Effect of the Different Fertilization Treatments Application on Paddy Soil Enzyme Activities and Bacterial Community Composition
Abstract
1. Introduction
2. Materials and Methods
2.1. Site Description and Experimental Design
2.2. Soil Sample Collection and Analysis
2.3. Analysis of Soil Physicochemical Properties and Enzyme Activities
2.4. 16S rDNA Bacterial Sequencing Process and Data Analysis Processing
2.5. Statistical Analysis of Sequencing Data
3. Results
3.1. Soil Physicochemical Properties
3.2. Soil Enzyme Activities and Grain Yield
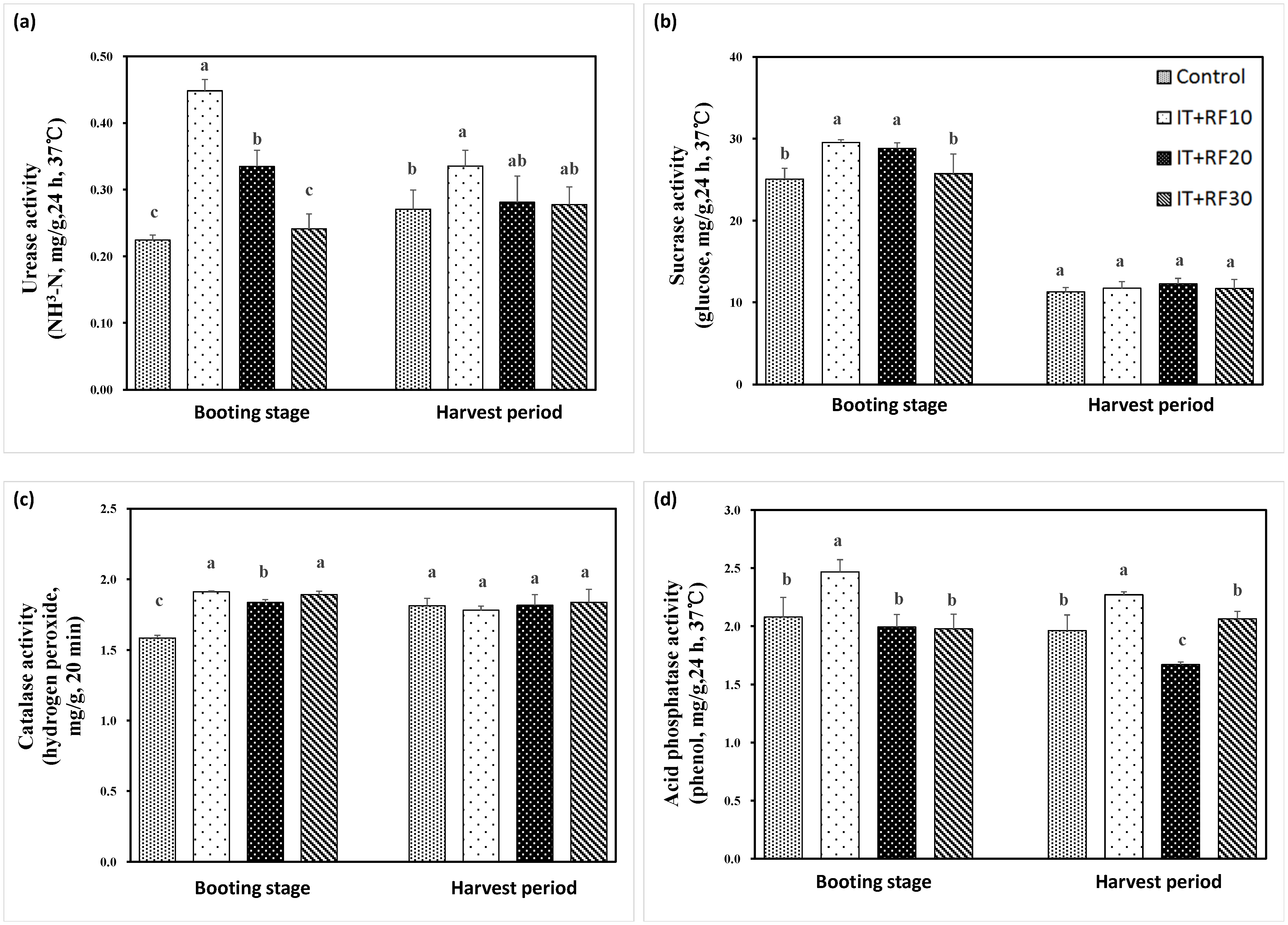
3.2.1. Different Fertilization Treatments’ Soil Enzyme Activities
3.2.2. Different Fertilization Treatments’ Grain Yield
3.3. Soil Microbial Diversity in Different Fertilization Treatments
3.3.1. Analysis of the Alpha Diversity of the Soil Bacterial Community
3.3.2. Composition of the Soil Bacterial Community
4. Discussion
4.1. Effects of Reduced Fertilization on Rice Yield and Soil Properties
4.2. Effects of Reduced Fertilization on Enzyme Activities
4.3. Effects of Reduced Fertilization on Soil Bacterial Diversity and Community Composition
5. Conclusions
Author Contributions
Funding
Institutional Review Board Statement
Informed Consent Statement
Data Availability Statement
Conflicts of Interest
References
- Liu, J.A.; Shu, A.P.; Song, W.F.; Shi, W.C.; Li, M.C.; Zhang, W.X.; Li, Z.Z.; Liu, G.R.; Yuan, F.S.; Zhang, S.X.; et al. Long-term organic fertilizer substitution increases rice yield by improving soil properties and regulating soil bacteria. Geoderma 2021, 404, 115287. [Google Scholar] [CrossRef]
- Carvalho, F.P. Pesticides, environment, and food safety. Food Energy Secur. 2017, 6, 48–60. [Google Scholar] [CrossRef]
- Zhu, J.; Peng, H.; Ji, X.H.; Li, C.J.; Li, S.N. Effects of reduced inorganic fertilization and rice straw recovery on soil enzyme activities and bacterial community in double-rice paddy soils. Eur. J. Soil Biol. 2019, 94, 103116. [Google Scholar] [CrossRef]
- Wang, X.; Fan, J.; Xing, Y.; Xu, G.; Wang, H.; Jian, D.; Wang, Y.; Zhang, F.; Li, P.; Li, Z. The effects of mulch and nitrogen fertilizer on the soil environment of crop plants. Adv. Agron. 2019, 153, 121–173. [Google Scholar]
- Geisseler, D.; Linguist, B.A.; Lazicki, P.A. Effect of fertilization on soil microorganisms in paddy rice systems—A meta-analysis. Soil Biol. Biochem. 2017, 115, 452–460. [Google Scholar] [CrossRef]
- Beauregard, M.; Hamel, C.; St-Arnaud, M. Long-term phosphorus fertilization impacts soil fungal and bacterial diversity but not AM fungal community in alfalfa. Microb. Ecol. 2010, 59, 379–389. [Google Scholar] [CrossRef]
- Bei, S.; Zhang, Y.; Li, T.; Christie, P.; Li, X.; Zhang, J. Response of the soil microbial community to different fertilizer inputs in a wheat-maize rotation on a calcareous soil. Agric. Ecosyst. Environ. 2018, 260, 58–69. [Google Scholar] [CrossRef]
- Tang, H.; Li, C.; Wen, L.; Li, W.; Shi, L.; Cheng, K.; Xiao, X. Microbial carbon source utilization in rice rhizosphere and non-rhizosphere soils in a 34-year fertilized paddy field. J. Basic Microb. 2020, 60, 1004–1013. [Google Scholar] [CrossRef]
- Murase, J.; Hida, A.; Ogawa, K.; Nonoyama, T.; Yoshikawa, N.; Imai, K. Impact of long-term fertilizer treatment on the microeukaryotic community structure of a rice field soil. Soil Biol. Biochem. 2015, 80, 237–243. [Google Scholar] [CrossRef]
- Rao, M.; Scelza, R.; Gianfreda, L. Soil Enzymes. Enzymes in Agricultural Sciences; OMICS Group eBooks: Foster City, CA, USA, 2014; pp. 10–43. [Google Scholar]
- Angélica, B.C.; Yolanda, D.O. Hydrolytic soil enzymes and their response to fertilization: A short review. Comun. Sci. 2015, 6, 255–262. [Google Scholar]
- Zhalnina, K.; Louie, K.B.; Hao, Z.; Mansoori, N.; da Rocha, U.N.; Shi, S.J.; Cho, H.J.; Karaoz, U.; Loqué, D.; Bowen, B.P.; et al. Dynamic root exudate chemistry and microbial substrate preferences drive patterns in rhizosphere microbial community assembly. Nat. Microbiol. 2018, 3, 470–480. [Google Scholar] [CrossRef] [PubMed]
- Sun, J.; Zhang, Q.; Zhou, J.; Wei, Q.P. Illumina amplicon sequencing of 16S rRNA tag reveals bacterial community development in the rhizosphere of apple nurseries at a replant disease site and a new planting site. PLoS ONE 2014, 9, 111744. [Google Scholar] [CrossRef] [PubMed]
- Sannino, F.; Gianfreda, L. Pesticide influence on soil enzymatic activities. Chemosphere 2001, 45, 417–425. [Google Scholar] [CrossRef]
- Nannipieri, P.; Giagnoni, L.; Renella, G. Soil enzymology: Classical and molecular approaches. Biol. Fertil. Soils 2012, 48, 743–762. [Google Scholar] [CrossRef]
- Li, Y.; Wang, Y.; Gu, C.; Shen, C.; Xu, L.; Zhao, Y.; Yi, S.; Zuo, W.; Shan, Y.; Zhang, Z.; et al. Differential Effects of Organic Ameliorants on the Reassembly of Bacterial Communities in Newly Amended Coastal Mudflat Salt-Affected Soil. Agronomy 2022, 12, 2525. [Google Scholar] [CrossRef]
- Parlak, K.U.; Yilmaz, D.D. Response of antioxidant defences to Zn stress in three duckweed species. Ecotoxicol. Environ. Saf. 2012, 85, 52–58. [Google Scholar] [CrossRef]
- Duff, S.M.G.; Sarath, G.; Plaxton, W.C. The role of acid phosphatases in plant phosphorus metabolism. Physiol. Plant. 1994, 90, 791–800. [Google Scholar] [CrossRef]
- Jin, H.; Yang, X.Y.; Yan, Z.Q.; Liu, Q.; Li, X.Z.; Chen, J.X.; Zhang, D.H.; Zeng, L.M.; Qin, B. Characterization of rhizosphere and endophytic bacterial communities from leaves, stems and roots of medicinal S. chamaejasme. Syst. Appl. Microbiol. 2014, 37, 376–385. [Google Scholar] [CrossRef] [PubMed]
- Guo, J.H.; Liu, X.J.; Zhang, Y.; Shen, J.L.; Han, W.X.; Zhang, W.F.; Christie, P.; Goulding, K.W.T.; Vitousek, P.M.; Zhang, F.S. Significant acidification in major Chinese croplands. Science 2010, 327, 1008–1010. [Google Scholar] [CrossRef]
- Geisseler, D.; Scow, K.M. Long-term effects of mineral fertilizers on soil microorganisms—A review. Soil Biol. Biochem. 2014, 75, 54–63. [Google Scholar] [CrossRef]
- Dai, X.; Wang, H.; Fu, X. Soil microbial community composition and its role in carbonmineralization in long-term fertilization paddy soils. Sci. Total Environ. 2016, 580, 556–563. [Google Scholar] [CrossRef] [PubMed]
- Mbuthia, L.W.; Acosta-Martínez, V.; Debruyn, J.; Schaeffer, S.; Tyler, D.; Odoi, E.; Mpheshea, M.; Walker, F.; Eash, N. Long term tillage, cover crop, and fertilization effects on microbial community structure, activity: Implications for soil quality. Soil Biol. Biochem. 2015, 89, 24–34. [Google Scholar] [CrossRef]
- Liu, C.; Lu, M.; Cui, J.; Li, B.; Fang, C. Effects of straw carbon input on carbon dynamics in agricultural soils: A meta-analysis. Glob. Change Biol. 2014, 20, 1366–1381. [Google Scholar] [CrossRef] [PubMed]
- Chen, Z.; Wang, H.; Liu, X.; Zhao, X.; Lu, D.; Zhou, J.; Li, C. Changes in soil microbial community and organic carbon fractions under short-term straw return in a rice–wheat cropping system. Soil Tillage Res. 2017, 165, 121–127. [Google Scholar] [CrossRef]
- Li, F.; Cao, X.; Zhao, L.; Yang, F.; Wang, J.; Wang, S. Short-term effects of raw rice straw and its derived biochar on greenhouse gas emission in five typical soils in China. Soil Sci. Plant Nutr. 2013, 59, 800–811. [Google Scholar] [CrossRef]
- Chen, L.; Zhang, J.; Zhao, B.; Yan, P.; Zhou, G.; Xin, X. Effects of straw amendment and moisture on microbial communities in Chinese fluvo-aquic soil. J. Soils Sediments 2014, 14, 1829–1840. [Google Scholar] [CrossRef]
- Burns, R.G.; Deforest, J.L.; Marxsen, J.; Sinsabaugh, R.L.; Stromberger, M.E.; Wallenstein, M.D.; Weintraub, M.N.; Zoppini, A. Soil enzymes in a changing environment: Current knowledge and future directions. Soil Biol. Biochem. 2013, 58, 216–234. [Google Scholar] [CrossRef]
- Fan, F.; Li, Z.; Wakelin, S.A.; Yu, W.; Liang, Y. Mineral fertilizer alters cellulolytic community structure and suppresses soil cellobiohydrolase activity in a long-term fertilization experiment. Soil Biol. Biochem. 2012, 55, 70–77. [Google Scholar] [CrossRef]
- Deforest, J.L.; Burke, D.J.; Elliott, H.L.; Becker, J.C. Soil microbial responses to elevated phosphorus and pH in acidic temperate deciduous forests. Biogeochemistry 2012, 109, 189–202. [Google Scholar] [CrossRef]
- Wang, S.; Liang, X.; Chen, Y.; Luo, Q.; Liang, W.; Song, L.; Huang, C.; Li, Z.; Wan, L.; Wei, L. Phosphorus loss potential and phosphatase activity under phosphorus fertilization inlong-Term paddy wetland agroecosystems. Soil Sci. Soc. Am. J. 2012, 76, 61–167. [Google Scholar] [CrossRef]
- Zhao, S.; Li, K.; Zhou, W.; Qiu, S.; Huang, S.; He, P. Changes in soil microbial community, enzyme activities and organic matter fractions under long-term straw return in north-central China. Agric. Ecosyst. Environ. 2016, 216, 82–88. [Google Scholar] [CrossRef]
- Jian, S.; Li, J.; Chen, J.; Wang, G.; Mayes, M.A.; Dzantor, K.E.; Hui, D.; Luo, Y. Soil extracellular enzyme activities, soil carbon and nitrogen storage under nitrogen fertilization: A meta-analysis. Soil Biol. Biochem. 2016, 101, 32–43. [Google Scholar] [CrossRef]
- Yu, H.Y.; Ding, W.X.; Luo, J.F.; Donnison, A.; Zhang, J.B. Long-term effect of compost and inorganic fertilizer on activities of carbon-cycle enzymes in aggregates of an intensively cultivated sandy loam. Soil Use Manag. 2012, 28, 347–360. [Google Scholar] [CrossRef]
- Zhang, X.; Dong, W.; Dai, X.; Schaeffer, S.; Yang, F.; Radosevich, M.; Xu, L.; Liu, X.; Sun, X. Responses of absolute and specific soil enzyme activities to long term additions of organic and mineral fertilizer. Sci. Total Environ. 2015, 536, 59–67. [Google Scholar] [CrossRef] [PubMed]
- Ge, G.; Li, Z.; Fan, F.; Chu, G.; Hou, Z.; Liang, Y. Soil biological activity and their seasonal variations in response to long-term application of organic and inorganic fertilizers. Plant Soil 2010, 326, 31–44. [Google Scholar] [CrossRef]
- Wang, Y.; Song, F.; Zhu, J.; Zhang, S.; Yang, Y.; Chen, T.; Tang, B.; Dong, L.; Ding, N.; Zhang, Q.; et al. GSA: Genome sequence archive. Genom. Proteom. Bioinform. 2017, 15, 14–18. [Google Scholar] [CrossRef] [PubMed]
- Peng, X.Q.; Wang, W. Stoichiometry of soil extracellular enzyme activity along a climatic transect in temperate grasslands of northern China. Soil Biol. Biochem. 2016, 98, 74–84. [Google Scholar] [CrossRef]
- Batista, É.R.; Carneiro, J.J.; Pinto, F.A.; Santos, J.V.D.; Carneiro, M.A.C. Environmental drivers of shifts on microbial traits in sites disturbed by a large-scale tailing dam collapse. Sci. Total Environ. 2020, 738, 139453. [Google Scholar] [CrossRef]
- Robinson, M.D.; McCarthy, D.J.; Smyth, G.K. edgeR: A Bioconductor package fordifferential expression analysis of digital gene expression data. Bioinformatics 2010, 26, 139–140. [Google Scholar] [CrossRef]
- Cheng, J.; Jin, H.; Zhang, J.; Xu, Z.; Yang, X.; Liu, H.; Xu, X.; Min, D.; Lu, D.; Qin, B. Effects of Allelochemicals, Soil Enzyme Activities, and Environmental Factors on Rhizosphere Soil Microbial Community of Stellera chamaejasme L. along a Growth-Coverage Gradient. Microorganisms 2022, 10, 158. [Google Scholar] [CrossRef]
- Su, J.Q.; Ding, L.J.; Xue, K.; Yao, H.Y.; Quensen, J.; Bai, S.J.; Wei, W.X.; Wu, J.S.; Zhou, J.; Tiedje, J.M.; et al. Long-term balanced fertilization increases the soil microbial functional diversity in a phosphorus-limited paddy soil. Mol. Ecol. 2015, 24, 136–150. [Google Scholar] [CrossRef] [PubMed]
- Wu, M.; Qin, H.; Chen, Z.; Wu, J.; Wei, W. Effect of long-term fertilization on bacterial composition in rice paddy soil. Biol. Fertil. Soils 2011, 47, 397–405. [Google Scholar] [CrossRef]
- Ogilvie, L.A.; Hirsch, P.R.; Johnston, A.W.B. Bacterial diversity of the broadbalk ’Classical’ winter wheat experiment in relation to long-term fertilizer inputs. Microb. Ecol. 2008, 56, 525–537. [Google Scholar] [CrossRef] [PubMed]
- Ding, L.J.; Su, J.Q.; Sun, G.X.; Wu, J.S.; Wei, W.X. Increased microbial functional diversity under long-term organic and integrated fertilization in a paddy soil. Appl. Microbiol. Biotechnol. 2018, 102, 1969–1982. [Google Scholar] [CrossRef] [PubMed]
- Hartmann, M.; Frey, B.; Mayer, J.; Mäder, P.; Widmer, F. Distinct soil microbial diversity under long-term organic and conventional farming. ISME J. 2015, 9, 1177–1194. [Google Scholar] [CrossRef] [PubMed]



| Treatment | Urea (N: 46%) | Superphosphate (P2O5: 12%) | Potassium Chloride (K2O: 60%) | Carbon-Based Organic Fertilizer | Zinc | Silicon | Boron | Formula Fertilizer (N:P2O5:K2O = 20:11:14) |
|---|---|---|---|---|---|---|---|---|
| Control | 165 | 750 | ||||||
| IT + RF 10 | 438 | 780 | 225 | 1500 | 6 | 120 | 6 | |
| IT + RF 20 | 393 | 690 | 204 | 1500 | 6 | 120 | 6 | |
| IT + RF 30 | 348 | 600 | 174 | 1500 | 6 | 120 | 6 |
| Treatment | Soil pH | SOM (g/kg) | TN (g/kg) | TP (g/kg) |
|---|---|---|---|---|
| Control | 6.37 ± 0.02 a | 4.82 ± 0.03 c | 0.96 ± 0.05 b | 0.63 ± 0.01 c |
| IT + RF 10 | 6.14 ± 0.03 c | 4.85 ± 0.05 c | 0.77 ± 0.09 c | 0.66 ± 0.01 b |
| IT + RF 20 | 6.34 ± 0.03 a | 5.05 ± 0.02 a | 1.06 ± 0.04 a | 0.73 ± 0.01 a |
| IT + RF 30 | 6.24 ± 0.02 b | 4.97 ± 0.01 b | 0.97 ± 0.02 b | 0.67 ± 0.01 b |
| Period | Treatment | Observed Richness | Chao1 | ACE Index | Shannon Index | Simpson Index | Coverage |
|---|---|---|---|---|---|---|---|
| Booting stage | Control | 3455 ± 147 a | 4331 ± 154 a | 4331 ± 154 a | 6.71 ± 0.15 a | 0.004 ± 0.002 b | 0.976 ± 0.001 bc |
| IT + RF 10 | 3530 ± 137 a | 4409 ± 103 a | 4409 ± 103 a | 6.73 ± 0.059 a | 0.004 ± 0.000 b | 0.975 ± 0.002 c | |
| IT + RF 20 | 3413 ± 91 a | 4329 ± 102 a | 4329 ± 102 a | 6.81 ± 0.03 a | 0.003 ± 0.000 b | 0.976 ± 0 bc | |
| IT + RF 30 | 3459 ± 75 a | 4378 ± 73 a | 4378 ± 73 a | 6.72 ± 0.01 a | 0.003 ± 0.000 b | 0.975 ± 0 c | |
| Harvest period | Control | 2898 ± 149 b | 3670 ± 127 b | 3670 ± 127 b | 6.26 ± 0.21 ab | 0.011 ± 0.003 a | 0.98 ± 0.001 a |
| IT + RF 10 | 2708 ± 269 c | 3695 ± 173 b | 3695 ± 173 b | 5.43 ± 1.28 b | 0.060 ± 0.076 a | 0.979 ± 0 ab | |
| IT + RF 20 | 2885 ± 130 bc | 3771 ± 283 b | 3771 ± 283 b | 6.34 ± 0.06 ab | 0.007 ± 0.001 a | 0.979 ± 0.002 ab | |
| IT + RF 30 | 3092 ± 76 b | 3926 ± 46 b | 3926 ± 46 b | 6.56 ± 0.14 a | 0.005 ± 0.001 a | 0.979 ± 0.002 a |
Disclaimer/Publisher’s Note: The statements, opinions and data contained in all publications are solely those of the individual author(s) and contributor(s) and not of MDPI and/or the editor(s). MDPI and/or the editor(s) disclaim responsibility for any injury to people or property resulting from any ideas, methods, instructions or products referred to in the content. |
© 2023 by the authors. Licensee MDPI, Basel, Switzerland. This article is an open access article distributed under the terms and conditions of the Creative Commons Attribution (CC BY) license (https://creativecommons.org/licenses/by/4.0/).
Share and Cite
Xiao, Q.; He, B.; Wang, S. Effect of the Different Fertilization Treatments Application on Paddy Soil Enzyme Activities and Bacterial Community Composition. Agronomy 2023, 13, 712. https://doi.org/10.3390/agronomy13030712
Xiao Q, He B, Wang S. Effect of the Different Fertilization Treatments Application on Paddy Soil Enzyme Activities and Bacterial Community Composition. Agronomy. 2023; 13(3):712. https://doi.org/10.3390/agronomy13030712
Chicago/Turabian StyleXiao, Qingqing, Boping He, and Su Wang. 2023. "Effect of the Different Fertilization Treatments Application on Paddy Soil Enzyme Activities and Bacterial Community Composition" Agronomy 13, no. 3: 712. https://doi.org/10.3390/agronomy13030712
APA StyleXiao, Q., He, B., & Wang, S. (2023). Effect of the Different Fertilization Treatments Application on Paddy Soil Enzyme Activities and Bacterial Community Composition. Agronomy, 13(3), 712. https://doi.org/10.3390/agronomy13030712
