Abstract
This study explored the role of exogenous α-Toc (0.5 mM) and Asc (1 mM) in alleviating the damaging effects of salt stress in rapeseed plants (Brassica campestris cv. BARI Sarisha-17). Exposure of 21-day-old plants to different levels of salt stress (75 mM and 150 mM NaCl) resulted in the higher accumulation of sodium ions (Na+), reduced potassium ion (K+) levels, lower K+/Na+ ratio, increased oxidative damage, chlorophyll (Chl) breakdown, and disrupted antioxidant and glyoxalase systems. Phenotype responses to salt stress included reductions in plant height, shoot fresh weight, dry weight, number of siliques plant−1, silique length, number of seeds silique−1, 1000-seed weight, and seed yield plant−1. Exogenous α-Toc and Asc applications enhanced the levels of endogenous ascorbate, glutathione (GSH), AsA/dehydroascorbate ratios, GSH/glutathione disulfide, ascorbate peroxidase, monodehydroascorbate reductase, glutathione reductase, glutathione peroxidase, and catalase activities in the salt-stressed plants. Exogenous α-Toc and Asc enhanced antioxidant defense system components and insured better oxidative stress tolerance, as indicated by reduced hydrogen peroxide generation, membrane lipid peroxidation, and electrolyte leakage. Exogenous α-Toc and Asc increased glyoxalase I and glyoxalase II activities in the salt-affected plants. Moreover, they regulated proline levels and increased the leaf relative water content, as well as the Chl level. Exogenous α-Toc and Asc also restored growth and improved yield attributes and seed yield per plants in the salt-affected rapeseed.
1. Introduction
Due to global climate change, world agriculture is now facing grave threats from different abiotic stresses, including salinity, waterlogging/flooding, drought, cold stress, heat shock, metal/metalloid toxicity, nutrient imbalance, and xenobiotic stresses. These nonbiological factors have detrimental effects on crop morpho-physio-biochemical attributes and result in approximately 50% losses in crop yield [1]. Among all the abiotic stresses, salinity stress alone affects more than 33% of all irrigated land and 20% of the total global area under cultivation [2]. Salinity typically involves the presence of sodium ion (Na+) and chloride ion (Cl−) in the soil and increases the salt concentration in the soil solution while reducing water uptake by the plant, resulting in osmotic stress [2,3].
Severe salinity stress enhances Na+ influx through the non-selective cation channels of the plasma membrane, and this triggers potassium ion (K+) efflux, resulting in an elevated Na+/K+ ratio in plant cells [4]. The resulting ion imbalance causes nutrient deficiency, especially K+ deficiency, which then alters stomatal regulation, reduces leaf area, induces leaf senescence and premature abscission, and destroys photosynthetic capability, resulting in drastic declines in yield and yield-contributing components in crops [5,6,7]. Salinity stress also promotes the overgeneration of reactive oxygen species (ROS), including hydrogen peroxide (H2O2), superoxide (O2•−), singlet oxygen (1O2), and hydroxyl radical (OH•). These oxidizing compounds induce cellular dysfunction and inflict serious damage on lipids, proteins, and deoxyribonucleic acid (DNA), thereby increasing in lipid peroxidation damage membrane integrity. Plants have antioxidant defense systems that can ameliorate the adverse effects of oxidative stress due to salinity stress, and the overproduced ROS can be scavenged by the upregulation of both enzymatic and non-enzymatic antioxidants. The enzymatic antioxidants are superoxide dismutase (SOD), catalase (CAT), glutathione S-transferase (GST), glutathione peroxidase (GPX), peroxidase (POD), glutathione reductase (GR), dehydroascorbate reductase (DHAR), monodehydroascorbate reductase (MDHAR), and ascorbate peroxidase (APX), while the non-enzymatic forms are ascorbate (AsA), glutathione (GSH), phenolics, and carotenoids [8]. The actions of the antioxidant defense system are reinforced by modulation of ion homeostasis, osmotic adjustment, and enhancement of glyoxalase system activity (glyoxalase I [Gly I] and glyoxalase II [Gly II]) that accompany the improvement in plant performance under salinity stress [9,10]. Exogenous application of phytoprotectants, including the foliar application of different chemical elicitors (e.g., vitamins, antioxidants, and phenolic compounds), are now being adopted to confer tolerance to the deleterious effects of salinity stress in plants, stimulating ROS-scavenging capacity [7,11,12].
L-Ascorbic acid (Asc), the reduced form of vitamin C, is a major non-enzymic antioxidant that plays an important role in improving the fundamental functioning of plants under normal and abiotic stress conditions, including salinity [13]. Ascorbic acid is synthesized naturally in plant cells, and fully developed chloroplasts contain 30–40% of the total AsA. Photosynthesis pigment contents in stress-affected plants were enhanced by Asc treatment because Asc is associated with chloroplast [13]. The Asc is involved in a stress tolerance mechanism involving a H2O2 scavenging cycle in the chloroplast and the AsA-GSH pathway, and it plays a critical role as a “redox buffer” in ROS metabolism [14,15]. Supplementation of Asc has been shown to stimulate APX activity and detoxify H2O2 at the cellular level in stress-affected plants [16]. Exposure to different abiotic stresses decreases the endogenous levels of AsA, but these can be regenerated by the exogenous application of Asc. This cycle also regenerates other antioxidants, such as vitamin E, and markedly improves plant responses to these antioxidants. The Asc treatment also improves cell division and elongation by enhancing cell wall expansion and delaying cell wall stiffening (decreasing lignification) in meristematic cells [17]. Thus, treatment with Asc has been shown to increase photosynthetic pigment levels, growth, and yield components in drought-affected Cicer arietinum L. by reducing oxidative damage [18]. Improved growth, upregulation of antioxidant (SOD, APX, POD, CAT, and AsA) activities, and increases in proline (Pro) and α-tocopherol contents were also observed in Hordeum vulgare L. under salinity stress following treatment with Asc [19].
Alpha-tocopherol (α-Toc), an active form of vitamin E, is another non-enzymatic antioxidant and is soluble in lipids. The biosynthesis of α-Toc occurs in the chloroplast thylakoid membranes, plastoglobuli, and stroma [20]. In normal conditions, α-Toc has a positive effect on stabilizing membrane integrity, electron transport, and photosynthetic reactions. Thus, it maintains source-sink relationships and increases plant growth and seed yield, as well as maintains the quality of different crops [20,21]. Furthermore, α-Toc is directly involved in quenching ROS (especially 1O2 and OH•). It converts lipid peroxyl radical into lipid hydroperoxides and then regenerates itself from α-tocopheroxyl with the participation of AsA and GSH [20]. One molecule of α-Toc is sufficient to eliminate 120 molecules of 1O2 [22]. However, studies of plants under abiotic stress have shown that the endogenous levels of α-Toc decreased, whereas the production of ROS increased, with resulting lipid peroxidation and membrane damage. Exogenous supplementation of α-Toc enhanced the endogenous α-Toc level and those of other antioxidants (mainly GPX and GST at the early stages of stress) [21], thereby protecting cell membranes from lipid peroxidation and improving plant physiological and biochemical performance under salinity and drought stress [23,24,25]. For instance, the decrease in malondialdehyde (MDA) and H2O2 content and upregulation of different antioxidant (CAT, POD, GR, GPX, and AsA) activities and secondary metabolite contents were also associated with stress tolerance in salinity-affected Abelmoschus esculentus L. plants treated with α-Toc [26].
Rapeseed is one of the most important oil crops in the world. However, it is sensitive to salinity as salt stress markedly inhibits growth, yield, and oil content. In the present study, we examined different growth, physio-biochemical, and yield parameters in Brassica campestris L. plants exposed to mild and severe salinity stress to provide a comparison of the protective roles of AsA or α-Toc in salt-stressed mustard plants treated with foliar applications of Asc or α-Toc. We hypothesized that supplementation with Asc or α-Toc might minimize the oxidative damage caused by salt stress, thereby improving growth attributes, chlorophyll (Chl) content, leaf relative water content (RWC), the Na+/K+ ratio, and yield-contributing components of B. campestris L. by modulating the AsA-GSH cycle, enhancing antioxidant activities, and activating glyoxalase system components.
2. Materials and Methods
2.1. Plant Materials and Treatments
Seeds of B. campestris cv. BARI Sarisha-17 were sorted, and healthy and uniform seeds were surface sterilized by using 1% sodium hypochlorite solution for 10 min, then thoroughly washed with distilled water (dH2O), air dried, and sown in the 14 L plastic pots with the supplementation of recommended fertilizers. The entire experiment was performed under a plastic shed to avoid rainfall or dew. At 21 days after sowing (DAS), sets of plants were exposed to mild (75 mM NaCl) or severe (150 mM NaCl) salinity stress and provided individual applications of 0.5 mM α-Toc or 1.0 mM Asc. α-Toc and Asc were applied as foliar spray at 7-day intervals three times, starting at 15 DAS. These doses were selected based on our preliminary trials and the published literature [5,6,7,16]. The control groups were sprayed with dH2O only and irrigated with freshwater. Different growth, physiological, and biochemical attributes were estimated at 35 DAS. The experiment was laid out with a completely randomized design (CRD) with three replications.
2.2. Measurement of Growth Parameters
The plant height was measured from five randomly selected plants from each treatment using a scale and averaged. Three plants from each pot were randomly selected, uprooted, and weighed in a balance. For a sampling of plants, we pulled them up gently and carefully with some soils, and these were then washed out by water so that we could ensure the entire root mass. The average value of them was expressed as fresh weight (FW) plant−1. After that, the plants were sun dried to reduce the initial moisture content and then oven dried for 48 h at 70 °C to obtain the dry weight (DW) plant−1.
2.3. Estimation of Chlorophyll Content
Five fully expanded leaves were selected randomly from each treatment and the readings of Plant Soil Analysis Development (SPAD) value were taken using a SPAD meter (FT Green LLC, Wisconsin, USA) to estimate the total Chl content of the leaves. Values of each treatment were averaged for estimating the Chl content and expressed as mg cm−2.
2.4. Determination of Relative Water Content (RWC)
The leaf RWC was estimated in accordance with the procedure by Barrs and Weatherly [27]. Firstly, three leaf laminas from each treatment were plucked and immediately weighted for the FW. Then the leaves were fully dipped in dH2O for 24 h covering it with two layers of filter paper and then the turgid weight (TW) of the leaves were taken after removing the adhering excess water with blotter paper. These leaves were then air dried followed by oven dried for 48 h at 70 °C and finally weighted again for the DW. The values of FW, TW, and DW were used to calculate the leaf RWC following the equation:
2.5. Estimation of Electrolyte Leakage (EL)
Fresh leaf (0.5 g) and 15 mL dH2O in the Falcon tubes were heated at 40 °C for 60 min following the widely used method by Dionisio-Sese and Tobita [28]. After cooling, the initial electrical conductivity (EC1) was taken using an electrical conductivity meter (HI-993310, Hanna, USA). For final electrical conductivity (EC2), these tubes were autoclaved at 121 °C for 20 min, and after cooling the EC2 was estimated. Finally, the leaf EL was determined using the following formula as follows:
2.6. Determination of Proline (Pro) Content
Homogenization of 0.5 g fresh leaf was performed with 3% sulfosalicylic acid, and followed by centrifugation at 11,500× g for 12 min. Then 1 mL of clear aliquot was assorted with 1 mL of acetic acid and 1 mL of acid ninhydrin dissolving in 6 M of phosphoric acid. After boiling the mixture at 100 °C for 1 h and immediately after cooling in an ice bath, 4 mL of toluene was added to discrete the chromophore. The optical density of the chromophore was observed at 520 nm and following the conventional method by Bates et al. [29], the free Pro content was quantified with a standard curve prepared with a known Pro.
2.7. Measurement of Na+ and K+ Content
Leaf Na+ and K+ content were measured by using a portable ion meter (Horiba, Tokyo, Japan). A freshly collected leaf sample was first washed with dH2O to remove the adhering dirt and then leaf samples were squeezed to extract the sap. After that, the ion meter was calibrated using a standard solution (provided with the instrument) and then the extracted sap was directly applied on the sensor of the ion meter.
2.8. Measurement of Malondialdehyde and Hydrogen Peroxide Content
In accordance with Heath and Packer [30], half of a gram of leaf sample was extracted in 3 mL of trichloroacetic acid (TCA) and centrifuged at 11,500× g for 12 min to extract the supernatant. The supernatant (1 mL) was integrated with 4 mL of thiobarbituric acid (TBA) reagent (0.5% TBA + 20% TCA) and in a water bath, the mixture was heated at 95 °C for 30 min. After cooling, the density of the colored chromophore was observed at 532 and 600 nm by using spectrophotometer. Then, the MDA measurement was performed using 155 mM−1 cm−1 (as extinction coefficient) for the determination of lipid peroxidation.
For assaying the H2O2, the previously proposed method by Yu et al. [31] was followed. Firstly, 0.5 g of freshly harvested leaf sample was macerated with 3 mL TCA and the homogenized sample was then centrifuged at 11,500× g for 12 min. The supernatants, potassium-phosphate (K-P) buffer (pH 7.0.), and potassium iodide (KI) were assorted in a ratio of 1:1:1. After keeping the mixture in dark for 1 h, the absorbance of the mixture was taken at 390 nm. The final calculation of H2O2 content was performed using an extinction coefficient of 0.28 μM−1 cm−1.
2.9. Measurement of Ascorbate and Glutathione Pool
The procedure of Huang et al. [32] and modified by Hasanuzzaman et al. [33] was followed to estimate the AsA and total AsA content. As per the method, 0.5 g leaf was first macerated in 3 mL of 5% meta-phosphoric acid and 1 mM ethylenediaminetetraacetic acid (EDTA), and centrifuged at 11,500× g for 12 min. The absorbance at 265 nm was taken after incorporating ascorbate oxidized (0.5 U) and 100 mM K-P buffer (pH 6.5) with the neutralized supernatant. For neutralization, 0.1 M dithiothreitol and dH2O were used for the estimation of AsA and total AsA, respectively. For calculating the AsA and total AsA, the absorbance values were plotted against a specific standard curve prepared by known concentrations of AsA, and the DHA content was estimated substracting the value of reduced AsA from the total AsA as, DHA= total AsA – reduced AsA.
For the GSH and GSSG determination, the methods by Yu et al. [31] with slight modification by Paradiso et al. [34] were maintained. Here, the neutralized aliquot was assorted with 5,5-dithio-bis(2-nitrobenzoic acid), nicotinamide adenine dinucleotide phosphate (NADPH), and GR, and the absorbance was taken at 412 nm in a spectrophotometer. The aliquot was neutralized with with dH2O and 2-vinylpyridine for the determination of tatal GSH and GSSG, respectively. A standard curve of GSH was used for the calculation the contents of total GSH and GSSG. The content of GSH further estimated by subtracting the value to GSSG from the total GSH (GSH= Total GSH – GSSG).
2.10. Determination of Protein and Enzyme Activity Assays
Following the procedure by Hasanuzzaman et al. [33], 0.5 g of leaf was homogenized in pre-chilled mortar and pestle in an extraction buffer. For preparing the buffer, 1 mM AsA was first dissolved with with 50 mM K-P buffer (pH 7.0) and 100 mM KCl. Then 10% (w/v) glyceraol and 5 mM β-mercaptoethanol were added to this solution and volumed to 50 mL. The homogenized plant sample was put into Eppendrof tube and centrifuged at 4 °C for 15 min at 11,500× g. The supernatant after centrifugation was preserved at –20 °C for the estimation of protein and enzyme assays.
The proposed method by Bradford [35] was followed in order to estimate the protein concentrations of the supernatants. According to the Bradford [35] propaganda, a specific standard curve of Bovine Serum Albumin and Bradford reagent were required to estimate the proteins. Bradford reagent consists of Coomassie brilliant blue (CBB G-250), ethanol, and ortho-phosphoric acid. To prepare the reagent, at first, the Coomassie brilliant blue (CBB G-250) powder was dissolved properly in 100% ethanol, after then the 85% ortho-phosphoric acid and dH2O were added to this solution and finally it was filtrated properly. The absorbance at 595 nm was taken after combining 5 μL of the aliquot with 5 mL of the Bradford reagent and by plotting the values against the standard curve, the concentrations of free protein were estimated.
APX (EC: 1.11.1.11) activity was determined according to the priorly described method by Nakano and Asada [36]. A reaction buffer containing Asc, EDTA, K-P buffer, and H2O2. The activity of APX was observed at 290 nm for 1 min which was initiated after adding the H2O2 to the solution and the activity was estimated using an extinction coefficient of 2.8 mM−1 cm−1.
MDHAR (EC: 1.6.5.4) was estimated following the method by Hossain et al. [37]. The decreasing trend of the activity was observed at 340 nm for 1 min with a buffer containing Tris-HCL, Asc, NADPH, and AO. The addition of AO initiated the reaction and the activity was calculated using an extinction coefficient of 6.2 mM−1 cm−1.
GR (EC: 1.6.4.2) activity was quantified following the procedure by Hasanuzzaman et al. [33] in which a buffer was prepared with NADPH, GSSG, EDTA, and K-P buffer. The addition of GSSG to the mixture initiated the activity of GR and a decrease in the activity was spectrophotometrically observed for 1 min at 340 nm. The final calculation of the GR activity was performed using 6.2 mM−1 cm−1 as an extinction coefficient.
The procedure by Elia et al. [38] for estimating GPX (EC: 1.11.1.9) activity was used. A buffer containing NADPH, GSH, GR, sodium azide, EDTA, and K-P buffer in which the addition of H2O2 initiated the reaction. The activity was then spectrophotometrically observed at 340 nm for 1 min, and with an extinction coefficient of 6.62 mM−1 cm−1, the final computation of the activity was performed.
The procedure by Hasanuzzaman et al. [33] was followed to estimate the CAT (EC: 1.11.1.6) activity. The activity was assayed with H2O2 and K-P buffer, and the absorbance was taken at 240 nm for 1 min. The activity was initiated after adding H2O2 and it was calculated using an extinction coefficient of 39.4 mM−1 cm−1.
Following the methods of Hasanuzzaman et al. [33], the activities of Gly I (EC: 4.4.1.5) and Gly II (EC: 3.1.2.6) activities were estimated. A buffer containing sodium-phosphate (Na–P) buffer, GSH, magnesium phosphate (MgSO4), and MG were used for Gly I activity, and Tris-HCl buffer, 5,5-dithio-bis(2-nitrobenzoic acid), and S-D-lactoylglutathione (SLG) were used for Gly II activity. The Gly I and Gly II activities were spectrophotometrically observed at 240 and 412 nm for 1 min, and the final calculation was performed using an extinction coefficient of 3.37 and 13.6 mM−1 cm−1, respectively.
2.11. Statistical Analysis
The obtained data for different growth, physiological, and biochemical parameters were subjected to one-way analysis of variance (ANOVA) and mean separation was performed from three replications which was compared using XLSTAT 2021 software [39] after applying by Fisher’s Least Significant Difference (LSD) test. Differences at a level of p ≤ 0.05 were considered significant.
3. Results
3.1. Plant Growth and Biomass
Mild and severe salinity stress induced a significant reduction in plant height (by 27% and 41%, respectively), shoot FW (by 35% and 43%, respectively), and shoot DW (by 34% and 55%, respectively) compared with the control. Foliar application of α-Toc increased the plant height, shoot FW, and shoot DW by 23, 27, and 21, respectively, at mild salinity and by 25, 33, and 45, respectively, at severe salinity, compared with the corresponding salt-stressed control plants without α-Toc. However, exogenous Asc supplementation improved the plant height and shoot FW by 21% and 29%, respectively, in the mild salinity treatment compared with the corresponding salt-stressed plants without Asc. The addition of Asc also further increased the plant height (by 26%) and shoot DW (by 33%) in the severe salinity treatment compared with the corresponding salt-stressed control plants without Asc. The use of Asc prevented the salinity-induced growth inhibition, although shoot FW (at severe salinity stress) and shoot DW (at mild salinity stress) did not show statistically significant changes (Figure 1A–C).
Figure 1.
Effect of salinity level (0, 75, and 150 mM NaCl) and foliar application of α-Tocopherol (0.5 mM α-Toc) and L-ascorbic acid (1.0 mM Asc) on the plant height (A), shoot FW (B), and shoot DW (C) of Brassica campestris L. Mean value (±SD) was estimated from three replications. Each column containing different letters denotes significant differences among the treatments at p ≤ 0.05 after applying Fisher’s LSD test.
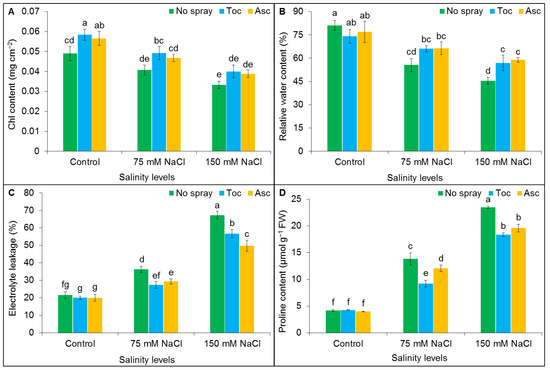
3.2. Chlorophyll Content, Relative Water Content, Electrolyte Leakage, and Proline Content
Salinity stress decreased the Chl content in mustard plants, as indicated by the SPAD values. A significant reduction of 32% was found for Chl content in plants treated with 150 mM NaCl compared with the control. Conversely, the plants supplemented with α-Toc or Asc resulted in a marked increase in Chl content in foliar sprayed controls and salinity-stressed plants. Specifically, α-Toc had a positive effect in improving Chl content in mild salinity stress plants by 21% compared with mild-stressed unsprayed control plants, but in severe salinity-treated plants, the α-Toc or Asc did not have any significant effect (Figure 2A).
Figure 2.
Effect of salinity level (0, 75 and 150 mM NaCl) and foliar application of α-Tocopherol (0.5 mM α-Toc) and L-ascorbic acid (1.0 mM Asc) on the Chl content (A), RWC (B), EL (C), and Pro content (D) of B. campestris L. Mean value (±SD) was estimated from three replications. Each column containing different letters denotes significant differences among the treatments at p ≤ 0.05 after applying Fisher’s LSD test.
The RWC in mustard plants decreased sharply under both levels of salinity stress. The reduction was 36% higher in the severe salinity treatment than in the control. Treatment with α-Toc or Asc slightly increased the RWC in the mild salinity condition. By contrast, in the severe salinity treatment, the RWC was increased by 12% by application of α-Toc and by 13% with the application of Asc compared with the corresponding salt-stressed controls not treated with α-Toc or Asc (Figure 2B).
Exposure to mild or severe salinity stress increased the EL by 15% and 46%, respectively, compared with the control plants. Foliar application of α-Toc diminished the EL by 9% and 11%, respectively, whereas Asc supplementation reduced the EL by 7% and 18%, respectively, at mild and severe salinity compared with the corresponding salinity-stressed controls not treated with α-Toc or Asc (Figure 2C).
The Pro content was increased by 230% and 461% at mild and severe salt stress, respectively, compared with the control. Application of α-Toc decreased the Pro content by 33% and 22% under mild and severe salinity treatments, respectively, compared with the corresponding salinity-stressed controls not treated with α-Toc. Foliar spraying with Asc decreased the Pro content by 13% and 14% at mild and severe salinity stress, respectively, compared with the corresponding salinity-stressed controls not treated with α-Toc (Figure 2D).
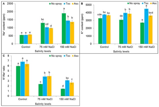
3.3. Contents of Na+ and K+
The highest Na+ stress (150 mM NaCl) resulted in the lowest K+/Na+ ratio. The negative effect of salinity stress at 75 and 150 mM NaCl was ameliorated by foliar spray of α-Toc, which decreased the Na+ content by 21% and 24%, respectively, and improved K+ by 29% and 65%, respectively, and the K+/Na+ ratio by 63% and 117%, respectively, compared with the corresponding salinity-stressed controls not treated with α-Toc. Reductions in the Na+ content (by 25% and 28%, respectively) and increase in K+ (by 25% and 33%, respectively) and the K+/Na+ ratio (by 67% and 85%, respectively) were also observed in mild and severe salinity-stressed plants treated with Asc compared with the corresponding salinity-stressed controls not treated with Asc (Figure 3A–C).
Figure 3.
Effect of salinity level (0, 75 and 150 mM NaCl) and foliar application of α-Tocopherol (0.5 mM α-Toc) and L-ascorbic acid (1.0 mM Asc) on the Na+ (A), K+ (B) contents and K+/Na+ ratio (C) of B. campestris L. Mean value (±SD) was estimated from three replications. Each column containing different letters denotes significant differences among the treatments at p ≤ 0.05 after applying Fisher’s LSD test.
3.4. Malondialdehyde and H2O2 Contents
Salinity stress at different doses increased oxidative damage, as indicated by MDA and H2O2 contents. The MDA content was markedly increased by 43% and 122% upon exposure to 75 and 150 mM NaCl-induced salinity stress, respectively, compared with the control plants. However, the use of α-Toc or Asc mitigated the negative effect of salinity at 150 mM NaCl and reduced the MDA content by 35% and 40%, respectively, compared with the corresponding unsprayed salinity-stressed controls. Higher accumulation of H2O2 (by 172%) was observed in the severe salinity stress treatment than in the unstressed control. Exogenous application of α-Toc reduced the H2O2 content in plants exposed to 75 and 150 mM NaCl by 22% and 23%, respectively, while Asc application reduced the content by 27% and 22%, respectively, compared with the corresponding unsprayed salinity-stressed controls (Figure 4A,B).
Figure 4.
Effect of salinity level (0, 75 and 150 mM NaCl) and foliar application of α-Tocopherol (0.5 mM α-Toc) and L-ascorbic acid (1.0 mM Asc) on the MDA (A) and H2O2 (B) contents of B. campestris L. Mean value (±SD) was estimated from three replications. Each column containing different letters denotes significant differences among the treatments at p ≤ 0.05 after applying Fisher’s LSD test.
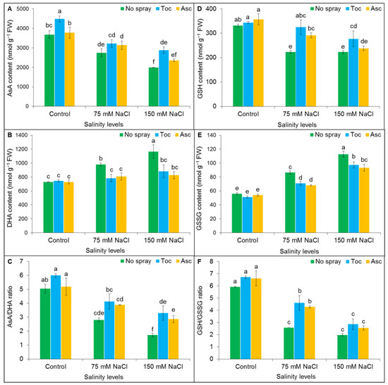
3.5. Ascorbate and Glutathione Content
Both mild and severe salinity stress reduced the AsA content (by 25% and 46%, respectively) with increasing DHA content (by 35% and 60%, respectively); hence, the AsA/DHA ratios were reduced by 45% and 66%, respectively, compared with the control plants. Application of α-Toc or Asc slightly enhanced the AsA content and the AsA/DHA ratio, with a notable reduction in DHA content of 20% and 18%, respectively, at 75 mM salinity stress, compared with the corresponding unsprayed salinity-stressed controls. However, at 150 mM salinity stress, foliar application of α-Toc or Asc improved the AsA content by 44% and 18%, respectively, and the AsA/DHA ratio by 92% and 67%, respectively, while DHA content declined by 24% and 29%, compared with the corresponding unsprayed salinity-stressed control plants (Figure 5A–C). Salinity stress at 75 and 150 mM decreased the GSH content by 32% and 33% and the GSH/GSSG ratio by 56% and 67%, but increased the GSSG content by 54% and 101%, respectively. α-Toc or Asc supplementation in the mild salinity stress increased the GSH content (by 45% and 30%, respectively) and GSH/GSSG ratio (by 79% and 66%, respectively), whereas the GSSG content was reduced by 18% and 21%, respectively, compared with the corresponding unsprayed salinity-stressed controls. Under severe salinity stress, the GSH content slightly increased with the α-Toc or Asc foliar spray, whereas the GSSG content decreased by 14% and 17%, respectively, compared with the corresponding unsprayed salinity-stressed control plants (Figure 5D–F).
Figure 5.
Effect of salinity level (0, 75 and 150 mM NaCl) and foliar application of α-Tocopherol (0.5 mM α-Toc) and L-ascorbic acid (1.0 mM Asc) on the AsA content (A), DHA content (B), AsA/DHA ratio (C), GSH content (D), GSSG content (E), and GSH/GSSG ratio (F) of B. campestris L. Mean value (±SD) was estimated from three replications. Each column containing different letters denotes significant differences among the treatments at p ≤ 0.05 after applying Fisher’s LSD test.
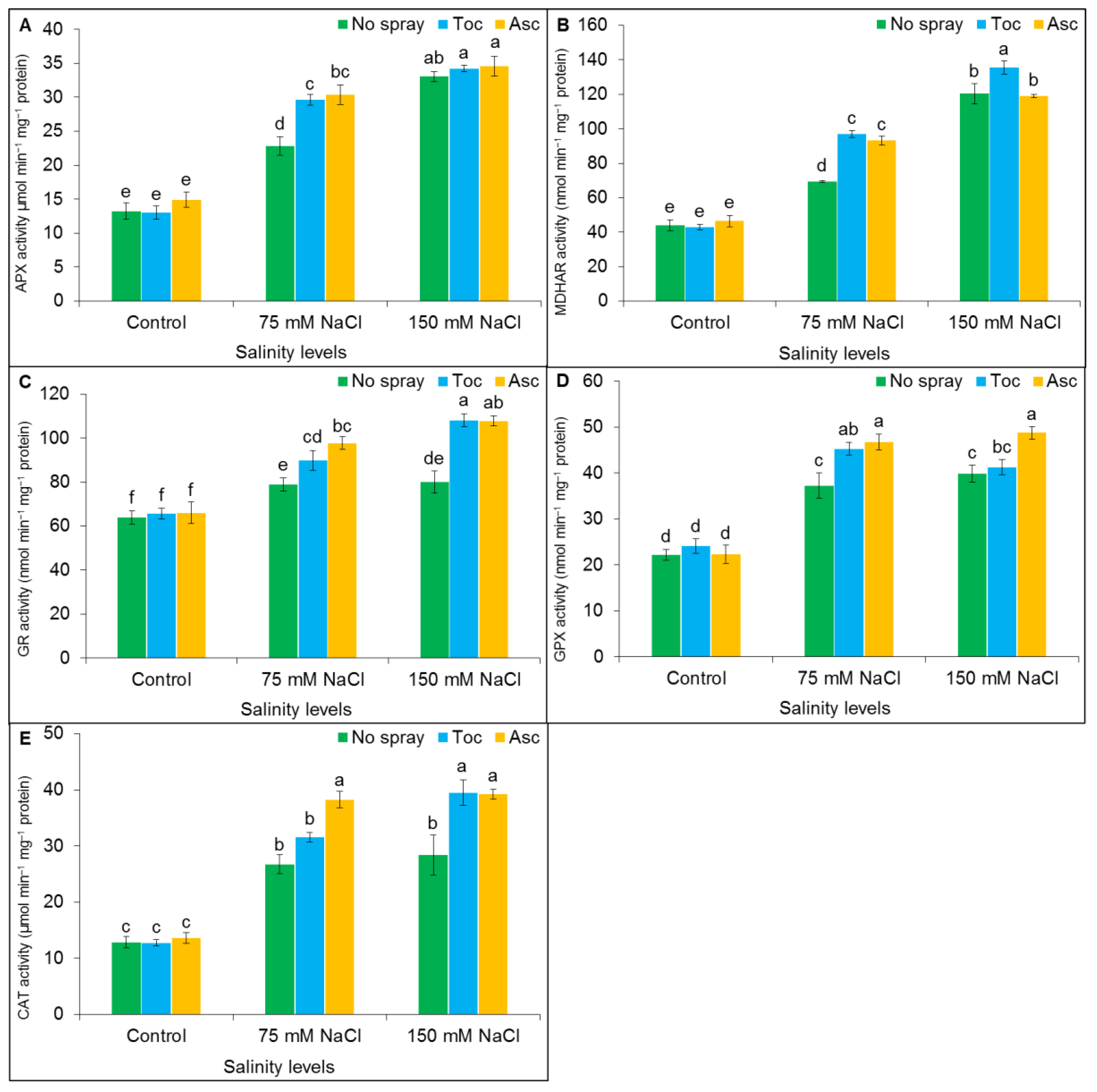
3.6. Antioxidant Enzyme Activities
Salinity stress at 75 and 150 mM NaCl increased the activities of APX (by 72% and 150%, respectively), MDHAR (by 58% and 174%, respectively), GR (by 24% and 25%, respectively), GPX (by 68% and 80%, respectively), and CAT (by 108% and 121%, respectively) in comparison with the control plants (Figure 6A–E). Activities of these antioxidant enzymes showed differential responses with the application of the α-Toc or Asc under salinity stress. Increases in the activities of antioxidant enzymes were observed at the mild salinity treatment in response to the spraying of α-Toc or Asc by 30% and 33% for APX, 40% and 34% for MDHAR, 14% and 24% for GR, and 21% and 26% for GPX, respectively, compared with the corresponding unsprayed salinity-stressed controls. However, plants provided a foliar spray of α-Toc while under severe salinity stress showed increase in the MDHAR and GR activities by 13% and 35%, respectively, while Asc spraying increased the GPX and GR activities by 22% and 35%, respectively, compared with the corresponding unsprayed salinity-stressed controls. The activity of CAT improved (by 39%) in plants treated with exogenous α-Toc under severe salinity but not under mild salinity. Foliar spraying of Asc increased CAT activity under mild (by 43%) and severe salinity-treated plants (by 38%) compared with the corresponding unsprayed salinity-stressed controls (Figure 6A–E).
Figure 6.
Effect of salinity level (0, 75 and 150 mM NaCl) and foliar application of α-Tocopherol (0.5 mM α-Toc) and L-ascorbic acid (1 mM Asc) on the activities of APX (A), MDHAR (B), GR (C), GPX (D), and CAT (E) of B. campestris L. Mean value (±SD) was estimated from three replications. Each column containing different letters denotes significant differences among the treatments at p ≤ 0.05 after applying Fisher’s LSD test.
3.7. Activities of Glyoxalase Enzymes
A notable reduction in Gly I and Gly II activities occurred in response to salinity stress at 75 mM (by 22% and 48%, respectively) and 150 mM (by 60% and 64%, respectively), compared with the control plants. The Gly I activity increased in α-Toc -treated plants under mild and severe salinity stress by 36% and 50%, respectively, compared with the corresponding unsprayed salinity-stressed controls. Similarly, supplementation with Asc increased the activity of Gly I under mild and severe salinity treatments by 29% and 69%, respectively, compared with the corresponding unsprayed salinity-stressed controls. In addition, foliar spraying of α-Toc improved the Gly II activity in both mild (by 56%) and severe (by 37%) salinity treatments compared with the corresponding unsprayed salinity-stressed controls. However, Asc application enhanced the activity only under mild salinity treatment, by 78%, compared with the corresponding unsprayed salinity-stressed controls (Figure 7A,B).
Figure 7.
Effect of salinity level (0, 75 and 150 mM NaCl) and foliar application of α-Tocopherol (0.5 mM α-Toc) and L-ascorbic acid (1.0 mM Asc) on the Gly I (A) and Gly II (B) activities of B. campestris L. Mean value (±SD) was estimated from three replications. Each column containing different letters denotes significant differences among the treatments at p ≤ 0.05 after applying Fisher’s LSD test.
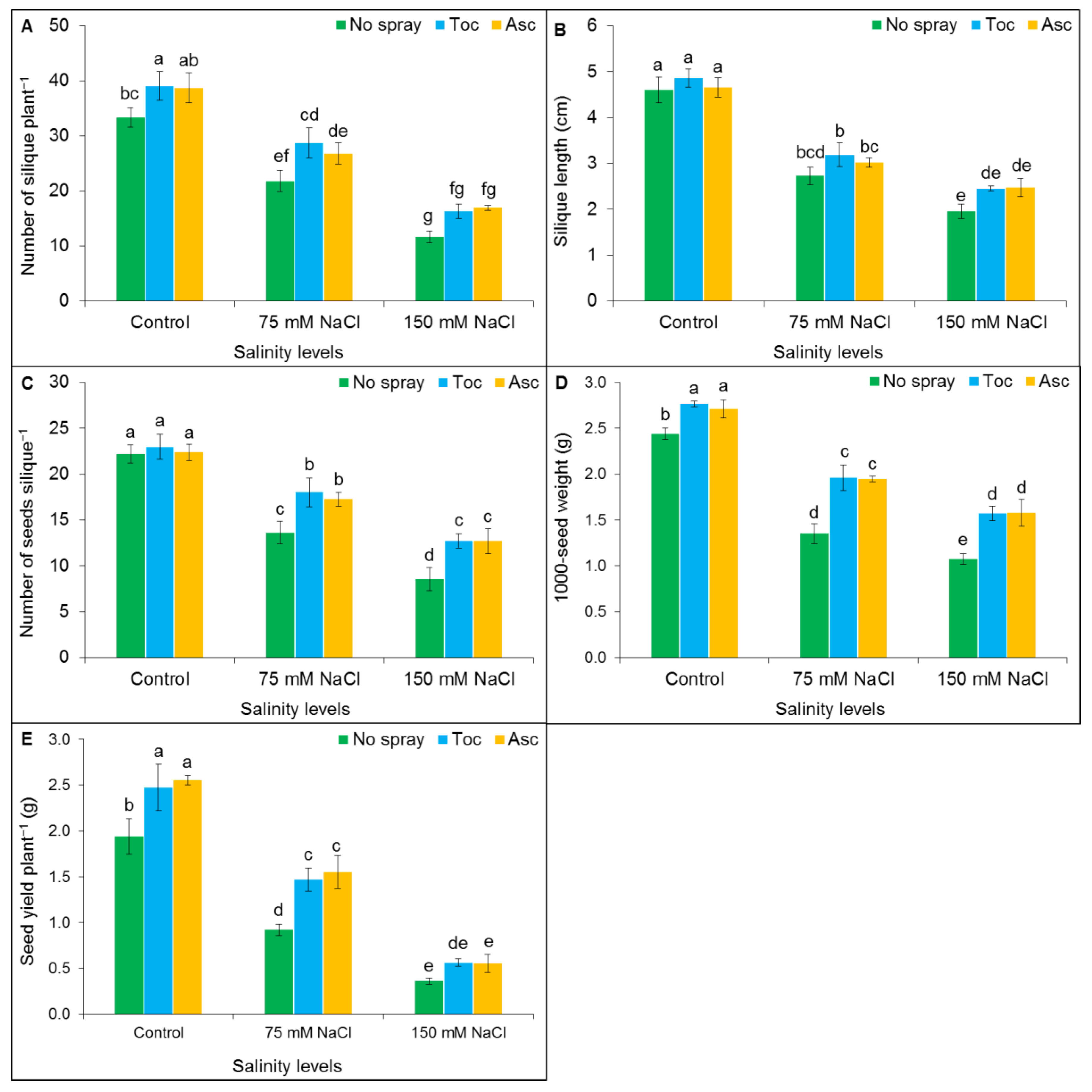
3.8. Yield and Yield-Contributing Components
Yield and yield-contributing parameters are greatly affected by salinity stress, and a notable reduction in these parameters was observed with increasing salt concentrations. The maximum yield reduction occurred at 150 mM NaCl stress. This severe salinity stress caused a reduction of 65% in the number of siliques plant−1, 57% in silique length, 62% in the number of seeds silique−1, 56% in 1000-seed weight, and 81% in seed yield plant−1, in comparison with the control plants without α-Toc or Asc. Application of α-Toc or Asc increased the number of siliques plant−1 at 75 mM and 150mM NaCl, over their respective unsprayed salinity-stressed controls. The silique length in rapeseed plants was not increased by foliar spraying of either α-Toc or Asc at any level of salinity stress. Foliar spraying of α-Toc increased the number of seeds silique−1 by 32% and 49%, and Asc increased this number by 27 and 49%, at 75 and 150 mM NaCl, respectively, compared with the corresponding salt-stressed unsprayed controls. The 1000-seed weight was markedly increased, by 13%, 45%, and 46%, at 0, 75, and 150 mM NaCl, respectively, with α-Toc treatment and by 11%, 44%, and 47%, respectively, with Asc treatment, compared with the corresponding unsprayed controls. The seed yield plant−1 was increased in α-Toc or Asc-treated plants exposed to 0 and 75 mM NaCl, but it was not altered at 150 mM salinity stress compared with the corresponding salt-stressed unsprayed controls (Figure 8A–E).
Figure 8.
Effect of salinity level (0, 75 and 150 mM NaCl) and foliar application of α-Tocopherol (0.5 mM α-Toc) and L-ascorbic acid (1.0 mM Asc) on the number of siliques plant−1 (A), silique length (B), number of seeds silique−1 (C), 1000-seed weight (D), and seed yield plant−1 (E) of B. campestris L. Mean value (±SD) was estimated from three replications. Each column containing different letters denotes significant differences among the treatments at p ≤ 0.05 after applying Fisher’s LSD test.
4. Discussion
Plants under salt stress suffer from water deficiency, nutrient deficiency, and ion toxicity, all of which directly hamper the growth process. The secondary effects of salt stress-induced inhibition of biochemical, physiological, and metabolic processes are further obstacles that also seriously hinder plant growth and development [6]. In this study, we observed that the plant height and the shoot FW and DW of rapeseed plants were reduced under salt stress. Similar reductions in different plant growth parameters have been recorded in other plants in response to salinity [40]. Treatment of the salt-stressed rapeseed seedlings with exogenous Toc improved the growth parameters compared with the salt-stressed unsprayed controls. Amelioration of the growth parameters of salt-affected sunflower plants was also observed following exogenous Toc supplementation. Toc addition improved the net CO2 assimilation rate, stomatal conductance, and water-use efficiency in sunflower, which contributed to the improved growth under salt stress [40]. Ali et al. [23] confirmed that α-Toc addition improved the growth and physio-biochemical parameters of wheat plants under water-deficit stress. Another study showed that exogenous Toc supplementation increased nutrient uptake, Chl pigment levels, and growth of drought-affected maize plants [41]. Similarly, treatment of salt-affected barley with Asc recovered the reduction in shoot FW, shoot DW, root FW, root DW, shoot length, and root length in barley plants [19]. Shoot length, leaf area, stem diameter, shoot FW, and shoot DW were improved in salt-stressed cucumber by exogenous Asc supplementation [42]. These studies confirmed the Asc-induced improvement of water status, nutrient uptake, photosynthetic pigment levels, and physiological attributes that supported better growth of plants grown under saline conditions, and the results were similar to the results of the present study with rapeseed plants.
In this study, the leaf Chl content decreased upon salt exposure but was restored by exogenous Toc supplementation. Exogenous application of α-Toc was also reported to improve Chl content in drought-imposed mungbean [43]. The explanations of how Toc sustains the levels of photosynthetic pigments under stress conditions assume that Toc, a component of biomembranes, prevents the breakdown of photosynthetic pigments under adverse environmental conditions [44]. Toc shields the D1 protein and prevents chloroplast membrane disruption, which is also a stratagem for conserving chloroplast pigments under stress conditions [45] and chloroplast membranes from damaging effects when grown under stressful conditions. Exogenous Asc increased the levels of Chl a, Chl b, and total Chl in salt-affected barley [19] and flax [46] plants (compared with salt treatment alone). Osmoprotection, ROS detoxification, and protection of biomembranes by Toc and Asc are correlated with the prevention of photosynthetic pigment damage in salt-affected rapeseed plants in the present study, as substantiated by previous studies on Toc [19,41,42,43].
Osmotic stress due to salinity impedes water uptake, and this effect is perpetuated by reduced stomatal opening, which also decreases water uptake through transpiration pull [47]. Thus, decreased tissue water content is one of the common indicators of salt stress. The demonstration of reduced RWC in the salt-affected rapeseed plants confirmed the development of osmotic and water stress; however, exogenous Toc addition improved the RWC compared with the unsprayed salt-stressed control plants, indicating some relief of the stress. Seed treated with Toc improved leaf turgor potential, leaf osmotic potential, leaf turgor potential, leaf RWC, stomatal conductance, water-use efficiency, and transpiration rate in salt-stressed sunflower plants [40]. Ali et al. [23] demonstrated that Toc fertigation improved water relation parameters, including leaf water potential and leaf RWC in water deficit-affected wheat plants. Different studies have confirmed the improvement of water status (as indicated by various parameters) in plants under salt stress when the plants are supplemented with exogenous Asc. For example, the application of exogenous Asc to salt-stressed cucumber plants showed an increase in RWC [42], while salt-stressed flax plants showed increased total water content (%), RWC, and decreased leaf water deficit (%) [46]. Regulation of Pro levels and prevention of membrane damage by exogenous Toc and Asc in salt-affected rapeseed plants in the present study supports the improved water status of these plants.
Electrolyte leakage is an indicator of membrane damage. Rapeseed plants showed a higher level of EL value under salt stress, whereas exogenous Toc addition reversed this salt stress effect and decreased the EL value. Over-expression of the γ-tocopherol methyltransferase gene in alfalfa decreased EL under PEG-induced drought-stressed plants [48]. Toc-enriched transgenic B. juncea showed decreased EL and MDA levels under salt, heavy metal, and osmotic stresses [49]. Exogenous Asc addition decreased EL in salt-affected barley [50]. Supplementation of α-Toc or Asc under salinity stress reduced the membrane damage (as indicated by reduced level of MDA) in the rapeseed plants studied here, and this has been found to be the major reason for decreased EL.
Proline is one of several osmoprotectant molecules that, when found in high amounts in plant tissues, can indicate stress tolerance. The increase in the Pro content is a characteristic feature of salt-affected rapeseed plants. However, exogenous Toc addition decreased the Pro content in the salt-stressed plants, with a concomitant increase in the RWC, indicating the mitigation of osmotic and water stress to some extent. Several research reports have demonstrated the role for Toc in regulating different endogenous osmoprotectant molecules. Induction of salt stress rises in Pro and glycine betaine levels have been reported in okra, and their levels were further increased by the application of exogenous Toc in the salt-treated okra plants [26]. The Pro level in Vicia faba was also increased by exogenous Toc supplementation and conferred osmoprotection under seawater stress [51]. Previous research findings on flax [46], barley [50], and cucumber [42] revealed that exogenous Asc supplementation successfully regulated the Pro level for substantial alleviation of salt-induced osmotic stress (compared with the salt-stressed plants without Asc supplementation).
Exposure to salt stress imposes ionic stress in various ways in plants. Ionic toxicity is the primary effect induced by excess accumulation of Na+ under salt stress, and it creates other secondary stresses, such as disruption of nutrient homeostasis by decreasing the uptake of nutrients. Disruption of the structural integrity of biomolecules is a common consequence of salt stress, and disrupted biomolecules that form biomembranes are another reason for further imbalances in the ionic and nutrient homeostasis [26]. The rapeseed seedlings in the present study accumulated high amounts of Na+ but reduced the amounts of K+, and they also showed reduced K+/Na+ ratios, which indicated ion toxicity and an imbalance in the nutrient homeostasis. By contrast, Toc-supplemented plants showed reduced Na+ content, increased K+ content, and higher K+/Na+ ratios. Naqve et al. [26] observed a similar response in the okra plants under salt stress, as well as improved ion and nutrient homeostasis when salt-stressed plants were supplemented with Toc. The Toc-supplemented okra plants exhibited decreased Na+ as well as increased K+ and Ca2+ levels [26]. Orabi and Abdelhamid [51] reported that exogenous Toc addition decreased Na+ and increased K+ and Ca2+ levels in the salt-exposed V. faba plants. Toc helps to maintain membrane properties in various ways, but it also stimulates signaling pathways through membranes [20], and these functions are also helpful for proper regulation of ion and nutrient homeostasis under salt stress. Exogenous Asc decreased Na+ and increased K+ levels in salt-affected barley [19], decreased leaf and root Na+, and increased leaf and root K+, Ca2+, and K+/Na+ and Ca2+/Na+ ratios in salt-affected cucumber [42]. The addition of Asc to the flax plants reduced the Na+/K+ ratio under salt stress [46]. Exogenous application of Asc reduced oxidative damage to biomembranes in various ways that can serve to regulate the uptake and translocation of toxic ions and nutrients.
Salinity-induced osmotic stress, ion toxicity, and nutrient imbalance trigger the destruction of the structural integrity of several biomolecules while also triggering disruption of metabolic, biochemical, and physiological processes in cellular components, including cell membranes, chloroplasts, mitochondria, and peroxisomes, which are the reasons for the overgeneration of ROS and further severe damage to the cellular components [52]. In the present study, the content of H2O2 and MDA were increased in the rapeseed plants under salt stress, indicating oxidative stress. The addition of Toc to salt-treated rapeseed plants decreased the levels of H2O2 and MDA (compared with untreated salt-stressed controls) due to augmentation of the antioxidant defense system in the present study. Toc serves to neutralize lipid peroxy radicals and scavenge ROS, while also directly contributing to the protection of membranes against lipid peroxidation [20]. Exogenous Toc addition has been verified to decrease ROS generation and oxidative damage in several plant species under various stress conditions. For example, α-Toc-enriched transgenic B. juncea showed decreased H2O2, EL, and MDA levels under salt, heavy metal, and osmotic stresses [49]. A defensive role of α-Toc in V. faba was evident in decreasing lipid peroxidation under seawater stress that involved upregulated antioxidant capacity [51]. Spraying of Toc on drought-affected maize plants caused a significant upregulation of different non-enzymatic and enzymatic components of the antioxidant defense system and contributed to the decreased oxidative stress and a subsequent decrease in the MDA level [41]. Exogenous Asc decreased lipid peroxidation and H2O2 content in the salt-stressed barley [19]. In the present study, the addition of either exogenous α-Toc or Asc under salt stress enhanced both the non-enzymatic and enzymatic components of the antioxidant defense system that seem directly connected to the reduction in H2O2 and MDA accumulation.
Ascorbate and GSH are powerful antioxidants that scavenge a range of ROS; therefore, by their upregulation these antioxidants can serve as indicators of stress tolerance. Salt stress decreased the AsA content, increased the DHA content, and resulted in a lower AsA/GSH ratio in rapeseed plants compared with unstressed control plants. During the ROS-scavenging process, AsA is converted to DHA, thereby decreasing the AsA/DHA ratio, this is a common phenomenon under salt stress [53,54]. The addition of Toc to salt-exposed rapeseed plants reversed the levels of the AsA pool from those that occurred under salt stress. The Toc-treated plants showed higher level of AsA and a lower AsA/DHA ratio, as well as decreased DHA levels (compared with the untreated salt-stressed controls). Supplemental Asc raised the endogenous AsA level in barley under salt stress [50], while exogenous Toc increased the endogenous levels of AsA and total phenolics in different plants under various abiotic stresses [26,40].
Sustaining the GSH/GSSG levels is vital for ROS detoxification and redox signaling under stress conditions and is maintained by higher GSH and lower GSSG levels [54]. In our present study, the lower GSH/GSSG ratio and lower GSH levels, together with higher GSSG levels, in the salt-stressed rapeseed plants were correlated with the higher generation of ROS. However, the addition of α-Toc or Asc to salt-stressed rapeseed plants significantly upregulated the endogenous GSH levels and GSH/GSSG ratio, while also downregulating the GSSG level. The upregulation of antioxidants reduced ROS overgeneration and consequent oxidative damage. In salt-stressed cucumber plants, exogenous Asc addition increased the endogenous GSH level [42]. Supplemental Asc applied to salt-affected barley also increased endogenous GSH levels [50].
The APX activity is involved in the conversion of AsA into DHA during ROS scavenging. The higher activity of APX in the salt-stressed rapeseed plants in the present study is correlated with the lower AsA and higher DHA levels. The MDHAR activity is responsible for recycling DHA to AsA. Compared with unstressed control plants, salt stress increased the activities of both APX and MDHAR. The activities of these enzymes were further increased by the addition of exogenous Asc and Toc to the salt-affected plants (compared with untreated salt-stressed controls). The GR activity that recycles GSSG to GSH was increased under salt stress (compared with unstressed control plants), and its activity again increased in salt-treated plants supplemented with exogenous Asc or Toc (compared with untreated salt-stressed controls). Some previous research showed that the addition of exogenous Toc and Asc increased the activity of some of the major antioxidant enzymes. CAT is involved in the conversion of H2O2 into H2O [54]. In the present study, the CAT activity in salt-stressed rapeseed plants was increased (compared with unstressed controls) and then further increased by the addition of exogenous α-Toc and Asc to those plants (compared with untreated salt-stressed control plants). Glutathione is a substrate for GPX, and upregulated GPX activity indicates enhanced defense against ROS-induced oxidative damage [54]. The activity of GPX increased with the increasing salinity stress (compared with the unstressed controls), and a similar trend of an increase in GPX activity was noticed when α-Toc and Asc were added to the salt-stressed plants (compared with salt treatment alone). Seleiman et al. [42] demonstrated that exogenous Asc application increased the activities of GR, SOD, APX, and CAT enzymes in salt-stressed cucumber plants. Salt-affected barley plants fertilized with supplemental Asc showed the upregulation of SOD, POD, CAT, and APX activities [19]. Treatment with exogenous Toc increased the activities of CAT, POD, and GPX in salt-stressed okra plants [26]. Treatment with α-Toc increased the activities of SOD, CAT, and POD in two V. faba cultivars when exposed to seawater [51]. Enhanced activities of CAT, POD, and GR were reported by the application of α-Toc in salt-stressed sunflower plants [24]. The available research reports did not elucidate the mechanism by which exogenous Toc or Asc might regulate all the antioxidant enzymes, and this requires further study.
The glyoxalase system consisting of GSH and glyoxalase enzymes catalyzes methylglyoxal detoxification. Therefore, upregulation of the components of the glyoxalase system is desirable for enhancing stress tolerance in plants. Exposure to salt stress significantly decreased the Gly I and Gly II activities in rapeseed plants in the present study, and this contributed to the adverse effects on cell function. Altered glyoxalase enzyme activities under salt stress were studied previously [53]. Our findings clearly indicate that exogenous α-Toc or Asc supplementation can increase the Gly I and Gly II activities in salt-stressed rapeseed plants.
Water deficit and nutrient deficiency reduce the vegetative growth and reproductive development of salt-stressed crop plants and decrease subsequent crop yields [6,51]. In this study, various yield-contributing characteristics of rapeseed plants, such as the number of siliques plant−1, silique length, number of seeds silique−1, and 1000-seed weight, were all decreased by salt stress. All these factors relate to the seed yield plant−1, which showed a significant decrease under salt stress compared with the seed yields in the unstressed control plants. Photosynthesis is decreased in salt-affected plants, and salt stress decreases and delays carbohydrate translocation, photoassimilate production, and grain maturation. Reduced grain size and number are also common in response to salt stress [55]. Exogenous Toc supplementation restored the performance of salt-affected rapeseed plants. The yield attributes and yield of salt-affected rapeseed plants in the present study were improved by α-Toc addition compared with the unsprayed salt-treated control plants. The addition of α-Toc improved the growth, seed yield, and seed yield quality of salt-affected V. faba plants [51]. Semida et al. [56] also demonstrated the improvement of the growth parameters and yield attributes, such as the number of dry pods plant−1, 100-seed weight, and seed yield in salt-affected V. faba plants treated with Toc. El-Afry et al. [46] confirmed that exogenous Asc increased the yield plant−1 in flax grown under salt stress [46]. Salt-affected barley plants recovered their yield loss when Asc was co-applied with the salt treatment, and the treated plants had a longer spike length and greater 100-grain weight [19]. Overall, supplying exogenous Toc and Asc clearly improved the biochemical and physiological attributes required for better growth and development of salt-affected rapeseed plants. The final outcome was recovery from the adverse effects on yield attributes and yield.
5. Conclusions
The findings of this study confirmed that exogenous application of Toc and Asc alleviated the damaging effects of salt stress on rapeseed plants. This effect involved Toc and Asc regulation of oxidative stress, antioxidant defense, the glyoxalase system, Pro levels, water status, K+/Na+ homeostasis, photosynthetic pigment levels, growth and yield attributes, and seed yield. However, very little is known about the biosynthesis and metabolism of Toc and Asc and their relationship with other biomolecules, phytohormones, and signaling molecules that are also active in adaptation processes necessary for survival under stressful environments. The ideal doses of exogenous Toc or Asc, the optimal application methods, and the crops most likely to benefit from Toc or Asc treatments are not fully known. These unknown aspects and mechanisms of Toc and Asc action require further investigation.
Author Contributions
Conceptualization, M.H.; methodology, H.F.A. and H.S.A.-Z.; formal analysis, M.H.; investigation, M.H., N.A., M.R.H.R. and K.N.; resources, H.F.A. and H.S.A.-Z.; writing—original draft preparation, M.H., M.R.H.R., H.F.A., H.S.A.-Z., H.A., K.M.A., N.A. and K.N.; writing—review and editing, M.H., H.F.A., H.S.A.-Z., H.A. and K.M.A.; visualization, H.A., K.M.A. and M.H.; supervision, M.H., H.F.A. and H.S.A.-Z.; project administration, H.F.A.; funding acquisition, H.F.A. and H.S.A.-Z. All authors have read and agreed to the published version of the manuscript.
Funding
This project was funded by the Deanship of Scientific Research (DSR) at King Abdulaziz University (KAU), Jeddah, Saudi Arabia under grant No. (RG-9-130-43).
Data Availability Statement
All data are available in this article.
Acknowledgments
The Deanship of Scientific Research (DSR) at King Abdulaziz University (KAU), Jeddah, Saudi Arabia funded this project under grant No. (RG-9-130-43). The authors, therefore, gratefully acknowledge DSR technical and financial support. The authors acknowledge Sher-e-Bangla Agricultural University for providing the lab facilitation and the experimental measurements.
Conflicts of Interest
The authors declare no conflict of interest.
References
- Sachdev, S.; Ansari, S.A.; Ansari, M.I.; Fujita, M.; Hasanuzzaman, M. Abiotic stress and reactive oxygen species: Generation, signaling, and defense mechanisms. Antioxidants 2021, 10, 277. [Google Scholar] [CrossRef] [PubMed]
- Mukhopadhyay, R.; Sarkar, B.; Jat, H.S.; Sharma, P.C.; Bolan, N.S. Soil salinity under climate change: Challenges for sustainable agriculture and food security. J. Environ. Manag. 2020, 280, 111736. [Google Scholar] [CrossRef] [PubMed]
- Singh, M.; Nara, U.; Kumar, A.; Choudhary, A.; Singh, H.; Thapa, S. Salinity tolerance mechanisms and their breeding implications. J. Genet. Eng. Biotechnol. 2021, 19, 173. [Google Scholar] [CrossRef] [PubMed]
- Hryvusevich, P.; Navaselsky, I.; Talkachova, Y.; Straltsova, D.; Keisham, M.; Viatoshkin, A.; Samokhina, V.; Smolich, I.; Sokolik, A.; Huang, X.; et al. Sodium influx and potassium efflux currents in sunflower root cells under high salinity. Front. Plant Sci. 2021, 11, 2181. [Google Scholar] [CrossRef] [PubMed]
- Rahman, A.; Nahar, K.; Hasanuzzaman, M.; Fujita, M. Calcium supplementation improves Na+/K+ ratio, antioxidant defense and glyoxalase systems in salt-stressed rice seedlings. Front. Plant Sci. 2016, 7, 609. [Google Scholar] [CrossRef]
- Hossen, M.S.; Karim, M.F.; Fujita, M.; Bhuyan, M.H.M.B.; Nahar, K.; Masud, A.A.C.; Mahmud, J.A.; Hasanuzzaman, M. Comparative physiology of Indica and Japonica rice under salinity and drought stress: An intrinsic study on osmotic adjustment, oxidative stress, antioxidant defense and methylglyoxal detoxification. Stresses 2022, 2, 156–178. [Google Scholar] [CrossRef]
- Parvin, K.; Nahar, K.; Hasanuzzaman, M.; Bhuyan, M.B.; Mohsin, S.M.; Fujita, M. Exogenous vanillic acid enhances salt tolerance of tomato: Insight into plant antioxidant defense and glyoxalase systems. Plant Physiol. Biochem. 2020, 150, 109–120. [Google Scholar] [CrossRef]
- Hasanuzzaman, M.; Bhuyan, M.H.M.B.; Zulfiqar, F.; Raza, A.; Mohsin, S.M.; Mahmud, J.A.; Fujita, M.; Fotopoulos, V. Reactive oxygen species and antioxidant defense in plants under abiotic stress: Revisiting the crucial role of a universal defense regulator. Antioxidants 2020, 9, 681. [Google Scholar] [CrossRef]
- Parvin, K.; Hasanuzzaman, M.; Bhuyan, M.H.M.; Nahar, K.; Mohsin, S.M.; Fujita, M. Comparative physiological and biochemical changes in tomato (Solanum lycopersicum L.) under salt stress and recovery: Role of antioxidant defense and glyoxalase systems. Antioxidants 2019, 8, 350. [Google Scholar] [CrossRef]
- Mohsin, S.M.; Hasanuzzaman, M.; Parvin, K.; Fujita, M. Pretreatment of wheat (Triticum aestivum L.) seedlings with 2, 4-D improves tolerance to salinity-induced oxidative stress and methylglyoxal toxicity by modulating ion homeostasis, antioxidant defenses, and glyoxalase systems. Plant Physiol. Biochem. 2020, 152, 221–231. [Google Scholar] [CrossRef]
- Costa, S.F.; Martins, D.; Agacka-Mołdoch, M.; Czubacka, A.; de Sousa Araújo, S. Strategies to alleviate salinity stress in plants. In Salinity Responses and Tolerance in Plants; Kumar, V., Wani, S., Suprasanna, P., Tran, L.S., Eds.; Springer: Cham, Switzerland, 2018; pp. 307–337. [Google Scholar]
- Moustafa-Farag, M.; Elkelish, A.; Dafea, M.; Khan, M.; Arnao, M.B.; Abdelhamid, M.T.; El-Ezz, A.A.; Almoneafy, A.; Mahmoud, A.; Awad, M.; et al. Role of melatonin in plant tolerance to soil stressors: Salinity, pH and heavy metals. Molecules 2020, 25, 5359. [Google Scholar] [CrossRef] [PubMed]
- Xu, Y.; Huang, B. Exogenous ascorbic acid mediated abiotic stress tolerance in plants. In Ascorbic Acid in Plant Growth, Development and Stress Tolerance; Hossain, M., Munné-Bosch, S., Burritt, D., Diaz-Vivancos, P., Fujita, M., Lorence, A., Eds.; Springer: Cham, Switzerland, 2017; pp. 233–253. [Google Scholar]
- Bartoli, C.G.; Buet, A.; Grozeff, G.G.; Galatro, A.; Simontacchi, M. Ascorbate-glutathione cycle and abiotic stress tolerance in plants. In Ascorbic Acid in Plant Growth, Development and Stress Tolerance; Hossain, M., Munné-Bosch, S., Burritt, D., Diaz-Vivancos, P., Fujita, M., Lorence, A., Eds.; Springer: Cham, Switzerland, 2017; pp. 177–200. [Google Scholar]
- Billah, M.; Rohman, M.M.; Hossain, N.; Uddin, M.S. Exogenous ascorbic acid improved tolerance in maize (Zea mays L.) by increasing antioxidant activity under salinity stress. Afr. J. Agric. Res. 2017, 12, 1437–1446. [Google Scholar] [CrossRef]
- Alam, M.M.; Nahar, K.; Hasanuzzaman, M.; Fujita, M. Alleviation of osmotic stress in Brassica napus, B. campestris, and B. juncea by ascorbic acid application. Biol. Plant. 2014, 58, 697–708. [Google Scholar] [CrossRef]
- Ortiz-Espín, A.; Sánchez-Guerrero, A.; Sevilla, F.; Jiménez, A. The role of ascorbate in plant growth and development. In Ascorbic Acid in Plant Growth, Development and Stress Tolerance; Hossain, M., Munné-Bosch, S., Burritt, D., Diaz-Vivancos, P., Fujita, M., Lorence, A., Eds.; Springer: Cham, Switzerland, 2017; pp. 25–45. [Google Scholar]
- El-Beltagi, H.S.; Mohamed, H.I.; Sofy, M.R. Role of ascorbic acid, glutathione and proline applied as singly or in sequence combination in improving chickpea plant through physiological change and antioxidant defense under different levels of irrigation intervals. Molecules 2020, 25, 1702. [Google Scholar] [CrossRef] [PubMed]
- Noreen, S.; Sultan, M.; Akhter, M.S.; Shah, K.H.; Ummara, U.; Manzoor, H.; Ulfat, M.; Alyemeni, M.N.; Ahmad, P. Foliar fertigation of ascorbic acid and zinc improves growth, antioxidant enzyme activity and harvest index in barley (Hordeum vulgare L.) grown under salt stress. Plant Physiol. Biochem. 2021, 158, 244–254. [Google Scholar] [CrossRef] [PubMed]
- Sadiq, M.; Akram, N.A.; Ashraf, M.; Al-Qurainy, F.; Ahmad, P. Alpha-Tocopherol-Induced regulation of growth and metabolism in plants under non-stress and stress conditions. J. Plant Growth Regul. 2019, 38, 1325–1340. [Google Scholar] [CrossRef]
- Hasanuzzaman, M.; Nahar, K.; Fujita, M. Role of tocopherol (vitamin E) in plants: Abiotic stress tolerance and beyond. In Emerging Technologies and Management of Crop Stress Tolerance; Ahmad, P., Rasool, S., Eds.; Academic Press: Cambridge, MA, USA, 2014; pp. 267–289. [Google Scholar]
- Srinivasan, A.; Vijayakumar, S.; Raman, K.; Srivastava, S. Rational metabolic engineering for enhanced alpha-tocopherol production in Helianthus annuus cell culture. Biochem. Eng. J. 2019, 151, 107256. [Google Scholar] [CrossRef]
- Ali, Q.; Ali, S.; Iqbal, N.; Javed, M.T.; Rizwan, M.; Khaliq, R.; Shahid, S.; Perveen, R.; Alamri, S.A.; Alyemeni, M.N.; et al. Alpha-tocopherol fertigation confers growth physio-biochemical and qualitative yield enhancement in field grown water deficit wheat (Triticum aestivum L.). Sci. Rep. 2019, 9, 12924. [Google Scholar] [CrossRef]
- Lalarukh, I.; Shahbaz, M. Response of antioxidants and lipid peroxidation to exogenous application of alpha-tocopherol in sunflower (Helianthus annuus L.) under salt stress. Pak. J. Bot. 2020, 52, 75–83. [Google Scholar] [CrossRef]
- Hameed, A.; Akram, N.A.; Saleem, M.H.; Ashraf, M.; Ahmed, S.; Ali, S.; Alsahli, A.A.; Alyemeni, M.N. Seed treatment with α-tocopherol regulates growth and key physio-biochemical attributes in carrot (Daucus carota L.) plants under water limited regimes. Agronomy 2021, 11, 469. [Google Scholar] [CrossRef]
- Naqve, M.; Wang, X.; Shahbaz, M.; Fiaz, S.; Naqvi, W.; Naseer, M.; Mahmood, A.; Ali, H. Foliar spray of alpha-tocopherol modulates antioxidant potential of okra fruit under salt stress. Plants 2021, 10, 1382. [Google Scholar] [CrossRef]
- Barrs, H.D.; Weatherley, P.E. A re-examination of the relative turgidity technique for estimating water deficits in leaves. Aust. J. Biol. Sci. 1962, 15, 413–428. [Google Scholar] [CrossRef]
- Dionisio-Sese, M.L.; Tobita, S. Antioxidant responses of rice seedlings to salinity stress. Plant Sci. 1998, 135, 1–9. [Google Scholar] [CrossRef]
- Bates, L.S.; Waldren, R.P.; Teari, D. Rapid determination of free proline for water stress studies. Plant Soil 1973, 39, 205–207. [Google Scholar] [CrossRef]
- Heath, R.L.; Packer, L. Photoperoxidation in isolated chloroplast: I. Kinetics and stoichiometry of fatty acid peroxidation. Arch. Biochem. Biophys. 1968, 125, 189–198. [Google Scholar] [CrossRef] [PubMed]
- Yu, C.W.; Murphy, T.M.; Lin, C.H. Hydrogen peroxide induced chilling tolerance in mung beans mediated through ABA-independent glutathione accumulation. Funct. Plant Biol. 2003, 30, 189–198. [Google Scholar] [CrossRef]
- Huang, C.; He, W.; Guo, J.; Chang, X.; Su, P.; Zhang, L. Increased sensitivity to salt stress in ascorbate-deficient Arabidopsis mutant. J. Exp. Bot. 2005, 56, 3041–3049. [Google Scholar] [CrossRef]
- Hasanuzzaman, M.; Nahar, K.; Anee, T.I.; Khan, M.I.R.; Fujita, M. Silicon-mediated regulation of antioxidant defense and glyoxalase systems confers drought stress tolerance in Brassica napus L. S. Afr. J. Bot. 2018, 115, 50–57. [Google Scholar] [CrossRef]
- Paradiso, A.; Berardino, R.; de Pinto, M.; di Toppi, L.S.; Storelli, F.T.; de Gara, L. Increase in ascorbate-glutathione metabolism as local and precocious systemic responses induced by cadmium in durum wheat plants. Plant Cell Physiol. 2008, 49, 362–374. [Google Scholar] [CrossRef]
- Bradford, M.M. A rapid and sensitive method for the quantitation of microgram quantities of protein utilizing the principle of protein-dye binding. Anal. Biochem. 1976, 72, 248–254. [Google Scholar] [CrossRef]
- Nakano, Y.; Asada, K. Hydrogen peroxide is scavenged by ascorbate-specific peroxidase in spinach chloroplasts. Plant Cell Physiol. 1981, 22, 867–880. [Google Scholar] [CrossRef]
- Hossain, M.A.; Nakano, Y.; Asada, K. Monodehydroascorbate reductase in spinach chloroplasts and its participation in the regeneration of ascorbate for scavenging hydrogen peroxide. Plant Cell Physiol. 1984, 25, 385–395. [Google Scholar] [CrossRef]
- Elia, A.C.; Galarini, R.; Taticchi, M.I.; Dorr, A.J.M.; Mantilacci, L. Antioxidant responses and bioaccumulation in Ictalurus melas under mercury exposure. Ecotoxicol. Environ. Saf. 2003, 55, 162–167. [Google Scholar] [CrossRef] [PubMed]
- Addinsoft, XLSTAT v. 2021.2.2; Data Analysis and Statistics Software for Microsoft Excel; Addinsoft: Paris, French, 2021.
- Lalarukh, I.; Shahbaz, M. Alpha-tocopherol induced modulations in morpho-physiological attributes of sunflower (Helianthus annuus) grown under saline environment. Int. J. Agric. Biol. 2018, 20, 661–668. [Google Scholar] [CrossRef]
- Ali, Q.; Javed, M.T.; Haider, M.Z.; Habib, N.; Rizwan, M.; Perveen, R.; Ali, S.; Alyemeni, M.N.; El-Serehy, H.A.; Al-Misned, F.A. α-Tocopherol foliar spray and translocation mediates growth, photosynthetic pigments, nutrient uptake, and oxidative defense in maize (Zea mays L.) under drought stress. Agronomy 2020, 10, 1235. [Google Scholar] [CrossRef]
- Seleiman, M.F.; Semida, W.M.; Rady, M.M.; Mohamed, G.F.; Hemida, K.A.; Alhammad, B.A.; Hassan, M.M.; Shami, A. Sequential application of antioxidants rectifies ion imbalance and strengthens antioxidant systems in salt-stressed cucumber. Plants 2020, 9, 1783. [Google Scholar] [CrossRef]
- Sadiq, M.; Akram, N.A.; Ashraf, M. Foliar applications of alpha-tocopherol improve the composition of fresh pods of Vigna radiata subjected to water deficiency. Turk. J. Bot. 2017, 41, 1–9. [Google Scholar] [CrossRef]
- Munné-Bosch, S.; Alegre, L. The function of tocopherols and tocotrienols in plants. Crit. Rev. Plant Sci. 2002, 21, 31–57. [Google Scholar] [CrossRef]
- Trebst, A.; Depka, B.; Holländer-Czytko, H. A Specific role for tocopherol and of chemical singlet oxygen quenchers in the maintenance of photosystem II structure and function in Chlamydomonas reinhardtii. FEBS Lett. 2002, 516, 156–160. [Google Scholar] [CrossRef]
- EL-Afry, M.M.; EL-Okkiah, S.A.F.; EL-Kady, E.A.F.; EL-Yamanee, G.S.A. Exogenous application of ascorbic acid for alleviation the adverse effects of salinity stress in flax (Linum usitatissimum L.). Middle East J. Agric. Res. 2018, 7, 716–739. [Google Scholar]
- Sharmin, S.; Lipka, U.; Polle, A.; Eckert, C. The influence of transpiration on foliar accumulation of salt and nutrients under salinity in poplar (Populus × canescens). PLoS ONE 2021, 16, e0253228. [Google Scholar] [CrossRef] [PubMed]
- Ma, J.; Qiu, D.; Gao, H.; Wen, H.; Wu, Y.; Pang, Y.; Wang, X.; Qin, Y. Over-expression of a γ-tocopherol methyltransferase gene in vitamin E pathway confers PEG-simulated drought tolerance in alfalfa. BMC Plant Biol. 2020, 20, 226. [Google Scholar] [CrossRef] [PubMed]
- Kumar, D.; Yusuf, M.A.; Singh, P.; Sardar, M.; Sarin, N.B. Modulation of antioxidant machinery in α-tocopherol-enriched transgenic Brassica juncea plants tolerant to abiotic stress conditions. Protoplasma 2013, 250, 1079–1089. [Google Scholar] [CrossRef] [PubMed]
- Hassan, A.; Amjad, S.F.; Saleem, M.H.; Yasmin, H.; Imran, M.; Riaz, M.; Ali, Q.; Joyia, F.A.; Mobeen; Ahmed, S.; et al. Foliar application of ascorbic acid enhances salinity stress tolerance in barley (Hordeum vulgare L.) through modulation of morpho-physio-biochemical attributes, ions uptake, osmo-protectants and stress response genes expression. Saudi J. Biol. Sci. 2021, 28, 4276–4290. [Google Scholar] [CrossRef] [PubMed]
- Orabi, S.A.; Abdelhamid, M.T. Protective role of a-tocopherol on two Vicia faba cultivars against seawater-induced lipid peroxidation by enhancing capacity of anti-oxidative system. J. Saudi Soc. Agric. Sci. 2016, 15, 145–154. [Google Scholar] [CrossRef]
- Hasanuzzaman, M.; Bhuyan, M.H.M.B.; Anee, T.I.; Parvin, K.; Nahar, K.; Mahmud, J.A.; Fujita, M. Regulation of ascorbate-glutathione pathway in mitigating oxidative damage in plants under abiotic Stress. Antioxidants 2019, 8, 384. [Google Scholar] [CrossRef]
- Nahar, K.; Hasanuzzaman, M.; Rahman, A.; Alam, M.M.; Mahmud, J.A.; Suzuki, T.; Fujita, M. Polyamines confer salt tolerance in mung bean (Vigna radiata L.) by reducing sodium uptake, improving nutrient homeostasis, antioxidant defense, and methylglyoxal detoxification systems. Front. Plant Sci. 2016, 7, 1104. [Google Scholar] [CrossRef]
- Hasanuzzaman, M.; Nahar, K.; Hossain, M.S.; Mahmud, J.A.; Rahman, A.; Inafuku, M.; Oku, H.; Fujita, M. Coordinated actions of glyoxalase and antioxidant defense systems in conferring abiotic stress tolerance in plants. Int. J. Mol. Sci. 2017, 18, 200. [Google Scholar] [CrossRef] [PubMed]
- Tian, Z.; Li, J.; Jia, X.; Yang, F.; Wang, Z. Assimilation and translocation of dry matter and phosphorus in rice genotypes affected by salt-alkaline stress. Sustainability 2016, 8, 568. [Google Scholar] [CrossRef]
- Semida, W.M.; Taha, R.S.; Abdelhamid, M.T.; Rady, M.M. Foliar-applied α-tocopherol enhances salt-tolerance in Vicia faba L. plants grown under saline conditions. S. Afr. J. Bot. 2014, 95, 24–31. [Google Scholar] [CrossRef]
Disclaimer/Publisher’s Note: The statements, opinions and data contained in all publications are solely those of the individual author(s) and contributor(s) and not of MDPI and/or the editor(s). MDPI and/or the editor(s) disclaim responsibility for any injury to people or property resulting from any ideas, methods, instructions or products referred to in the content. |
© 2023 by the authors. Licensee MDPI, Basel, Switzerland. This article is an open access article distributed under the terms and conditions of the Creative Commons Attribution (CC BY) license (https://creativecommons.org/licenses/by/4.0/).







