PhoD Harboring Microbial Community and Alkaline Phosphatase as Affected by Long Term Fertilization Regimes on a Calcareous Soil
Abstract
1. Introduction
2. Materials and Methods
2.1. Site Description and Sample Collection
2.2. Soil Chemical and Biochemical Analyses
2.3. Potential ALP Activity Assay
2.4. DNA Extraction
2.5. PCR Analysis of phoD Genes
2.6. Illumina MiSeq High-Throughput Sequencing and Data Analysis
2.7. Statistical Analyses
3. Results
3.1. Effects of Different Long-Term Fertilization Treatments on Soil Properties
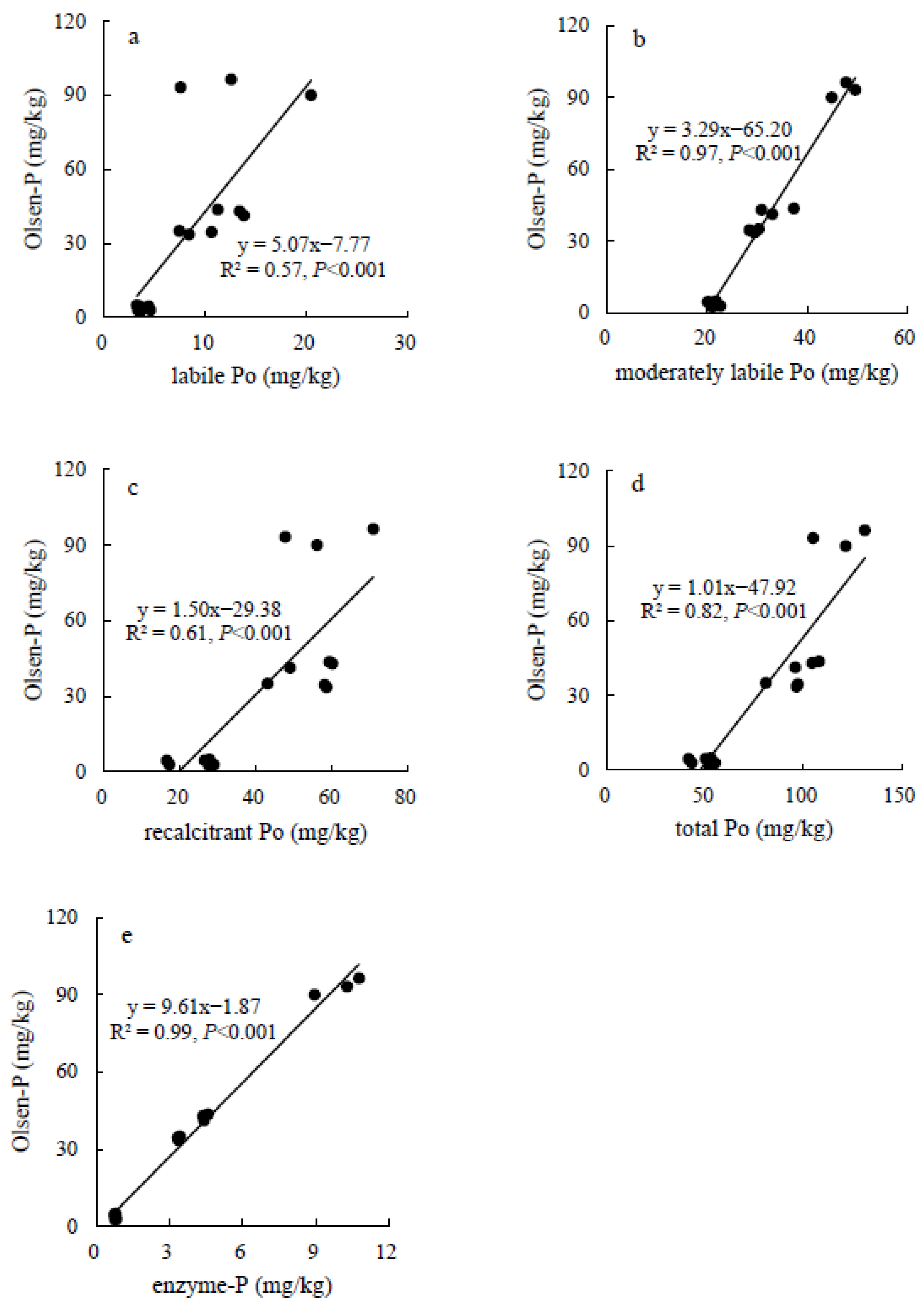
3.2. The Correlation between Soil Po Fractions, Total Po, and Olsen P
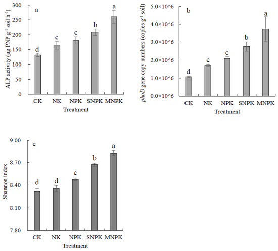
3.3. Effects of Fertilization Regimes on ALP Activity and phoD Gene Harboring Microbial Diversity, Abundance, Composition
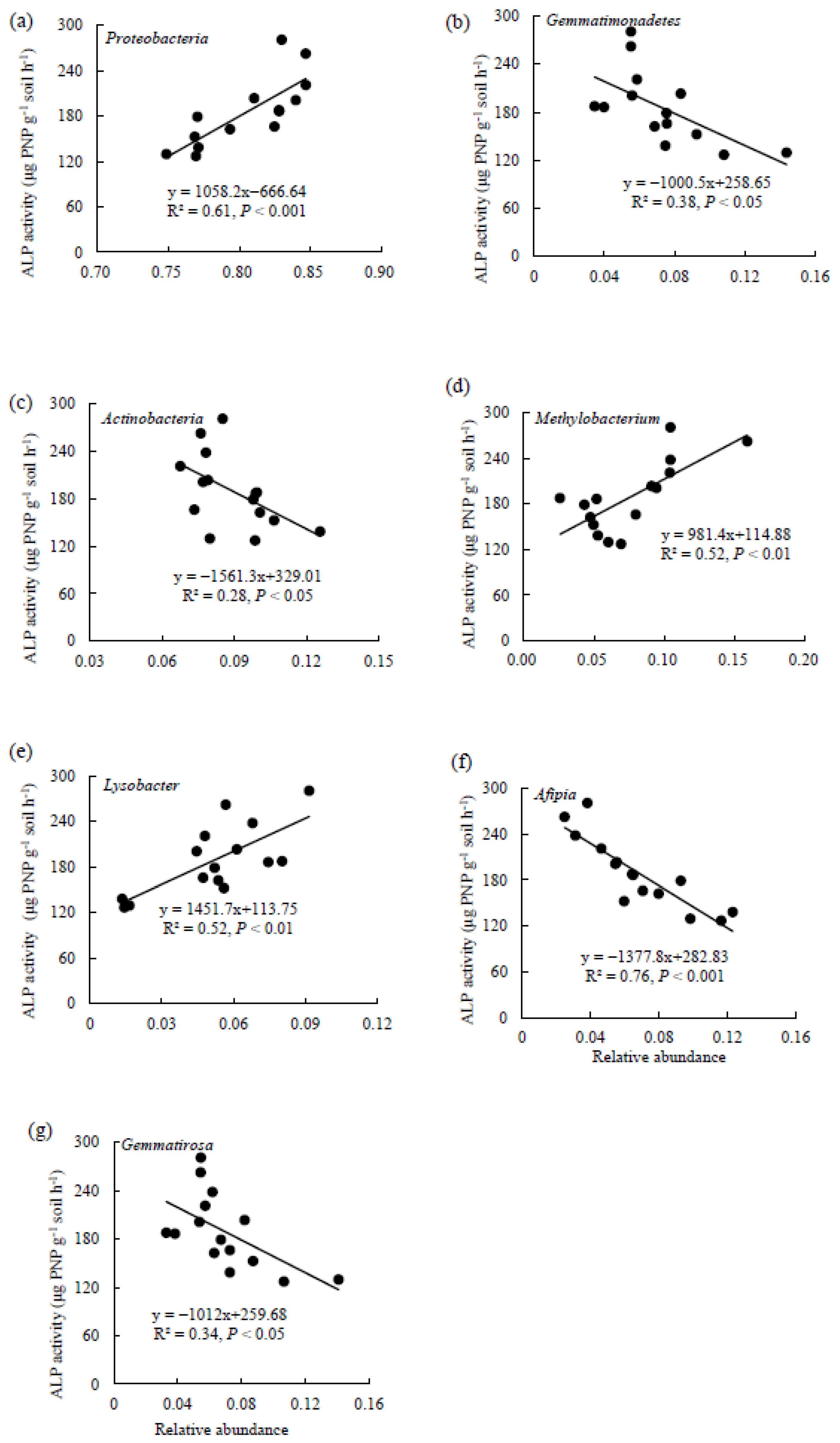
3.4. The Correlation between ALP Activity and Diversity of phoD Harboring Bacteria, Relative Abundance of the Dominant Phyla, and Genera
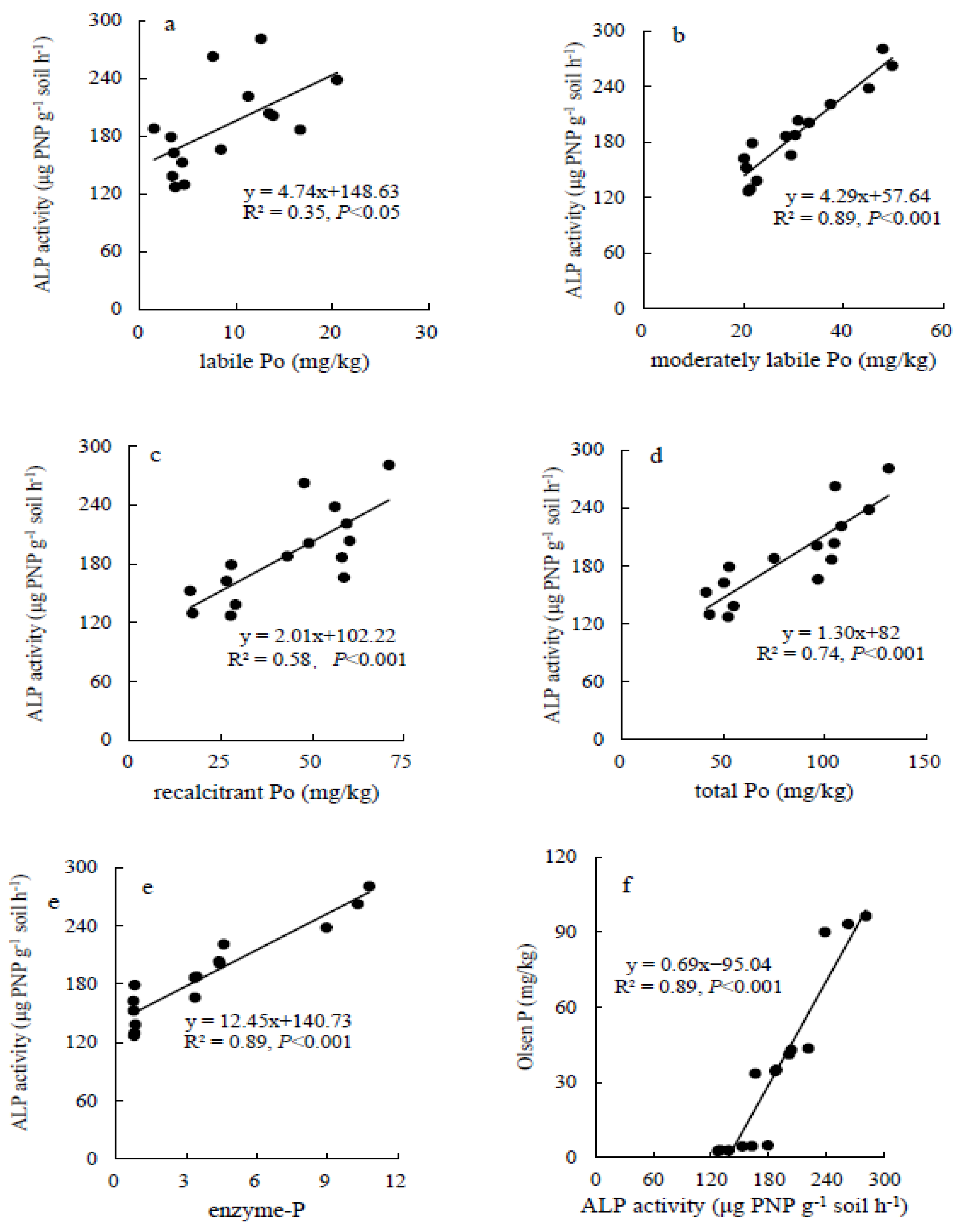
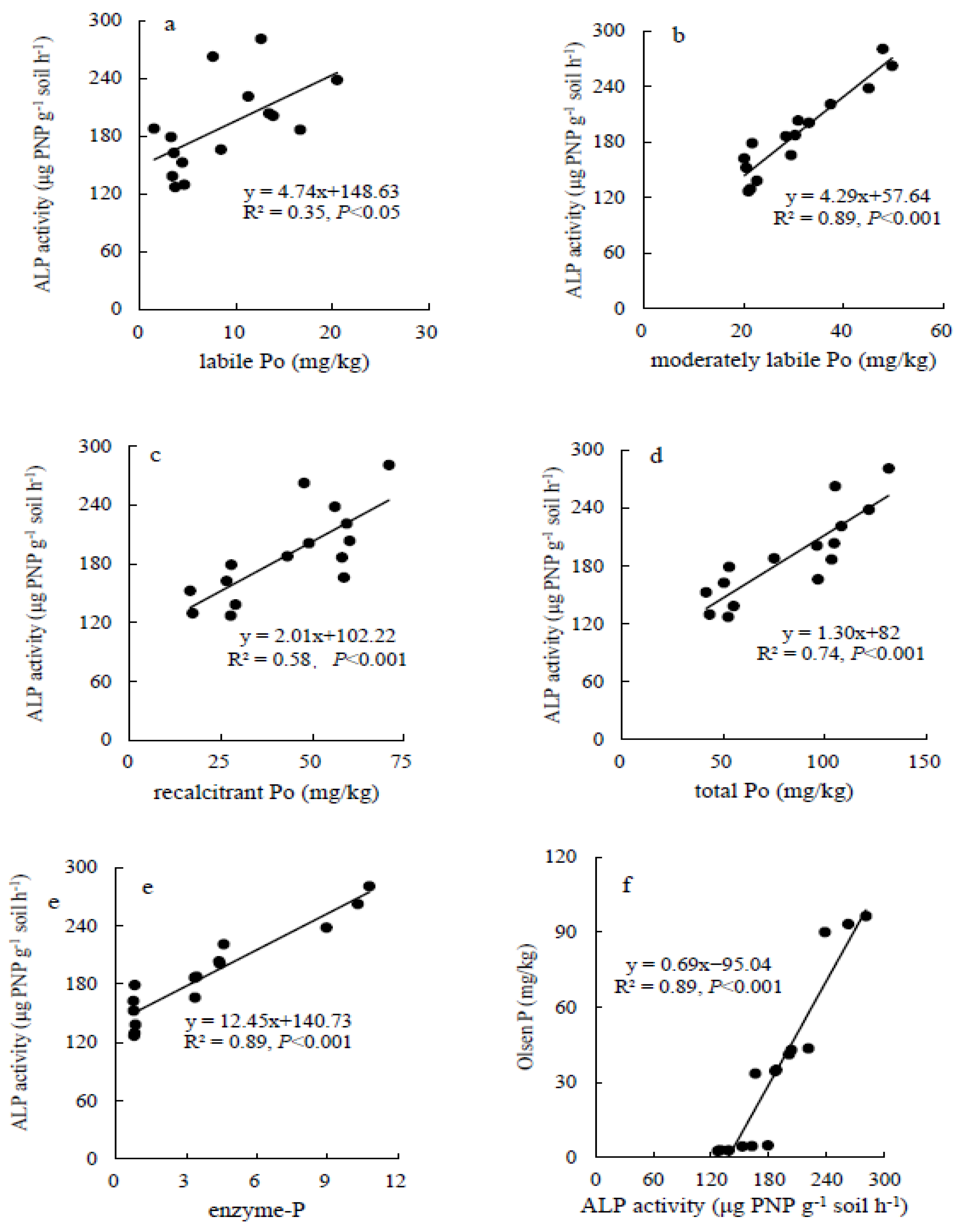
3.5. The Correlation between Po Fractions, Olsen P and ALP Activity
3.6. Reliable Predictors of ALP Activities and Abundance, Diversity, Composition of phoD Gene Harboring Microbes
3.7. The Relationship between Po Fractions and Selected Soil Properties, and Microbial Variables
4. Discussion
4.1. Responses of Soil Chemical Properties to Fertilization Regimes
4.2. ALP Activity
4.3. phoD-Harboring Bacteria
4.4. Relationship between the Abundance of phoD-Harboring Bacteria and ALP
4.5. Relationship between P Forms and ALP
5. Conclusions
Author Contributions
Funding
Data Availability Statement
Acknowledgments
Conflicts of Interest
References
- Shen, R.F.; Jiang, B.F. Distribution and availability of various forms of inorganic-P in calcareous soils. Acta Pedol. Sin. 1992, 29, 80–86. (In Chinese) [Google Scholar]
- Lu, R.K. Soil and Agro-Chemistry Analytical Methods; China Agricultural Science and Technology Press: Beijing, China, 1999; Volume 29, pp. 166–185. (In Chinese) [Google Scholar]
- Wang, B.R.; Xu, M.G.; Wen, S.L.; Li, D.C. The Effects of Long-term Fertilization on Chemical Fractions and Availability of Inorganic Phosphate in Red Soil Upland. J. Hunan Agric. Univ. 2002, 4, 293–297. (In Chinese) [Google Scholar]
- Tarafdar, J.C.; Claassen, N. Organic phosphorus compounds as a phosphorus source for higher plants through the activity of phosphatases produced by plant roots and microorganisms. Biol. Fertil. Soils 1988, 5, 308–312. [Google Scholar] [CrossRef]
- Wang, J.; Liu, W.Z.; Mu, H.F.; Dang, T.H. Inorganic phosphorus fractions and phosphorus availability in a calcareous soil receiving 21-year superphosphate application. Pedosphere 2010, 20, 304–310. [Google Scholar] [CrossRef]
- Luo, G.W.; Ling, N.; Nannipieri, P.; Chen, H.; Raza, W.; Wang, M.; Guo, S.W.; Shen, Q.R. Long-term fertilization regimes affect the composition of the alkaline phosphomonoesterase encoding microbial community of a vertisol and its derivative soil fractions. Biol. Fertil. Soils 2017, 53, 375–388. [Google Scholar] [CrossRef]
- Huang, Y.; Sun, W.J. Trends in organic carbon content of farmland topsoil in mainland China over the past 20 years. Chin. Sci. Bull. 2006, 51, 750–763. (In Chinese) [Google Scholar] [CrossRef]
- Purakayastha, T.J.; Rudrappa, L.; Singh, D.; Swarup, A.; Bhadraray, S. Long-term impact of fertilizers on soil organic carbon pools and sequestration rates in maize–wheat–cowpea cropping system. Geoderma. 2008, 144, 370–378. [Google Scholar] [CrossRef]
- Yang, X.Y.; Sun, B.H.; Gu, Q.Z.; Li, S.X.; Zhang, S.L. The effects of long-term fertilization on soil phosphorus status in manural loessial soil. Plant Nutr. Fertil. Sci. 2009, 15, 837–842. (In Chinese) [Google Scholar]
- Liu, J.; Li, C.Y.; Xing, Y.W.; Wang, Y.; Xue, Y.L.; Wang, C.R.; Dang, T.H. Effects of long-term fertilization on soil organic phosphorus fractions and wheat yield in farmland of Loess Plateau. Chin. J. Appl. Ecol. 2020, 31, 157–164. (In Chinese) [Google Scholar]
- Zhou, Y.L.; Deng, J.; He, W.Y.; Yi, Y.H.; Wang, L.Y.; Zhang, P.C.; Chen, T.G.; Zhao, X.L. Effects of Organic Materials on Organic Phosphorus content in purple soil and phosphorus uptake of corn seedlings. J. Soil Water Conserv. 2015, 29, 6. (In Chinese) [Google Scholar]
- Nannipieri, P.; Giagnoni, L.; Landi, L.; Renella, G. Role of phosphatase enzymes in soil. In Phosphorus in Action; Bünemann, E.K., Oberson, A., Frossard, E., Eds.; Springer International Publishing: Berlin/Heidelberg, Germany, 2011; pp. 215–243. [Google Scholar]
- Schachtman, D.P. Phosphorus Uptake by Plants: From Soil to Cell. Plant Physiol. 1998, 116, 447–453. [Google Scholar] [CrossRef]
- Romanyà, J.; Blanco-Moreno, J.M.; Sans, F.X. Phosphorus mobilization in low-P arable soils may involve soil organic C depletion. Soil Biol. Biochem. 2017, 113, 250–259. [Google Scholar] [CrossRef]
- He, W.X.; Jiang, X.; Yu, G.F.; Lang, Y.H. Influence of ecological-environmental conditions on soil phosphatase. J. Northwest Sci.-Tech Univ. Agri. For. 2003, 31, 81–83. (In Chinese) [Google Scholar]
- Tan, H.; Barret, M.; Mooij, M.J.; Rice, O.; Morrissey, J.P.; Dobson, A.; Griffiths, B.; O’Gara, F. Long-term phosphorus fertilization increased the diversity of the total bacterial community and the phoD phosphorus mineraliser group in pasture soils. Biol. Fertil. Soils 2013, 49, 661–672. [Google Scholar] [CrossRef]
- Kathuria, S.; Martiny, A.C. Prevalence of a calcium-based alkaline phosphatase associated with the marine cyanobacterium Prochlorococcus and other ocean bacteria. Environ. Microbiol. 2011, 13, 74–83. [Google Scholar] [CrossRef]
- Ragot, S.A.; Kertesz, M.A.; Bunemann, E.K. phoD alkaline phosphatase gene diversity in soil. Appl. Environ. Microbiol. 2015, 81, 7281–7289. [Google Scholar] [CrossRef]
- Zhao, J.; Ni, T.; Li, J.; Lu, Q.; Fang, Z.Y.; Huang, Q.W.; Zhang, R.F.; Li, R.; Shen, B.; Shen, Q.R. Effects of organic-inorganic compound fertilizer with reduced chemical fertilizer application on crop yields, soil biological activity and bacterial community structure in a rice wheat cropping system. Appl. Soil Ecol. 2016, 99, 1–12. [Google Scholar] [CrossRef]
- Chen, X.D.; Jiang, N.; Chen, Z.H.; Tian, J.H.; Sun, N.; Xu, M.G.; Chen, L.J. Response of soil phoD phosphatase gene to long-term combined applications of chemical fertilizers and organic materials. Appl. Soil Ecol. 2017, 119, 197–204. [Google Scholar] [CrossRef]
- Chen, X.; Jiang, N.; Condron, L.M.; Dunfield, K.E.; Chen, Z.; Wang, J.; Chen, L. Impact of long-term phosphorus fertilizer inputs on bacterial phoD gene community in a maize field, Northeast China. Sci. Total Environ. 2019, 669, 1011–1018. [Google Scholar] [CrossRef]
- Hu, Y.; Xia, Y.; Sun, Q.; Liu, K.; Chen, X.; Ge, T.; Zhu, B.; Zhu, Z.; Zhang, Z.; Su, Y. Effects of long-term fertilization on phoD-harboring bacterial community in Karst soils. Sci. Total Environ. 2018, 628, 53–63. [Google Scholar] [CrossRef]
- Lang, M.; Zou, W.X.; Chen, X.X.; Zou, C.Q.; Zhang, W.; Deng, Y.; Zhu, F.; Yu, P.; Chen, X.P. Soil Microbial Composition and phoD Gene Abundance Are Sensitive to Phosphorus Level in a Long-Term Wheat-Maize Crop System. Front. Microbiol. 2021, 11, 605955. [Google Scholar] [CrossRef] [PubMed]
- Ragot, S.A.; Huguenin-Elie, O.; Kertesz, M.A.; Frossard, E.; Bünemann, E.K. Total and active microbial communities and phoD as affected by phosphate depletion and pH in soil. Plant Soil. 2016, 408, 15–30. [Google Scholar] [CrossRef]
- Liu, J.; Ma, Q.; Hui, X.; Ran, J.; Wang, Z. Long-term high-P fertilizer input decreased the total bacterial diversity but not phoD-harboring bacteria in wheat rhizosphere soil with available-P deficiency. Soil Biol. Biochem. 2020, 149, 107918. [Google Scholar] [CrossRef]
- Li, H.S.; Wang, L.Q.; Zhao, C.S. Relationship between Phosphatase Activity and Organic Phosphorus in Wheat Rhizosphere. Acta. Univ. Agric. Boreali-Occident. Sin. 1997, 25, 4. (In Chinese) [Google Scholar]
- Wang, X.D.; Zhang, Y.P. Study on the variation of organophosphorus composition in Lou soil. Soil Fertil. Sci. China. 1997, 5, 3. (In Chinese) [Google Scholar]
- Ma, X.X.; Wang, L.L.; Li, Q.H.; Li, H.; Zhang, S.L.; Sun, B.H.; Yang, X.Y. Effects of long-term fertilization on soil microbial biomass carbon and nitrogen and enzyme activities during maize growing season. Acta Ecol. Sin. 2012, 32, 5502–5511. (In Chinese) [Google Scholar]
- Li, H.; Ge, W.J.; Ma, X.X.; Li, Q.H.; Ren, W.D.; Yang, X.Y.; Zhang, S.L. Effects of long-term fertilization on carbon and nitrogen and enzyme activities of soil microbial biomass under winter wheat and summer maize rotation system. Plant Nutr. Fertil. Sci. 2011, 17, 1140–1146. (In Chinese) [Google Scholar]
- Sharpley, A.N.; Smith, S.J.; Jones, O.R.; Berg, W.A. The transport of bioavailable phosphorus in agricultural runoff. J. Environ. Qual. 1992, 21, 30–35. [Google Scholar] [CrossRef]
- Wei, X.X.; Hu, Y.J.; Cai, G.; Yao, H.Y.; Ye, J.; Sun, Q.; Veresoglou, S.D.; Li, Y.Y.; Zhu, Z.Z.; Georg, G.; et al. Organic phosphorus availability shapes the diversity of phoD-harboring bacteria in agricultural soil. Soil Biol. Biochem. 2021, 161, 108364. [Google Scholar] [CrossRef]
- Xie, L.H.; Lv, J.L.; Zhang, Y.P.; Liu, X.W.; Liu, L.H. Influence of long-term fertilization on phosphorus fertility of calcareous soil II. Inorganic and organic phosphorus. Chin. J. Appl. Ecol. 2004, 15, 790–794. (In Chinese) [Google Scholar]
- Dutton, M.F.; Anderson, M.S. Inhibition of Aflatoxin Biosynthesis by Organophosphorus Compounds. J. Food Prot. 1980, 43, 381–384. [Google Scholar] [CrossRef]
- Yin, J.L.; Shen, Q.R.; Zhou, C.L.; Hong, L.Z.; Wang, K.; Ding, J.H.; Wang, M.W. Effects of pig slurry and phosphatic fertilizer on organic-P fractions and their availabilities. Acta Pedol. Sin. 2011, 38, 295–300. (In Chinese) [Google Scholar]
- Yang, X.Y.; Ren, W.D.; Sun, B.H.; Zhang, S.L. Effects of contrasting soil management regimes on total and labile soil organic carbon fractions in loess soil in China. Geoderma. 2012, 177–178, 49–56. [Google Scholar] [CrossRef]
- Walkley, A.; Black, I.A. An examination of the Degtjareff method for determining soil organic matter and a proposed modification of the chromic acid titration method. Soil Sci. 1934, 38, 29–38. [Google Scholar] [CrossRef]
- Bremner, J.M. Nitrogen-Total. In Methods of Soil Analysis: Chemical Methods; Sparks, D.L., Page, A.L., Helmke, P.A., Loeppert, R.H., Soltanpour, P.N., Tabatabai, M.A., Johnson, C.T., Sumner, M.E., Eds.; John Wiley & Sons: Hoboken, NJ, USA, 1996; Part 3; pp. 1085–1122. [Google Scholar]
- Emteryd, O. Chemical and Physical Analysis of Inorganic Nutrients in Plant, Soil, and Air, 2nd ed.; Grafiska Enheten, SLU: Umea, Sweden, 2002. [Google Scholar]
- Kuo, S. Phosphorus. In Methods of Soil Analysis: Chemical Methods; Sparks, D.L., Ed., Page, A.L., Helmke, P.A., Loeppert, R.H., Soltanpour, P.N., Tabatabai, M.A., Johnson, C.T., Sumner, M.E., Eds.; John Wiley & Sons: Hoboken, NJ, USA, 1996; Part 3; pp. 869–921. [Google Scholar]
- Murphy, J.; Riley, J.P. A modified single solution method for the determination of phosphate in natural waters. Anal. Chim. Acta. 1962, 27, 36–39. [Google Scholar] [CrossRef]
- Deluca, T.H.; Glanville, H.C.; Harris, M.; Emmett, B.A.; Pingree, M.R.A.; Sosa, L.L.D. A novel biologically based approach to evaluating soil phosphorus availability across complex landscapes. Soil Biol. Biochem. 2015, 88, 110–119. [Google Scholar] [CrossRef]
- Tiessen, H.; Moir, J.O. Characterization of available P by sequential extraction. Soil Sampl. Methods Anal. 1993, 7, 5–229. [Google Scholar]
- Tabatabai, M.A.; Bremner, J.M. Use of p-nitrophenyl phosphate for assay of soil phosphatase activity. Soil Biol. Biochem. 1969, 1, 301–307. [Google Scholar] [CrossRef]
- Tessmer, G.W.; Skuster, J.R.; Tabatabai, L.B.; Graves, D.J. Studies on the specificity of phosphorylase kinase using peptide substrates. J. Biol. Chem. 1977, 252, 5666–5671. [Google Scholar] [CrossRef]
- Sakurai, M.; Wasaki, J.; Tomizawa, Y.; Shinano, T.; Osaki, M. Analysis of bacterial communities on alkaline phosphatase genes in soil supplied with organic matter. Soil Sci. Plant Nutr. 2008, 54, 62–71. [Google Scholar] [CrossRef]
- Fraser, T.; Lynch, D.H.; Entz, M.H.; Dunfield, K.E. Linking alkaline phosphatase activity with bacterial phoD gene abundance in soil from a long-term management trial. Geoderma. 2015, 257, 115–122. [Google Scholar] [CrossRef]
- Fraser, T.D.; Lynch, D.H.; Bent, E.; Entz, M.H.; Dunfield, K.E. Soil bacterial phoD gene abundance and expression in response to applied phosphorus and long-term management. Soil Biol. Biochem. 2015, 88, 137–147. [Google Scholar] [CrossRef]
- Gou, X.M.; Cai, Y.; Wang, C.Q.; Li, B.; Zhang, R.P.; Zhang, Y.; Tang, X.Y.; Chen, Q.; Shen, J.; Deng, J.R.; et al. Effects of different long-term cropping systems on phod-harboring bacterial community in red soils. J. Soils Sediments. 2020, 10. [Google Scholar] [CrossRef]
- Gill, S.R.; Pop, M.; DeBoy, R.T.; Eckburg, P.B.; Turnbaugh, P.J.; Samuel, B.S.; Gordon, J.I.; Relman, D.A.; Fraser, C.M.; Nelson, L.K. Metagenomic analysis of the human distal gut microbiome. Science. 2006, 312, 1355–1359. [Google Scholar] [CrossRef]
- Chen, H.; Jiang, W. Application of high-throughput sequencing in understanding human oral microbiome related with health and disease. Front. Microbiol. 2014, 5, 508. [Google Scholar] [CrossRef]
- Magoc, T.; Salzberg, S.L. FLASH: Fast length adjustment of short reads to improve genome assemblies. Bioinformatics. 2011, 27, 2957–2963. [Google Scholar] [CrossRef]
- Edgar, R.C. Search and clustering orders of magnitude faster than BLAST. Bioinformatics. 2010, 26, 2460–2461. [Google Scholar] [CrossRef]
- DeSantis, T.Z.; Hugenholtz, P.; Larsen, N.; Rojas, M.; Brodie, E.L.; Keller, K.; Huber, T.; Dalevi, D.; Hu, P.; Andersen, G.L. Greengenes, a chimera-checked 16S rRNA gene database and workbench compatible with ARB. Appl. Environ. Microbiol. 2006, 72, 5069–5072. [Google Scholar] [CrossRef]
- Altschul, S.F.; Madden, T.L.; Schaffer, A.A.; Zhang, J.H.; Zhang, Z.; Miller, W.; Lipman, D.J. Gapped BLAST and PSI-BLAST: A new generation of protein database search programs. Nucleic Acids Res. 1997, 25, 3389–3402. [Google Scholar] [CrossRef]
- Wang, R.J.; Zhou, J.X.; Xie, J.J.; Khan, A.; Zhang, S.L. Carbon Sequestration in Irrigated and Rain-Fed Cropping Systems under Long-Term Fertilization Regimes. J. Soil Sci. Plant Nutr. 2020, 20, 941–952. [Google Scholar] [CrossRef]
- Cai, Z.J.; Sun, N.; Wang, B.R.; Xu, M.G.; Zhang, H.M.; Zhang, L. Experimental Research on Effects of Different Fertilization on Nitrogen Transformation and pH of Red Soil. Sci. Agric. Sin. 2012, 45, 2877–2885. [Google Scholar]
- Yang, X.X.; Sun, B.H.; Zhang, S.L. Trends of yield and soil fertility in a long tern wheat maize system. J. Integr. Agric. 2014, 13, 402–414. [Google Scholar] [CrossRef]
- Huang, J.; Zhang, Y.Z.; Xu, M.G.; Gao, J.S. Evolution Characteristics of Soil Available Phosphorus and Its Response to Soil Phosphorus Balance in Paddy Soil Derived from Red Earth Under Long-Term Fertilization. Sci. Agric. Sin. 2016, 49, 10. (In Chinese) [Google Scholar]
- Liu, J.L.; Zhang, F.H. The progress of phosphorus translation in soil and its influencing factors. J. Hebei Agric. Univ. 2000, 23, 36–45. (In Chinese) [Google Scholar]
- Yang, Y.J.; Wang, G.L.; Wang, Z.Z.; Nie, B.; Xiong, J.; Huang, X.F. Effects of Long-term Different Fertilization on Organic Phosphorus Forms in Cinnamon Soil. Soils. 2013, 45, 426–429. [Google Scholar]
- Saha, S.; Prakash, V.; Kundu, S.; Kumar, N.; Mina, B.L. Soil enzymatic activity as affected by long term application of farmyard manure and mineral fertilizer under a rainfed soybean-wheat system in N-W Himalaya. Eur. J. Soil Biol. 2008, 44, 309–315. [Google Scholar] [CrossRef]
- Boitt, G.; Simpson, Z.P.; Tian, J.; Black, A.; Wakelin, S.A.; Condron, L.M. Plant biomass management impacts on short-term soil phosphorus dynamics in a temperate grassland. Biol. Fertil. Soils. 2018, 54, 397–409. [Google Scholar] [CrossRef]
- Burns, R.G. Enzyme activity in soil: Location and a possible role in microbial ecology. Soil Biol. Biochem. 1982, 14, 423–427. [Google Scholar] [CrossRef]
- Mandal, A.; Patra, A.K.; Singh, D.; Swarup, A.; Masto, R.E. Effect of long-term application of manure and fertilizer on biological and biochemical activities in soil during crop development stages. Bioresour. Technol. 2007, 98, 3585–3592. [Google Scholar] [CrossRef]
- Štursová, M.; Žifčáková, L.; Leigh, M.B.; Burgess, R.; Baldrian, P. Cellulose utilization in forest litter and soil: Identification of bacterial and fungal decomposers. Microbiol. Ecol. 2012, 80, 735–746. [Google Scholar] [CrossRef]
- Hayatsu, M.; Tago, K.; Saito, M. Various players in the nitrogen cycle: Diversity and functions of the microorganisms involved in nitrification and denitrification. Soil Sci. Plant Nutr. 2008, 54, 33–45. [Google Scholar] [CrossRef]
- Fierer, N.; Lauber, C.L.; Ramirez, K.S.; Zaneveld, J.; Bradford, M.A.; Knight, R. Comparative metagenomic, phylogenetic and physiological analyses of soil microbial communities across nitrogen gradients. ISME J. 2012, 6, 1007–1017. [Google Scholar] [CrossRef] [PubMed]
- DeBruyn, J.M.; Nixon, L.T.; Fawaz, M.N.; Johnson, A.M.; Radosevich, M. Global Biogeography and Quantitative Seasonal Dynamics of Gemmatimonadetes in Soil. Appl. Environ. Microbiol. 2011, 77, 6295–6300. [Google Scholar] [CrossRef] [PubMed]
- Lauber, C.L.; Strickland, M.S.; Bradford, M.A.; Fierer, N. The influence of soil properties on the structure of bacterial and fungal communities across land-use types. Soil Biol. Biochem. 2008, 40, 2407–2415. [Google Scholar] [CrossRef]
- Mendez, M.O.; Neilson, J.W.; Maier, R.M. Characterization of a Bacterial Community in an Abandoned Semiarid Lead-Zinc Mine Tailing Site. Appl. Environ. Microbiol. 2008, 74, 3899–3907. [Google Scholar] [CrossRef]
- Guan, Y.; Jiang, N.; Wu, Y.; Yang, Z.; Bello, A.; Yang, W. Disentangling the role of salinity-sodicity in shaping soil microbiome along a natural saline-sodic gradient. Sci. Total Environ. 2021, 765, 142738. [Google Scholar] [CrossRef]
- Rosenberg, E.; DeLong, E.F.; Lory, S.; Stackebrandt, E.; Thompson, F. The Prokaryotes || The Phylum Gemmatimonadetes; Springer: Berlin/Heidelberg, Germany, 2014; Chapter 164; pp. 677–681. [Google Scholar] [CrossRef]
- Li, G.; Vries, W.T.; Wu, C.; Zheng, H. Improvement of subsoil physicochemical and microbial properties by short-term fallow practices. Peer J. 2019, 7, e7501. [Google Scholar] [CrossRef]
- Ma, M.C.; Zhou, J.; Ongena, M.; Liu, W.Z.; Wei, D.; Zhao, B.S.; Guan, D.W.; Jiang, X.; Li, J. Effect of long-term fertilization strategies on bacterial community composition in a 35-year field experiment of Chinese Mollisols. AMB Express. 2018, 8, 20. [Google Scholar] [CrossRef]
- Ma, L.; Niu, W.Q.; Li, G.C.; Zhang, E.X.; Sun, J.; Zhang, Q.; Siddique, K.H.M. Bacterial biomarkers are linked more closely to wheat yield formation than overall bacteria in fertilized soil. Land Degrad. Dev. 2022. [Google Scholar] [CrossRef]
- Islam, M.D.T.; Hashidoko, Y.; Deora, A.; Ito, T.; Tahara, S. Suppression of damping-off disease in host plants by rhizoplane bacterium Lysobacter sp. strain SB-K88 in linked to plant colozation and antibiosis against soilborne peronosporomycetes. Appl. Environ. Microbiol. 2005, 71, 3786–3796. [Google Scholar] [CrossRef]
- Ji, G.J. Advances in the Study on Lysobacter spp.: Bacteria and Their Effects on Biological Control of Plant Diseases. J. Yunnan Agric. Univ. 2011, 26, 124–130. (In Chinese) [Google Scholar]
- Chen, X.D.; Jiang, N.; Condron, L.M.; Dunfield, K.E.; Chen, Z.H.; Wang, J.K.; Chen, L.J. Soil alkaline phosphatase activity and bacterial phoD gene abundance and diversity under long-term nitrogen and manure inputs. Geoderma. 2019, 349, 36–44. [Google Scholar] [CrossRef]
- Zhang, S.N.; Sun, L.T.; Shi, Y.J.; Song, Y.J.; Wang, Y.; Fan, K.; Zong, R.; Li, Y.S.; Wang, L.J.; Bi, C.H.; et al. The application of enzymatic fermented soybean effectively regulates associated microbial communities in tea soil and positively affects lipid metabolites in tea new shoots. Front. Microbiol. 2022, 1, 13. [Google Scholar] [CrossRef]
- Zhao, F.; Zhang, Y.; Dijkstra, F.A.; Li, Z.J.; Zhang, Y.Q.; Zhang, T.S.; Lu, Y.Q.; Shi, J.W.; Yang, L.J. Effects of amendments on phosphorous status in soils with different phosphorous levels. Catena. 2019, 172, 97–103. [Google Scholar] [CrossRef]
- Liu, W.B.; Ling, N.; Luo, G.W.; Guo, J.J.; Zhu, C.; Xu, Q.C.; Liu, M.Q.; Shen, Q.R.; Guo, S.W. Active phoD-harboring bacteria are enriched by long-term organic fertilization. Soil Biol. Biochem. 2021, 152, 108071. [Google Scholar] [CrossRef]
- Zeng, Q.C.; Mei, T.Y.Z.; Manuel, D.B.; Wang, M.X.; Tan, W.F. Suppressed phosphorus-mineralizing bacteria after three decades of fertilization. Agric. Ecosyst. Environ. 2022, 323, 107679. [Google Scholar] [CrossRef]
- Li, J.B.; Xie, T.; Zhu, H.; Zhou, J.; Li, C.N.; Xiong, W.J.; Xu, L.; Wu, Y.; He, Z.L.; Li, X.Z. Alkaline phosphatase activity mediates soil organic phosphorus mineralization in a subalpine forest ecosystem. Geoderma. 2021, 404, 115376. [Google Scholar] [CrossRef]
- Wright, A.L.; Reddy, K.R. Phosphorus loading effects on extracellular enzyme activity in Everglades wetland soils. Soil Sci. Soc. Am. J. 2001, 65, 588–595. [Google Scholar] [CrossRef]
- Cui, H.; Zhou, Y.; Gu, Z.H.; Zhu, H.H.; Fu, S.L.; Yao, Q. The combined effects of cover crops and symbiotic microbes on phosphatase gene and organic phosphorus hydrolysis in subtropical orchard soils. Soil Biol. Biochem. 2015, 82, 119–126. [Google Scholar] [CrossRef]








| Treatment | CK | NK | NPK | SNPK | MNPK |
|---|---|---|---|---|---|
| SOC (g/kg) | 8.23 ± 0.46 e | 9.51 ± 0.37 d | 10.98 ± 0.04 c | 11.77 ± 0.16 b | 15.38 ± 0.42 a |
| TN (g/kg) | 1.17 ± 0.01 e | 1.28 ± 0.01 d | 1.48 ± 0.02 c | 1.68 ± 0.03 b | 1.92 ± 0.03 a |
| TP (g/kg) | 0.67 ± 0.02 d | 0.66 ± 0.01 d | 1.05 ± 0.03 c | 1.15 ± 0.02 b | 1.57 ± 0.03 a |
| Exch. K (mg/kg) | 142.18 ± 2.83 d | 352.75 ± 5.65 b | 235.22 ± 2.83 c | 349.48 ± 7.48 b | 383.76 ± 2.83 a |
| pH (1:1 water) | 8.47 ± 0.04 a | 8.34 ± 0.02 b | 8.24 ± 0.05 c | 8.18 ± 0.03 d | 8.16 ± 0.03 d |
| C/N | 7.04 ± 0.43 b | 7.43 ± 0.33 b | 7.40 ± 0.09 b | 7.02 ± 0.24 b | 8.01 ± 0.29 a |
| C/P | 12.29 ± 0.77 b | 14.50 ± 0.42 a | 10.42 ± 0.28 c | 10.23 ± 0.07 c | 9.81 ± 0.09 c |
| Olsen P (mg/kg) | 2.82 ± 0.17 d | 4.62 ± 0.21 d | 34.38 ± 0.73 c | 42.60 ± 1.24 b | 93.14 ± 3.18 a |
| Enzyme-P (mg/kg) | 0.80 ± 0.03 d | 0.88 ± 0.03 d | 3.39 ± 0.04 c | 4.47 ± 0.11 b | 10.01 ± 0.95 a |
| NaHCO3-Po (mg/kg) | 3.84 ± 0.64 b | 3.69 ± 0.61 b | 8.81 ± 1.63 ab | 12.81 ± 1.39 a | 13.52 ± 6.51 a |
| NaOH-Po (mg/kg) | 21.65 ± 0.88 d | 20.78 ± 0.85 d | 29.41 ± 0.93 c | 33.77 ± 3.30 b | 47.48 ± 2.37 a |
| C. HCl-Po (mg/kg) | 24.57 ± 6.43 b | 23.59 ± 6.18 b | 53.27 ± 8.81 a | 56.18 ± 6.22 a | 58.27 ± 11.76 a |
| Comparison | PERMANOVA | ||
|---|---|---|---|
| R2 | F | p | |
| CK vs. NK | 0.593 | 8.752 | 0.027 |
| CK vs. NPK | 0.672 | 12.310 | 0.024 |
| CK vs. SNPK | 0.741 | 17.185 | 0.026 |
| CK vs. MNPK | 0.713 | 14.875 | 0.031 |
| NK vs. NPK | 0.567 | 7.846 | 0.027 |
| NK vs. SNPK | 0.669 | 12.146 | 0.029 |
| NK vs. MNPK | 0.678 | 12.633 | 0.031 |
| NPK vs. SNPK | 0.503 | 6.061 | 0.044 |
| NPK vs. MNPK | 0.596 | 8.858 | 0.021 |
| SNPK vs. MNPK | 0.436 | 4.641 | 0.030 |
Disclaimer/Publisher’s Note: The statements, opinions and data contained in all publications are solely those of the individual author(s) and contributor(s) and not of MDPI and/or the editor(s). MDPI and/or the editor(s) disclaim responsibility for any injury to people or property resulting from any ideas, methods, instructions or products referred to in the content. |
© 2023 by the authors. Licensee MDPI, Basel, Switzerland. This article is an open access article distributed under the terms and conditions of the Creative Commons Attribution (CC BY) license (https://creativecommons.org/licenses/by/4.0/).
Share and Cite
Lu, P.; Zhang, Y.; Ji, B.; Yan, Y.; Wang, Z.; Yang, M.; Zhang, S.; Yang, X. PhoD Harboring Microbial Community and Alkaline Phosphatase as Affected by Long Term Fertilization Regimes on a Calcareous Soil. Agronomy 2023, 13, 363. https://doi.org/10.3390/agronomy13020363
Lu P, Zhang Y, Ji B, Yan Y, Wang Z, Yang M, Zhang S, Yang X. PhoD Harboring Microbial Community and Alkaline Phosphatase as Affected by Long Term Fertilization Regimes on a Calcareous Soil. Agronomy. 2023; 13(2):363. https://doi.org/10.3390/agronomy13020363
Chicago/Turabian StyleLu, Peng, Yamei Zhang, Bingjie Ji, Yuan Yan, Zhengpei Wang, Min Yang, Shulan Zhang, and Xueyun Yang. 2023. "PhoD Harboring Microbial Community and Alkaline Phosphatase as Affected by Long Term Fertilization Regimes on a Calcareous Soil" Agronomy 13, no. 2: 363. https://doi.org/10.3390/agronomy13020363
APA StyleLu, P., Zhang, Y., Ji, B., Yan, Y., Wang, Z., Yang, M., Zhang, S., & Yang, X. (2023). PhoD Harboring Microbial Community and Alkaline Phosphatase as Affected by Long Term Fertilization Regimes on a Calcareous Soil. Agronomy, 13(2), 363. https://doi.org/10.3390/agronomy13020363

