Abstract
Magnesium (Mg) is critical for agricultural production and human health. The wax gourd yield was greatly affected by Mg fertilizer and it serves as an excellent crop to study Mg functioning in sink growth; however, as a Cucurbitaceae plant which is called a raffinose family oligosaccharides (RFOs)-transporting plant, its adaptive mechanism of photoassimilates transportation and distribution to Mg nutrients remains unknown. Herein, we used two Mg treatments (+Mg 90 kg ha−1; CK as control 0 kg ha−1) to observe the effects of Mg on the photoassimilates status in the leaves, phloem sap and fruit of wax gourd grown across the entire growth stage under a field condition. For the first time, we confirmed that stachyose and raffinose, which accounted for 54.9–78.0% of the total carbohydrates across the whole growth phase in the phloem sap, were the most predominant sugars used for the long-distance transport of wax gourds. They were strongly increased by Mg application which started from the seedling stage to the end of growing season. This response was earlier and more dramatic than the over-accumulation of sucrose in leaves regardless of positions. Hexoses (glucose plus fructose) were the main soluble sugars in the source leaves as well as in the mesocarp tissues, and their responses to Mg varied with temporal and spatial differences. The difference in the sugar status in the leaves between the upper, middle and lower positions is closely related to the concentration of Mg ions. Compared with Mg deficiency (CK), Mg application stimulated sugar accumulation in the leaves at the seedling and flowering stages by 10.6–24.5%. On the contrary, after fruit set, Mg supplementation significantly reduced the soluble sugar concentration in leaves by 33.5–67.9%. Mg treatment also spiked the fructose and glucose in fruit at the fruit expansion stage by 26.7% and 16.4%, respectively. Taken together, our results showed that Mg tailors the carbohydrate status in the source (leaves), flow (phloem sap) and sink (mesocarp tissues) in wax gourds, especially during the fruit growth period. The lower stachyose in the phloem at the beginning of fruit setting may be an early indication of a curtailed sink process in wax gourds grown in Mg deficient soil.
1. Introduction
Magnesium (Mg) is an essential macronutrient in plant cells and plays an important role in the growth and development of plants [1,2,3]. Up to 35% of Mg is preferentially allocated to chloroplasts in plants, and its’ importance on photosynthetic fixation and metabolism has been well described [4,5,6,7]. It has also been widely observed in many crops, such as sugar beet [8], Arabidopsis [9], soybean [10], potatoes [11], maize, and wheat [12], that prior to the onset of decreased photosynthesis, carbohydrate transportation is blocked under Mg deficiency, and in turn the sucrose in leaves accumulats. The developing plant parts as a heavy sink for assimilates will consequently suffer from the impaired phloem loading [8,9,13], suggesting that Mg is crucial for the transport of assimilates. Notably, sucrose is the major form of carbohydrate transported in the phloem and distributed to heterotrophic sinks in these higher plants, and it has been proved to be directly related to the Mg concentration [10,13,14]. The well-documented mechanism is that Mg governs sucrose phloem loading and cellular emerge metabolism requires Mg for both ATP synthesis and hydrolysis [8,9,10]. Interestingly, Cucurbitaceae are called RFO-transporting plants. Raffinose family oligosaccharides (RFOs) are the most prevalent translocated carbohydrates, which are loaded into the phloem of source organs and exported to sink organs for plant growth and development. Different from sucrose-transplanting plants, this type of plant has been proven to use polymer trapping through a symplastic loading pathway in source leaves [15]. Although polymer trapping is thermodynamically active overall, it does not involve active transport in the formal sense of moving ions or molecules across a membrane [16]. How the carbon responds to Mg and its consequence on the sink tissues from the phloem of these plants is poorly understood.
As a Cucurbitaceae, a wax gourd, with a fresh weight of up to 20–50 kg per single fruit, stores massive amounts of carbohydrates in fruit for short periods of time, which by and large depends on an adequate Mg supply [17]. Wax gourds are intensively cultivated in South China; however, high leaching of Mg from the rhizosphere is widely hampering its growth [18,19]. Zhang et al. [20] found that Mg deficiency remarkably impeded the fruit yield as well as the next-generation of seeds and seedling growth of wax gourds, but the research lacked detailed information regarding the carbohydrate changes between organs affected by the Mg nutrient during plant growth and development. Therefore, the issue of Mg deficiency in wax gourd production must be addressed. The comprehensive elucidation of assimilates in this RFOs crop and their relationship with Mg are required to develop innovative techniques.
The visible symptoms of Mg limitation are usually seen in older tissues [21,22,23,24]. Starch accumulation is regarded as the origin of early changes in leaves, which usually occurs in the leaves with the lowest Mg content [8]. Mg is a mobile element and it is found to move from old leaves to new leaves [25,26]. In citrus seedlings, vein enlargement and cockiness, alterations of gas exchange, pigments, chlorophyll a fluorescence transients and related parameters were observed in the middle and lower leaf, but not in the upper leaf, under Mg deficiency treatment. However, the concentration of starch and soluble sugar had little difference between the upper and lower leaf [21]. In the case of beets after 20 days of Mg deficiency, the sucrose output was inhibited and sucrose and starch accumulation were significantly increased in the apical enlarged leaves, which also had the lowest Mg content of all leaves, while the older leaves had a higher Mg content [8]. Indeed, most plants have a highly dynamic Mg demand over the growing season and may show Mg deficiency symptoms at certain critical growth stages [27]. It is undoubtedly that nutrient and carbohydrate metabolism in source leaves, phloem sap and fruits are highly related. Unfortunately, although the Mg effects on many crops have been extensively investigated in seedlings in the past, little information exists simultaneously concerning the sugar characters in source leaves, phloem sap and fruits across entire growth cycle.
Therefore, to depict the Mg effects on RFOs-transporting plants’ photoassimilate partitioning and transportation between tissues across the fruit development stages in wax gourds, and to provide theoretical guidance for Mg fertilization strategy for RFOs crops in the future, an open-field experiment was carried out. At the five stages of fruit growth, leaves and phloem extract at three parts (upper, middle and bottom) of plants and fruits were used to analyze the carbohydrates and Mg concentrations.
2. Materials and Methods
2.1. Site Description
The field trial was conducted based on the magnesium gradient long-term positioning trial, which was carried out in Guangzhou (23°08′ N, 113°16′ E), China, from 2017 to 2021. On the basis of the magnesium gradient, two treatments with stable and significant yield differences were selected as our experimental treatments. The following data content is mainly the results from 2020. The climate in 2020 was a subtropical marine monsoon climate with an average temperature of 23 °C and an annual precipitation of 1800 mm. The daily temperature and rainfall during the growing season of wax gourds in experimental fields is given in Figure 1.
Figure 1.
Daily temperature and rainfall during wax gourd growing season near the field site. F1 and F2 represent the time of first and second application of Mg fertilizer. The dotted box represents the entire growth period of the wax gourd from planting to harvest.
The soil properties (0–30 cm depth) prior to planting were a sandy loam, had a pH value of 6.3 and the amount of exchangeable Mg was 51.3 mg kg−1 (in a magnesium deficiency state) measured using the ammonium acetate (NH4OAc) method described by Zhang et al. (2012) [28]. The available-N and Olsen-P, NH4OAc-exctractable K of the soils were 243.7 mg kg−1, 24.2 mg kg−1 and 293.4 mg kg−1 which were determined according to Wang et al. (2013) [29], Lu et al. (2019) [30] and Lu et al. (2017) [31], respectively.
2.2. Experimental Set-Up and Field Management
The seedlings of Benincasa hispida cv. Tiezhu 2 were transplanted when plants had three fully expanded leaves. After transplantation, a randomized block design was used with 4 replicates per treatment and 2 typical plants were selected for each replicate. Each plot was 45 m2 (30 m × 1.5 m) in width. Wax gourd plants were grown until maturity with five soil Mg application rates (0, 30, 60, 90 and 120 kg MgO ha−1) in the form of synthetic MgSO4·7H2O (17% MgO), of which half was applied as the basal fertilizer and the other half was soil applied at the flowering period. Other nutrients were uniformly applied to all plots including 350 kg N ha−1, 180 kg P2O5 ha−1 and 375 kg K2O ha−1 in the form of urea (46% N), superphosphate (12% P2O5) and potassium sulfate (49% K2O), respectively. Of the Mg treatments mentioned, 0 kg and 90 kg Mg ha−1 MgO applications were considered as the control treatment (−Mg; Mg deficiency treatment) and the adequate Mg treatment (+Mg) based on a previous study [20]. The middle rows of the plots were used for the plant sampling and harvesting.
When the plants were matured 90 days after transplanting, the fruit was harvested and weighed for determination of the fruit yield. The plant leaf and phloem exact samples at three locations of the plant, namely the top (the 1–3rd piece of the newest fully expanded leaf from the top down, about 34–40 nodes), middle (1 leaf corresponding to the fruit as the benchmark, collecting adjacent leaves, consisting of 3 middle leaves, about 24–30 nodes, selecting the leaves in the middle when there is no fruit at the seedling and flowering stages) and bottom (collected from the 1st to 3rd complete leaf from the top of the root (the surface of the leaf is basically complete, about 3–8 nodes). A total of 9 leaves were taken from four uniform plants within each plot at 35, 50, 65, 75 and 85 days after transplanting (DAT).
The leaf samples were washed in deionized water (dH2O), then all plant samples were put in paper bags, dried at 105 °C for 30 min and then at 65 °C for 3 days, and then weighed at room temperature. The dried plant samples were ground to fine powders for future analysis.
2.3. Collection of Phloem Exudate
The collection of the phloem exudates was carried out according to Cakmak et al. (1994) [10] and Zhang et al. (2020) [20]. Immediately after excision of the leaves from the shoots, the leaf petioles were recut under distilled water and placed in a glass vial containing 5 mL 20 mM EDTA (Ethylene Diamine Teraacetic Acid) solution (pH 6.0). After 8 h of incubation in the dark, the extracted leaves and phloem extracts were labeled and treated with liquid nitrogen for the determination of saccharides.
2.4. Determination of Saccharides in Leaf, Phloem Extract and Fruit
The soluble sugars were determined by the high performance liquid chromatography–evaporative light scattering detection method (HPLC–ELSD method), and the detection instrument was an aglient liquid chromatograph (Agilent Liquid Chromatograph 1260). The specific chromatographic conditions are as follows: XBridge Amide column (4.6 × 250 mm); mobile phase A is 80/20 acetonitrile/ultrapure water with 0.2% triethylamine; mobile phase B is 30/70 acetonitrile/ultrapure water with 0.2% triethylamine ethylamine gradient; flow rate: 1.0 mL min−1; injection volume: 10 μL; sample concentration: 1 mg mL−1; column temperature: 35 °C. Standards for glucose, fructose, sucrose, raffinose and stachyose were purchased from Sigma (Saint Louis, MO, USA).
2.5. Determination of Mg Ions in Leaves
For the determination of Mg, the dried leaf samples were ground to fine powders, and approximately 0.2 g from each ground sample was acid-digested by using 2 mL of 30% H2O2 and 5 mL of 65% HNO3 in a closed-vessel microwave system. After digestion, the Mg existing in the digests was analyzed by inductively coupled plasma mass spectrometry (ICP-AES, model IRIS, TJA, Franklin, MA, USA) as suggested by Zhang et al. (2020) [20].
2.6. Statistical Analysis of Data
Statistical analysis was performed using SPSS 22.0 software, and the differences between the treatments were analyzed at the p < 0.05 level by Duncan’s test or independent sample t-test. The mapping was with Origin 2021. Pearson correlation coefficient was used for the correlation analysis.
3. Results
3.1. Yield of Wax Gourd
The yield of wax gourds responded consecutively to Mg gradients in the spring seasons of 2020 and 2021 (Table 1). Generally, the fruit yield increased significantly with the increase in Mg fertilizer gradients at a range of 16.6–22.6%, compared with the no Mg condition. The highest yield was achieved (102,093.8 kg ha−1 on average) at the 90 kg MgO ha−1 treatment, 20.6% more than the 0 kg MgO ha−1 treatment (84,678.8 kg ha−1 on average). These two treatments (0 and 90 kg MgO ha−1 treatments) were afterward used as the control (CK) and optimal dose (+Mg) for further study.
Table 1.
Changes in fruit yield of wax gourd (Benincasa hispida cv. Tiezhu 2) plants depending on increasing Mg supply in form of MgSO4·7H2O in spring 2020 and 2021.
3.2. The Concentration of Mg and Various Soluble Sugars in Leaves
Since Mg is highly mobile in plants, its concentration in leaves varies with temporal variations. The Mg in three parts of leaves was hence examined during five phenological stages of the wax gourd (Figure 2). Mg application considerably increased Mg ion concentrations in all leaves regardless of their locations and growth stages. Compared to the CK, significant increases in Mg concentrations were observed in the seedling (35 DAT) and fruit expansion (75 DAT) stages after the application of 90 kg MgO ha−1. Up to a 72.7–109.0% increase in the upper leaves was observed. It was noteworthy that under a sufficient Mg application, no significant difference in Mg concentrations was recorded in all three parts of the leaf (5.3–5.4 mg g−1 on average). In the absence of Mg fertilization, no significant variation was noted in Mg concentrations at the middle and bottom parts of the leaf (35 DAT). Interestingly, when fruit forms and grows, especially at the fruit setting stage (65 DAT), leaf Mg concentration at the middle position was 58.7% higher than leaves in lower positions. In terms of the Mg ratio between the upper, middle and lower locations, it changed from 3:4:4 at 35 DAT to 27:33:21 at 65 DAT, suggesting Mg mobility from both old and young leaves towards the middle leaf under a Mg deficiency condition.
Figure 2.
Effects of 90 kg MgO ha−1 (+Mg) on Mg concentration (a–c) and soluble total sugar concentration (d–f) in upper, middle and lower leaves. The date show the means of four replicates ± standard deviation (SD). Independent sample t-test was used. * indicates significant differences between two treatments (p < 0.05), ns indicates no significant differences between two treatments. The seedling stage, flowering stage, fruit setting stage, fruit expanding stage and fruit mature stage in the figure are 35 days, 50 days, 65 days, 75 days and 85 days after transplanting respectively.
As expected, changes in the soluble sugar levels in different leaves were also seen in Mg-treated plants across the growth stages (Figure 2). At the seedling stage (35 DAT), 11.8–20.6% more sugars were obtained in plants under the Mg application condition compared with the CK. With the development of fruit, soluble sugars in the middle and lower position leaves were gradually decreased with a sufficient Mg supply but kept increasing in plants grown in Mg-deficient soil. The significant differences between the two treatments were mainly observed in the middle and lower positions of leaves during fruit growth (65–75 DAT). At the fruit setting stage (65 DAT), contrary to the Mg ratio between leaves, the soluble sugar concentration in the upper, middle and lower leaves was 5:4:6 with a Mg deficiency. Mg and assimilates in all leaves at mature stages were consistently higher than the other stages, which may indicate exportation from the fruit with a dark green pericarp.
In order to identify the major soluble sugar substances with the greatest influence of Mg on leaves, we analyzed a variety of soluble sugars in leaves. First of all, for wax gourd crops no matter which treatments, it was found that before fruit set, fructose and glucose dominated with 65.0–84.8% of the total soluble sugars, then gradually reduced afterward. After fruit set, the sucrose concentration in leaves increased and accounted for 20.6–29.7% of the total sugar at the mature stage. Raffinose and stachyose were relatively low in each stage. Slight differences in the proportion of the various soluble sugars in leaves treated with the 90 kg MgO ha−1 application and the CK was observed (Figure 3).
Figure 3.
Average proportion of various soluble sugars in leaves under CK (0 kg MgO ha−1) and +Mg (90 kg MgO ha−1) treatments. The seedling stage, flowering stage, fruit setting stage, fruit expanding stage and fruit mature stage in the figure are 35 days, 50 days, 65 days, 75 days and 85 days after transplanting respectively.
The three dominant sugars, namely fructose, glucose and sucrose, in the leaves were further analyzed to compare the Mg effect on carbohydrate formation (Figure 4). Generally, the formation of these three sugars increased at the vegetative stage then gradually decreased with fruit growth, but elevated again at the mature stage. At the seedling stage, Mg application significantly increased 23.0–150.7% sucrose of sugar for all leaves, showing a greater increasement in relatively younger leaves. On the contrary, at the fruit setting stage, +Mg treatment significantly reduced the sucrose concentration of the central leaves (mostly old leaves) by 46.4%, at the fruit expansion stage. Between these three assimilates, the concentration of sugar in the +Mg treatment was reduced by 66.0–71.4% in the lower leaves of the fruit setting stage. Compared with the CK treatment, the concentration of these three saccharides in leaves decreased by 36.6–57.4% in the fruit expansion stage.
Figure 4.
Effects of 90 kg MgO ha−1 on fructose (a–c), glucose (d–f) and sucrose (g–i) concentrations in upper, middle and lower leaves. The date show the means of four replicates ± standard deviation (SD). Independent sample t-test was used. * indicates significant differences between two treatments (p < 0.05), ns indicates no significant differences between two treatments. The seedling stage, flowering stage, fruit setting stage, fruit expanding stage and fruit mature stage in the figure are 35 days, 50 days, 65 days, 75 days and 85 days after transplanting respectively.
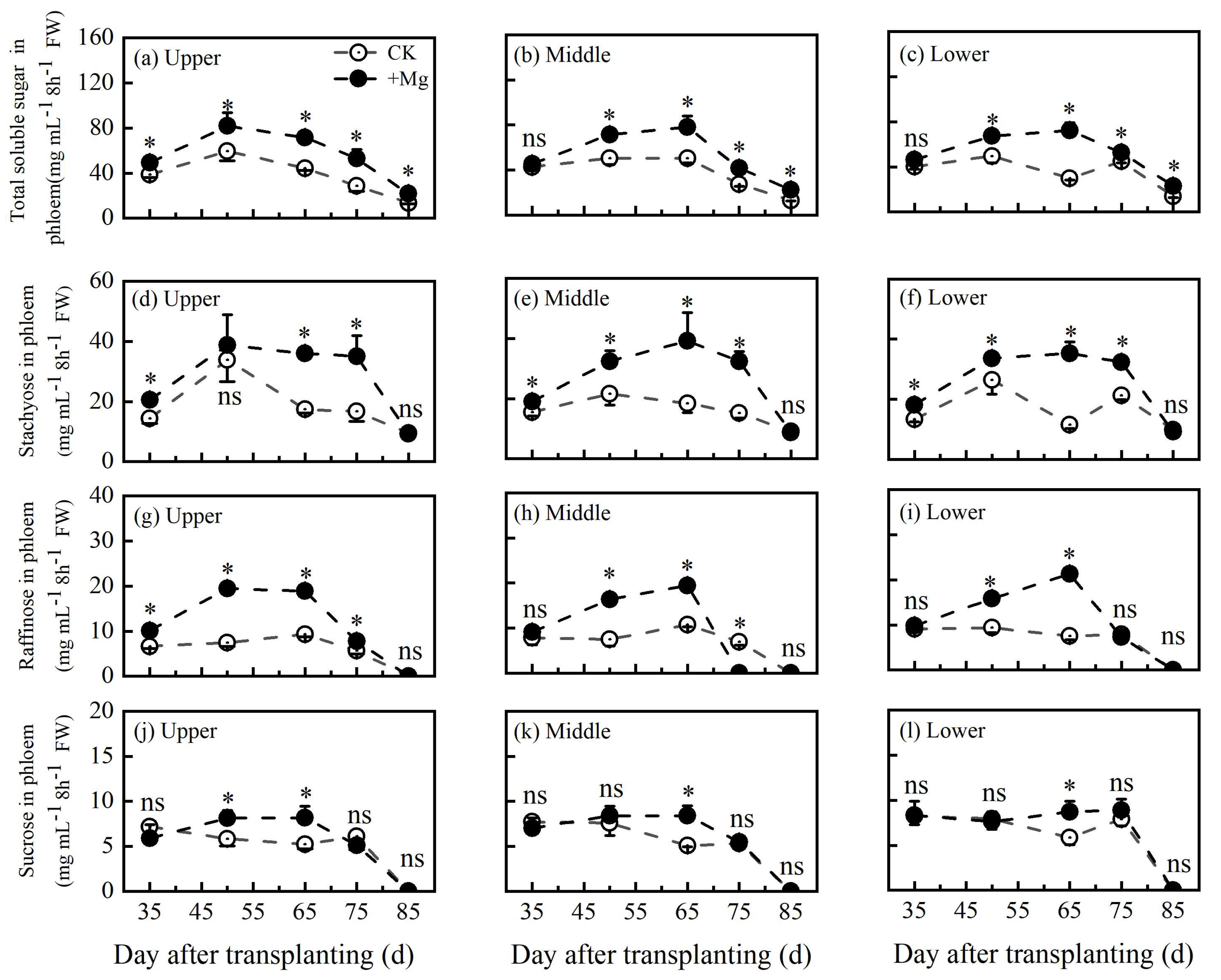
3.3. The Soluble Sugars in Phloem Extract
The total soluble sugars in the phloem sap increased before fruit formation and then decreased with fruit growth. The total soluble sugar transport in leaves of the +Mg treatment was remarkably enhanced compared with the CK treatment at all texted periods. At 35, 50, 65, 75 and 85 (DAT), they were significantly increased by 14.9–27.6%, 36.1–41.6%, 54.2–142.2%, 52.5–85.4% and 65.0–72.8%, respectively (Figure 5). Earlier than the sugar response of leaves, the significant Mg effect on soluble sugar in the phloem sap took place from the very beginning of seedling growth (Figure 5). By comparison, it was found that the effect of Mg on phloem transport was greatest at the fruit setting stage (65 DAT). During this period, consistent with Mg, the soluble sugar transport to the phloem of the upper, middle and lower locations was about 4:5:3 when no Mg was applied. In the presence of Mg, however, there was no noticeable difference.
Figure 5.
Sufficient Mg (90 kg MgO ha−1) effects on total phloem sugar (a–c), stachyose (d–f), raffinose (g–i) and sucrose (j–l) concentrations in upper, middle and lower leaves phloem. The date show the means of four replicates ± standard deviation (SD). Independent sample t-test was used. * indicates significant differences between two treatments (p < 0.05), ns indicates no significant differences between two treatments. The seedling stage, flowering stage, fruit setting stage, fruit expanding stage and fruit mature stage in the figure are 35 days, 50 days, 65 days, 75 days and 85 days after transplanting respectively.
Obviously, our database suggests that stachyose and raffinose are the primary sugars in the phloem sap and they greatly responded to Mg supply (Figure 5). Compared with the CK, the +Mg treatment significantly increased the stachyose transport by 23.0–43.6%, 27.2–50.2%, 106.8–206.1% and 52.5–113.7%, and the raffinose transport increased by 51.7%, 68.3–160.9%, 81.2–183.6% and 37.1% at 35, 50, 65 at 75 (DAT), respectively. The +Mg treatment also increased the sucrose content in different parts of the phloem, but was less pronounced than stachyose and raffinose.
The most distinguished difference caused by the Mg treatment on stachyose and raffinose was observed at the fruit setting stage (65 DAT). At this time, the stachyose and raffinose transport in the phloem of the upper, middle and lower leaves was 2:2:1, and 9:11:8 under the Mg deficiency condition, respectively (Figure 5).
Unlike leaves, the main sugars in the phloem sap were stachyose, which accounts for 35.5–70.2% of the total soluble sugar, followed by raffinose and sucrose (Figure 5). During the critical period of fruit growth (65 DAT) and fruit expanding (75 DAT) stages, the +Mg treatment increased the proportion of stachyose in the total soluble sugar in phloem by 11.8–15.2% (Figure A1).
3.4. The Soluble Sugars in the Fruit
Fruit development is largely dependent upon the supply of photoassimilates imported into the fruit via the phloem from leaves. To further understand the effects of Mg on carbohydrate substances in fruit, five soluble sugars were examined at three fruit growth stages. Different from other organs, fructose and glucose were the most important sugars in fruits, accounting for 46.3–49.2% and 48.5–52.9% of the total soluble sugars, respectively (Figure 6), while sucrose, stachyose and raffinose were extremely low during the whole period of fruit growth. Except for stachyose, all other sugars increased with fruit growth. The +Mg treatment significantly increased fructose, glucose, sucrose, raffinose and the total soluble sugar in fruits, especially at the expansion stage (75 DAT) by 26.7, 16.4, 38.2, 53.4 and 23.3%, respectively (Figure 6). No apparent differences on the proportion of sugars induced by the Mg treatment was observed in the fruit (Figure A2).
Figure 6.
The sucrose (a), raffinose (b), stachyose (c), fructose (d), glucose (e) and total soluble sugar (f) in the fruit during fruit development under 90 kg MgO ha−1 and no Mg treatments. The date show the means of three replicates ± standard deviation (SD). Independent sample t-test was used. * indicates significant differences between two treatments (p < 0.05), ns indicates no significant differences between two treatments. The fruit setting stage, fruit expanding stage and fruit mature stage in the figure are 65 days, 75 days and 85 days after transplanting respectively.
3.5. Correlation Analysis
To explore the relationship between Mg and carbohydrate across the five growth stages of wax gourds, a correlation analysis was carried out. As shown in Table 2, first of all, leaf Mg exhibited a positive and significant correlation with the RFOs in phloem at most of growth phases, especially during fruit formation to expansion period. The fruit setting stage at 65 DAT seems a watershed for Mg-affected carbons, and leaf Mg concentration showed a negative and significant correlation to soluble sugar; meanwhile, the sucrose concentration in the leaf and the total soluble sugar transport in phloem showed a positive and significant correlation to the RFOs of phloem. It was obvious that Mg status affects RFOs in phloem more than either soluble sugar or sucrose in leaves.
Table 2.
Correlation analysis of leaf Mg ion concentration, leaf soluble sugar concentration and phloem soluble sugar transport.
4. Discussion
Fruit development is largely dependent upon the supply of photoassimilates imported into the fruit via the phloem from leaves [32]. In most plants such as the tomato, it was found that photoassimilates are exported exclusively in the form of sucrose, accounting for about 90% of the total soluble sugar [33]. However, in addition to sucrose, raffinose and stachyose are also used for long-distance transport in some plants. For example, in sweet basil [34], Ajuga reptans [35] and cucumber [36], taking stachyose and raffinose together as RFOs accounted for 72%, 61.2% and 57.1% of the translocated sugars, respectively. Our present study revealed that in the phloem of wax gourds, stachyose and raffinose accounted for 35.5–70.2% and 10.2–26.9% of the total sugars (Figure 5). To our knowledge, this is the first time confirming that RFOs are indeed the most predominant long-distance transport sugars in wax gourds. These results also suggested that stachyose is indeed the most predominant transported sugar in stachyose-translocating plants, but the detailed characteristics of phloem exudates remain distinct.
Mg fertilizer has been reported for considerably increasing the yield and quality of wax gourds as per the data taken from the five-year trial (Table 1) [20,29]. Yield formation acquires sugars which are largely generated via photosynthetic assimilation in leaves and are further metabolized and sink into phloem, thus promoting fruit growth [37,38,39,40,41]. Interruptions on carbon assimilates in leaves and/or the transport capacity of phloem have been widely reported to be associated with reductions in yield [42,43,44,45]. Interestingly, lower carbohydrates in source leaves have been observed both in Mg deficient [46,47] and sufficient conditions [8,11,12,48] but with a different mechanism and consequence. Briefly, the leaf sugar reduces slightly under Mg deficiency, mainly through a restricted photosynthetic capacity in the leaf and is typically identified at an early stage [49,50]. Reduced leaf sugars under Mg sufficiency is attributed to an escalated photoassimilate export [13] and its accumulation in the fruit [25,51,52]. This principle also fits for the same plant but different at growth phases according to current results, that is Mg supplementation increased soluble sugar concentrations in all the leaves at the seedling stage but considerably reduced them during fruit formation (Figure 2). Actually, this response of leaf soluble sugar concentrations to Mg not only varied with temporal variations, but also spatial differences (Figure 2). By comparing the leaf carbohydrate status in the entire growth stage of wax gourds under Mg deficiency and sufficiency conditions, we found that Mg fertilization had an earlier increasing effect on the soluble sugar concentration in top leaves at the seedling stage (Figure 2). The same but insignificant response of lower leaves at the seedling stage in this case may be because of strong competition from the root system, since the root system is more competitive for photosynthetes than the shoots [53,54,55]. On the contrary, it had a more remarkable but negative effect on sugar concentrations in lower and middle leaves during the fruit growth stages (Figure 2 and Figure 3), which were related to improved phloem transportation (Figure 5) [20] by Mg (Figure 2; Table 2). The interpretation of these spatial responses can be kept rather simple by assuming that sink tissues, such as roots and fruits, are competing for carbohydrates and minerals, and the organs that are most successful in obtaining its requirements are the ones nearest to the source [53]. This change on the carbohydrate status was in line with the Mg concentration of the leaf status.
To our knowledge, to date, there is a lack of research simultaneously concerning source, flow and sink organs in cucurbit species [36], particularly under different Mg treatments. Generally, Mg tailors the production, transportation, and utilization of photosynthates in wax gourds, and the comparative plant responses to Mg sufficiency and limitation is summarized (the scheme is depicted in Figure 7). Our results, for the first time, showed the changes in carbohydrate characters in the source (leaves), flow (phloem sap) and sink (mesocarp tissues) caused by Mg status along the time course of wax gourd growth from a seedling to mature under natural field conditions. By this general observation, we found that, compared with Mg sufficiency, stachyose was greatly impaired in the phloem starting from the very early seedling stage to the end of the growing season under a Mg deficiency. Notably, this response was earlier and more dramatic than the sucrose change in leaves regardless of their positions (Figure 4d–f; Figure 5d–f; Table 2). It is well-documented that Mg deficiency impairs sucrose phloem loading by restricting the functioning of sucrose/H+ symporters (i.e., SUT1) that demand Mg-ATPase for H+-motive force [56,57] in many plant species such as the sugar beet, tomato and maize. However, for wax gourds which use stachyose and raffinose dominantly for long-distance transport (Figure 5), the underlying mechanism of these Mg effects on the carbon status between organs need further exploration. In this study, under the Mg deficiency treatment, sucrose, fructose and glucose in leaves began to accumulate at the onset of fruit setting (65 DAT), which were three times the Mg applied treatment (Figure 4). The output of stachyose in phloem decreased almost by 67.3% from the seedling stage (35 DAT) to the maturity stage (Figure 5). It should be noted that the Mg deficiency symptom is not visible until a certain period of latency and at that time, it is unlikely to attain the full capacities of yield performance with Mg supplementation. It is widely accepted that determining critical Mg levels is challenging [2], since Mg concentrations in the soil and plant are mediated by a wide range of factors such as edaphic factors, and anthropogenic influences, genotypic variations, heterogeneous growing conditions, growth stage and age of analyzed tissues [28]. Hence, identifying an appropriate time and indicator to diagnose the Mg nutrient status in time definitely calls for great attention to ensure the effective fertilization effect. It is presently believed that the elevated accumulation of photosynthates in source leaves under a Mg deficiency is the first observation prior to visible leaf chlorosis, used for sensible diagnosis in the field [27]. In this study, we found that the impaired translocation of RFOs in the phloem sap was a more susceptible indicator to Mg limitation in wax gourds, compared to the over-accumulation of sucrose as well as starch in the source leaves (Figure 5) [20]. It is safe to suggest that an interruption of the stachyose or RFOs translocation in early plant growth could be a timelier indicator for yield reductions at a later growth stage with a Mg limitation (Figure 2 and Figure 5; Table 2).
Figure 7.
Scheme depicting distinct responses of wax gourd to Mg availability. Adequate supply of Magnesium increases the Mg concentration of leaves. Mg promote leaf photosynthesis and enhance sucrose concentration before fruit setting. Mg improve the outward transport of stachyose and raffinose from the phloem throughout the growth period, and reduce the accumulation of soluble sugars such as fructose, glucose and sucrose in leaves, increase the concentration of various soluble sugars such as fructose and glucose in fruit during the expansion stage. When crop at Mg deficiency, the synthesis of saccharides such as sucrose was decreased in leaf, and the outward transport of stachyose and raffinose in phloem was reduced, sugars accumulate in the leaves, ultimately lead to decreased fruit yield and quality.
5. Conclusions
From the results of this study, it can be concluded that in wax gourd plants: (i) Stachyose was the most predominant sugar in the phloem sap and it was greatly improved by Mg application. (ii) Hexoses (glucose plus fructose) were the main soluble sugars in the source leaves as well as in the mesocarp tissues, and their responses to Mg varied with temporal and spatial differences. (iii) A Mg shortage affected fruit growth by decreasing sugars in the phloem and curtailing transportation which in turn induced the excessive accumulation of carbohydrates in the source leaf, consequently reducing the fruit yield. (iv) The reduced RFOs transportation in phloem before the onset of fruit formation could be considered for the early diagnosis of Mg deficiency. Further study is needed to explore the underlying mechanism of these Mg effects on the carbon status between organs, especially in the phloem, of RFO-transporting plants.
Author Contributions
B.Z. conceived and designed the study, analyzed the data and revised the manuscript; J.J. performed the experiments, analyzed the data and wrote the manuscript. J.L. (Jinlong Li), J.C., J.L. (Jing Li), X.C., Z.S., Z.L. and D.X. performed or contributed to parts of some experiments. All authors have read and agreed to the published version of the manuscript.
Funding
Funding was jointly provided by National Natural Science Foundation of China (32002137), and Foshan Special Fund-Construction Project of High-level Agricultural Science and Technology Demonstration City of GDAAS in 2022, Agricultural Competitive Industry Discipline Team Building Project of Guangdong Academy of Agricultural Sciences (202103TD).
Data Availability Statement
The data related to this study are all in the article.
Acknowledgments
We sincerely thank Chunjian Li, Shiwei Guo, Xuexian Li and Fusuo Zhang for their constructive suggestions on the original design of research.
Conflicts of Interest
The authors declare no conflict of interest.
Appendix A
Figure A1.
Average proportion of various soluble sugars in phloem under CK (0 kg MgO ha−1) and +Mg (90 kg MgO ha−1) treatments. The seedling stage, flowering stage, fruit setting stage, fruit expanding stage and fruit mature stage in the figure are 35 days, 50 days, 65 days, 75 days and 85 days after transplanting, respectively.
Figure A1.
Average proportion of various soluble sugars in phloem under CK (0 kg MgO ha−1) and +Mg (90 kg MgO ha−1) treatments. The seedling stage, flowering stage, fruit setting stage, fruit expanding stage and fruit mature stage in the figure are 35 days, 50 days, 65 days, 75 days and 85 days after transplanting, respectively.

Figure A2.
Average proportion of various soluble sugars in fruit under CK (0 kg MgO ha−1) and +Mg (90 kg MgO ha−1) treatments. The seedling stage, flowering stage, fruit setting stage, fruit expanding stage and fruit mature stage in the figure are 35 days, 50 days, 65 days, 75 days and 85 days after transplanting, respectively.
Figure A2.
Average proportion of various soluble sugars in fruit under CK (0 kg MgO ha−1) and +Mg (90 kg MgO ha−1) treatments. The seedling stage, flowering stage, fruit setting stage, fruit expanding stage and fruit mature stage in the figure are 35 days, 50 days, 65 days, 75 days and 85 days after transplanting, respectively.

References
- Cakmak, I.; Yazici, A.M. Mg: A forgotten element in crop production. Better Crops 2010, 94, 23–25. [Google Scholar]
- Gransee, A.; Führs, H. Mg mobility in soils as a challenge for soil and plant analysis, Mg fertilization and root uptake under adverse growth conditions. Plant Soil 2013, 368, 5–21. [Google Scholar] [CrossRef]
- Guo, W. Mg homeostasis mechanisms and Mg use efficiency in plants. In Plant Macronutrient Use Efficiency; Elsevier: Amsterdam, The Netherlands, 2017; pp. 197–213. [Google Scholar]
- Hermans, C.; Conn, S.J.; Chen, J.; Xiao, Q.; Verbruggen, N. An update on Mg homeostasis mechanisms in plants. Metallomics 2013, 5, 1170–1183. [Google Scholar] [CrossRef] [PubMed]
- Tian, X.Y.; He, D.D.; Bai, S.; Zeng, W.Z.; Wang, Z.; Wang, M. Physiological and molecular advances in Mg nutrition of plants. Plant Soil 2021, 468, 1–17. [Google Scholar] [CrossRef]
- White, P.J.; Broadley, M.R. Biofortification of crops with seven mineral elements often lacking in human diets–iron, zinc, copper, calcium, Mg, selenium and iodine. New Phytol. 2009, 182, 49–84. [Google Scholar] [CrossRef] [PubMed]
- Farhat, N.; Elkhouni, A.; Zorrig, W.; Smaoui, A.; Abdelly, C.; Rabhi, M. Effects of Mg deficiency on photosynthesis and carbohydrate partitioning. Acta Physiol. Plant. 2016, 38, 145. [Google Scholar] [CrossRef]
- Hermans, C.; Bourgis, F.; Faucher, M.; Strasser, R.J.; Delrot, S.; Verbruggen, N. Mg deficiency in sugar beets alters sugar partitioning and phloem loading in young mature leaves. Planta 2005, 220, 541–549. [Google Scholar] [CrossRef]
- Hermans, C.; Verbruggen, N. Physiological characterization of Mg deficiency in Arabidopsis thaliana. J. Exp. Bot. 2005, 56, 2153–2161. [Google Scholar] [CrossRef]
- Cakmak, I.; Hengeler, C.; Marschner, H. Partitioning of shoot and root dry matter and carbohydrates in bean plants suffering from phosphorus, potassium and Mg deficiency. J. Exp. Bot. 1994, 45, 1245–1250. [Google Scholar] [CrossRef]
- Koch, M.; Busse, M.; Naumann, M.; Jákli, B.; Smit, I.; Cakmak, I. Differential effects of varied potassium and Mg nutrition on production and partitioning of photoassimilates in potato plants. Physiol. Plant. 2019, 166, 921–935. [Google Scholar] [CrossRef]
- Mengutay, M.; Ceylan, Y.; Kutman, U.B.; Cakmak, I. Adequate Mg nutrition mitigates adverse effects of heat stress on maize and wheat. Plant Soil 2013, 368, 57–72. [Google Scholar] [CrossRef]
- Cakmak, I.; Hengeler, C.; Marschner, H. Changes in phloem export of sucrose in leaves in response to phosphorus, potassium and Mg deficiency in bean plants. J. Exp. Bot. 1994, 45, 1251–1257. [Google Scholar] [CrossRef]
- Fischer, E.S.; Lohaus, G.; Heineke, D.; Heldt, H.W. Mg deficiency results in accumulation of carbohydrates and amino acids in source and sink leaves of spinach. Physiol. Plant. 1998, 102, 16–20. [Google Scholar] [CrossRef] [PubMed]
- Cheng, J.T.; Li, X.; Yao, F.Z.; Shan, N.; Li, Y.H.; Zhang, Z.X.; Sui, X.L. Functional characterization and expression analysis of cucumber (Cucumis sativus L.) hexose transporters, involving carbohydrate partitioning and phloem unloading in sink tissues. Plant Sci. 2015, 237, 46–56. [Google Scholar] [CrossRef] [PubMed]
- Turgeon, R. The role of phloem loading reconsidered. Plant Physiol. 2010, 152, 1817–1823. [Google Scholar] [CrossRef] [PubMed]
- Grzebisz, W. Crop response to magnesium fertilization as affected by nitrogen supply. Plant Soil 2013, 368, 23–39. [Google Scholar] [CrossRef]
- Wang, Z.; Hassan, M.U.; Nadeem, F.; Wu, L.; Zhang, F.; Li, X. Mg fertilization improves crop yield in most production systems: A meta-analysis. Front. Plant Sci. 2020, 10, 1727. [Google Scholar] [CrossRef]
- Chen, X.; Wang, Z.; Muneer, M.A.; Ma, C.; He, D.; White, P.; Zhang, F. Short planks in the crop nutrient barrel theory of China are changing: Evidence from 15 crops in 13 provinces. Food Energy Secur. 2022, 12, e389. [Google Scholar] [CrossRef]
- Zhang, B.; Cakmak, I.; Feng, J.; Yu, C.; Chen, X.; Xie, D.; He, Y. Mg deficiency reduced the yield and seed germination in wax gourd by affecting the carbohydrate translocation. Front. Plant Sci. 2020, 11, 797. [Google Scholar] [CrossRef]
- Li, C.P.; Qi, Y.P.; Zhang, J.; Yang, L.T.; Wang, D.H.; Ye, X. Mg-deficiency-induced alterations of gas exchange, major metabolites and key enzymes differ among roots, and lower and upper leaves of Citrus sinensis seedlings. Tree Physiol. 2017, 37, 1564–1581. [Google Scholar] [CrossRef]
- Cai, Y.T.; Zhang, H.; Qi, Y.P.; Ye, X.; Huang, Z.R.; Guo, J.X. Responses of reactive oxygen species and methylglyoxal metabolisms to Mg-deficiency differ greatly among the roots, upper and lower leaves of Citrus sinensis. BMC Plant Biol. 2019, 19, 76. [Google Scholar] [CrossRef] [PubMed]
- Ye, X.; Chen, X.F.; Deng, C.L.; Yang, L.T.; Lai, N.W.; Guo, J.X. Mg-deficiency effects on pigments, photosynthesis and photosynthetic electron transport of leaves, and nutrients of leaf blades and veins in Citrus sinensis seedlings. Plants 2019, 8, 389. [Google Scholar] [CrossRef] [PubMed]
- Silva, P.H.S.; dos Santos Reis, I.; Nascimento, C.S.; Nascimento, C.S.; Cecílio Filho, A.B. Characterization of growth and visual symptoms of nitrogen, potassium and Mg deficiencies in arugula. Emir. J. Food Agric. 2021, 33, 575–582. [Google Scholar] [CrossRef]
- He, H.; Jin, X.; Ma, H.; Deng, Y.; Huang, J.; Yin, L. Changes of plant biomass partitioning, tissue nutrients and carbohydrates status in Mg-deficient banana seedlings and remedy potential by foliar application of Mg. Sci. Hortic. 2020, 268, 109377. [Google Scholar] [CrossRef]
- Koch, M.; Winkelmann, M.K.; Hasler, M.; Pawelzik, E.; Naumann, M. Root growth in light of changing Mg distribution and transport between source and sink tissues in potato (Solanum tuberosum L.). Sci. Rep. 2020, 10, 8796. [Google Scholar] [CrossRef]
- Ishfaq, M.; Wang, Y.; Yan, M.; Wang, Z.; Wu, L.; Li, C.; Li, X. Physiological essence of magnesium in plants and its widespread deficiency in the farming system of China. Front. Plant Sci. 2022, 13, 802274. [Google Scholar] [CrossRef]
- Zhang, Y.G.; Xiao, M.; Dong, Y.H.; Jiang, Y. Determination of soil exchangeable base cations by using atomic absorption spectrophotometer and extraction with ammonium acetate. Spectrosc. Spectr. Anal. 2012, 32, 2242–2245. [Google Scholar]
- Wang, W.; Su, D.; Qiu, L.; Wang, H.; An, J.; Zheng, G.; Zu, Y. Concurrent changes in soil inorganic and organic carbon during the development of larch, Larix gmelinii, plantations and their effects on soil physicochemical properties. Environ. Earth Sci. 2013, 69, 1559–1570. [Google Scholar] [CrossRef]
- Lu, D.; Song, H.; Jiang, S.; Chen, X.; Wang, H.; Zhou, J. Integrated phosphorus placement and form for improving wheat grain yield. Agron. J. 2019, 4, 1998–2004. [Google Scholar] [CrossRef]
- Lu, D.; Li, C.; Sokolwski, E.; Magen, H.; Chen, X.; Wang, H.; Zhou, J. Crop yield and soil available potassium changes as affected by potassium rate in rice-wheat systems. Field Crops Res. 2017, 214, 38–44. [Google Scholar] [CrossRef]
- Pavel, E.W.; DeJong, T.M. Source-and sink-limited growth periods of developing peach fruits indicated by relative growth rate analysis. J. Am. Soc. Hortic. Sci. 1993, 118, 820–824. [Google Scholar] [CrossRef]
- Walker, A.J.; Ho, L.C. Carbon translocation in the tomato: Carbon import and fruit growth. Ann. Bot. 1977, 41, 813–823. [Google Scholar] [CrossRef]
- Büchi, R.; Bachmann, M.; Keller, F. Carbohydrate metabolism in source leaves of sweet basil (Ocimum basilicum L.), a starch-storing and stachyose-translocating labiate. J. Plant Physiol. 1998, 153, 308–315. [Google Scholar] [CrossRef]
- Bachmann, M.; Matile, P.; Keller, F. Metabolism of the raffinose family oligosaccharides in leaves of Ajuga reptans L. (cold acclimation, translocation, and sink to source transition: Discovery of chain elongation enzyme). Plant Physiol. 1994, 105, 1335–1345. [Google Scholar] [CrossRef] [PubMed]
- Hu, L.P.; Meng, F.Z.; Wang, S.H.; Sui, X.L.; Li, W.; Wei, Y.X. Changes in carbohydrate levels and their metabolic enzymes in leaves, phloem sap and mesocarp during cucumber (Cucumis sativus L.) fruit development. Sci. Hortic. 2009, 121, 131–137. [Google Scholar] [CrossRef]
- Lemoine, R.; Camera, S.L.; Atanassova, R.; Dédaldéchamp, F.; Allario, T.; Pourtau, N. Source-to-sink transport of sugar and regulation by environmental factors. Front. Plant Sci. 2013, 4, 272. [Google Scholar] [CrossRef]
- Braun, D.M.; Wang, L.; Ruan, Y.L. Understanding and manipulating sucrose phloem loading, unloading, metabolism, and signalling to enhance crop yield and food security. J. Exp. Bot. 2014, 65, 1713–1735. [Google Scholar] [CrossRef] [PubMed]
- Li, Y.; Liu, H.; Yao, X.; Wang, J.; Feng, S.; Sun, L.; Sun, X. Hexose transporter CsSWEET7a in cucumber mediates phloem unloading in companion cells for fruit development. Plant Physiol. 2021, 186, 640–654. [Google Scholar] [CrossRef]
- Pawar, R.; Rana, V.S. Manipulation of source-sink relationship in pertinence to better fruit quality and yield in fruit crops: A review. Agric. Rev. 2019, 40, 200–207. [Google Scholar] [CrossRef]
- Falchi, R.; Bonghi, C.; Drincovich, M.F.; Famiani, F.; Lara, M.V.; Walker, R.P.; Vizzotto, G. Sugar metabolism in stone fruit: Source-sink relationships and environmental and agronomical effects. Front. Plant Sci. 2020, 11, 573982. [Google Scholar] [CrossRef]
- Braun, D.M.; Ma, Y.; Inada, N.; Muszynski, M.G.; Baker, R.F. tie-dyed1 regulates carbohydrate accumulation in maize leaves. Plant Physiol. 2006, 142, 1511–1522. [Google Scholar] [CrossRef] [PubMed]
- Baker, R.F.; Braun, D.M. tie-dyed1 functions non-cell autonomously to control carbohydrate accumulation in maize leaves. Plant Physiol. 2007, 144, 867–878. [Google Scholar] [CrossRef] [PubMed]
- Srivastava, A.C.; Ganesan, S.; Ismail, I.O.; Ayre, B.G. Functional characterization of the Arabidopsis AtSUC2 sucrose/H+ symporter by tissue-specific complementation reveals an essential role in phloem loading but not in long-distance transport. Plant Physiol. 2008, 148, 200–211. [Google Scholar] [CrossRef] [PubMed]
- Nam, H.; Gupta, A.; Nam, H.; Lee, S.; Cho, H.S.; Park, C. JULGI-mediated increment in phloem transport capacity relates to fruit yield in tomato. Plant Biotechnol. J. 2022, 20, 1533. [Google Scholar] [CrossRef]
- Tewari, R.K.; Kumar, P.; Sharma, P.N. Mg deficiency induced oxidative stress and antioxidant responses in mulberry plants. Sci. Hortic. 2006, 108, 7–14. [Google Scholar] [CrossRef]
- Rodrigues, V.A.; Crusciol, C.A.C.; Bossolani, J.W.; Moretti, L.G.; Portugal, J.R.; Mundt, T.T. Mg foliar supplementation increases grain yield of soybean and maize by improving photosynthetic carbon metabolism and antioxidant metabolism. Plants 2021, 10, 797. [Google Scholar] [CrossRef]
- Meireles da Silva, D.; Brandão, I.R.; Alves, J.D.; de Santos, M.O.; de Souza, K.R.D.; de Silveira, H.R.O. Physiological and biochemical impacts of Mg-deficiency in two cultivars of coffee. Plant Soil 2014, 382, 133–150. [Google Scholar] [CrossRef]
- Jezek, M.; Geilfus, C.M.; Bayer, A.; Mühling, K.H. Photosynthetic capacity, nutrient status, and growth of maize (Zea mays L.) upon MgSO4 leaf-application. Front. Plant Sci. 2015, 5, 781. [Google Scholar] [CrossRef]
- Peng, H.Y.; Qi, Y.P.; Lee, J.; Yang, L.T.; Guo, P.; Jiang, H.X. Proteomic analysis of Citrus sinensis roots and leaves in response to long-term Mg-deficiency. BMC Genom. 2015, 16, 253. [Google Scholar] [CrossRef]
- Garcia, A.; Crusciol, C.A.C.; McCray, J.M.; Nascimento, C.A.C.; Martello, J.M.; de Siqueira, G.F. Mg as a promoter of technological quality in sugarcane. J. Soil Sci. Plant Nutr. 2020, 20, 19–30. [Google Scholar] [CrossRef]
- Liu, X.; Hu, C.; Liu, X.; Riaz, M.; Liu, Y.; Dong, Z. Effect of Mg application on the fruit coloration and sugar accumulation of navel orange (Citrus sinensis Osb.). Sci. Hortic. 2022, 304, 111282. [Google Scholar] [CrossRef]
- Brouwer, R. Functional equilibrium: Sense or nonsense? Neth. J. Agric. Sci. 1983, 31, 335–348. [Google Scholar] [CrossRef]
- Watson, M.A.; Casper, B.B. Morphogenetic constraints on patterns of carbon distribution in plants. Annu. Rev. Ecol. Syst. 1984, 15, 233–258. [Google Scholar] [CrossRef]
- Palit, P. Translocation and distribution of 14C-labelled assimilate associated with growth of jute (Corchorus olitorius L.). Funct. Plant Biol. 1985, 12, 527–534. [Google Scholar] [CrossRef]
- Ayre, B.G. Membrane-transport systems for sucrose in relation to whole-plant carbon partitioning. Mol. Plant 2011, 4, 377–394. [Google Scholar] [CrossRef] [PubMed]
- Cakmak, I.; Kirkby, E.A. Role of Mg in carbon partitioning and alleviating photooxidative damage. Physiol. Plant. 2008, 133, 692–704. [Google Scholar] [CrossRef] [PubMed]
Disclaimer/Publisher’s Note: The statements, opinions and data contained in all publications are solely those of the individual author(s) and contributor(s) and not of MDPI and/or the editor(s). MDPI and/or the editor(s) disclaim responsibility for any injury to people or property resulting from any ideas, methods, instructions or products referred to in the content. |
© 2023 by the authors. Licensee MDPI, Basel, Switzerland. This article is an open access article distributed under the terms and conditions of the Creative Commons Attribution (CC BY) license (https://creativecommons.org/licenses/by/4.0/).






