Effects of Different Soil Water and Heat Regulation Patterns on the Physiological Growth and Water Use in an Apple–Soybean Intercropping System
Abstract
:1. Introduction
2. Materials and Methods
2.1. Study Area
2.2. Experimental Material
2.3. Experimental Design
2.4. Measurements
2.4.1. Soil Water Content Measurement
2.4.2. Determination of Soil Temperature
2.4.3. Determination of Plant Physiological Indexes
- (1)
- The relative chlorophyll contents of the apple and soybean leaves were recorded with a portable dual wavelength chlorophyll meter (SPAD 502, Minolta Camera Co., Ltd., Tokyo, Japan) during the branching, podding, and filling stages of soybeans. The apple tree with the most vigorous growth was selected in each plot, and the sampling points determined in the direction perpendicular to the tree rows. The sampling points were 0.55 m and 1.55 m away from the tree row, respectively. Three soybeans with vigorous growth were selected from each sampling point for labeling. During measurement, the vein was omitted, and the average value of multiple measurements was obtained.
- (2)
- Measurement of photosynthetic index of soybean in the seed filling stage was performed on a sunny cloudless weather using a portable Li-6400 photosynthesis instrument (Li-Cor company, USA). The most vigorous apple tree was selected in each plot, and the sampling point was determined in the direction perpendicular to the tree row. The sampling points were 0.55, 1.05, and 1.55 m away from the tree row, respectively. Three soybeans with vigorous growth were selected for listing and marking at each sampling point. Three complete and unshielded upper leaves were selected for each soybean. Analysis was conducted between 9 am to 5 pm, and each index was measured in three replicates then average value calculated. The net photosynthetic rate (Pn, μmol∙m−2∙s−1) and transpiration rate (Tr, mmol∙m−2∙s−1) were measured.
2.4.4. Determination of Crop Growth Index and Yield
2.5. Data Processing and Statistical Analysis
2.5.1. Calculation of Water Consumption
2.5.2. Water Use Efficiency
3. Results
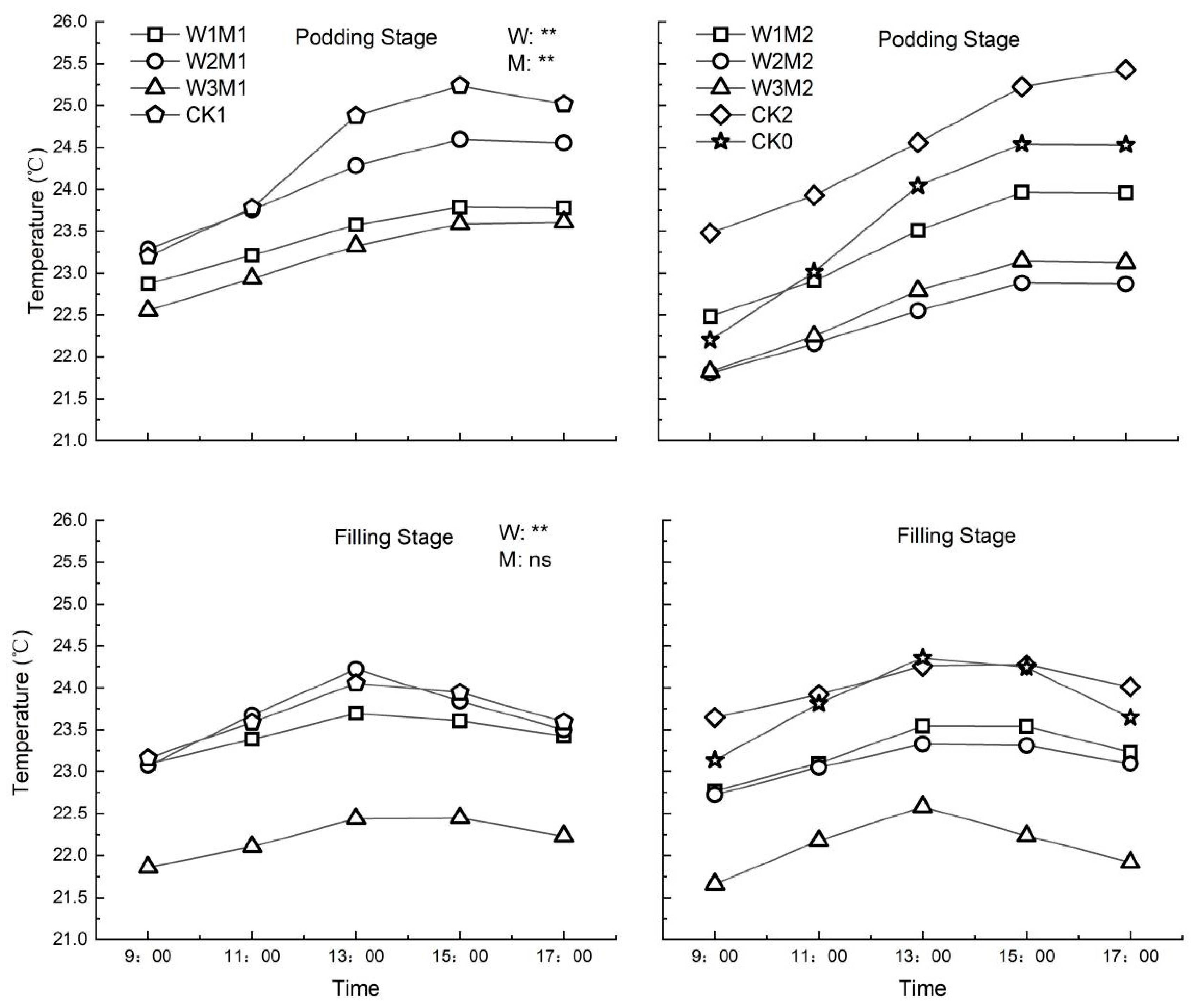
3.1. Effects of Soil Water and Heat Regulation on the Diurnal Variation of Soil Temperature
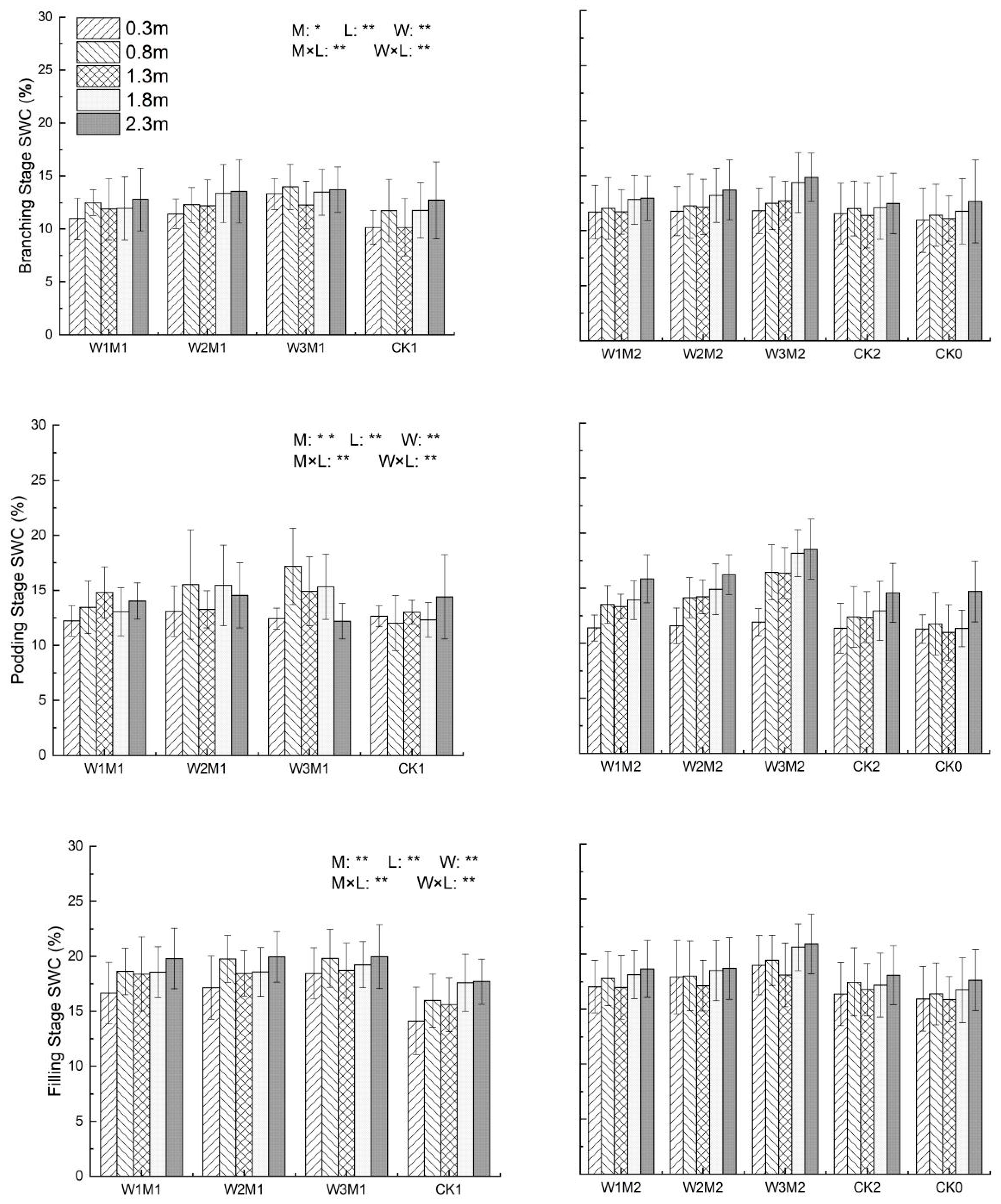
3.2. Spatial Distribution of Soil Water and Inter-Specific Water Competition
3.3. Effects of Soil Water and Heat Regulation on the Growth Indexes of Intercropped Apple and Soybean
3.4. Physiological Characteristics of Photosynthesis and Inter-Specific Competition of Apple and Soybean in Intercropping System
3.5. Effects of Soil Water and Heat Regulation on Soybean Yield and Soil Water Use Characteristics
4. Discussion
4.1. Effects of Different Irrigation and Plastic Mulch Treatments on Spatial Distribution of Soil Water
4.2. Physiological Growth Characteristics of Apple and Soybean in the Intercropping System
4.3. Effects of Soil Water and Heat Regulation on Yield and Soil Water Use Characteristics of the Intercropping System
5. Conclusions
Author Contributions
Funding
Data Availability Statement
Acknowledgments
Conflicts of Interest
References
- Zhu, X. Maintaining Soil Reservoirs to Ensure Beautiful Mountains in Loess Plateau. Soil Water Conserv. China 2006, 1, 6–7. [Google Scholar]
- Bado, B.V.; Whitbread, A.; Manzo, M.L.S. Improving agricultural productivity using agroforestry systems: Performance of millet, cowpea, and ziziphus-based cropping systems in West Africa Sahel Agriculture. Ecosyst. Environ. 2021, 305, 107175. [Google Scholar] [CrossRef]
- Ehret, M.; Graß, R.; Wachendorf, M. The effect of shade and shade material on white clover/perennial ryegrass mixtures for temperate agroforestry systems Agroforestry Systems. Agrofor. Syst. 2015, 89, 557–570. [Google Scholar] [CrossRef]
- Pavlidis, G.; Tsihrintzis, V.A. Environmental Benefits and Control of Pollution to Surface Water and Groundwater by Agroforestry Systems: A Review Water Resources Management. Water Resour. Manag. 2018, 32, 1–29. [Google Scholar] [CrossRef]
- Lorenz, K.; Lal, R. Soil organic carbon sequestration in agroforestry systems. A review. Agron. Sustain. Dev. 2014, 34, 443–454. [Google Scholar] [CrossRef]
- Yang, L.; Wei, W.; Chen, L.; Mo, B. Response of deep soil moisture to land use and afforestation in the semi-arid Loess Plateau, China. J. Hydrol. 2012, 475, 111–122. [Google Scholar] [CrossRef]
- Gao, L.; Xu, H.; Bi, H.; Xi, W.; Bao, B.; Wang, X.; Bi, C.; Chang, Y. Intercropping competition between apple trees and crops in agroforestry systems on the Loess Plateau of China. PLoS ONE 2017, 8, e70739. [Google Scholar] [CrossRef]
- Peng, X.; Zhang, Y.; Cai, J.; Jiang, Z.; Zhang, S. Photosynthesis, growth and yield of soybean and maize in a tree-based agroforestry intercropping system on the Loess Plateau. Agrofor. Syst. 2009, 76, 569–577. [Google Scholar] [CrossRef]
- Sun, Y.; Bi, H.; Xu, H.; Duan, H.; Peng, R.; Wang, J. Below-Ground Interspecific Competition of Apple (Malus pumila M.)–Soybean (Glycine max L. Merr.) Intercropping Systems Based on Niche Overlap on the Loess Plateau of China. Sustainability 2018, 10, 3022. [Google Scholar] [CrossRef]
- Yun, L.; Bi, H.; Gao, L.; Zhu, Q.; Ma, W.; Cui, Z.; Wilcox, B.P. Soil Moisture and Soil Nutrient Content in Walnut-Crop Intercropping Systems in the Loess Plateau of China. Arid. Land Res. Manag. 2012, 26, 285–296. [Google Scholar] [CrossRef]
- Yinglong, Q.; Haibin, S.; Ruiping, L.; Ju, Z.; Bin, L.; Min, L. Effects of film mulching on maize growth and soil water, fertilizer and heat under fertigation of drip irrigation. Trans. Chin. Soc. Agric. Eng. 2019, 35, 99–110. [Google Scholar]
- Pozníková, G.; Fischer, M.; Kesteren, B.; Orság, M.; Hlavinka, P.; Žalud, Z.; Trnka, M. Quantifying turbulent energy fluxes and evapotranspiration in agricultural field conditions: A comparison of micrometeorological methods. Agric. Water Manag. 2018, 209, 249–263. [Google Scholar] [CrossRef]
- Dutta, B.; Grant, B.; Congreves, K.; Smith, W.; Wagner-Riddle, C.; VanderZaag, A.; Tenuta, M.; Desjardins, R. Characterising effects of management practices, snow cover, and soil texture on soil temperature: Model development in DNDC. Biosyst. Eng. 2018, 168, 54–72. [Google Scholar] [CrossRef]
- Firbank, L.; Watkinson, A. On the Effects of Competition: From Monocultures to Mixtures. Perspect. Plant Compet. 1990, 165–192. [Google Scholar] [CrossRef]
- Yang, F.; Liao, D.; Fan, Y.; Gao, R.; Wu, X.; Rahman, T.; Yong, T.; Liu, W.; Liu, J.; Du, J.; et al. Effect of narrow-row planting patterns on crop competitive and economic advantage in maize–soybean relay strip intercropping system. Plant Prod. Sci. 2017, 20, 1–11. [Google Scholar] [CrossRef]
- Bu, L.-d.; Liu, J.-l.; Zhu, L.; Luo, S.-s.; Chen, X.-p.; Li, S.-q.; Hill, R.; Zhao, Y. The effects of mulching on maize growth, yield and water use in a semi-arid region. Agric. Water Manag. 2013, 123, 71–78. [Google Scholar] [CrossRef]
- DeBruyne, S.; Feldhake, C.; Burger, J.; Fike, J. Tree effects on forage growth and soil water in an Appalachian silvopasture. Agrofor. Syst. 2011, 83, 189–200. [Google Scholar] [CrossRef]
- Zhou, X.; Wang, R.; Gao, F.; Xiao, H.; Xu, H.; Wang, D. Apple and maize physiological characteristics and water-use efficiency in an alley cropping system under water and fertilizer coupling in Loess Plateau, China. Agric. Water Manag. 2019, 221, 1–12. [Google Scholar] [CrossRef]
- Jannoura, R.; Joergensen, R.; Bruns, C. Organic fertilizer effects on growth, crop yield, and soil microbial biomass indices in sole and intercropped peas and oats under organic farming conditions. Eur. J. Agron. 2014, 52, 259–270. [Google Scholar] [CrossRef]
- Man, J.; Yu, J.; White, P.; Gu, S.; Zhang, Y.; Guo, Q.; Shi, Y.; Wang, D. Effects of supplemental irrigation with micro-sprinkling hoses on water distribution in soil and grain yield of winter wheat. Field Crops Res. 2014, 161, 26–27. [Google Scholar] [CrossRef]
- Chai, Y.Q.; Turner, N.C.; Zhang, R.-Z.; Yang, C.; Niu, Y.; Siddique, K.H. Chapter Two—Water-Saving Innovations in Chinese Agriculture. Adv. Agron. 2014, 126, 149–201. [Google Scholar]
- Li, F.; Ma, Y. Evaluation of the Dual Crop Coefficient Approach in Estimating Evapotranspiration of Drip-Irrigated Summer Maize in Xinjiang, China. Water 2019, 11, 1053. [Google Scholar] [CrossRef]
- Mao, H. Research on soybean water requirement and schedule of drip irrigation. Agric. Res. Arid. Areas 2009, 27, 112–117. [Google Scholar]
- Yuan, Y.; Lei, M.; Yuxin, P.; Fenge, P.; Sunlan, R.; Miao, Z.; Yunfei, H. Effect of Three Different Herb-rubber Intercropping Patterns on Soil Physical and Chemical Properties in Rubber Forest. Chin. Agric. Sci. Bull. 2017, 33, 91–96. [Google Scholar]
- Li, F.-M.; Guo, A.-H.; Wei, H. Effects of clear plastic film mulch on yield of spring wheat. Field Crops Res. 1999, 63, 79–86. [Google Scholar] [CrossRef]
- Gao, Y.; Duan, A.; Qiu, X.; Liu, Z.; Sun, J.; Zhang, J.; Wang, H. Distribution of roots and root length density in a maize/soybean strip intercropping system. Agric. Water Manag. 2010, 98, 199–212. [Google Scholar] [CrossRef]
- Meng, T.; Weida, G.; Tusheng, R.; Baoguo, L. Spatio-temporal variation of soil water and temperature between maize rows as affected by no-tillage and strip crop straw mulching in southern Jilin Province. J. Plant Nutr. Fertil. 2022, 28, 1297–1307. [Google Scholar]
- Chenghao, Z.; Ruoshui, W.; Xuan, Z.; Chaonan, L.; Xiaoyu, D. Photosynthetic and growth characteristics of apple and soybean in an intercropping system under different mulch and irrigation regimes in the Loess Plateau of China. Agric. Water Manag. 2022, 266, 107595. [Google Scholar]
- Ai, Z.; Yang, Y.; Wang, Q.; Han, S.; Yang, Y.; Wang, Q.; Qiu, G. Changes of surface energy partitioning caused by plastic mulch in a cotton field. Int. Agrophys. 2018, 32, 349–356. [Google Scholar] [CrossRef]
- Gu, X.; Liang, Z.; Huang, L.; Ma, H.; Wang, M.; Yang, H.; Liu, M.; Lv, H.; Lv, B. Effects of plastic film mulching and plant density on rice growth and yield in saline-sodic soil of Northeast China. J. Food Agric. Environ. 2012, 10, 560–564. [Google Scholar]
- Khan, I.; Iqbal, B.; Khan, A.; Inamullah; Rehman, A.; Fayyaz, A.; Shakoor, A.; Farooq, T.; Wang, L.-x. The Interactive Impact of Straw Mulch and Biochar Application Positively Enhanced the Growth Indexes of Maize (Zea mays L.) Crop. Agronomy 2022, 12, 2584. [Google Scholar] [CrossRef]
- Lopes, W.; de Negreiros, M.; Dombroski, J.; Rodrigues, G.; Soares, A.; Araujo, A. Growth analysis of tomato plants ‘SM-16′ cultivated under different mulching. Hortic. Bras. 2011, 29, 554–561. [Google Scholar] [CrossRef]
- Qian, L.; Yubo, Q.; Caixia, Y.; Lili, K.; Meng, W.; Yunpeng, H.; Bo, S.; Yinkai, Z.; Chen, X.; Zhiquan, L. Effect of Drip Fertigation Mode on Maize Yield, Nutrient Uptake and Economic Benefit. Sci. Agric. Sin. 2022, 55, 1604–1616. [Google Scholar]
- Li, S.; Li, D.; Li, F.; Bai, H.; Ling, L.; Wang, J. Soil ecological effects of plastic film mulching in semiarid agro-ecological system. J. Northwest Agric. For. Univ. (Nat. Sci. Ed.) 2003, 31, 21–29. [Google Scholar]
- Yin, W.; Chai, Q.; Zhao, C.; Yu, A.; Fan, Z.; Hu, F.; Fan, H.; Guo, Y.; Coulter, J. Water utilization in intercropping: A review. Agric. Water Manag. 2020, 241, 106335. [Google Scholar] [CrossRef]
- Bu, L.; Zhu, L.; Liu, J.; Luo, S.; Chen, X.; Li, S. Source–Sink Capacity Responsible for Higher Maize Yield with Removal of Plastic Film. Agron. J. 2013, 105, 591–598. [Google Scholar] [CrossRef]
- Gan, Y.; Siddique, K.; Turner, N.; Li, X.-G.; Niu, J.-Y.; Yang, C.; Liu, L.; Chai, Q. Ridge-Furrow Mulching Systems—An Innovative Technique for Boosting Crop Productivity in Semiarid Rain-Fed Environments. Adv. Agron. 2013, 118, 429–476. [Google Scholar]







| Treatment | W1M1 | W2M1 | W3M1 | W1M2 | W2M2 | W3M2 | CK0 | CK1 | CK2 | |
|---|---|---|---|---|---|---|---|---|---|---|
| SWC | Branching Stage | 0.275 ns | 0.195 * | 0.281 ** | 0.012ns | 0.445 ** | 0.664 ** | 0.947 ** | 0.159ns | 0.152 ** |
| Podding Stage | 0.32 ** | 0.279 ** | 0.236 ** | 0.493** | 0.105 ** | 0.699 ** | 0.884 ** | 0.38 ** | 0.217 ** | |
| Filling Stage | 0.395 * | 0.425 ** | 0.046 ** | 0.045** | 0.17 ns | 0.707 ** | 1.075 ** | 0.039 ** | 0.091 ** | |
| Ph | Pn | 2.514 ** | 0.059 ns | 1.419 * | −0.812 ns | 1.293 ** | 0.056 ns | 1.107 ns | 1.672 ** | 0.233 ns |
| Tr | 1.547 ** | 0.514 ns | 0.567 ns | 0.249 ns | −0.129 ns | 0.909 ns | 1.015 ** | 0.049 ns | 0.341 ns |
| Treatment | Apple | Soybean | |||||||||||||
|---|---|---|---|---|---|---|---|---|---|---|---|---|---|---|---|
| Branching Stage | Podding Stage | Filling Stage | Branching Stage | Podding Stage | Filling Stage | ||||||||||
| SPAD | LAI | SPAD | LAI | SPAD | LAI | SPAD | LAI | Height/cm | SPAD | LAI | Height/cm | SPAD | LAI | Height/cm | |
| W1M1 | 47.31 ± 1.82 c | 1.03 ± 0.06 a | 44.84 ± 2.62 d | 1.47 ± 0.42 ab | 55.17 ± 5.38 a | 0.97 ± 0.25 a | 39.33 ± 1.09 abc | 2.90 ± 0.22 bc | 49.10 ± 5.70 abc | 42.57 ± 0.88 a | 3.60 ± 1.38 ab | 76.00 ± 2.83 b | 46.08 ± 3.91 ab | 4.45 ± 1.03 ab | 96.50 ± 8.17 a |
| W2M1 | 54.59 ± 0.56 ab | 0.67 ± 0.21 d | 50.95 ± 1.71 c | 1.10 ± 0.69 ab | 61.43 ± 6.96 a | 0.93 ± 0.47 a | 41.23 ± 2.52 ab | 3.28 ± 0.46 a | 50.12 ± 3.51 abc | 43.42 ± 1.77 a | 4.42 ± 1.16 a | 85.67 ± 10.46 a | 47.58 ± 5.08 a | 5.52 ± 1.43 a | 99.00 ± 7.59 a |
| W3M1 | 56.68 ± 2.85 a | 0.83 ± 0.06 bc | 53.99 ± 3.06 b | 1.73 ± 0.23 a | 61.90 ± 6.06 a | 1.17 ± 0.21 a | 41.90 ± 1.65 a | 3.32 ± 0.43 a | 47.82 ± 6.95 bc | 45.12 ± 1.36 a | 4.47 ± 1.44 a | 91.17 ± 5.04 a | 46.93 ± 2.14 ab | 5.37 ± 0.85 a | 100.17 ± 8.75 a |
| W1M2 | 54.24 ± 1.09 ab | 0.90 ± 0.00 ab | 42.59 ± 0.80 d | 1.77 ± 0.15 a | 57.67 ± 9.07 b | 0.40 ± 0.00 b | 40.22 ± 0.69 ab | 2.63 ± 0.29 c | 51.32 ± 3.12 abc | 43.10 ± 2.70 a | 3.00 ± 0.43 ab | 83.33 ± 5.57 ab | 43.07 ± 1.58 bc | 3.62 ± 0.84 bc | 94.83 ± 6.62 a |
| W2M2 | 53.60 ± 4.12 ab | 0.77 ± 0.06 bcd | 52.94 ± 1.58 b | 1.17 ± 0.12 ab | 62.50 ± 6.86 a | 0.80 ± 0.17 ab | 40.28 ± 1.76 ab | 2.70 ± 0.37 c | 54.62 ± 1.50 ab | 43.15 ± 3.02 a | 4.57 ± 0.93 a | 84.83 ± 8.01 a | 44.97 ± 4.31 abc | 5.25 ± 1.30 a | 101.50 ± 12.05 a |
| W3M2 | 47.74 ± 1.35 c | 0.63 ± 0.06 de | 56.45 ± 2.84 a | 1.03 ± 0.61 ab | 55.63 ± 3.60 a | 0.97 ± 0.32 a | 40.68 ± 2.01 ab | 3.20 ± 0.13 ab | 55.24 ± 2.92 a | 43.50 ± 2.16 a | 4.65 ± 1.04 a | 91.33 ± 3.50 a | 45.07 ± 2.03 abc | 5.31 ± 0.43 a | 102.50 ± 11.95 a |
| CK0 | 50.36 ± 1.01 bc | 0.50 ± 0.10 e | 47.09 ± 2.22 bc | 1.00 ± 0.36 ab | 59.00 ± 4.93 a | 0.80 ± 0.20 ab | 38.30 ± 5.48 c | 0.43 ± 0.10 d | 19.91 ± 10.35 d | 40.53 ± 1.14 a | 1.92 ± 0.42 bc | 35.00 ± 7.54 c | 41.13 ± 2.60 bc | 1.52 ± 0.31 bc | 50.50 ± 14.12 b |
| CK1 | 56.51 ± 3.27 a | 0.73 ± 0.06 cd | 55.90 ± 1.27 a | 0.83 ± 0.29 b | 59.57 ± 7.30 a | 0.73 ± 0.21 ab | 36.32 ± 1.87 bc | 1.75 ± 0.05 e | 44.85 ± 2.92 e | 41.47 ± 2.60 a | 2.45 ± 0.50 c | 65.67 ± 9.91 d | 43.10 ± 2.68 c | 2.95 ± 1.08 d | 80.17 ± 10.68 c |
| CK2 | 52.68 ± 3.74 a | 0.60 ± 0.00 de | 50.64 ± 1.17 c | 0.90 ± 0.26 b | 53.57 ± 7.59 a | 0.80 ± 0.26 ab | 36.70 ± 3.23 c | 1.87 ± 0.20 d | 36.04 ± 6.17 c | 42.48 ± 6.30 a | 2.72 ± 0.71 bc | 60.67 ± 2.07 c | 43.27 ± 2.76 bc | 3.47 ± 0.90 c | 73.00 ± 7.18 b |
| Significance Testing (F-Value) | |||||||||||||||
| M | 2.007 ns | 13.768 ** | 1.107 ns | 1.718 ns | 13.768 ** | 2.39 ns | 0.98ns | 13.751 ** | 28.742 ** | 0.507 ns | 0.959 ns | 34.882 ** | 2.785 ns | 6.285 ** | 6.285 ** |
| I | 1.084 ns | 6.812 ** | 2.575 ns | 2.048 ns | 6.812 ** | 1.917 ns | 8.037 ** | 31.061 ** | 12.365 ** | 0.642 * | 11.675 ** | 38.445 ** | 2.381 ns | 10.408 ** | 10.408 ** |
| M×I | 12.874 ** | 3.339 * | 12.675 ** | 1.889 ns | 3.339 ** | 1.53 ns | 0.453 ns | 27.723 ** | 5.071 ** | 0.480 ns | 0.554 ns | 1.731 ns | 0.586 ns | 1.554 ns | 1.554 ns |
| Treatment | Apple | Soybean | ||||
|---|---|---|---|---|---|---|
| Pn | Tr | WUEi | Pn | Tr | WUEi | |
| W1M1 | 15.55 ± 4.10 ab | 5.89 ± 2.51 b | 2.93 ± 0.89 abc | 14.92 ± 6.50 b | 8.06 ± 3.91 c | 2.00 ± 0.81 b |
| W2M1 | 14.38 ± 6.25 ab | 6.13 ± 2.98 b | 2.57 ± 1.06 bc | 15.03 ± 5.86 b | 8.51 ± 4.30 c | 1.96 ± 0.80 b |
| W3M1 | 13.55 ± 5.67 bc | 6.43 ± 2.78 b | 2.15 ± 0.43 cd | 16.53 ± 6.56 a | 9.74 ± 4.15 b | 1.88 ± 0.98 b |
| W1M2 | 16.28 ± 5.76 a | 7.78 ± 3.91 a | 2.45 ± 1.36 bc | 15.26 ± 7.88 ab | 11.22 ± 5.69 a | 1.37 ± 0.51 c |
| W2M2 | 12.05 ± 4.73 c | 9.13 ± 3.91 a | 1.75 ± 0.58 d | 13.12 ± 5.18 cd | 11.86 ± 3.95 a | 1.36 ± 0.39 c |
| W3M2 | 11.82 ± 3.91 c | 7.87 ± 3.30 a | 1.63 ± 0.44 d | 17.71 ± 6.80 a | 12.55 ± 4.79 a | 1.35 ± 0.30 c |
| CK0 | 8.87 ± 4.26 d | 2.88 ± 1.33 d | 3.46 ± 1.72 a | 9.28 ± 3.74 e | 4.69 ± 2.43 e | 2.96 ± 3.25 a |
| CK1 | 11.58 ± 3.17 c | 4.39 ± 2.87 c | 3.71 ± 2.66 a | 15.12 ± 5.54 bc | 6.73 ± 3.62 d | 2.70 ± 1.46 a |
| CK2 | 8.76 ± 4.14 d | 3.53 ± 2.22 cd | 3.10 ± 4.26 ab | 12.45 ± 6.07 d | 6.78 ± 3.27 d | 2.13 ± 1.06 b |
| Significance Testing (F-Value) | ||||||
| M | 5.163 ** | 10.261 ** | 6.137 ** | 18.611 ** | 39.935 ** | 36.938 ** |
| I | 19.282 ** | 22.970 ** | 12.102 ** | 12.054 ** | 39.791 ** | 21.533 ** |
| M × I | 2.302 ns | 5.650 ** | 0.616 ns | 2.498 ns | 6.085 ** | 0.624 ns |
| Treatment | GY/ | WC/ | WUE/ | IWUE/ |
|---|---|---|---|---|
| (Kg•hm−2) | (mm) | (Kg•hm−2•mm−1) | (Kg•m−3) | |
| W1M1 | 1553.07 ± 109.91 b | 286.18 ± 4.13 d | 5.43 ± 0.38 a | 3.22 ± 0.23 a |
| W2M1 | 1572.83 ± 115.96 b | 363.86 ± 3.13 c | 4.32 ± 0.32 bc | 1.28 ± 0.10 c |
| W3M1 | 1624.23 ± 272.46 b | 428.45 ± 2.4 a | 3.79 ± 0.64 c | 0.90 ± 0.15 c |
| W1M2 | 1344.71 ± 239.29 bc | 283.18 ± 0.88 d | 4.75 ± 0.85 abc | 2.70 ± 0.48 b |
| W2M2 | 1510.02 ± 226.46 b | 391.58 ± 3.02 b | 3.86 ± 0.58 c | 1.10 ± 0.16 c |
| W3M2 | 2032.68 ± 397.40 a | 387.41 ± 4.09 b | 5.25 ± 1.03 ab | 1.20 ± 0.23 c |
| CK0 | 675.90 ± 35.01 e | 239.21 ± 0.73 f | 2.83 ± 0.15 d | - |
| CK1 | 1025.00 ± 267.65 cd | 265.64 ± 0.95 e | 3.86 ± 1.01 c | - |
| CK2 | 928.26 ± 39.19 d | 241.66 ± 1.49 f | 3.84 ± 0.16 c | - |
| Significance Testing (F-Value) | ||||
| M | 32.802 ** | 4698.796 ** | 19.410 ** | 102.703 ** |
| I | 5.821 * | 19.330 ** | 10.317 ** | 1.233 ns |
| M × I | 6.369 ** | 224.256 ** | 10.179 ** | 3.917 * |
Disclaimer/Publisher’s Note: The statements, opinions and data contained in all publications are solely those of the individual author(s) and contributor(s) and not of MDPI and/or the editor(s). MDPI and/or the editor(s) disclaim responsibility for any injury to people or property resulting from any ideas, methods, instructions or products referred to in the content. |
© 2023 by the authors. Licensee MDPI, Basel, Switzerland. This article is an open access article distributed under the terms and conditions of the Creative Commons Attribution (CC BY) license (https://creativecommons.org/licenses/by/4.0/).
Share and Cite
Wang, L.; Wang, R.; Luo, C.; Dai, H.; Xiong, C.; Wang, X.; Zhang, M.; Xiao, W. Effects of Different Soil Water and Heat Regulation Patterns on the Physiological Growth and Water Use in an Apple–Soybean Intercropping System. Agronomy 2023, 13, 511. https://doi.org/10.3390/agronomy13020511
Wang L, Wang R, Luo C, Dai H, Xiong C, Wang X, Zhang M, Xiao W. Effects of Different Soil Water and Heat Regulation Patterns on the Physiological Growth and Water Use in an Apple–Soybean Intercropping System. Agronomy. 2023; 13(2):511. https://doi.org/10.3390/agronomy13020511
Chicago/Turabian StyleWang, Lisha, Ruoshui Wang, Chengwei Luo, Houshuai Dai, Chang Xiong, Xin Wang, Meng Zhang, and Wan Xiao. 2023. "Effects of Different Soil Water and Heat Regulation Patterns on the Physiological Growth and Water Use in an Apple–Soybean Intercropping System" Agronomy 13, no. 2: 511. https://doi.org/10.3390/agronomy13020511
APA StyleWang, L., Wang, R., Luo, C., Dai, H., Xiong, C., Wang, X., Zhang, M., & Xiao, W. (2023). Effects of Different Soil Water and Heat Regulation Patterns on the Physiological Growth and Water Use in an Apple–Soybean Intercropping System. Agronomy, 13(2), 511. https://doi.org/10.3390/agronomy13020511
