ordination of treatments, according to nutrient and elemental variables measured in substrate (S) and three varieties of SMS (SMS-P.E, SMS-P.O, and SMS-P.C). Variables are percentage coverage by neutral detergent fiber (NDF), acid detergent fiber (ADF), ash (ASH), crude polysaccharide (CPA), crude protein (CP), crude lipid (CL), total sugar (TS), amino acids (AA), total carbon (TC), total nitrogen (TN), total phosphorus (TP), total potassium (TK), pH, Ca, Cu, Fe, Zn, Mn, Se, Cd, Cr, Hg, Pb, As, and Ni.
Figure 4. Biplot representing the first (PC1) and second (PC2) axes of principal component analysis, showing ordination of treatments, according to nutrient and elemental variables measured in substrate (S) and three varieties of SMS (SMS-P.E, SMS-P.O, and SMS-P.C). Variables are percentage coverage by neutral detergent fiber (NDF), acid detergent fiber (ADF), ash (ASH), crude polysaccharide (CPA), crude protein (CP), crude lipid (CL), total sugar (TS), amino acids (AA), total carbon (TC), total nitrogen (TN), total phosphorus (TP), total potassium (TK), pH, Ca, Cu, Fe, Zn, Mn, Se, Cd, Cr, Hg, Pb, As, and Ni.
Agronomy 13 00898 g004
Table 1. Effect of cultivated different variety of mushroom on microelements of SMS.
Table 1. Effect of cultivated different variety of mushroom on microelements of SMS.
CategoriesParametersMethods References
Feed nutrientNDFVan-soest washing methods[22]
ADF
Ash
Crude proteinMacro Kjeldahl method[23]
Amino acids Ion exchange chromatography [24]
Total sugar Determination StandardGB/T 15672-2009
Crude polysaccharide Determination Standard NY/T 1676-2008
Crude lipidDetermination standard GB/T6433-2006
Fertilizer nutrientpHPHS-3
Total carbon H2SO4-K2Cr2O7 oxidation method
Total nitrogenSAN++ continuous flow chemical analyzer
Total phosphorus
Total potassiumatomic absorption spectrometry
Ca
Microelements Cuatomic absorption spectrometry GB/T13885-2017; GB/T13080-2018
Fe
Zn
Mn
SeMethod of heavy metals in feed
Heavy metalsCdatomic absorption spectrometryGB/T13885-2017; GB/T13080-2018
Cr
Hg
Pb
AsMethod of heavy metals in feed
Ni
Notes: NDF and ADF mean neutral detergent fiber and acid detergent fiber, respectively.
Table 2. Effect of cultivated different variety of mushroom on microelements of SMS.
Table 2. Effect of cultivated different variety of mushroom on microelements of SMS.
DW
Zn (mg/kg)Fe (g/kg) Mn (mg/kg)Cu (mg/kg)Se (mg/kg)
S24.51 ± 1.35 a 1.24 ± 0.13 a 68.64 ± 7.20 c4.36 ± 0.24 b0.000 ± 0.000 b
SMS-P.C2.92 ± 0.60 c1.32 ± 0.14 a97.25 ± 3.17 b10.91 ± 2.01 a0.003 ± 0.001 b
SMS-P.O3.51 ± 0.25 c0.84 ± 0.08 cb56.38 ± 4.06 c5.49 ± 2.33 b0.013 ± 0.004 a
SMS-P.E11.09 ± 0.36 b0.76 ± 0.02 b120.29 ± 1.46 a11.11 ± 0.94 a0.006 ± 0.003 ab
Notes: S, substrates. SMS, spent mushroom substrates. DW, dry weight. SMS-P.C, SMS-P.O, and SMS-P.E indicated SMS from P. eryngii, P. ostreatus, and P. citrinopileatus. The diverse letters indicated significant difference at 0.05 level.
Table 3. Effect of cultivated different variety of mushroom on heavy metal of SMS.
Table 3. Effect of cultivated different variety of mushroom on heavy metal of SMS.
mg/kg DW
PbCdHgCrAsNi
S2.40 ± 0.36 b0.07 ± 0.01 a0.009 ± 0.000 a90.87 ± 23.75 a7.37 ± 0.25 a8.81 ± 0.23 c
SMS-P.C11.45 ± 1.96 a0.11 ± 0.02 a0.002 ± 0.000 b61.16 ± 8.55 ab0.62 ± 0.01 b18.90 ± 1.35 a
SMS-P.O10.39 ± 1.16 a0.10 ± 0.00 a0.002 ± 0.000 b41.69 ± 7.30 b0.41 ± 0.02 b14.88 ± 1.78 b
SMS-P.E9.25 ± 1.16 a0.11 ± 0.01 a0.002 ± 0.000 b53.82 ± 2.54 ab0.66 ± 0.10 b14.17 ± 0.97 b
Notes: S, substrates. SMS, spent mushroom substrates. DW, dry weight. SMS-P.C, SMS-P.O, and SMS-P.E indicated SMS from P. eryngii, P. ostreatus, and P. citrinopileatus. The diverse letters indicated significant difference at 0.05 level.
Table 4. Comparison of SMS with other literature.
Table 4. Comparison of SMS with other literature.
SubstrateMushroomUtilization
Of SMS
pHC NC/NPKNDFANFCrude ProteinReference
%
--A. bisporusFertilizer-39.851.8821.200.460.64---Li et al., 2020 [9]
Some woodAuricularia auricular-5.14-1.07-0.210.26---Cheng et al., 2017 [41]
BambooLentinus edodesBiochar4.3338.961.4626.69-----Deng et al., 2020 [42]
Agro-waste-Compost fertilizer7.2942.790.9346.01-----Liu et al., 2020 [43]
-P. ostreatusVemicomposting6.272.730.66 0.01----Devi et al., 2020 [20]
-P. ostreatusOrganic fertilizer-32.11.718.40.260.47---Lou et al., 2016 [34]
PhragmitesP. ostreatus--41.601.6026.00.13-43.3-10.0Hultberg et al., 2018 [25]
wood sawdustP. ostreatusXylooligosaccharides------46.09--Preeyaporn et al., 2021 [35]
PhragmitesP. ostreatus-5.5141.900.9643.850.040.3946.0530.265.87This study
Agro-wasteP. eryngiiSecond cultivation5.8037.12.614.60.160.42---Lou et al., 2016 [34]
SawdustP. eryngiiFeed for Steers------37.620.914.9Kim et al., 2012 [36]
PhragmitesP. eryngii-5.3042.700.9544.970.060.6147.7329.195.79This study
PhragmitesP. citrinopileatus,-5.2640.500.7157.480.020.3744.5927.594.87This study
NDF and ADF meant neutral and acid detergent fiber. Some research proposed that SMS from agricultural waste has an advantage in high organic nutrients of carbon and nitrogen.
Disclaimer/Publisher’s Note: The statements, opinions and data contained in all publications are solely those of the individual author(s) and contributor(s) and not of MDPI and/or the editor(s). MDPI and/or the editor(s) disclaim responsibility for any injury to people or property resulting from any ideas, methods, instructions or products referred to in the content.

Share and Cite

MDPI and ACS Style

Li, X.; Wang, M. Chemical Characteristics Analysis and Quality Assessment of Reed-Based Spent Mushroom Substrate. Agronomy 2023, 13, 898. https://doi.org/10.3390/agronomy13030898

AMA Style

Li X, Wang M. Chemical Characteristics Analysis and Quality Assessment of Reed-Based Spent Mushroom Substrate. Agronomy. 2023; 13(3):898. https://doi.org/10.3390/agronomy13030898

Chicago/Turabian Style

Li, Xiaoyu, and Miao Wang. 2023. "Chemical Characteristics Analysis and Quality Assessment of Reed-Based Spent Mushroom Substrate" Agronomy 13, no. 3: 898. https://doi.org/10.3390/agronomy13030898

APA Style

Li, X., & Wang, M. (2023). Chemical Characteristics Analysis and Quality Assessment of Reed-Based Spent Mushroom Substrate. Agronomy, 13(3), 898. https://doi.org/10.3390/agronomy13030898

Note that from the first issue of 2016, this journal uses article numbers instead of page numbers. See further details here.

Article Metrics

Back to TopTop