Optimizing Initial Nitrogen Application Rates to Improve Peanut (Arachis hypogaea L.) Biological Nitrogen Fixation
Abstract
:1. Introduction
2. Materials and Methods
2.1. Experimental Design
2.2. Morphological and Physiological Characteristic Measurements
2.3. Root System Measurement
2.4. Biological Nitrogen Fixation Measurement
2.5. Nitrogenase Activity Measurement
= nitrogenase activity (μmol·g−1·h−1) × Root nodule dry weight per plant (g)
2.6. Statistical Analysis
3. Results
3.1. Peanut Root Architecture
3.2. Peanut Root Activity
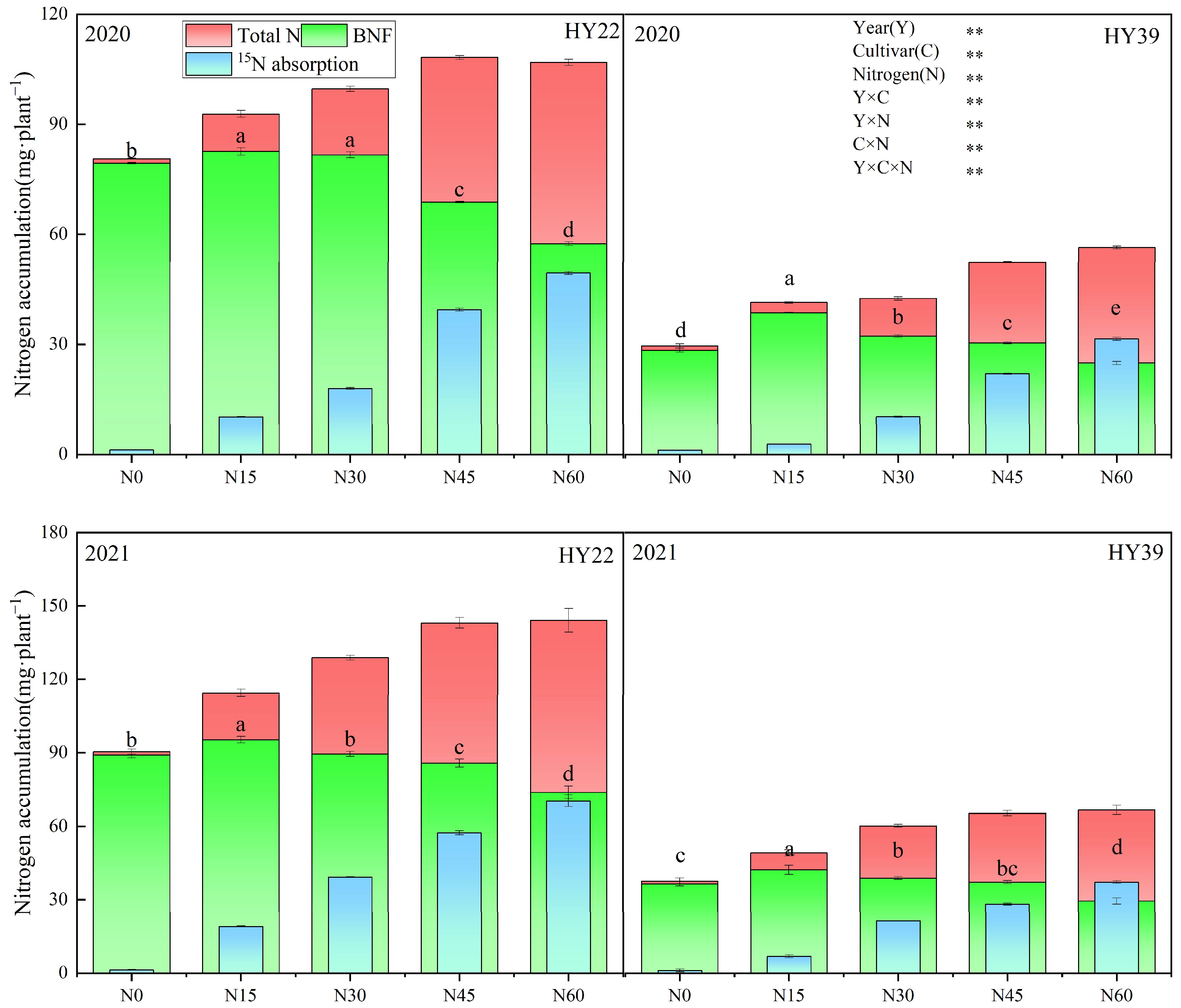
3.3. Nodulation and BNF Activity
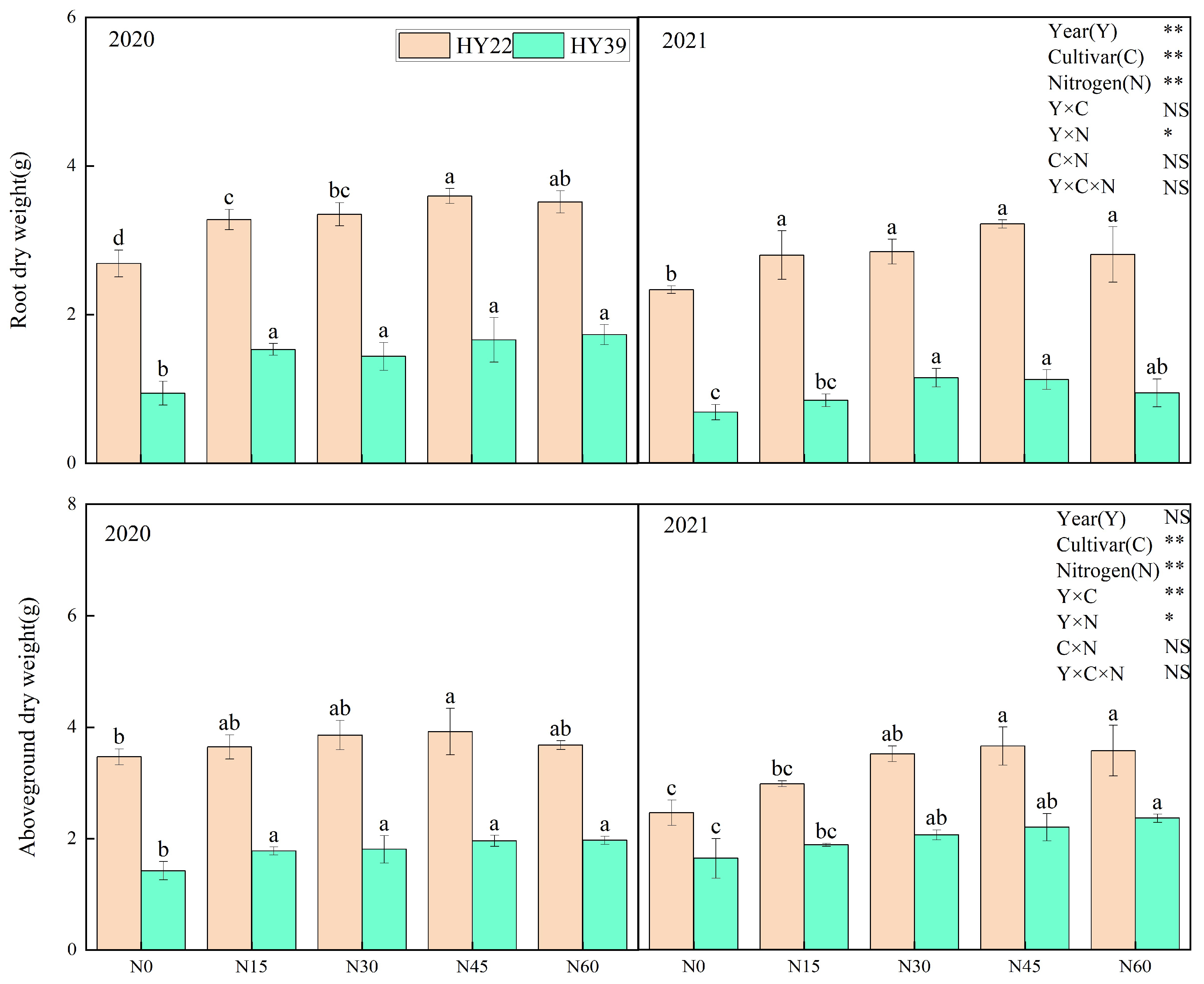
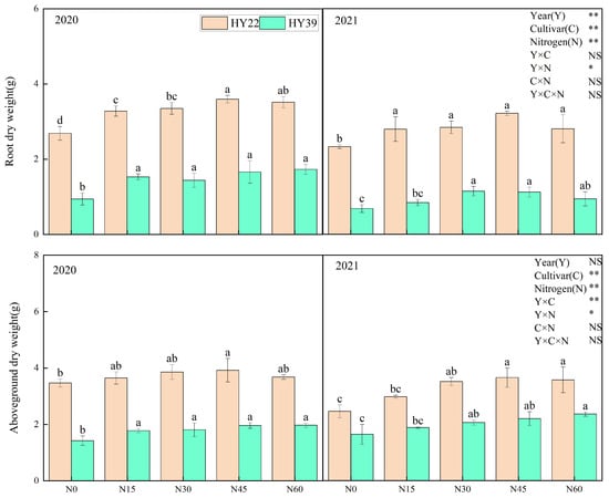
3.4. Peanut Seedling Growth
3.5. Peanut Root Shoot Ratio
3.6. Peanut Nitrogen Content and Ndff
3.7. Pearson Correlations for Key Indices of Root Growth Strategy and BNF
4. Discussion
4.1. Peanut Root Growth
4.2. Biological Nitrogen Fixation
4.3. The Association between Biological Nitrogen Fixation and Root Growth Strategy
5. Conclusions
Author Contributions
Funding
Data Availability Statement
Conflicts of Interest
References
- Liu, K.; Meng, M.; Zhang, T.; Chen, Y.; Yuan, H.; Su, T. Quantitative Analysis of Source-Sink Relationships in Two Potato Varieties under Different Nitrogen Application Rates. Agronomy 2023, 13, 1083. [Google Scholar] [CrossRef]
- Tatli, S.; Mirzaee-Ghaleh, E.; Rabbani, H.; Karami, H.; Wilson, A.D. Rapid Detection of Urea Fertilizer Effects on VOC Emissions from Cucumber Fruits Using a MOS E-Nose Sensor Array. Agronomy 2022, 12, 35. [Google Scholar] [CrossRef]
- Roy, S.; Liu, W.; Nandety, R.S.; Crook, A.; Mysore, K.S.; Pislariu, C.I.; Frugoli, J.; Dickstein, R.; Udvardi, M.K. Celebrating 20 Years of Genetic Discoveries in Legume Nodulation and Symbiotic Nitrogen Fixation. Plant Cell 2020, 32, 15–41. [Google Scholar] [CrossRef] [PubMed]
- Wang, C.B.; Zheng, Y.M.; Shen, P.; Zheng, Y.P.; Wu, Z.F.; Sun, X.W.; Yu, T.Y.; Feng, H. Determining N supplied sources and N use efficiency for peanut under applications of four forms of N fertilizers labeled by isotope 15N. J. Integr. Agric. 2016, 15, 432–439. [Google Scholar] [CrossRef]
- Zhang, M.; Wang, L.; Wan, Y.; Liu, F.; Zhang, K. Rational Nitrogen Strategies Can Improve Peanut Source Supply Capacity and Pod Yield. Agron. J. 2017, 109, 2927–2935. [Google Scholar] [CrossRef]
- Lin, J.S.; Li, X.; Luo, Z.; Mysore, K.S.; Wen, J.; Xie, F. NIN interacts with NLPs to mediate nitrate inhibition of nodulation in Medicago truncatula. Nat. Plants 2018, 4, 942–952. [Google Scholar] [CrossRef] [PubMed]
- Nguyen, H.P.; Miwa, H.; Obirih-Opareh, J.; Suzaki, T.; Yasuda, M.; Okazaki, S. Novel rhizobia exhibit superior nodulation and biological nitrogen fixation even under high nitrate concentrations. FEMS Microbiol. Ecol. 2020, 96, fiz184. [Google Scholar] [CrossRef]
- Mondal, M.; Skalicky, M.; Garai, S.; Hossain, A.; Sarkar, S.; Banerjee, H.; Kundu, R.; Brestic, M.; Barutcular, C.; Erman, M.; et al. Supplementing Nitrogen in Combination with Rhizobium Inoculation and Soil Mulch in Peanut (Arachis hypogaea L.) Production System: Part II. Effect on Phenology, Growth, Yield Attributes, Pod Quality, Profitability and Nitrogen Use Efficiency. Agronomy 2020, 10, 1513. [Google Scholar] [CrossRef]
- Lai, H.; Gao, F.; Su, H.; Zheng, P.; Li, Y.; Yao, H. Nitrogen Distribution and Soil Microbial Community Characteristics in a Legume–Cereal Intercropping System: A Review. Agronomy 2022, 12, 1900. [Google Scholar] [CrossRef]
- Yong, T.W.; Chen, P.; Dong, Q.; Du, Q.; Yang, F.; Wang, X.C. Optimized nitrogen application methods to improve nitrogen use efficiency and nodule nitrogen fixation in a maize-soybean relay intercropping system. J. Integr. Agric. 2018, 17, 664–676. [Google Scholar] [CrossRef]
- Saito, A.; Tanabata, S.; Tanabata, T.; Tajima, S.; Ueno, M.; Ishikawa, S.; Ohtake, N.; Sueyoshi, K.; Ohyama, T. Effect of nitrate on nodule and root growth of soybean (Glycine max (L.) Merr.). Int. J. Mol. Sci. 2014, 15, 4464–4480. [Google Scholar] [CrossRef]
- Wang, Q.; Huang, Y.; Ren, Z.; Zhang, X.; Ren, J.; Su, J.; Zhang, C.; Tian, J.; Yu, Y.; Gao, G.F.; et al. Transfer cells mediate nitrate uptake to control root nodule symbiosis. Nat. Plants 2020, 6, 800–808. [Google Scholar] [CrossRef] [PubMed]
- Bais, J.; Kandel, H.; DeSutter, T.; Deckard, E.; Keene, C. Soybean Response to N Fertilization Compared with Co-Inoculation of Bradyrhizobium japonicum and Azospirillum brasilense. Agronomy 2023, 13, 2022. [Google Scholar] [CrossRef]
- Dumroese, R.K.; Jacobs, D.F.; Davis, A.S. Inoculating Acacia koa with Bradyrhizobium and Applying Fertilizer in the Nursery: Effects on Nodule Formation and Seedling Growth. HortScience 2009, 44, 443–446. [Google Scholar] [CrossRef]
- Shao, Z.Q.; Zheng, C.C.; Johannes, A.P.; Lu, W.L.; Gao, Q.; Gao, Y.Z.; Zhang, J.J. Nitrogen acquisition, fixation and transfer in maize/alfalfa intercrops are increased through root contact and morphological responses to interspecies competition. J. Integr. Agric. 2021, 20, 2240–2254. [Google Scholar] [CrossRef]
- Yang, Y.; Zhao, Q.; Li, X.; Ai, W.; Liu, D.; Qi, W.; Zhang, M.; Yang, C.; Liao, H. Characterization of Genetic Basis on Synergistic Interactions between Root Architecture and Biological Nitrogen Fixation in Soybean. Front. Plant Sci. 2017, 8, 1466. [Google Scholar] [CrossRef]
- Xiu, L.; Zhang, W.; Wu, D.; Sun, Y.; Zhang, H.; Gu, W.; Wang, Y.; Meng, J.; Chen, W. Biochar can improve biological nitrogen fixation by altering the root growth strategy of soybean in Albic soil. Sci. Total Environ. 2021, 773, 144564. [Google Scholar] [CrossRef]
- López-Bucio, J.; Cruz-Ramírez, A.; Herrera-Estrella, L. The role of nutrient availability in regulating root architecture. Curr. Opin. Plant Biol. 2003, 6, 280–287. [Google Scholar] [CrossRef]
- Sinha, S.K.; Kumar, A.; Tyagi, A.; Venkatesh, K.; Paul, D.; Singh, N.K.; Mandal, P.K. Root architecture traits variation and nitrate-influx responses in diverse wheat genotypes under different external nitrogen concentrations. Plant Physiol. Biochem. 2020, 148, 246–259. [Google Scholar] [CrossRef]
- Pereira, E.G.; de Lima, B.R.; Medeiros, L.R.A.; Ribeiro, S.A.; Bucher, C.A.; Santos, L.A.; Fernandes, M.S.; Rossetto, C.A.V. Nutripriming with ammonium nitrate improves emergence and root architecture and promotes an increase in nitrogen content in upland rice seedlings. Biocatal. Agric. Biotechnol. 2022, 42, 102331. [Google Scholar] [CrossRef]
- Giehl, R.F.; Gruber, B.D.; von Wirén, N. It’s time to make changes: Modulation of root system architecture by nutrient signals. J. Exp. Bot. 2014, 65, 769–778. [Google Scholar] [CrossRef] [PubMed]
- Meier, M.; Liu, Y.; Lay-Pruitt, K.S.; Takahashi, H. Auxin-mediated root branching is determined by the form of available nitrogen. Nat. Plants 2020, 6, 1136–1145. [Google Scholar] [CrossRef]
- Soyano, T.; Shimoda, Y.; Kawaguchi, M.; Hayashi, M. A shared gene drives lateral root development and root nodule symbiosis pathways in Lotus. Science 2019, 366, 1021–1023. [Google Scholar] [CrossRef]
- Chen, J.; Liu, L.; Wang, Z.; Zhang, Y.; Sun, H.; Song, S.; Bai, Z.; Lu, Z.; Li, C. Nitrogen Fertilization Increases Root Growth and Coordinates the Root-Shoot Relationship in Cotton. Front. Plant Sci. 2020, 11, 880. [Google Scholar] [CrossRef] [PubMed]
- Gheysari, M.; Mirlatifi, S.M.; Bannayan, M. Interaction of water and nitrogen on maize grown for silage. Agric. Water Manag. 2009, 96, 809–821. [Google Scholar] [CrossRef]
- Ke, X.; Xiao, H.; Peng, Y.; Wang, J.; Lv, Q.; Wang, X. Phosphoenolpyruvate reallocation links nitrogen fixation rates to root nodule energy state. Science 2022, 378, 971–977. [Google Scholar] [CrossRef]
- Yang, Y.; Qin, Q.; Li, Q.; Nangia, V.; Lan, B.; Mo, F.; Liao, Y.; Liu, Y. Effect of Nitrogen Management on Wheat Yield, Water and Nitrogen Utilization, and Economic Benefits under Ridge-Furrow Cropping System with Supplementary Irrigation. Agronomy 2023, 13, 1708. [Google Scholar] [CrossRef]
- Zhou, S.; Liu, K.; Zhuo, X.; Wang, W.; Zhang, W.; Zhang, H.; Gu, J.; Yang, J.; Liu, L. Optimizing Nitrogen Regime Improves Dry Matter and Nitrogen Accumulation during Grain Filling to Increase Rice Yield. Agronomy 2023, 13, 1983. [Google Scholar] [CrossRef]
- Gan, Y.; Stulen, I.; van Keulen, H. Low concentrations of nitrate and ammonium stimulate nodulation and N2 fixation while inhibiting specific nodulation (nodule DW g−1 root dry weight) and specific N2 fixation (N2 fixed g−1 root dry weight) in soybean. Plant Soil. 2004, 258, 281–292. [Google Scholar] [CrossRef]
- Kato, K.; Kanahama, K.; Kanayama, Y. Involvement of nitric oxide in the inhibition of nitrogenase activity by nitrate in Lotus root nodules. J. Plant Physiol. 2010, 167, 238–241. [Google Scholar] [CrossRef]
- Lin, J.; Roswanjaya, Y.P.; Kohlen, W.; Stougaard, J.; Reid, D. Nitrate restricts nodule organogenesis through inhibition of cytokinin biosynthesis in Lotus japonicus. Nat. Commun. 2021, 12, 6544. [Google Scholar] [CrossRef]
- Nishida, H.; Nosaki, S.; Suzuki, T.; Ito, M.; Miyakawa, T.; Nomoto, M.; Tada, Y.; Miura, K.; Tanokura, M.; Kawaguchi, M.; et al. Different DNA-binding specificities of NLP and NIN transcription factors underlie nitrate-induced control of root nodulation. Plant Cell. 2021, 33, 2340–2359. [Google Scholar] [CrossRef] [PubMed]
- Schwember, A.R.; Schulz, J.; Del Pozo, A.; Cabeza, R.A. Regulation of Symbiotic Nitrogen Fixation in Legume Root Nodules. Plants 2019, 8, 333. [Google Scholar] [CrossRef] [PubMed]
- Goh, C.H.; Veliz, V.D. The impact of beneficial plant-associated microbes on plant phenotypic plasticity. J. Chem. Ecol. 2013, 39, 826–839. [Google Scholar] [CrossRef] [PubMed]
- Band, L.R.; Ubeda-Tomas, S.; Dyson, R.J.; Middleton, A.M.; Hodgman, T.C.; Owen, M.R.; Jensen, O.E.; Bennett, M.J.; King, J.R. Growth-induced hormone dilution can explain the dynamics of plant root cell elongation. Proc. Natl. Acad. Sci. USA 2012, 109, 7577–7582. [Google Scholar] [CrossRef]








| Year | Cultivar | Nitrogen Application | Root Length (cm) | Root Surface Area (cm2) | Root Average Diameter (mm) | Root Volume (cm3) |
|---|---|---|---|---|---|---|
| 2020 | HY22 | N0 | 5516 ± 160 c | 712 ± 9 c | 0.416 ± 0.01 a | 7.24 ± 0.12 c |
| N15 | 5738 ± 115 bc | 728 ± 11 bc | 0.414 ± 0.008 a | 7.4 ± 0.23 b | ||
| N30 | 5956 ± 139 ab | 748 ± 3 ab | 0.413 ± 0.002 a | 7.57 ± 0.09 ab | ||
| N45 | 6027 ± 119 a | 751 ± 13 a | 0.396 ± 0.01 b | 7.72 ± 0.1 ab | ||
| N60 | 6195 ± 106 a | 768 ± 16 a | 0.409 ± 0.005 ab | 7.75 ± 0.14 a | ||
| HY39 | N0 | 4182 ± 37 b | 565 ± 7 c | 0.415 ± 0.016 a | 5.17 ± 0.15 b | |
| N15 | 4334 ± 130 b | 611 ± 5.2 b | 0.408 ± 0.006 a | 5.37 ± 0.08 ab | ||
| N30 | 4576 ± 102 a | 619 ± 5.43 b | 0.405 ± 0.007 a | 5.45 ± 0.09 ab | ||
| N45 | 4664 ± 88 a | 633 ± 6.46 a | 0.403 ± 0.013 a | 5.54 ± 0.06 ab | ||
| N60 | 4643 ± 167 a | 640 ± 8.55 a | 0.406 ± 0.013 a | 5.57 ± 0.41 a | ||
| 2021 | HY22 | N0 | 4293 ± 374 c | 551 ± 63 c | 0.443 ± 0.048 a | 5.66 ± 0.94 c |
| N15 | 4978 ± 200 b | 612 ± 49 bc | 0.404 ± 0.04 a | 6.05 ± 0.24 bc | ||
| N30 | 5236 ± 273 ab | 707 ± 55 ab | 0.404 ± 0.032 a | 7.08 ± 0.7 abc | ||
| N45 | 5662 ± 459 ab | 733 ± 29 a | 0.393 ± 0.011 a | 7.56 ± 0.89 ab | ||
| N60 | 5848 ± 483 a | 743 ± 73 a | 0.389 ± 0.035 a | 8.24 ± 1.1 a | ||
| HY39 | N0 | 3101 ± 100 c | 410 ± 13 c | 0.419 ± 0.025 a | 4.33 ± 0.34 b | |
| N15 | 3518 ± 187 bc | 440 ± 3 bc | 0.406 ± 0.029 a | 4.39 ± 0.29 b | ||
| N30 | 3746 ± 247 b | 479 ± 50 ab | 0.4 ± 0.026 a | 4.89 ± 0.8 ab | ||
| N45 | 3924 ± 362 ab | 489 ± 29 ab | 0.398 ± 0.019 a | 4.86 ± 0.25 ab | ||
| N60 | 4259 ± 173 a | 515 ± 12 a | 0.397 ± 0.013 a | 5.28 ± 0.19 a |
| Source of Variation | Root Length (cm) | Root Surface Area (cm2) | Root Average Diameter (mm) | Root Volume (cm3) | |
|---|---|---|---|---|---|
| ANOVA | Year(Y) | ** | ** | NS | ** |
| Cultivar(C) | ** | ** | NS | ** | |
| Nitrogen(N) | ** | ** | NS | ** | |
| Y×C | NS | ** | NS | NS | |
| Y×N | * | * | NS | NS | |
| C×N | NS | NS | NS | NS | |
| Y×C×N | NS | NS | NS | NS | |
| Year | Cultivar | Nitrogen Application | Nitrogenase Activity (μmol·g−1·h−1) | Nitrogen Fixation Potential (μmol·plant−1 h−1) |
|---|---|---|---|---|
| 2020 | HY22 | N0 | 44.86 ± 2.39 a | 4.51 ± 0.59 a |
| N15 | 56.47 ± 1.96 a | 5.36 ± 0.25 a | ||
| N30 | 49.32 ± 6.07 a | 3.5 ± 0.59 b | ||
| N45 | 33.40 ± 8.70 b | 1.64 ± 0.57 c | ||
| N60 | 27.29 ± 8.11 b | 1.25 ± 0.36 c | ||
| HY39 | N0 | 41.68 ± 9.79 a | 2.05 ± 0.54 a | |
| N15 | 46.64 ± 5.14 a | 1.98 ± 0.11 a | ||
| N30 | 35.82 ± 10.34 ab | 1.26 ± 0.45 b | ||
| N45 | 33.2 ± 12.25 ab | 0.93 ± 0.35 bc | ||
| N60 | 19.82 ± 5.78 b | 0.37 ± 0.13 c | ||
| 2021 | HY22 | N0 | 24.87 ± 3.24 a | 2.02 ± 0.19 a |
| N15 | 25.21 ± 1.00 a | 2.30 ± 0.13 a | ||
| N30 | 21.3 ± 1.51 ab | 1.36 ± 0.34 b | ||
| N45 | 16.32 ± 4.19 bc | 0.64 ± 0.36 c | ||
| N60 | 15.68 ± 2.51 c | 0.52 ± 0.22 c | ||
| HY39 | N0 | 25.35 ± 2.66 ab | 1.19 ± 0.32 a | |
| N15 | 29.09 ± 3.10 a | 1.53 ± 0.21 a | ||
| N30 | 25.65 ± 0.75 ab | 0.36 ± 0.12 b | ||
| N45 | 23.21 ± 2.12 b | 0.30 ± 0.13 b | ||
| N60 | 21.90 ± 1.93 b | 0.15 ± 0.07 b |
| Source of Variation | Nitrogenase Activity (μmol·g−1·h−1) | Nitrogen Fixation Potential (μmol·plant−1 h−1) | |
|---|---|---|---|
| ANOVA | Year (Y) | ** | ** |
| Cultivar (C) | NS | ** | |
| Nitrogen application (N) | ** | ** | |
| Y × C | ** | ** | |
| Y × N | * | ** | |
| C × N | NS | ** | |
| Y × C × N | NS | * | |
| Year | Cultivar | N Level | N Content of Root (g·kg−1) | N Content of Stems (g·kg−1) | N Content of Leaves (g·kg−1) | Ndff in Roots (%) | Ndff in Stems (%) | Ndff in Leaves (%) |
|---|---|---|---|---|---|---|---|---|
| 2020 | HY22 | N0 | 10.09 ± 0.2 d | 14.15 ± 0.08 e | 16.69 ± 0.21 e | 1.41 ± 0.03 e | 1.57 ± 0.02 e | 1.63 ± 0.03 e |
| N15 | 10.72 ± 0.17 c | 14.42 ± 0.08 d | 17.22 ± 0.21 d | 10.9 ± 0.26 d | 10.95 ± 0.18 d | 11.32 ± 0.1 d | ||
| N30 | 10.93 ± 0.2 c | 14.7 ± 0.13 c | 17.95 ± 0.1 c | 17.94 ± 0.42 c | 18.08 ± 0.29 c | 18.19 ± 0.19 c | ||
| N45 | 11.67 ± 0.04 b | 15.3 ± 0.05 b | 18.47 ± 0.2 b | 36.34 ± 0.48 b | 36.89 ± 0.1 b | 36.18 ± 0.29 b | ||
| N60 | 12.2 ± 0.14 a | 15.93 ± 0.16 a | 18.85 ± 0.12 a | 46.22 ± 0.33 a | 45.99 ± 0.23 a | 46.65 ± 0.34 a | ||
| HY39 | N0 | 8.93 ± 0.22 d | 13.01 ± 0.03 d | 16.62 ± 0.44 d | 4.14 ± 0.04 e | 3.87 ± 0.09 e | 3.98 ± 0.1 e | |
| N15 | 9.17 ± 0.01 d | 13.86 ± 0.14 c | 16.88 ± 0.13 d | 14.34 ± 0.16 d | 14.18 ± 0.11 d | 14.31 ± 0.06 d | ||
| N30 | 9.63 ± 0.18 c | 13.95 ± 0.11 c | 17.75 ± 0.34 c | 24.08 ± 0.37 c | 24.16 ± 0.22 c | 24.16 ± 0.37 c | ||
| N45 | 11.39 ± 0.09 b | 14.67 ± 0.11 b | 19.47 ± 0.2 b | 42.11 ± 0.34 b | 41.92 ± 0.36 b | 41.76 ± 0.48 b | ||
| N60 | 11.79 ± 0.05 a | 15.42 ± 0.22 a | 21.14 ± 0.42 a | 56.13 ± 0.59 a | 55.74 ± 0.74 a | 55.64 ± 0.74 a | ||
| 2021 | HY22 | N0 | 18.12 ± 0.57 b | 14.31 ± 0.39 c | 24.92 ± 1.33 c | 1.67 ± 0.41 e | 1.19 ± 0.17 e | 1.48 ± 0.46 e |
| N15 | 18.84 ± 0.68 b | 14.95 ± 0.19 bc | 26.53 ± 1.39 bc | 16.59 ± 0.26 d | 16.76 ± 0.07 d | 16.74 ± 0.12 d | ||
| N30 | 19.53 ± 0.00 b | 14.64 ± 0.23 c | 27.09 ± 0.33 b | 30.55 ± 0.20 c | 30.52 ± 0.35 c | 30.41 ± 0.54 c | ||
| N45 | 20.06 ± 0.50 b | 15.49 ± 0.40 b | 27.56 ± 0.34 b | 40.01 ± 0.50 b | 40.32 ± 0.32 b | 39.98 ± 0.36 b | ||
| N60 | 21.93 ± 2.00 a | 16.47 ± 0.58 a | 29.85 ± 0.56 a | 48.19 ± 0.38 a | 49.69 ± 0.76 a | 48.84 ± 0.59 a | ||
| HY39 | N0 | 16.04 ± 0.24 c | 11.61 ± 0.76 c | 20.9 ± 1.74 d | 1.23 ± 0.08 e | 1.27 ± 0.24 e | 1.33 ± 0.09 e | |
| N15 | 18.67 ± 0.56 b | 12.56 ± 0.48 bc | 23.03 ± 0.83 c | 20.3 ± 0.29 d | 20.43 ± 0.17 d | 20.03 ± 0.47 d | ||
| N30 | 19.16 ± 0.76 b | 13.4 ± 0.49 ab | 23.79 ± 0.29 bc | 35.36 ± 0.31 c | 35.72 ± 0.32 c | 35.78 ± 0.29 c | ||
| N45 | 19.83 ± 0.23 ab | 13.74 ± 0.78 a | 25.53 ± 0.9 ab | 43.34 ± 0.36 b | 43.67 ± 0.15 b | 42.29 ± 0.36 b | ||
| N60 | 20.97 ± 1.7 a | 13.61 ± 0.43 ab | 26.19 ± 0.52 a | 56.13 ± 0.59 a | 55.74 ± 0.74 a | 55.64 ± 0.74 a | ||
| ANOVA | Year(Y) | ** | ** | ** | ** | ** | ** | |
| Cultivar(C) | ** | ** | ** | ** | ** | ** | ||
| Nitrogen(N) | ** | ** | ** | ** | ** | ** | ||
| Y × C | NS | ** | ** | NS | NS | NS | ||
| Y × N | * | NS | * | ** | ** | ** | ||
| C × N | NS | * | * | ** | ** | ** | ||
| Y × C × N | NS | * | * | ** | ** | ** | ||
Disclaimer/Publisher’s Note: The statements, opinions and data contained in all publications are solely those of the individual author(s) and contributor(s) and not of MDPI and/or the editor(s). MDPI and/or the editor(s) disclaim responsibility for any injury to people or property resulting from any ideas, methods, instructions or products referred to in the content. |
© 2023 by the authors. Licensee MDPI, Basel, Switzerland. This article is an open access article distributed under the terms and conditions of the Creative Commons Attribution (CC BY) license (https://creativecommons.org/licenses/by/4.0/).
Share and Cite
Liu, Y.; Yan, Z.; Wang, J.; Zhao, J.; Liu, Y.; Zou, J.; Li, L.; Zhang, J.; Wan, S. Optimizing Initial Nitrogen Application Rates to Improve Peanut (Arachis hypogaea L.) Biological Nitrogen Fixation. Agronomy 2023, 13, 3020. https://doi.org/10.3390/agronomy13123020
Liu Y, Yan Z, Wang J, Zhao J, Liu Y, Zou J, Li L, Zhang J, Wan S. Optimizing Initial Nitrogen Application Rates to Improve Peanut (Arachis hypogaea L.) Biological Nitrogen Fixation. Agronomy. 2023; 13(12):3020. https://doi.org/10.3390/agronomy13123020
Chicago/Turabian StyleLiu, Ying, Zhenhui Yan, Jianguo Wang, Jihao Zhao, Yiyang Liu, Jie Zou, Lin Li, Jialei Zhang, and Shubo Wan. 2023. "Optimizing Initial Nitrogen Application Rates to Improve Peanut (Arachis hypogaea L.) Biological Nitrogen Fixation" Agronomy 13, no. 12: 3020. https://doi.org/10.3390/agronomy13123020
APA StyleLiu, Y., Yan, Z., Wang, J., Zhao, J., Liu, Y., Zou, J., Li, L., Zhang, J., & Wan, S. (2023). Optimizing Initial Nitrogen Application Rates to Improve Peanut (Arachis hypogaea L.) Biological Nitrogen Fixation. Agronomy, 13(12), 3020. https://doi.org/10.3390/agronomy13123020

