Effects of Corn Varieties and Moisture Content on Mechanical Properties of Corn
Abstract
:1. Introduction
2. Theory
- (a)
- The contact between the threshing element and the corn kernel conforms to the application conditions of Hertz’s theory.
- (b)
- The ear of corn is considered as a whole, which means that the ear of corn moves as a whole after being hit by threshing elements, regardless of the movement of a single corn kernel.
2.1. Contact Mechanics Model of Threshing Element and Corn Kernel
2.2. Calculation of Contact Mechanics Model Parameters
2.3. Analysis of Mechanical Properties of Corn Affecting the Threshing Quality
3. Material and Methods
3.1. Materials
3.2. Sample Processing
3.3. Size of Corn Kernels
3.4. Breaking Force of Corn Kernels
3.5. Elastic Modulus of Corn Kernels
3.6. Breaking Force of Corn Pedicel
3.7. Statistical Analysis
4. Results and Discussion
4.1. Size Characteristics of Corn
4.2. Effects of Varieties and Moisture Content on Size Characteristics of Corn
4.2.1. The Effect of Moisture Content on the Size Characteristics of Corn
4.2.2. Effect of Varieties on Size Characteristics of Corn
4.3. Mechanical Characteristics of Corn
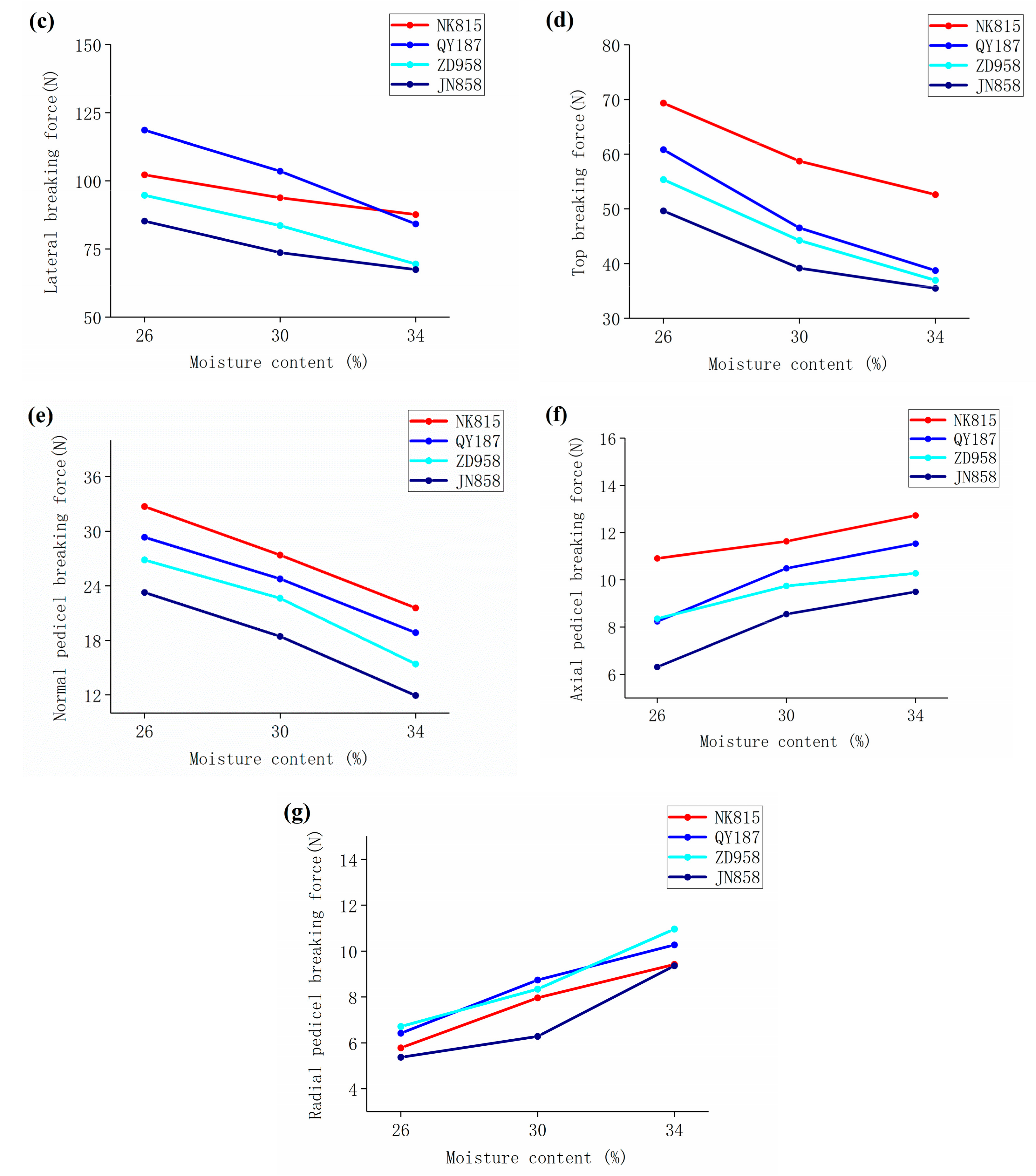
4.4. Effect of Moisture Content on Mechanical Characteristics of Corn
4.5. Effect of Varieties on Mechanical Characteristics of Corn
4.6. Effect of Loading Position on the Breaking Force of Corn Kernel
4.7. Effect of Loading Direction on the Breaking Force of Corn Pedicel
5. Conclusions
- (a)
- The corn varieties and moisture content had significant effects on the mechanical properties of corn. Among them, the different levels of moisture content levels have significant differences in the mechanical properties of corn, while corn varieties have different significant differences in the mechanical properties of corn
- (b)
- With the increase in moisture content, the ear weight, corn kernel triaxial size, and the axial and radial breaking force of corn pedicels increased significantly. In addition, the elastic modulus of corn, the breaking force of corn kernels, and the normal breaking force of corn pedicels decreased significantly.
- (c)
- The breaking force of corn kernels at different positions is in the order of ventral, lateral, and top surface, and the breaking force of corn pedicels in different directions is in the order of normal, axial, and radial.
Author Contributions
Funding
Data Availability Statement
Acknowledgments
Conflicts of Interest
References
- Xu, J.; Meng, J.; Quackenbush, L.J. Use of remote sensing to predict the optimal harvest date of corn. Field Crop. Res. 2019, 236, 1–13. [Google Scholar] [CrossRef]
- Ferraretto, L.F.; Shaver, R.D.; Luck, B.D. Silage review: Recent advances and future technologies for whole-plant and fractionated corn silage harvesting. J. Dairy Sci. 2018, 101, 3937–3951. [Google Scholar] [CrossRef] [PubMed]
- Shao, Y.E.; Dai, J. Integrated Feature Selection of ARIMA with Computational Intelligence Approaches for Food Crop Price Prediction. Complexity 2018, 2018, 1910520. [Google Scholar] [CrossRef]
- Singh, V.; Stone, J.; Robert, J.P.; Vani, S.N. Industrial Biotechnology Shaping Corn Biorefineries of the Future. Cereal Food World 2019, 64. [Google Scholar] [CrossRef]
- Zhang, L.; Chen, Z.; Yang, M.; Huang, H.; Ye, C. Spatio-temporal Feature of Maize Production Efficiency in Main Producing Provinces of China. Trans. Chin. Soc. Agric. Mach. 2018, 49, 183–193. [Google Scholar]
- Li, X.; Du, Y.; Liu, L.; Mao, E.; Yang, F.; Wu, J.; Wang, L. Research on the constitutive model of low-damage corn threshing based on DEM. Comput. Electron. Agr. 2022, 194, 106722. [Google Scholar] [CrossRef]
- Chandio, F.A.; Li, Y.; Ma, Z.; Ahmad, F.; Syed, T.N.; Shaikh, S.A.; Tunio, M.H. Influences of moisture content and compressive loading speed on the mechanical properties of maize grain orientations. Int. J. Agr. Biol. Eng. 2021, 14, 41–49. [Google Scholar] [CrossRef]
- Gao, L.; Li, F.; Zhang, X.; Zhang, Y.; Liu, X.; Jiao, W. Mechanism of moisture content affect on corn seed threshing. Nongye Jixie Xuebao/Trans. Chin. Soc. Agric. Mach. 2011, 42, 42–92. [Google Scholar]
- Su, Y.; Cui, T.; Xia, G.; Gao, X.; Li, Y.; Qiao, M.; Xu, Y. Effects of different moisture content and varieties on physico–mechanical properties of maize kernel and pedicel. J. Food Process. Eng. 2021, 44, e13778. [Google Scholar] [CrossRef]
- Li, X.; Gao, L.; Ma, F. Experimental research of corn seed kernel on the impacting damage. J. Shenyang Agric. Univ. 2007, 38, 89–93. [Google Scholar]
- Jie, X.; Li, X.; Sun, L.; Du, X.; Gao, L. Experiment on optimal forcing method for seed-corn thresher. Trans. Chin. Soc. Agric. Mach. 2009, 40, 71–75. [Google Scholar]
- Cai, C.J.; Chen, Z.; Han, Z.D.; Liu, G.M.; Zhang, Z.L.; Hao, J.F. Study on relationship of biomechanical characteristics of corn seed and threshing performance. J. Agric. Mech. Res. 2017, 4, 192–196, (In Chinese with English abstract). [Google Scholar]
- Li, Y.M.; Chandio, F.A.; Ma, Z.; Lakhiar, I.; Sahito, A.R.; Ahmad, F.; Mari, I.; Farooq, U.; Suleman, M. Mechanical strength of wheat grain varieties influenced by moisture content and loading rate. Int. J. Agric. Biol. Eng. 2018, 11, 52–57. [Google Scholar] [CrossRef]
- Shahbazi, F.; Valizade, S.; Dowlatshah, A. Mechanical damage to green and red lentil seeds. Food Sci. Nutr. 2017, 5, 943–947. [Google Scholar] [CrossRef]
- Huang, H.; Faulkner, D.; Berger, L.; Eckhoff, S. Harvest Date Influence on Dry Matter Yield and Moisture of Corn and Stover. T Asabe 2012, 55, 593–598. [Google Scholar] [CrossRef]
- Li, L.; Lei, X.; Xie, R.; Wang, K.; Hou, P.; Zhang, F.; Li, S. Analysis of influential factors on mechanical grain harvest quality of summer maize. Sci. Agric. Sin. 2017, 50, 2044–2051. [Google Scholar]
- Wang, K.; Li, L.; Gao, S.; Wang, Y.; Huang, Z.; Xie, R.; Ming, B.; Hou, P.; Xue, J.; Zhang, G.; et al. Analysis of main quality index of corn harvesting with combine in China. Acta Agron. Sin. 2021, 47, 2440–2449. [Google Scholar] [CrossRef]
- Xu, T.; Lu, T.; Zhao, J.; Wang, R.; Xing, J.; Zhang, Y.; Cai, W.; Liu, Y.; Liu, X.; Chen, C.; et al. The grain dehydration characteristics of the main summer maize varieties in Huang-Huai-Hai region. Sci. Agric. Sin. 2021, 54, 708–719. [Google Scholar] [CrossRef]
- Marques, O.J.; Dalpasquale, V.A.; Vidigal Filho, P.S.; Scapim, C.A.; Reche, D.L. Mechanical damages in grains of commercial corn hybrids as a function of the crop moisture content. Semin-Cienc. Agrar. 2011, 32, 565–575. [Google Scholar] [CrossRef]
- Shi, W.; Shao, H.; Sha, Y.; Shi, R.; Shi, D.; Chen, Y.; Ban, X.; Mi, G. Grain dehydration rate is related to post-silking thermal time and ear characters in different maize hybrids. J. Integr. Agric. 2022, 21, 964–976. [Google Scholar] [CrossRef]
- Wang, K.; Li, L.; Lu, Z.; Gao, S.; Wang, Y.; Huang, Z.; Xie, R.; Ming, B.; Hou, P.; Xue, J.; et al. Mechanized grain harvesting quality of summer maize and its major influencing factors in Huanghuaihai region of China. Trans. Chin. Soc. Agric. Eng. 2021, 37, 1–7. [Google Scholar]
- Xie, R.; Lei, X.; Wang, K.; Guo, Y.; Chai, Z.; Hou, P.; Li, S. Research on Corn Mechanically Harvesting Grain Quality in Huanghuaihai Plain. Crops 2014, 2, 76–79. [Google Scholar]
- Zhang, X.W.; Yi, K.C.; Gao, L.X. Contacting mechanics analysis during impact process between maize seeds and threshing component. Chin. Agric. Sci. Bull. 2015, 31, 285–290. [Google Scholar]
- Johnson, K.L. Contact Mechanics; Cambridge University Press: Cambridge, UK, 1985; p. 110. [Google Scholar]
- Xu, L.; Li, Y.; Ding, L. Contacting mechanics analysis during impact process between rice and threshing component. Nongye Gongcheng Xuebao/Trans. Chin. Soc. Agric. Eng. 2008, 24, 146–149. [Google Scholar]
- Li, X.; Ma, F.; Gao, L. Dropping impact experiment on corn seeds. Nongye Gongcheng Xuebao/Trans. Chin. Soc. Agric. Eng. 2009, 25, 113–116. [Google Scholar]
- Yu, Y.; Fu, H.; Yu, J. DEM-based simulation of the corn threshing process. Adv. Powder Technol. 2015, 26, 1400–1409. [Google Scholar] [CrossRef]
- ASAE S368.4 DEC2000 (R2017); Compression Test of Food Materials of Convex Shape. American Society of Agricultural and Biological Engineers: St. Joseph, MI, USA, 2017.
- Milani, E.; Seyed, M.; Razavi, A.; Koocheki, A.; Nikzadeh, V.; Vahedi, N.; Moeinfard, M.R.; Gholamhosseinpour, A. Moisture dependent physical properties of cucurbit seeds. Int. Agrophys. 2007, 21, 157–168. [Google Scholar]
- Lupu, M.I.; Pădureanu, V.; Canja, C.M.; Măzărel, A. The Effect of Moisture Content on Grinding Process of Wheat and Maize Single Kernel; IOP Conference Series: Materials Science and Engineering, 2016; IOP Publishing: Bristol, UK, 2016; p. 22024. [Google Scholar]
- Fu, Q.; Fu, J.; Chen, Z.; Zhang, L.; Ren, L. Influence of different corn ear position and orientation and water content on fracture mechanics of corn peduncle. Trans. Chin. Soc. Agric. Eng. 2019, 35, 60–69. [Google Scholar]
- Fu, J.; Yuan, H.; Zhang, D.; Chen, Z.; Ren, L. Multi-Objective Optimization of Process Parameters of Longitudinal Axial Threshing Cylinder for Frozen Corn Using RSM and NSGA-II. Appl. Sci. 2020, 10, 1646. [Google Scholar] [CrossRef]
- Zhou, D.; Xu, C.; Xin, Y.; Hou, P.; Wu, B.; Yu, H.; Zhang, J.; Zhang, Q. Model Study on the Combination of Operating Parameters of Corn Kernel Harvesters. Appl. Sci. 2021, 11, 10328. [Google Scholar] [CrossRef]
- Zhu, X.; Chi, R.; Du, Y.; Qin, J.; Li, X. Experimental study on the key factors of low-loss threshing of high-moisture maize. Int. J. Agric. Biol. Eng. 2020, 13, 23–31. [Google Scholar] [CrossRef]
- Li, X.P.; Gao, L.X. Experimental study on breaking mechanism of kernel stem of corn seed. Trans. CSAE 2007, 23, 47–51. [Google Scholar]
- Li, X.P.; Gao, L.X.; Ma, F.L. Experimental research of seed corn on the threshing property. J. Agric. Mech. Res 2007, 2, 156–158. [Google Scholar]
- Yu, S. Corn Kernel Damage Test and Analysis of Corn Threshing Process. Master’s Thesis, Jiangsu University, Zhenjiang, China, 2019. [Google Scholar]
- Patil, K.; Pandit, S.; Pol, G.; Kadam, S.; Jadhav, A. Design and fabrication of corn shelling and threshing machine. Int. J. Innovat. Res. Sci. Technol. 2016, 5, 13981–13986. [Google Scholar]
- Xiaopeng, H.; Chunhe, L.; Jianfang, S. Research and design on corn sheller by extruding and rubbing method. Trans. Chin. Soc. Agric. Eng. (Trans. CSAE) 2003, 19, 105–108. [Google Scholar]






| 50 | 55 | 60 | 65 | 70 | 75 | 80 | 85 | 90 | |
|---|---|---|---|---|---|---|---|---|---|
| 1.198 | 1.235 | 1.267 | 1.293 | 1.314 | 1.331 | 1.342 | 1.349 | 1.351 |
| Source | Dependent Variable | DF | MS | F | p |
|---|---|---|---|---|---|
| Variety | ear weight | 3 | 166.450 | 18.952 | 0.002 |
| corn kernel length | 3 | 0.457 | 7.778 | 0.017 | |
| corn kernel width | 3 | 1.648 | 16.055 | 0.003 | |
| corn kernel thickness | 3 | 0.094 | 5.287 | 0.040 | |
| elastic modulus | 3 | 187.597 | 14.226 | 0.004 | |
| K(V) | 3 | 1582.349 | 23.367 | 0.001 | |
| K(L) | 3 | 427.196 | 10.187 | 0.002 | |
| K(T) | 3 | 195.738 | 66.450 | 0.000 | |
| P(N) | 3 | 47.411 | 344.778 | 0.000 | |
| P(A) | 3 | 6.848 | 33.216 | 0.000 | |
| P(R) | 3 | 1.744 | 9.313 | 0.011 | |
| Moisture content | ear weight | 2 | 2509.594 | 285.745 | 0.000 |
| corn kernel length | 2 | 2.970 | 50.600 | 0.000 | |
| corn kernel width | 2 | 3.126 | 30.448 | 0.001 | |
| corn kernel thickness | 2 | 0.667 | 37.650 | 0.000 | |
| elastic modulus | 2 | 7825.159 | 593.399 | 0.000 | |
| K(V) | 2 | 40166.483 | 593.160 | 0.000 | |
| K(L) | 2 | 529.579 | 25.025 | 0.001 | |
| K(T) | 2 | 328.405 | 111.489 | 0.000 | |
| P(N) | 2 | 124.085 | 902.362 | 0.000 | |
| P(A) | 2 | 6.699 | 32.495 | 0.001 | |
| P(R) | 2 | 15.521 | 82.899 | 0.000 |
| Variety | Moisture Content | Ear Weight | Triaxial Size of the Corn Kernel | ||
|---|---|---|---|---|---|
| Length | Width | Thickness | |||
| ZD958 | 26.0 ± 1.1% | 283.16 ± 8.97 | 10.32 ± 0.24 | 8.63 ± 0.29 | 4.39 ± 0.16 |
| ZD958 | 30.8 ± 0.7% | 298.26 ± 14.15 | 11.28 ± 0.42 | 9.73 ± 0.12 | 4.82 ± 0.17 |
| ZD958 | 35.3 ± 1.6% | 336.42 ± 9.11 | 12.33 ± 0.51 | 10.78 ± 0.38 | 5.41 ± 0.23 |
| NK815 | 26.1 ± 1.2% | 296.31 ± 14.35 | 10.83 ± 0.77 | 9.55 ± 0.49 | 4.57 ± 0.36 |
| NK815 | 31.3 ± 1.5% | 313.57 ± 8.18 | 11.79 ± 0.81 | 10.33 ± 0.43 | 4.97 ± 0.41 |
| NK815 | 35.0 ± 0.9% | 342.17 ± 16.35 | 12.18 ± 0.88 | 10.69 ± 0.32 | 5.18 ± 0.35 |
| JN858 | 26.3 ± 1.5% | 301.24 ± 10.12 | 11.13 ± 0.46 | 7.42 ± 0.32 | 4.78 ± 0.14 |
| JN858 | 31.5 ± 1.2% | 315.41 ± 15.13 | 12.28 ± 0.35 | 8.58 ± 0.27 | 5.32 ± 0.26 |
| JN858 | 35.8 ± 1.6% | 352.16 ± 4.76 | 13.31 ± 0.61 | 9.86 ± 0.33 | 5.41 ± 0.19 |
| QY187 | 26.8 ± 1.4% | 288.27 ± 9.63 | 11.03 ± 0.56 | 9.53 ± 0.42 | 4.24 ± 0.11 |
| QY187 | 32.1 ± 0.8% | 308.64 ± 11.47 | 11.98 ± 0.73 | 10.18 ± 0.33 | 4.78 ± 0.05 |
| QY187 | 36.4 ± 0.4% | 335.26 ± 15.45 | 12.35 ± 0.54 | 10.87 ± 0.41 | 5.23 ± 0.29 |
| Variety | Ear Weight | Triaxial Size of the Corn Kernel | ||
|---|---|---|---|---|
| Length | Width | Thickness | ||
| ZD958 | 305.95 ± 13.83 b | 11.31 ± 0.94 b | 9.71 ± 0.33 a | 4.87 ± 0.31 b |
| QY187 | 310.72 ± 12.26 b | 11.79 ± 0.41 ab | 10.20 ± 0.56 a | 4.75 ± 0.36 b |
| NK815 | 317.35 ± 10.42 a | 11.60 ± 0.63 b | 10.19 ± 0.27 a | 4.91 ± 0.29 b |
| JN858 | 322.94 ± 7.65 a | 12.24 ± 0.55 a | 8.62 ± 0.42 b | 5.17 ± 0.24 a |
| Variety | Moisture Content | Elastic Modulus | The Breaking Force of Corn Kernel | The Breaking Force of corn Pedicel | ||||
|---|---|---|---|---|---|---|---|---|
| Ventral | Lateral | Top | Normal | Axial | Radial | |||
| ZD958 | 26.0 ± 1.1% | 224.32 ± 16.12 | 364.92 ± 14.45 | 94.73 ± 26.41 | 55.35 ± 7.62 | 26.84 ± 2.15 | 8.36 ± 2.06 | 6.71 ± 1.13 |
| ZD958 | 30.8% ± 0.7% | 173.57 ± 15.53 | 273.34 ± 31.79 | 83.58 ± 15.32 | 44.24 ± 10.99 | 22.63 ± 3.88 | 9.74 ± 1.18 | 8.34 ± 0.76 |
| ZD958 | 35.3% ± 1.6% | 139.46 ± 14.19 | 168.28 ± 15.33 | 69.47 ± 26.54 | 36.94 ± 8.22 | 15.41 ± 2.37 | 10.28 ± 0.67 | 10.96 ± 0.49 |
| NK815 | 26.1% ± 1.2% | 243.76 ± 16.52 | 401.62 ± 28.65 | 102.21 ± 19.55 | 69.34 ± 13.55 | 32.72 ± 5.33 | 10.91 ± 1.12 | 5.78 ± 0.42 |
| NK815 | 31.3% ± 1.5% | 184.23 ± 18.63 | 306.84 ± 17.37 | 93.83 ± 15.78 | 58.74 ± 11.29 | 27.38 ± 4.29 | 11.63 ± 0.88 | 7.96 ± 0.58 |
| NK815 | 35.0% ± 0.9% | 147.18 ± 17.81 | 196.61 ± 22.11 | 87.64 ± 17.32 | 52.61 ± 15.36 | 21.57 ± 4.72 | 12.73 ± 1.56 | 9.42 ± 0.87 |
| JN858 | 26.3% ± 1.5% | 216.29 ± 15.93 | 356.31 ± 19.88 | 85.22 ± 18.62 | 49.64 ± 6.42 | 23.27 ± 4.66 | 6.31 ± 0.94 | 5.37 ± 0.27 |
| JN858 | 31.5% ± 1.2% | 168.31 ± 18.12 | 242.49 ± 21.68 | 73.68 ± 19.37 | 39.17 ± 6.35 | 18.44 ± 2.79 | 8.55 ± 1.14 | 6.28 ± 0.18 |
| JN858 | 35.8% ± 1.6% | 135.28 ± 9.69 | 147.82 ± 10.77 | 67.43 ± 28.76 | 35.47 ± 5.29 | 11.94 ± 3.82 | 9.49 ± 1.37 | 9.36 ± 0.51 |
| QY187 | 26.8% ± 1.4% | 231.53 ± 15.62 | 376.26 ± 20.68 | 118.61 ± 18.36 | 60.83 ± 14.21 | 29.34 ± 3.71 | 8.24 ± 0.56 | 6.42 ± 0.15 |
| QY187 | 32.1% ± 0.8% | 181.49 ± 16.32 | 301.67 ± 33.64 | 103.54 ± 19.69 | 46.52 ± 9.38 | 24.76 ± 3.84 | 10.49 ± 1.26 | 8.74 ± 0.36 |
| QY187 | 36.4% ± 0.4% | 142.12 ± 15.53 | 185.29 ± 28.76 | 84.18 ± 17.38 | 38.73 ± 11.91 | 18.85 ± 4.49 | 11.53 ± 2.23 | 10.27 ± 0.72 |
| Variety | Elastic Modulus | The Breaking Force of Corn Kernel | The Breaking Force of Corn Pedicel | ||||
|---|---|---|---|---|---|---|---|
| Ventral | Lateral | Top | Normal | Axial | Radial | ||
| ZD958 | 179.12 ± 15.35 bc | 268.85 ± 38.44 b | 82.59 ± 16.83 b | 45.51 ± 14.26 b | 21.63 ± 5.16 c | 9.46 ± 0.94 b | 8.67 ± 0.96 a |
| QY187 | 185.05 ± 13.29 ab | 287.74 ± 22.39 a | 102.11 ± 20.19 a | 48.69 ± 12.52 b | 24.32 ± 3.27 b | 10.09 ± 1.72 b | 8.48 ± 0.82 ab |
| NK815 | 191.72 ± 17.41 a | 301.69 ± 26.28 a | 94.56 ± 23.51 a | 60.23 ± 7.65 a | 27.22 ± 3.16 a | 11.76 ± 0.88 a | 7.72 ± 0.65 bc |
| JN858 | 173.29 ± 16.33 c | 248.87 ± 17.86 c | 75.44 ± 17.68 b | 41.43 ± 6.19 c | 17.88 ± 5.33 d | 8.12 ± 0.23 c | 7.00 ± 0.39 c |
Disclaimer/Publisher’s Note: The statements, opinions and data contained in all publications are solely those of the individual author(s) and contributor(s) and not of MDPI and/or the editor(s). MDPI and/or the editor(s) disclaim responsibility for any injury to people or property resulting from any ideas, methods, instructions or products referred to in the content. |
© 2023 by the authors. Licensee MDPI, Basel, Switzerland. This article is an open access article distributed under the terms and conditions of the Creative Commons Attribution (CC BY) license (https://creativecommons.org/licenses/by/4.0/).
Share and Cite
Zhu, X.; Chi, R.; Ma, Y. Effects of Corn Varieties and Moisture Content on Mechanical Properties of Corn. Agronomy 2023, 13, 545. https://doi.org/10.3390/agronomy13020545
Zhu X, Chi R, Ma Y. Effects of Corn Varieties and Moisture Content on Mechanical Properties of Corn. Agronomy. 2023; 13(2):545. https://doi.org/10.3390/agronomy13020545
Chicago/Turabian StyleZhu, Xiaolong, Ruijuan Chi, and Yueqi Ma. 2023. "Effects of Corn Varieties and Moisture Content on Mechanical Properties of Corn" Agronomy 13, no. 2: 545. https://doi.org/10.3390/agronomy13020545
APA StyleZhu, X., Chi, R., & Ma, Y. (2023). Effects of Corn Varieties and Moisture Content on Mechanical Properties of Corn. Agronomy, 13(2), 545. https://doi.org/10.3390/agronomy13020545
