Next Article in Journal
Effect of Dynamic PET Scaling with LAI and Aspect on the Spatial Performance of a Distributed Hydrologic Model
Next Article in Special Issue
Edge Device Detection of Tea Leaves with One Bud and Two Leaves Based on ShuffleNetv2-YOLOv5-Lite-E
Previous Article in Journal
Pine Chip and Poultry Litter Derived Biochars Affect C and N Dynamics in Two Georgia, USA, Ultisols
Previous Article in Special Issue
Branch Interference Sensing and Handling by Tactile Enabled Robotic Apple Harvesting
 
 
Font Type:
Arial Georgia Verdana
Font Size:
Aa Aa Aa
Line Spacing:
Column Width:
Background:
Article

Summer Maize Growth Estimation Based on Near-Surface Multi-Source Data

1
School of Agricultural Engineering and Food Science, Shandong University of Technology, Zibo 255000, China
2
Research of Institute of Ecological Unmanned Farm, Shandong University of Technology, Zibo 255000, China
*
Author to whom correspondence should be addressed.
Agronomy 2023, 13(2), 532; https://doi.org/10.3390/agronomy13020532
Submission received: 4 December 2022 / Revised: 7 February 2023 / Accepted: 10 February 2023 / Published: 12 February 2023
(This article belongs to the Special Issue AI, Sensors and Robotics for Smart Agriculture)

Abstract

:
Rapid and accurate crop chlorophyll content estimation and the leaf area index (LAI) are both crucial for guiding field management and improving crop yields. This paper proposes an accurate monitoring method for LAI and soil plant analytical development (SPAD) values (which are closely related to leaf chlorophyll content; we use the SPAD instead of chlorophyll relative content) based on the fusion of ground–air multi-source data. Firstly, in 2020 and 2021, we collected unmanned aerial vehicle (UAV) multispectral data, ground hyperspectral data, UAV visible-light data, and environmental cumulative temperature data for multiple growth stages of summer maize, respectively. Secondly, the effective plant height (canopy height model (CHM)), effective accumulation temperature (growing degree days (GDD)), canopy vegetation index (mainly spectral vegetation index) and canopy hyperspectral features of maize were extracted, and sensitive features were screened by correlation analysis. Then, based on single-source and multi-source data, multiple linear regression (MLR), partial least-squares regression (PLSR) and random forest (RF) regression were used to construct LAI and SPAD inversion models. Finally, the distribution of LAI and SPAD prescription plots was generated and the trend for the two was analyzed. The results were as follows: (1) The correlations between the position of the hyperspectral red edge and the first-order differential value in the red edge with LAI and SPAD were all greater than 0.5. The correlation between the vegetation index, including a red and near-infrared band, with LAI and SPAD was above 0.75. The correlation between crop height and effective accumulated temperature with LAI and SPAD was above 0.7. (2) The inversion models based on multi-source data were more effective than the models made with single-source data. The RF model with multi-source data fusion achieved the highest accuracy of all models. In the testing set, the LAI and SPAD models’ R2 was 0.9315 and 0.7767; the RMSE was 0.4895 and 2.8387. (3) The absolute error between the extraction result of each model prescription map and the measured value was small. The error between the predicted value and the measured value of the LAI prescription map generated by the RF model was less than 0.4895. The difference between the predicted value and the measured value of the SPAD prescription map was less than 2.8387. The LAI and SPAD of summer maize first increased and then decreased with the advancement of the growth period, which was in line with the actual growth conditions. The research results indicate that the proposed method could effectively monitor maize growth parameters and provide a scientific basis for summer maize field management.

1. Introduction

Maize is an important source of food and feed. It is necessary to use multi-source remote sensing technology to accurately and efficiently monitor maize growth and nutrition status in real time [1,2,3,4,5]. Using this technology to guide field production management is critical to improving maize yield and quality for global food security. Leaf area index (LAI) and chlorophyll relative content (SPAD) can quantitatively describe the changing relationship between crop leaves and leaf density. Both are important indicators in characterizing crop photosynthesis and biomass. The LAI and SPAD are also important agronomic parameters to monitor crop growth and yield [6]. Therefore, quickly and accurately measuring the relative chlorophyll content and leaf area index of crops has always been a research hotspot.
The development of UAV technology and spectral technology provides a new method for the remote sensing monitoring of crops [7,8,9]. An et al. used ground hyperspectral data, combined with Gaussian process regression (GPR), random forest regression (RFR), support vector regression (SVR) and gradient boosting regression tree (GBRT) to perform chlorophyll inversion and, finally, the RFR model obtained a good inversion accuracy [10]. Mao et al. carried hyperspectral equipment using an unmanned aerial vehicle (UAV). Multi-angle hyperspectral data were obtained for soybean, and various vegetation indices were calculated based on these data to explore the relationship between vegetation index, SPAD and leaf angle. Finally, the optimized soil-adjusted vegetation index (OSAVI) showed better sensitivity to leaf angle, and the modified chlorophyll absorption reflectance index (MCARI1) was the most sensitive to soybean SPAD [11]. Liu et al. also explored the construction of the soybean SPAD inversion method based on the hyperspectral vegetation index and spectral characteristics [12]. Some scholars studied the LAI inversion of the crop canopy by combining satellite data with ground-measured point data. Then, they constructed a variety of LAI inversion models [13,14,15,16]. Another portion of scholars constructed crop inversion models using UAV hyperspectral and multispectral data combined with ground-measured data [17,18,19,20,21]. Then, they analyzed the best inversion index of the model.
The above studies have improved the monitoring accuracy of maize growth to a certain extent. Still, most studies only use spectral data to monitor maize growth and do not consider environmental factors and maize change factors. Many studies are based on hyperspectral features or multispectral vegetation indices. However, many of these studies only have one data source. Most growth parameters are based on a single crop growth period. However, maize growth monitoring, when based on a single data source, has certain defects because the physical and chemical parameters and environment in different growth periods are constantly changing [22]. Due to these insufficiencies, this study used UAV multispectral data, the effective accumulated temperature of the crop environment, effective plant height data and hyperspectral data as source data. Then, we used traditional statistical models and machine learning models to construct the LAI and SPAD models of maize in multiple growth periods to improve the inversion accuracy of LAI and SPAD. Finally, we verified the accuracy of the model through the measured data, which could provide theoretical support for the accurate and high-precision inversion of leaf area index and chlorophyll content at a large scale. The method proposed by the research could effectively monitor maize growth parameters and provide a scientific basis for summer maize field management.

2. Materials and Methods

2.1. Overview of the Study Area

The test area was located in the ecological unmanned farm of Shandong University of Technology, Zhutai Town, Linzi District, Zibo City, Shandong Province (36°57′15″ N, 118°12′50″ E, Figure 1). The altitude of the test site is about 27 m. The site is dominated by plains and has a flat terrain. This area has a temperate, semi-humid, continental monsoon climate. The annual average temperature is about 13.2 °C. The average annual rainfall is 650~800 mm. The annual sunshine hours are about 2100 h, and the annual effective accumulated temperature is about 2600 °C. These conditions are suitable for the growth of crops such as maize and wheat (The average data on accumulated temperature and precipitation in this study are derived from: https://www.cma.gov.cn/, accessed on 1 January 1981 to 1 January 2010).
The two-year trial took place at different plots in the same area. Three maize varieties were selected in this experiment. In 2020, we used Jinyangguang 6 for the single-variety test, and five 1m × 1m sampling plots were set up using the five-point sampling method. In 2021, we used Jinyangguang 6, Chunyu 985, and Nongxing 207 for multi-variety experiments, with three replicates for each one, and five 1 m × 1 m sampling plots were set up for each replicate using the equidistant sampling method. We used machine sowing for the two years. The maizerow spacing was 60 cm, and the plant spacing was 22.5 cm. Organic fertilizer and compound fertilizer were applied as base fertilizers before sowing. In the whole process of the experiment, we adopted the way of field unified management.

2.2. Multi-Source Data Collection and Preprocessing of Summer Maize

In order to ensure the validity of the model, we obtained multi-source remote sensing data for two different plots: multi-period and multi-variety. Multi-source data for the summer maize horn stage (20 July), tasseling stage (9 August) and bubbling stage (21 August) were collected by the ground sensor and UAV. Finally, we acquired the hyperspectral and multispectral spectra, the visible light data, leaf area data, relative chlorophyll content data and field-accumulated temperature data for the study area.
The Yaxin1242 leaf area meter (Beijing Yaxin Liyi Technology Co., Ltd., Beijing, China, Figure 2a) can quickly measure parameters such as crop leaf area and perimeter. It is convenient and fast, and does not require any calibration before being used. Therefore, we selected Yaxin1242 to measure the true value of the leaf area. When collecting the test data, two well-growing plants were selected from each test plot as the target plants. According to the total number of leaves, they were divided into upper, middle and lower layers. A healthy leaf was selected for each layer as the collection object (Figure 2b). The Yaxin1242 leaf area meter was measured three times and recorded in the sampling record sheet. We also recorded the total number of plants in the sample area, the total number of leaves, and the GPS information of the sampling plants in the collection sheet. The GPS information collection uses XAG XRTK3 (Guangzhou Jifei Technology Co., Ltd., Guangzhou, China). The device was designed based on GNSS-RTK. When used, it adopts the form of cloud connection to the base station, with a measurement accuracy of 1~2 cm. Using the RTK, the position information of the ground calibration point can be accurately recorded.
A PSR1100-f non-imaging hyperspectral measuring instrument (Spectral Evolution, Haverhill, MA, USA, Figure 2c) was used to collect hyperspectral maize samples at the sampling point. Its measurement range was 320~1100 nm, and the sampling interval was 1.5 nm. Through the format conversion tool (SED-to-CSV converter), the data can be resampled to 1nm resolution and stored directly as a .csv file. The collection time was from 11:00 pm to 14:00 pm. Before the collection, a standard white plate was used for calibration to remove the influence of the dark current. The sampling plants were selected in the same way as the plants selected for leaf area collection. During the collection, the probe was located 0.5 m away from the crop canopy and was perpendicular to the ground. Each sampling point was collected from five times, and the average of the spectral curves was used as the value of this point.
SPAD502 Plus (produced by Koni Minolta, Japan, Figure 2d) measures relative chlorophyll content by measuring the light transmittance of leaves. The instrument is easy to carry and use, and the measurement is accurate and reliable. Therefore, this study used this instrument to measure the chlorophyll content during field measurement. The trial was conducted over two years, and the test area was the same during these two years. During the experiment, for each measurement, the same corn plant as the leaf area measurement was selected as the measurement object, and each leaf was measured five times during the measurement process. We used the average value as the area of the leaves.
MS600 Pro multispectral camera (Yusense, Inc., Qingdao, China, Figure 2e) contains six single-band channels. The single-band channels and spectral resolutions were 450 nm@35 nm, 555 nm@25 nm, 660 nm@22.5 nm, 710 nm@10 nm, 840 nm@30 nm and 940 nm. The pixel resolution was 1280 × 960, and the storage format was .tif. The multispectral data of the UAV were acquired at 10:00–12:00 pm on the same day, under cloud-free and windless conditions. The UAV’s flying height was 70 m. The flight speed was 4 m/s. The heading overlap was 80% and the lateral overlap was 70%. The camera was exposed using a scheduled exposure. Using the time-exposure technique, we acquired two sets of standard whiteboard images before and after each flight for data collection.
We used the DJI Phantom 4RTK (DJI-Innovations Inc., Shenzhen, China, Figure 2f) with a camera (model, DJI FC6310R), a 1-inch CMOS sensor, a single-channel visible light image in the data format .jpg, and a pixel resolution of 5472 × 3684 to obtain high-precision visible light data in the sampling area. Then, the high-precision point cloud data were generated based on the UAV data.
All the hyperspectral data were smoothed and filtered by a locally weighted regression method (Lowess). The first derivative of the original spectrum was also solved. Then, the PIX4D mapper was used to stitch visible light data and multispectral data to obtain multispectral raster images and DSM data for each period. The LAI data of each sampling area were obtained by Formula (1).
L A I j = i = 1 ( N i × S i ) × n 2 × S
where LAIj is the leaf area index of each plot, j is the number of plots (j = 1,2,3,4……); i is the number of leaves (i = 1,2,3,4……); Ni is the total number of leaves in each layer; Si is the mean leaf area of each layer representing leaves (m2); n is the total number of plants in the sample point; S is the plot area, (m2). A total of 150 datasets were obtained over two years (each set of data includes hyperspectral, multi-spectral, plant height, accumulated temperature, LAI and SPAD data of a sampling point). Finally, we combined the original RGB image and the data of adjacent sampling points. Then, we compared the spectral curve with other data. The result showed that when the crop varieties and growing conditions were consistent, the spectral curve of the sampling point was abnormally high and low, and the spectral curve had too many jagged peaks. Therefore, these eight spectral curves were eliminated, and 142 sets of valid data were finally obtained.

2.3. Extraction of Multi-Source Sensitive Features of Summer Maize

The calculation of the effective plant height was conducted using the method developed by Niu et al. [23]. Since the land in this area is relatively flat, the bare ground height can be calculated directly from the DSM image. First, we randomly obtained 20 bare-ground data groups of the DSM image in each period through the python language, combined with the Geospatial Data Abstraction Library (GDAL). Then, we took the average value as the true value of the bare land. Finally, we subtracted the bare land value from the DSM value of the plant to obtain the final effective plant height (canopy height model (CHM)). Gao et al. extracted the plant height of wheat by subtracting the bare DSM value from the drone DSM data, which proved the reliability of the method [24]. By analyzing the measured plant height at the sampling point and using the above method to calculate the plant height, we found the plant height and CHM to have a good correlation and the regression model R2 to be above 0.8. This indicates that the above method has a high accuracy for CHM extracted from remote-sensing images.
The effective accumulated temperature (growing degree days (GDD)) refers to the sum of the effective temperature for a certain crop growth period. This denotes the difference between the daily temperature and the lower-limit temperature of crop growth during the growth period. Generally, the lower-limit temperature of maize growth in North China is 8~10 °C [25,26,27], so this study selected the lower-limit temperature of maize as ten degrees Celsius. We obtained the daily temperature of each period from the weather station located in the field, and used the following formula to calculate the accumulated temperature:
G D D i = i = 1 n ( T i T )
where GDDi represents the effective accumulated temperature at each stage, °C; Ti represents the daily average temperature during the growth period, °C; T is the lower limit temperature of maize, °C; n is the number of growing days.
For the multi-spectral UAV data, based on previous studies [12,18,19,28,29,30,31,32,33,34,35], this study calculated NDVI, RVI, GNDVI, DVI, SAVI and RDVI, which represented a total of six vegetation indices related to chlorophyll content. We also calculated WDRVI, GRVI, NDVI, RVI, PVI, PBI, EVI, OSAVI, MSR and TGDVI, i.e., a total of ten vegetation indices related to leaf area index. All the vegetation index calculation equations are shown in Table 1. Then, we screened the LAI- and SPAD-sensitive vegetation indices.
Hyperspectral data can express detailed information, but they contain plenty of data redundancies. Therefore, based on the previous studies, this study analyzed the hyperspectral data acquired via the correlation analysis. We selected high-correlation VIs with LAI and SPAD as sensitive features. These include the hyperspectral red edge, the λr position, the position of the highest point of near-infrared reflectance λnir, the position of the yellow edge λy, the first-order differential value Dy in the yellow edge, the first-order differential value Db in the blue edge, the first-order differential value Dr in the red edge, the green peak reflectivity Rg and the red valley reflectance Rr [36,37]. The definition of each spectral feature is shown in Table 2, and the sensitive feature was further optimized to build an inversion model.
Using the UAV visible light data and GPS information of the sampling area, Python and GDAL were used to construct sampling point vector files. After performing a comparison, we found that 120 pixels can cover the entire plant at the sampling point. Therefore, the vector file was set as a rectangle containing 120 pixels. This method was used to extract the vegetation index data of sampling points in each period.
Correlation analysis can effectively express the closeness between variables and targets, and so the LAI- and SPAD-sensitive features are preferred in correlation analysis. In the correlation analysis, when the p value of the parameters is less than 0.05, we consider the correlation between the parameters to be significant. However, at the same time, we referred to the correlation coefficient R-value for correlation division. It is generally considered that, under the condition of significant parameters, the R-value between the parameters is weakly correlated between 0.3 and 0.5, the R-value between 0.5 and 0.8 is moderately correlated, and when the R-value is more than 0.8, it is highly correlated. Therefore, parameters with a correlation greater than 0.5 are usually selected to build regression models.

2.4. Construction and Evaluation Method of Summer Maize Growth Parameter Inversion Model

Although the deep learning model can obtain good inversion accuracy, the training time and equipment requirements are high, and the model generalization is poor. Therefore, machine learning models and statistical linear regression models were selected for inversion model construction in this study to obtain inversion models with good generalization ability and accuracy.
Multiple linear regression (MLR) can explain the same dependent variable through multiple independent variable parameters, and the prediction effect is more realistic than if a single parameter were used [28]. In this paper, we used environmental data, multispectral data, hyperspectral data and multi-source data to construct the model. To express the influence of each parameter in detail, we selected and verified the forward method to be used create the LAI and SPAD inversion models. The forward process determines whether variables should be introduced by sequentially introducing variables into the empty model and calculating the F value of the model at a given α (α = 0.25) level. During the model testing, the model will calculate the model R2 after each variable is introduced. After that, variables are introduced into the model; the model with the largest R2 will be used as the final model and output.
Random forest regression (RF) is based on a decision tree. By voting or combining each uncorrelated weak decision tree, the model obtains a strong decision tree during all results; this is regarded as the final model result [29]. This method has the advantages of good data adaptability, a quick training speed, and the prevention of overfitting. It is often used for data classification and regression. In this study, the number of RF model iterations was set to 200; the step size was 1. To reduce unnecessary training time, the training effect is best when the depth of the decision tree is determined to be 3. Then, environmental data, multispectral data, hyperspectral data and multi-source data were used as input parameters in the RF model to construct an RF inversion model.
Partial least-squares regression (PLSR) is widely used in various fields because of its reliability and adaptability in the multivariate data processing. This method is based on principal component analysis and principal component regression. It has good adaptability to multi-linear correlation variables. The regression model is mainly used to predict target changes [38]. Therefore, in this research, we used the leave-one-out method for cross-validation. Then, the inversion model of LAI and SPAD was constructed based on the environmental data, multispectral data, hyperspectral data and multi-source data.
In this paper, LAI and SPAD inversion models of summer maize were constructed by combining the sensitive characteristics of maize in various periods using the above methods. All models were based on the fusion of single and multivariate data. The model accuracy was evaluated through the model root-mean-square error and coefficient of determination, and the LAI and SPAD prediction effects were analyzed through the generated prescription map.

3. Results and Analysis

3.1. Correlation Analysis between Hyperspectral Features and Summer Maize LAI and SPAD

A correlation analysis was carried out to compare the hyperspectral feature data and the measured LAI and SPAD values of the sampling points in each period (Table 3). Except for the location of the yellow edge and the first-order differential value within the yellow edge, other hyperspectral features were sensitive to LAI. The results showed that Rg, Rr, λnir and Db were significantly correlated with LAI, with p values of less than 0.05. However, the correlation was less than 0.35, which is a weak correlation. The correlation between λr, Dr and LAI was greater than 0.5. This shows a strong correlation. The position of the red edge, the position of the yellow edge and the first-order differential value in the red edge were positively all correlated with SPAD. Other features were negatively correlated. Rg, Rr, λr, and Dr were significantly correlated with SPAD, and the correlation was between 0.49 and 0.75. Rr, λr, Dr correlation was greater than 0.5; the red edge position correlation reached 0.754, and the other features were weakly correlated. Λy and Dy showed the weakest correlation with SPAD. The p values were 0.427 and 0.816, which were not significant. Compared with other bands, the correlation was stronger in the red range band, which indicates that maize LAI and SPAD are more sensitive to the red band of the spectrum. Therefore, we selected the λr, Dr and Rr as SPAD hyperspectral-sensitive features, and selected λr and Dr as LAI hyperspectral-sensitive features for the construction of an inversion model.

3.2. Correlation Analysis of Vegetation Index and Environmental Characteristics with Summer Maize LAI and SPAD

We analyzed the correlation between the multi-spectral vegetation index and environmental characteristics with the LAI and SPAD (Table 4). We found that the LAI is significantly correlated with the vegetation indexes and environmental parameters, except MSR. The correlation between the LAI and WDRVI, NDVI, RVI, PVI, PBI, OSAVI, CHM, and GDD was greater than 0.7, showing a strong correlation. However, TGDVI and EVI had a weak correlation with LAI, at only about 0.35. By analyzing the vegetation index calculation method, we found that the LAI had a strong correlation with the Vis, which included the red band and the near-infrared band. However, the vegetation index included the green band, and the blue band had a weaker correlation with LAI. It may be that, as the leaf area increases, the absorption of the red band is stronger than that of the blue band, and the reflection of the near-infrared band is stronger than the green band. Therefore, the vegetation index, which included the red band and the near-infrared band, had a high correlation with the LAI and SPAD. With the advancement of the maize growth period, the maize plant height gradually increases, its leaves expand, the leaf area gradually increases, and the environmental temperature gradually accumulates. Therefore, the effective plant height and environmental accumulated temperature of maize showed a high correlation with the LAI.
All the selected vegetation indices showed a high correlation with SPAD, except for the case of DVI and SPAD, with a correlation of 0.795. The correlations between other vegetation indices and SPAD were all over 0.8, showing significant positive correlations, while NDVI had the highest correlation. Environmental characteristics showed that the correlation between effective plant height and environmental accumulated temperature and SPAD was about 0.75, a significantly positive correlation. This indicated that maize plant height and environmental accumulated temperature were closely related to the changes in chlorophyll content. Therefore, in this paper, vegetation indices and environmental characteristics with a correlation coefficient of greater than 0.7 were selected as the LAI- and SPAD-sensitive indices. Then, the LAI and SPAD inversion model was constructed using the sensitive indices.

3.3. Construction of Summer Maize LAI and SPAD Inversion Models

3.3.1. Construction of Summer Maize LAI and SPAD Inversion Model under a Single Data Source

The chi-square independence test can verify the independence or dependence between two or more factors. To verify the independence between the factors, we tested the sample independence of all variables using the chi-square test. The results are shown in Figure 3: except that the p values of GDD and λr, Dr and λr, and Dr and GDD are less than 0.05, the variables are correlated, and the p values of other variables are all greater than 0.05. This means that the variables indicate the null hypothesis, and the samples are independent of each other. We used the above data to perform a regression analysis on the LAI. We found that the R2 of the model constructed after adding all the variables is about 0.92. However, the R2 of the model after removing the dependent variables is about 0.91. This showed that the dependent variables have little effect on the model accuracy. Therefore, we constructed LAI and SPAD inversion models based on the above single feature. The model accuracy and root-mean-square error are shown in Table 5.
From Table 5, we can see that the LAI and SPAD models based on only hyperspectral features were both ineffective. In the training set, only the RF model had an R2 of 0.9, while the R2 value of the other models was only about 0.6. The R2 values in the testing set were between 0.4748 and 0.6201, and the model’s RMSE was large. This meant that the model could not predict the changes in LAI and SPAD.
The inversion model based only on the vegetation index has a better inversion effect than the model that only used hyperspectral or environmental data. On both the training set and the testing set, the LAI model’s R2 was about 0.9, while the SPAD model’s R2 was about 0.7, and the RMSE of each model was relatively low. This showed that the models based on the vegetation index could better predict changes in LAI and SPAD. Among the inversion models, the RF model showed better prediction results on the training set, and the model’s R2 was around 0.9. On the testing set, the R2 of the prediction model for LAI was above 0.9, and the R2 of the prediction model for SPAD was about 0.7. The MLR and PLSR models showed good inversion results for LAI. The model’s R2 was above 0.85 in both the training and testing set, but the model had a relatively low effect on SPAD inversion, and the R2 values on the training and testing set were between 0.6 and 0.75. The synthesis of all models shows that the RF model was the optimal LAI and SPAD inversion model, with these results being obtained by analyzing this data source.
When the inversion model was constructed only based on the environmental features, the LAI model showed a good inversion effect. The LAI model’s R2 values were about 0.85 on both the training and testing sets, and the RMSE was relatively low. The SPAD model was less effective. Except for the RF model, other models’ R2 values on the training and testing set were only about 0.55, and the RMSE was relatively high, indicating that the model inversion effect is low.

3.3.2. Construction of Summer Maize LAI and SPAD Inversion Model Based on Multi-Source Feature Fusion

Taking LAI and SPAD as dependent variables and the above parameters as independent variables, we constructed the LAI and SPAD inversion models based on multi-source feature fusion data. The model accuracy and root-mean-square error are shown in Table 6.
Table 6 shows that all the models constructed based on multi-source feature fusion showed strong inversion effects. The LAI model had an R2 of more than 0.9 on the training and testing sets, and the RMSE was less than 1. In the SPAD inversion model, only the RF model had an R2 above 0.9 on the training set, and an R2 of 0.7767 on the testing set, with the lowest RMSE. The R2 values of the MLR and PLSR models on the training and testing set were between 0.6 and 0.8, and the RMSE was relatively low. The results indicated that each model could predict the changes in LAI and SPAD well, and the RF model had the best prediction effect.
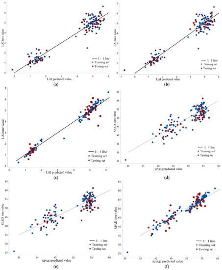
The comprehensive comparison shows that the inversion model, constructed based on a single feature had a relatively poor inversion effect, while the inversion model constructed by the fusion of multi-source features had a better inversion effect. Further comparison of the models using the same data source (Figure 4) showed that the LAI and SPAD inversion models led to similar results. In all the inversion models, the RF model had the best inversion effect, followed by the MLR model, and the PLSR model had the worst. That presents that the machine learning model can better predict changes in summer maize growth parameters. Therefore, the RF model was adopted as the final inversion model for summer maize LAI and SPAD.

3.4. Validation and Analysis of Prescription Map Results of LAI and SPAD in Summer Maize

We used python and the GDAL to perform grid operations. The optimal inversion model was optimized to generate prescription graphs (Figure 5 and Figure 6) and the extract prescription graphs were used to verify the accuracy of model inversion results for each period of two years. Then, combined with the prescription map data, the changes in LAI and SPAD of summer maize were analyzed for each period. The inversion values of the prescription map in each period were extracted from the sampling point vector file. We calculated the difference between the measured value and the extracted value at the sampling point. Then, we obtained the absolute error and the root mean square. Finally, the values in each period were averaged (Table 7) to further verify the numerical accuracy of the inversion results.
Analyzing the difference in the LAI prescription map, it was found that the average difference in the RF model in the tasseling period was above the model’s RMSE. However, the deviation was small. This means the model showed a certain deviation in the tasseling period. However, the overall accuracy was relatively high. We found that, in the same model, with the advancement of the reproductive period, the model’s prediction difference showed an increasing trend, but was still smaller than the model’s RMSE. For the same period, the prediction difference of the RF model was relatively low, and the difference between the MLR and PLSR models was relatively low. This means that the prediction effect of the RF model is the best. From the difference in the SPAD prescription map results, it can be seen that, in the same period, the average difference in the RF model was the lowest, the difference in the MLR model was the second lowest, and the PLSR model had the largest difference. For the same model, the average difference in the model was smaller than the model’s RMSE for each maize period, indicating that the model had a good generalization ability.
Figure 7 shows the extracted values for each model prescription map and the scatter plot of the measured values. Figure 7a showed that the measured value and the extracted value of the prescription map were distributed evenly and close to the fitting line. The line of the RF model was relatively close to the 1:1 line. Both the MLR model and the PLSR model showed a larger deviation in the low-value area of LAI. This means that each model could effectively predict the change in LAI and that the RF model had the best prediction effect. By combining the original data and the model itself, we could see that the linear model was greatly affected by the data. In this period, the spectral data were generally low, some areas were affected by the growth of crops, and the spectral data had abnormally low values. Therefore, the model underestimates the low value of LAI, and the predicted value of some sampling points appears to be negative.
Figure 7b showed that the measured value and the extracted value of the prescription map were evenly distributed near the fitting line. However, the scattered points were relatively discrete. The fitting line of the RF model was the closest to the 1:1 line, followed by the MLR model, and the PLSR model had the largest deviation. It was shown that each model could effectively predict the SPAD change in summer maize, and the RF model had the best prediction effect. Due to the influence of the linear model itself, the fitting lines of the MLR and PLSR models in the later stage of growth deviate from the 1:1 line downward, which eventually leads to a certain overestimation of the model.
Based on the scatter plot and difference table, we can see that each model can predict the changes in LAI and SPAD of summer maize well, and the prescription maps are accurate. By comparing the inversion models, we can see that the RF model has the highest inversion effect on both LAI and SPAD, followed by the MLR model, and that the PLSR model’s effect is relatively low.

3.5. Variation Analysis of Growth Parameters of Summer Maize in Multi-Growth Period

The LAI and SPAD values of each period were extracted from the prescription map, and we used the mean value to construct a histogram of changes in SPAD and LAI in each growth period over two years, as shown in Figure 8.
We can see from Figure 8 that SPAD first increased and then decreased in both years. LAI first increased and then decreased in 2020, before continuing to increase in 2021. Combined with the environmental analysis of the experimental site (Table 8 and Table 9), we found that, during the vegetative growth stage, the rain and heat were better in 2021 than in 2020. These environmental factors are more suitable for maize growth. Therefore, in the reproductive growth stage, the leaves still stretched to a certain extent, and the LAI continued to increase. However, the SPAD value of maize did not continue to increase after the tasseling period. This indicated that, although the leaf area increased to a certain extent after maize reproductive growth, chlorophyll continued to decompose and SPAD continued to decrease. The overall analysis showed that the LAI and SPAD values of maize in the vegetative growth stage continuously increased with advancements in the growth period. The highest value was reached in the tasseling period, while the LAI and SPAD values of maize in the reproductive growth stage gradually decreased with the advancement of the growth period.

4. Discussion

4.1. The Effect of Multi-Data Source Fusion on the Prediction of Summer Maize LAI and SPAD

The spectral vegetation index was calculated based on the multispectral data, and then the prediction regression model was constructed, which means that the multispectral data have great potential for crop LAI and SPAD prediction [39,40,41]. For example, Ding et al. used multispectral data to predict changes in tomato SPAD, and the model’s Rc2 and Rv2 reached 0.9 and 0.88 [42]. If only relying on multispectral data, more detailed information about crops cannot be expressed, limiting the improvement in model inversion accuracy. Therefore, hyperspectral data and environmental parameters are gradually used to construct crop parameter inversion models [43,44]. For example, Dubrovin et al. used the DNVI maximum value, LAI and growing days constructed by MODIS to predict soybean yield, and the minimum prediction error was 7.2% [45]. In this study, we used multispectral data, hyperspectral data, CHM and GDD data to construct an inversion model based on the fusion of single- and multi-source data. Then, we discussed their effects on the LAI and SPAD of summer maize. We found that model accuracy presented similar results based on multi-source or single-source data. By comparing the accuracy of the models using different data, it was found that the accuracy of each model descends in order of multi-source data construction model > vegetation index construction model > environmental parameter construction model > hyperspectral data construction model. Moreover, the RF model using multi-source data fusion has the highest accuracy of all models. In the test set, the LAI and SPAD models R2 values were 0.9315 and 0.7767, and the RMSEs were 0.4895 and 2.8387, respectively. It was not difficult to determine that the accuracy of the inversion model under a single data source was relatively low, which showed that the use of multi-source data effectively improved the inversion accuracy of the model. However, determining which specific data combination can better predict LAI and SPAD will be the focus of our next research.

4.2. Comparative Analysis of Inversion Models

The correlation between data can be used to interpret the general linear regression model for the predicted target, which is poor and prone to overfitting [46]. Machine learning algorithms can better solve the problems related to model parameters and show strong data adaptability [47,48]. Therefore, in this study, the multivariate linear model, partial least-squares model and random forest model were used to construct the inversion model for summer maize growth parameters. Whether it is a single data source or based on multiple data siyrces, when analyzing the inversion effect of RF model inversion on LAI and SPAD, we find that the RF model has the best prediction effect in the training and test sets, but that the model overfits hyperspectral features. The prediction accuracy of PLSR and MLR models for LAI is between 0.6 and 0.93, and the prediction effect is good. The prediction accuracy of the two models for SPAD is between 0.5 and 0.77, and the prediction effect is relatively poor. However, for the same LAI and SPAD prediction, the prediction effect of the two models is relatively similar.
Comprehensive analysis shows that the RF model has a good inversion effect, and the PLSR model and MLR model have similar prediction effects, but that the performance of each model when based only on the hyperspectral data source is poor.

5. Conclusions

The study obtained two years of UAV multispectral, near-geo-hyperspectral and environmental data. Then, a multi-source data monitoring method for maize LAI and SPAD was proposed based on machine learning and traditional regression models. Finally, we obtained an inversion model with better generalization capabilities that can monitor maize LAI and SPAD faster and more accurately. The main conclusions were as follows:
(1) The multi-source characteristics data show a good inversion effect for LAI and SPAD. The multi-source sensitive features of LAI were CHM, GDD, λr, Dr, WDRVI, NDVI, RVI, PVI, PBI, and OSAVI. The multi-source sensitive features of SPAD were Rr, λr, Dr, NDVI, DVI, RVI, GNDVI, SAVI, RDVI, CHM, and GDD.
(2) Among the inversion models under a single data source, the models constructed with a multi-spectral vegetation index and environmental characteristics achieved higher accuracy than the models constructed using hyperspectral data. The inversion models based on multi-source data fusion performed better than those based on single-source data. This showed that multi-source data fusion was beneficial to improving the inversion accuracy of the model.
(3) Among the LAI and SPAD inversion models based on multi-source data fusion, the RF model has the best performance. In the testing set, the LAI model’s R2 was 0.9315, and the RMSE was 0.4895. The SAPD model had an R2 of 0.7767 and an RMSE of 2.8387.
(4) During the whole growth period for summer maize, LAI and SPAD showed a trend of first increasing and then decreasing and reached their maximum value at the tasseling period. The inversion results of the RF model in the model prescription map were closest to the true values. The prediction error of the LAI prediction prescription chart was less than 0.4895, and that of the SPAD prediction prescription chart was less than 2.8387. This showed that the RF model of multi-source data fusion can effectively monitor maize growth parameters and provide a scientific basis for summer maizefield management.
Although this research obtained the maize LAI and SPAD inversion models with good generalization ability and accuracy, the test data were limited due to the limitations of the test site and test time. Therefore, the generalization ability of the model needs to be further improved. In addition, the influence of environmental parameters on LAI and SPAD should be further explored.

Author Contributions

Conceptualization, F.P. and J.Z.; methodology, F.P.; software, F.P.; validation, F.P. and X.X.; formal analysis, Y.L.; investigation, X.X., S.Z., L.H., Y.Y., B.T. and X.W.; resources, Y.L.; data curation, F.P.; writing—original draft preparation, F.P.; writing—review and editing, J.Z. and H.Y.; visualization, F.P. and J.Z.; supervision, Y.L.; project administration, J.Z. and Y.L. All authors have read and agreed to the published version of the manuscript.

Funding

This research was funded by Top Talents Program for One Case One Discussion of Shandong Province, Natural Science Foundation of Shandong Province (ZR2021MD091) and the China Agriculture Research System (CARS-15-22).

Institutional Review Board Statement

Not applicable.

Informed Consent Statement

Not applicable.

Data Availability Statement

Not applicable.

Acknowledgments

We acknowledge the support provided by the members of the Shandong University of Technology Smart Agriculture team.

Conflicts of Interest

The authors declare no conflict of interest.

References

  1. Tewes, A.; Schellberg, J. Towards Remote Estimation of Radiation Use Efficiency in Maize Using UAV-Based Low-Cost Camera Imagery. Agronomy 2018, 8, 16. [Google Scholar] [CrossRef]
  2. Darwin, B.; Dharmaraj, P.; Prince, S.; Popescu, D.E.; Hemanth, D.J. Recognition of Bloom/Yield in Crop Images Using Deep Learning Models for Smart Agriculture: A Review. Agronomy 2021, 11, 646. [Google Scholar] [CrossRef]
  3. Marcial-Pablo, M.d.J.; Ontiveros-Capurata, R.E.; Jiménez-Jiménez, S.I.; Ojeda-Bustamante, W. Maize Crop Coefficient Estimation Based on Spectral Vegetation Indices and Vegetation Cover Fraction Derived from UAV-Based Multispectral Images. Agronomy 2021, 11, 668. [Google Scholar] [CrossRef]
  4. Ballesteros, R.; Moreno, M.A.; Barroso, F.; González-Gómez, L.; Ortega, J.F. Assessment of Maize Growth and Development with High and Medium-Resolution Remote Sensing Products. Agronomy 2021, 11, 940. [Google Scholar] [CrossRef]
  5. Oehme, L.H.; Reineke, A.-J.; Weiß, T.M.; Würschum, T.; He, X.; Müller, J. Remote Sensing of Maize Plant Height at Different Growth Stages Using UA V-Based Digital Surface Models (DSM). Agronomy 2022, 12, 958. [Google Scholar] [CrossRef]
  6. Xia, T.; Wu, W.-B.; Zhou, Q.-B.; Zhou, Y.; Yu, L. An Estimation Method of Winter Wheat Leaf Area Index Based on HyperSpectral Data. Sci. Agric. Sin. 2012, 45, 2085–2092. [Google Scholar] [CrossRef]
  7. Yang, G.; Liu, J.; Zhao, C.; Li, Z.; Huang, Y.; Yu, H.; Xu, B.; Yang, X.; Zhu, D.; Yang, H. Unmanned Aerial Vehicle Remote Sensing for Field-Based Crop Phenotyping: Current Status and Perspectives. Front. Plant Sci. 2017, 8, 1111. [Google Scholar] [CrossRef]
  8. Colomina, I.; Molina, P. Unmanned aerial systems for photogrammetry and remote sensing: A review. ISPRSJ Photogramm. Remote Sens. 2014, 92, 79–97. [Google Scholar] [CrossRef]
  9. Yao, X.; Wang, N.; Liu, Y.; Cheng, T.; Tian, Y.; Chen, Q.; Zhu, Y. Estimation of Wheat LAI at Middle to High Levels Using Unmanned Aerial Vehicle Narrowband Multispectral Imagery. Remote Sens. 2017, 9, 1304. [Google Scholar] [CrossRef]
  10. An, G.-Q.; Xing, M.-F.; He, B.-B.; Liao, C.-H.; Huang, X.-D.; Shang, J.-L.; Kang, H.-Q. Using Machine Learning for Estimating Rice Chlorophyll Content from In Situ Hyperspectral Data. Remote Sens. 2020, 12, 3104. [Google Scholar] [CrossRef]
  11. Mao, Z.-H.; Deng, L.; Duan, F.-Z.; Li, X.-J.; Qiao, D.-Y. Angle effects of vegetation indices and the influence on prediction of SPAD values in soybean and maize. Int. J. Appl. Earth Obs. Geoinf. 2020, 93, 102198. [Google Scholar] [CrossRef]
  12. Liu, S.; Yu, H.-Y.; Zhang, J.-H.; Zhou, H.-G.; Kong, L.-J.; Zhang, L.; Dang, J.-M.; Sui, Y.-Y. Study on inversion model of Chlorophyll content in soybean leaf based on optimal spectral indices. Spectrosc. Spectr. Anal. 2021, 41, 1912–1919. [Google Scholar] [CrossRef]
  13. Paulo, C.-S.; Francisco, Z.; Marco, Y.; John, G.; Hector, V.; Cristian, E.; Jaime, V.; Luis, R.; Samuel, O.-F.; Cesar, A.-O. Evaluation of models to determine LAI on poplar stands using spectral indices from Sentinel-2 satellite images. Ecol. Model. 2020, 428, 109058. [Google Scholar] [CrossRef]
  14. Carlo, G.; Tommaso, S.; Roberto, C.; Luigi, R.; Manuel, C.-T.; Franciso, J.G.-H.; Mirco, B. Downscaling rice yield simulation at sub-field scale using remotely sensed LAI data. Eur. J. Agron. 2019, 103, 108–116. [Google Scholar] [CrossRef]
  15. Su, W.; Hou, N.; Zhang, M.-Z.; Zhao, X.-F.; Jiang, K.-P. Retrieving Leaf Area Index of Corn Canopy Based on Sentinel-2 Remote Sensing Image. Trans. Chin. Soc. Agric. Mach. 2018, 49, 151–156. [Google Scholar] [CrossRef]
  16. Gao, L.; Li, C.-C.; Wang, B.-S.; Yang, G.-J.; Wang, L.; Fu, K. Comparison of precision in retrieving soybean leaf area index based on multi-source remote sensing data. Chin. J. Appl. Ecol. 2016, 27, 191–200. [Google Scholar] [CrossRef]
  17. Cheng, X.; He, B.Y.; Huang, Y.-H.; Sun, Z.-G.; Li, D.; Zhu, W.-X. Estimation of Corn Leaf Area Index based on UAV Hyperspectral Image. Remote Sens. Technol. Appl. 2019, 34, 775–784. [Google Scholar] [CrossRef]
  18. Chang, X.-Y.; Chang, Q.-R.; Wang, X.-F.; Chu, D.; Guo, R.-X. Estimation of maize leaf chlorophyll contents based on UAV hyperspectral drone image. Agric. Res. Arid. Areas 2019, 37, 66–73. [Google Scholar] [CrossRef]
  19. Shao, G.-M.; Wang, Y.-J.; Han, W.-T. Estimation Method of Leaf Area Index for Summer Maize Using UAV-Based Multispectral Remote Sensing. Smart Agric. 2020, 2, 118–128, (In Chinese with English abstract). [Google Scholar] [CrossRef]
  20. Tang, J.; Liang, J.; Yang, Y.; Zhang, S.; Hou, H.; Zhu, X. Revealing the Structure and Composition of the Restored Vegetation Cover in Semi-Arid Mine Dumps Based on LiDAR and Hyperspectral Images. Remote Sens. 2022, 14, 978. [Google Scholar] [CrossRef]
  21. Zhang, X.; Zhang, K.; Sun, Y.; Zhao, Y.; Zhuang, H.; Ban, W.; Chen, Y.; Fu, E.; Chen, S.; Liu, J.; et al. Combining Spectral and Texture Features of UAS-Based Multispectral Images for Maize Leaf Area Index Estimation. Remote Sens. 2022, 14, 331. [Google Scholar] [CrossRef]
  22. Liu, L.; Zhao, W.; Wu, J.; Liu, S.; Teng, Y.; Yang, J.; Han, X. The Impacts of Growth and Environmental Parameters on Solar-Induced Chlorophyll Fluorescence at Seasonal and Diurnal Scales. Remote Sens. 2019, 11, 2002. [Google Scholar] [CrossRef]
  23. Niu, Q.L.; Feng, H.-K.; Yang, G.-J.; Li, C.-C.; Yang, H.; Xu, B.; Zhao, Y.-X. Monitoring plant height and leaf area index of maize breeding material based on UAV digital images. Trans. Chin. Soc. Agric. Eng. (Trans. CSAE) 2018, 34, 73–82. [Google Scholar] [CrossRef]
  24. Gao, M.-Y.; Zhang, J.-S.; Pan, Y.-Z.; Duan, Y.-M.; Zhang, D.-J. Retrieval of winter wheat leaf area index based on vegetation index and crop height. Chin. J. Agric. Resour. Reg. Plan. 2020, 41, 49–57. [Google Scholar] [CrossRef]
  25. Sun, M.-M.; Jiang, L.-X.; Yu, R.-H.; Sun, Y.-T. Study on Heat Index at Growing Stages of Corn and the Planting Border of Different Varieties in the North. Chin. J. Agrometeorol. 1998, 19, 8–12, 16. [Google Scholar]
  26. Wang, H.; Bai, Y.-L.; Yang, L.-P.; Lu, Y.-L.; Wang, L. A summer maize dressing decision-making model based on effective accumulated temperature. Chin. J. Eco-Agric. 2012, 20, 408–413. [Google Scholar] [CrossRef]
  27. Cai, J.-B.; Chang, H.-F.; Chen, H.; Zhang, B.-Z.; Wei, Z.; Peng, Z.-G. Simulation of Maize Dry Matter Accumulation in Normalized Logistic Model with Different Effective Accumulated Temperatures in Field. Trans. Chin. Soc. Agric. Mach. 2020, 51, 263–271. [Google Scholar] [CrossRef]
  28. Yao, X.; Yu, K.-Y.; Liu, J. Leaf Area Index Estimation of Masson Pine (Pinus massoniana) Forests Based on Multispectral Remote Sensing of UAV. Trans. Chin. Soc. Agric. Mach. 2021, 52, 213–221. [Google Scholar] [CrossRef]
  29. Li, C.-C.; Niu, G.-L.; Yang, G.-J.; Feng, H.-K.; Liu, J.-G.; Wang, Y.-J. Estimation of Leaf Area Index of Soybean Breeding Materials Based on UAV Digital Images. Trans. Chin. Soc. Agric. Mach. 2017, 48, 147–158. [Google Scholar] [CrossRef]
  30. Gitelson, A.-A.; Kaufman, Y.-J.; Merzlyak, M.-N. Use of a green channel in remote sensing of global vegetation from EOS MODIS. Remote Sens. Environ. 1996, 58, 289–298. [Google Scholar] [CrossRef]
  31. Hector, G.-M.; Hector, F.-M.; Roberto, A.-H.; Abdul, K.-G.; Leonardo, T.-C.; Oscar, R.M.-V.; Mario, A.V.-P. Corn grain yield estimation from vegetation indices canopy cover, plant density, and a neural network using multispectral and RGB images acquired with unmanned aerial vehicles. Agriculture 2020, 10, 277. [Google Scholar] [CrossRef]
  32. Tao, H.-L.; Xu, J.-L.; Feng, H.-K.; Yang, G.-J.; Dai, Y.; Niu, Y.-C. Estimation of Plant Height and Leaf Area Index of Winter Wheat Based on UAV Hyperspectral Remote Sensing. Trans. Chin. Soc. Agric. Mach. 2020, 15, 193–201. [Google Scholar] [CrossRef]
  33. Tang, S.-H.; Zhu, Q.-J.; Wang, J.-D.; Zhou, Y.-Y.; Zhao, F. Theoretical bases and application of three gradient difference vegetation index. Sci. China Ser. D 2003, 33, 1094–1102. [Google Scholar]
  34. Du, X.-Y.; Wan, L.; Cen, H.-Y.; Chen, S.-B.; Zhu, J.-P.; Wang, H.-Y.; He, Y. Multi-temporal monitoring of leaf area index of rice under different nitrogen treatments using UAV images. Int. J. Precis. Agric. Aviat. 2020, 3, 7–12. [Google Scholar] [CrossRef]
  35. Li, F.-X.; Zhang, B.; Song, K.-S.; Wang, Z.-M.; Liu, H.-J.; Yang, F. Retrieval model for estimating corn LAI in black soil region of Northeast China based on Perpendicolar Vegetation Index. Agric. Res. Arid. Areas 2008, 26, 33–38. [Google Scholar]
  36. Li, Y.-Y.; Chang, Q.-R.; Liu, X.-Y.; Yan, L.; Luo, D.; Wang, S. Estimation of maize leaf SPAD value based on hyperspectrum and BP neural network. Trans. Chin. Soc. Agric. Eng. (Trans. CSAE) 2016, 32, 135–142, (In Chinese with English abstract). [Google Scholar] [CrossRef]
  37. Yuan, X.-K.; Zhou, G.-S.; Wang, Q.-L.; He, Q.-J. Hyperspectral characteristics of chlorophyll content in summer maize under different water irrigation conditions and its inversion. Acta Ecol. Sin. 2021, 41, 543–552. [Google Scholar] [CrossRef]
  38. Teng, Y. Application of Partial Least Square Regression in Spectral Analysis. Res. Des. 2020, 37, 16–17. [Google Scholar] [CrossRef]
  39. Xie, R.-Z.; Zhou, S.-L.; Wang, J.-H.; Jiang, H.-T. Comparison of the leaf Hyperspectral reflectance and absorptance in relation to the leaf pigment contents in corn plants. J. Maize Sci. 2006, 14, 70–73. [Google Scholar] [CrossRef]
  40. Yu, L.; Kenji, H.; Takanori, A.; Sakuya, K.; Tsutomu, A.; Yasushi, K.; Shan, L.; Kenji, O. A Robust Vegetation Index Based on Different UAV RGB Images to Estimate SPAD Values of Naked Barley Leaves. Remote Sens. 2021, 13, 686. [Google Scholar] [CrossRef]
  41. Li, S.-Y.; Yuan, F.; Syed, T.-A.; Zheng, H.-B.; Cheng, T.; Liu, X.-J.; Tian, Y.-C.; Zhu, Y.; Cao, W.-X.; Cao, Q. Combining Color Indices and Textures of UAV-Based Digital Imagery for Rice LAI Estimation. Remote Sens. 2019, 11, 1763. [Google Scholar] [CrossRef]
  42. Ding, Y.-J.; Zhang, J.-J. Estimation of SPAD value in tomato leaves by multispectral images. J. Phys. Conf. Ser. 2020, 1634, 012128. [Google Scholar] [CrossRef]
  43. Kong, Y.-R.; Wang, L.-J.; Feng, H.-K.; Xu, Y.; Liang, L.; Xu, L.; Yang, X.-D.; Zhang, Q.-Q. Leaf area index estimation based on UAV hyperspectral band selection. Spectrosc. Spectr. Anal. 2022, 42, 933–939. [Google Scholar] [CrossRef]
  44. Gong, Y.; Yang, K.-L.; Lin, Z.-H.; Fang, S.-H.; Wu, X.-T.; Zhu, R.-S.; Peng, Y. Remote estimation of leaf area index (LAI) with unmanned aerial vehicle (UAV) imaging for different rice cultivars throughout the entire growing season. Plant Methods 2021, 17, 88. [Google Scholar] [CrossRef]
  45. Dubrovin, K.N.; Stepanov, A.S.; Aseeva, T.A. Application of LAI and NDVI to model soybean yield in the regions of the Russian Far East. IOP Conf. Ser. Earth Environ. Sci. 2022, 949, 012030. [Google Scholar] [CrossRef]
  46. He, J.; Wang, L.-G.; Guo, Y.; Zhang, Y.; Yang, X.-Z.; Liu, T.; Zhang, H.-L. Estimating the Leaf Area Index of Maize based on Unmanned Aerial Vehicle Multispectral Remote Sensing. J. Agric. Big Data 2021, 3, 20–28. [Google Scholar] [CrossRef]
  47. Wang, J.; Zhou, Q.; Shang, J.; Liu, C.; Zhuang, T.; Ding, J.; Xian, Y.; Zhao, L.; Wang, W.; Zhou, G.; et al. UAV- and Machin eLearning-Based Retrieval of Wheat SPAD Values at the Overwintering Stage for Variety Screening. Remote Sens. 2021, 13, 5166. [Google Scholar] [CrossRef]
  48. Yu, Y.; Yu, H.-Y.; Li, X.-H.; Wang, H.-J.; Liu, S.; Zhang, L.; Sui, Y.-Y. Hyperspectral inversion model for SPAD of rice leaves based on optimized spectral index. Spectrosc. Spectr. Anal. 2022, 42, 1092–1097. [Google Scholar] [CrossRef]
Figure 1. Sampling area location.
Figure 1. Sampling area location.
Agronomy 13 00532 g001
Figure 2. The acquisition instrument of data. (a) Yaxin1242; (b) plant stratification; (c) PSR1100-f; (d) SPAD502 Plus; (e) M210&MS600 Pro; (f) DJI Phantom 4 RTK; (g) manual collection of LAI data; (h) manual collection of SPAD data.
Figure 2. The acquisition instrument of data. (a) Yaxin1242; (b) plant stratification; (c) PSR1100-f; (d) SPAD502 Plus; (e) M210&MS600 Pro; (f) DJI Phantom 4 RTK; (g) manual collection of LAI data; (h) manual collection of SPAD data.
Agronomy 13 00532 g002aAgronomy 13 00532 g002b
Figure 3. p value for chi−square test for each variable.
Figure 3. p value for chi−square test for each variable.
Agronomy 13 00532 g003
Figure 4. Inversion model of summer maize growth parameters based on multi-source data fusion. (a) MLR model inversion of LAI; (b) PLSR model inversion of LAI; (c) RF model inversion of LAI; (d) MLR model inversion of SPAthe; (e) PLSR model inversion of SPAD; (f) RF model inversion of SPAD.
Figure 4. Inversion model of summer maize growth parameters based on multi-source data fusion. (a) MLR model inversion of LAI; (b) PLSR model inversion of LAI; (c) RF model inversion of LAI; (d) MLR model inversion of SPAthe; (e) PLSR model inversion of SPAD; (f) RF model inversion of SPAD.
Agronomy 13 00532 g004
Figure 5. The inversion diagram of each model in the trumpet period, tasseling period and blistering period in 2021. (a1a3) MLR model; (b1b3) PLSR model; (c1c3) RF model; (d1d3) MLR model; (e1e3) PLSR model; (f1f3) RF model. (ac) is the inversion model of LAI; (df) is the inversion model of SPAD. (a1)~(f1) is the inversion diagram in the trumpet period. (a2)~(f2) is the inversion diagram in the tasseling period. (a3)~(f3) is the inversion diagram in the blistering period.
Figure 5. The inversion diagram of each model in the trumpet period, tasseling period and blistering period in 2021. (a1a3) MLR model; (b1b3) PLSR model; (c1c3) RF model; (d1d3) MLR model; (e1e3) PLSR model; (f1f3) RF model. (ac) is the inversion model of LAI; (df) is the inversion model of SPAD. (a1)~(f1) is the inversion diagram in the trumpet period. (a2)~(f2) is the inversion diagram in the tasseling period. (a3)~(f3) is the inversion diagram in the blistering period.
Agronomy 13 00532 g005aAgronomy 13 00532 g005b
Figure 6. The inversion diagram of each model in the trumpet period, tasseling period and blistering period in 2020. (a1a3) MLR model; (b1b3) PLSR model; (c1c3) RF model; (d1d3) MLR model; (e1e3) PLSR model; (f1f3) RF model. (ac) is the inversion model of LAI; (df) is the inversion model of SPAD. (a1)~(f1) are the inversion diagrams in the trumpet period. (a2)~(f2) are the inversion diagrams in the tasseling period. (a3)~(f3) are the inversion diagrams in the blistering period.
Figure 6. The inversion diagram of each model in the trumpet period, tasseling period and blistering period in 2020. (a1a3) MLR model; (b1b3) PLSR model; (c1c3) RF model; (d1d3) MLR model; (e1e3) PLSR model; (f1f3) RF model. (ac) is the inversion model of LAI; (df) is the inversion model of SPAD. (a1)~(f1) are the inversion diagrams in the trumpet period. (a2)~(f2) are the inversion diagrams in the tasseling period. (a3)~(f3) are the inversion diagrams in the blistering period.
Agronomy 13 00532 g006aAgronomy 13 00532 g006b
Figure 7. Scatter plot of extraction results and measured values of each model prescription map. (a) LAI model; (b) SPAD model.
Figure 7. Scatter plot of extraction results and measured values of each model prescription map. (a) LAI model; (b) SPAD model.
Agronomy 13 00532 g007
Figure 8. The change trend of LAI and SPAD in two years. (a) The change trend of LAI in two years. (b) The change trend of SPAD in two years.
Figure 8. The change trend of LAI and SPAD in two years. (a) The change trend of LAI in two years. (b) The change trend of SPAD in two years.
Agronomy 13 00532 g008
Table 1. The vegetation index of UAV’s multi-spectral data.
Table 1. The vegetation index of UAV’s multi-spectral data.
Vegetation IndexNameEquation
WDRVI [31]Wide dynamic range vegetation index(0.1RNIR − Rred)/(0.1RNIR + Rred)
GRVI [29]Green red vegetation index(Rgreen − Rred)/(Rgreen + Rred)
NDVI [28]Normalized difference vegetation index(RNIR − Rred)/(RNIR + Rred)
RVI [34]Ratio vegetation indexRNIR/Rred
PVI [35]Perpendicular vegetation index(RNIR-a·Rred − b)/(1 + a2) 1/2
a = 10.489, b = 6.604
PBI [32]Plant biochemical indexRNIR/Rgreen
EVI [19]Enhance vegetation index2.5 (RNIR − Rred)/(RNIR − 7.5Rblue + 6Rred+1)
OSAVI [28]Optimized soil-adjusted vegetation index1.16 (RNIR − Rred)/(RNIR + Rred + 0.16)
MSR [13]Modified simple ratio index(RNIR − Rblue)/(Rred − Rblue)
TGDVI [33]Three gradient difference vegetation index(RNIR − Rred)/(λNIR − λR) − (Rred –Rgreen)/(λR − λG)
λ is the length of each band.
GNDVI [30]Green normalized difference vegetation index(Rnir − Rgreen)/(Rnir + Rgreen)
DVI [18]Difference vegetation indexRnir − Rred
SAVI [19]Soil-adjusted vegetation index ( R nir R red ) ( 1 + L ) ( R nir + R red + L ) , L = 0.5
RDVI [28]Renormalized difference vegetation index N D V I · D V I
Table 2. The hyperspectral features.
Table 2. The hyperspectral features.
FeatureDescription
Rg530~560 nm: The reflectance at the peak of the original spectral reflectance
Rr660~685 nm: The reflectance at valleys of the original spectral reflectance
λnir740~900 nm: The corresponding wavelength at the maximum near-infrared reflectance of the original spectrum
λr680~760 nm: The wavelength corresponding to the maximum value of the first derivative
λy570~580 nm: The wavelength corresponding to the maximum value of the first derivative
Dy570~580 nm: First derivative maximum
Db490~520 nm: First derivative maximum
Dr680~760 nm: First derivative maximum
Table 3. Correlation between hyperspectral features and LAI and SPAD.
Table 3. Correlation between hyperspectral features and LAI and SPAD.
FeatureCorrelation with LAICorrelation with SPAD
Rg−0.323 **−0.493 **
Rr−0.333 **−0.527 **
λnir−0.188 *−0.206 *
λr0.582 **0.754 **
λy0.0670.056
Dy0.2−0.004
Db−0.226 **−0.222 **
Dr0.501 **0.597 **
Note: ** at the 0.01 level (two-tailed), the correlation is significant, p value < 0.01; *at the 0.05 level (two-tailed); the correlation is significant, p value < 0.05. Same as below.
Table 4. Correlation of vegetation index and environmental characteristics with LAI and SPAD.
Table 4. Correlation of vegetation index and environmental characteristics with LAI and SPAD.
VisCorrelation with LAICorrelation with SPAD
WDRVI0.832 **-
GRVI0.673 **-
NDVI0.798 **0.843 **
RVI0.837 **-
PVI0.802 **-
PBI0.852 **-
EVI0.349 **-
OSAVI0.798 **-
MSR0.146-
TGDVI0.382 **-
DVI-0.795 **
RVI-0.809 **
GNDVI-0.830 **
SAVI-0.842 **
RDVI-0.827 **
CHM0.841 **0.741 **
GDD0.905 **0.766 **
Note: “-“ indicates that the index and its correlation are not calculated. ** represent p < 0.05.
Table 5. LAI and SPAD inversion models under a single data source.
Table 5. LAI and SPAD inversion models under a single data source.
FeatureModelLAI Training SetLAI Testing SetSPAD Training SetSPAD Testing Set
R2RMSER2RMSER2RMSER2RMSE
Hyperspectral featuresMLR0.63611.09180.54381.27510.64413.80450.51263.8285
PLSR0.62521.42210.55591.67710.64433.80310.51213.8305
RF0.91240.53180.62011.15740.92591.65320.47484.5362
Vegetation Index FeaturesMLR0.88780.59830.91240.55880.73533.28070.64673.2596
PLSR0.88771.0380.90781.03870.74123.36530.64493.2681
RF0.98530.21820.90770.55720.94431.41190.73413.3047
Environmental characteristicsMLR0.86870.63180.86510.69330.61883.93730.54033.7184
PLSR0.87460.81590.85680.81590.61883.9390.55483.6593
RF0.98590.22520.85960.56260.93331.57920.63783.7081
Table 6. LAI and SPAD inversion models under multi-source data.
Table 6. LAI and SPAD inversion models under multi-source data.
FeatureModelLAI Training SetLAI Testing SetSPAD Training SetSPAD Testing Set
R2RMSER2RMSER2RMSER2RMSE
Multi-source feature fusionMLR0.91020.52910.93330.48770.76863.06740.62833.3434
PLSR0.91770.87770.92810.90990.77933.16570.64053.2879
RF0.98670.20790.93150.48950.94741.41790.77672.8387
Table 7. The mean value of the root-mean-square error for the model differences in each period.
Table 7. The mean value of the root-mean-square error for the model differences in each period.
ModelTrumpet PeriodTasseling PeriodBlistering PeriodRMSE
SPAD prescription map validation differencePLSR2.77082.34362.90373.2879
MLR2.71692.31172.68783.3434
RF2.60362.46072.24852.8387
LAI prescription map validation differencePLSR0.46860.49370.52570.9099
MLR0.36060.47250.47470.4877
RF0.22230.5130.43870.4895
Table 8. Accumulated temperature data of each growth period in two years (°C).
Table 8. Accumulated temperature data of each growth period in two years (°C).
YearsTrumpet PeriodTasseling PeriodBlistering Period
2020501.9845.51060.4
2021576.8938.71132.2
Accumulated temperature difference+74.9+93.2+71“8”
Note: “+” means that the data for 2021 are higher than data for 2020.
Table 9. Rainfall data in each growth period in two years (mm).
Table 9. Rainfall data in each growth period in two years (mm).
YearsTrumpet PeriodTasseling PeriodBlistering Period
2020117.6252.4368.5
2021208.8266.9299.7
Accumulated temperature difference+91.2+14.5−86“8”
Note: “+” means that the data for 2021 are higher than data “o“ 2020; “−” means that the data for 2021 are lower than data for 2020.
Disclaimer/Publisher’s Note: The statements, opinions and data contained in all publications are solely those of the individual author(s) and contributor(s) and not of MDPI and/or the editor(s). MDPI and/or the editor(s) disclaim responsibility for any injury to people or property resulting from any ideas, methods, instructions or products referred to in the content.

Share and Cite

MDPI and ACS Style

Zhao, J.; Pan, F.; Xiao, X.; Hu, L.; Wang, X.; Yan, Y.; Zhang, S.; Tian, B.; Yu, H.; Lan, Y. Summer Maize Growth Estimation Based on Near-Surface Multi-Source Data. Agronomy 2023, 13, 532. https://doi.org/10.3390/agronomy13020532

AMA Style

Zhao J, Pan F, Xiao X, Hu L, Wang X, Yan Y, Zhang S, Tian B, Yu H, Lan Y. Summer Maize Growth Estimation Based on Near-Surface Multi-Source Data. Agronomy. 2023; 13(2):532. https://doi.org/10.3390/agronomy13020532

Chicago/Turabian Style

Zhao, Jing, Fangjiang Pan, Xiao Xiao, Lianbin Hu, Xiaoli Wang, Yu Yan, Shuailing Zhang, Bingquan Tian, Hailin Yu, and Yubin Lan. 2023. "Summer Maize Growth Estimation Based on Near-Surface Multi-Source Data" Agronomy 13, no. 2: 532. https://doi.org/10.3390/agronomy13020532

APA Style

Zhao, J., Pan, F., Xiao, X., Hu, L., Wang, X., Yan, Y., Zhang, S., Tian, B., Yu, H., & Lan, Y. (2023). Summer Maize Growth Estimation Based on Near-Surface Multi-Source Data. Agronomy, 13(2), 532. https://doi.org/10.3390/agronomy13020532

Note that from the first issue of 2016, this journal uses article numbers instead of page numbers. See further details here.

Article Metrics

Back to TopTop