Effect of Arbuscular Mycorrhizal Fungi on Lowland Rice Growth and Yield (Oryza sativa L.) under Different Farming Practices
Abstract
:1. Introduction
1.1. The Current Scenario of Rice Production
1.2. Arbuscular Mycorrhizal Fungi and Their Importance
1.3. The Aim of This Study
2. Materials and Methods
2.1. Experimental Site and Design
2.2. Preparation of Native AMF Inoculum
2.3. Sampling
2.4. Mycorrhizal Colonization
2.5. Statistical Analysis
3. Results
3.1. AMF Colonization of Rice Roots under Different Treatments
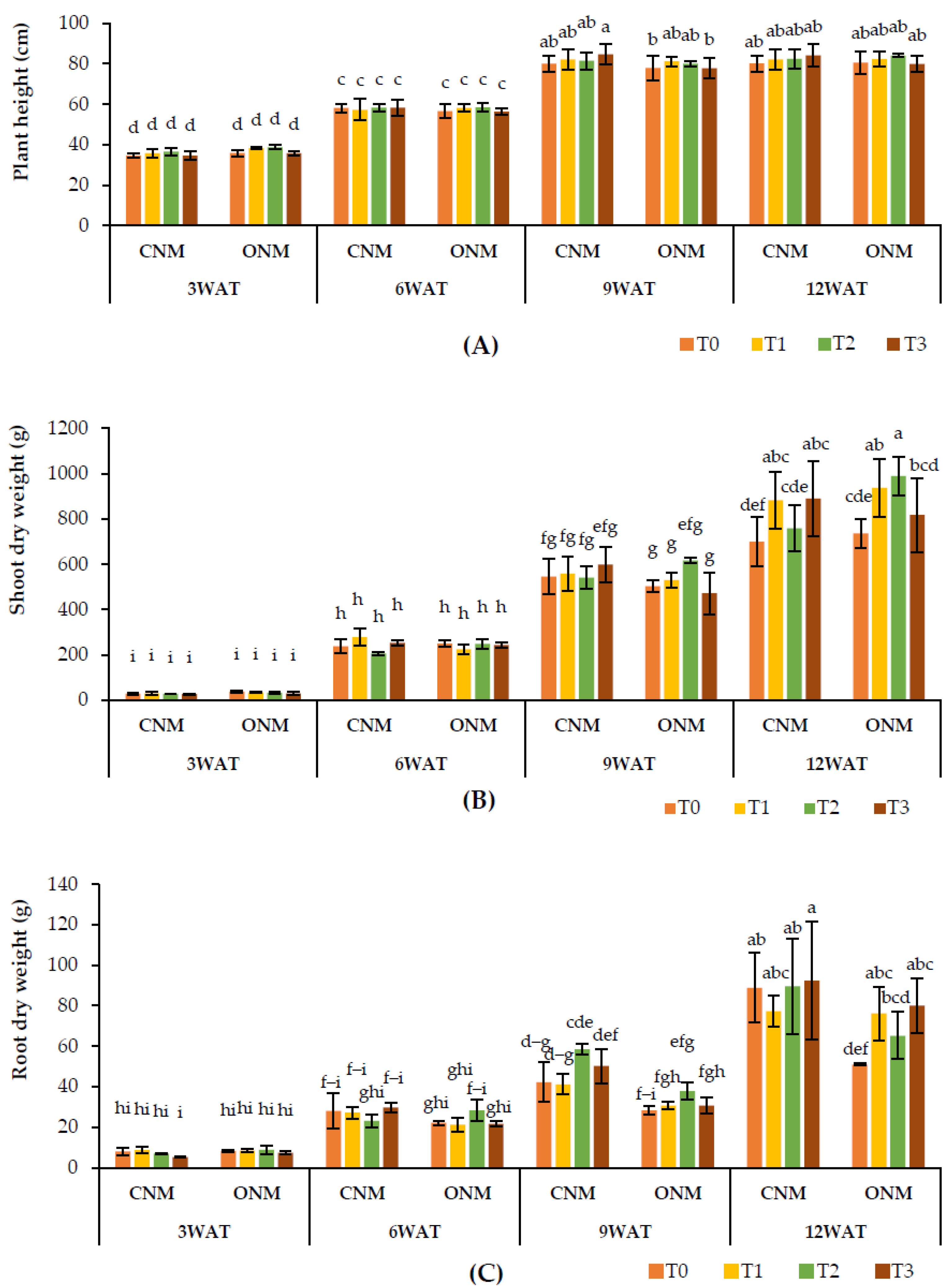
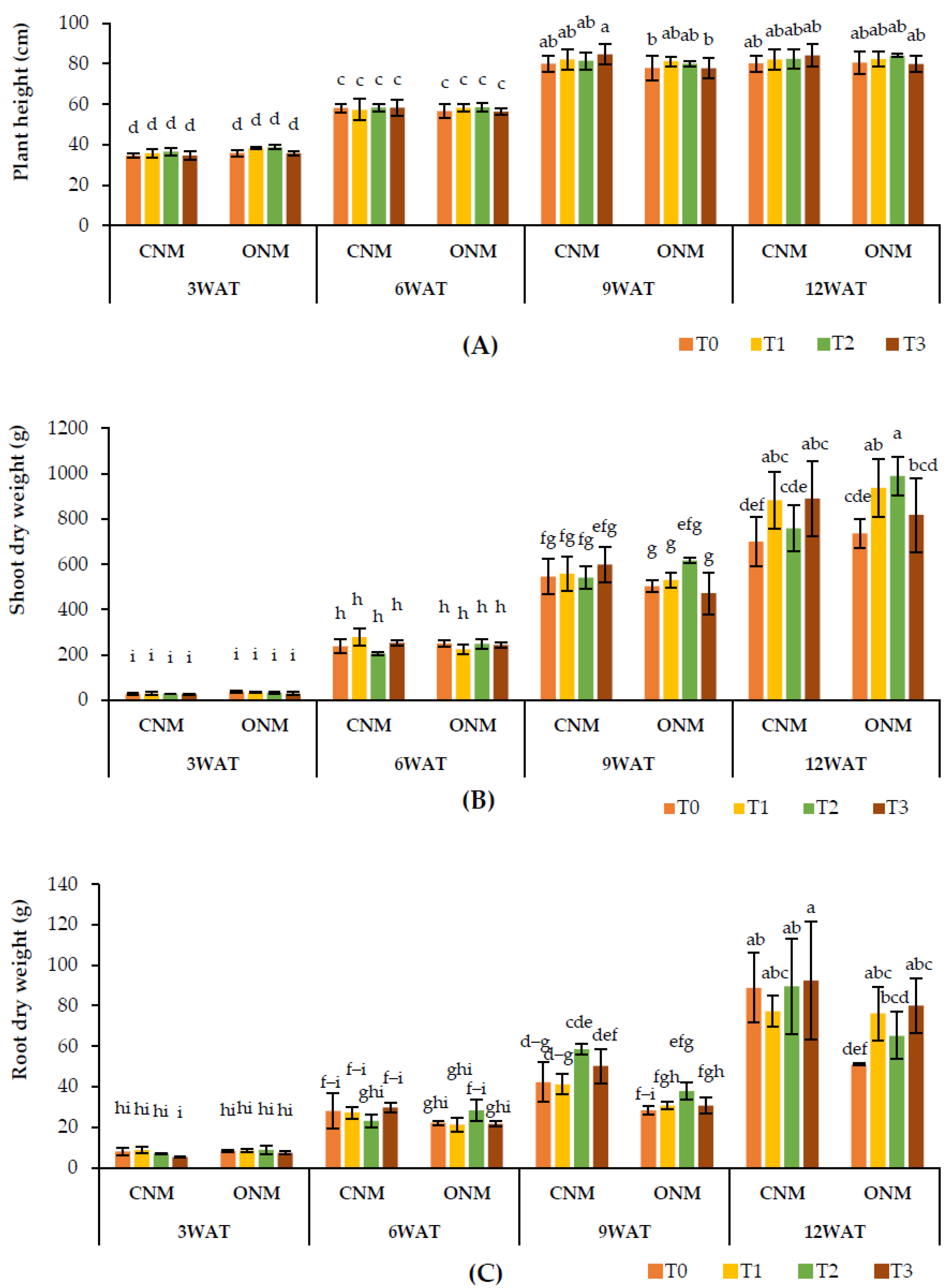
3.2. Rice Plant Growth and Yield under Different Treatments
4. Discussion
5. Conclusions
Author Contributions
Funding
Data Availability Statement
Acknowledgments
Conflicts of Interest
References
- Senanayake, S.M.P.; Premaratne, S.P. An Analysis of the Paddy/Rice Value Chains in Sri Lanka. Asia. Pac. J. Rural Dev. 2016, 26, 105–126. [Google Scholar] [CrossRef]
 - Connor, M.; Malabayabas, A.J.B.; de Guia, A.H.; Wehmeyer, H.; Pame, A.R.P.; Htwe, N.M.; Zhong, X.; Fu, Y.; Liang, K.; Pan, J.; et al. Environmental, Social, and Economic Challenges in Lowland Rice Production. In Closing Rice Yield Gaps in Asia: Innovations, Scaling, and Policies for Environmentally Sustainable Lowland Rice Production; Springer Nature Switzerland: Cham, Switzerland, 2023; pp. 27–92. ISBN 9783031379468. [Google Scholar] [CrossRef]
 - Yapa, N.; Dub, W.; Madhushan, A.; Yan, K.; Asad, S.; Karunarathna, S.C.; Bamunuarachchige, C. Potential of Biofertilizers and Natural Soil Amendments to Mitigate Heavy Metal Contents of Soil in Lowland Rice (Oryza sativa L.) Farming. Sci. Asia 2022, 48, 326–334. [Google Scholar] [CrossRef]
 - Gamage, A.; Gangahagedara, R.; Gamage, J.; Jayasinghe, N.; Kodikara, N.; Suraweera, P.; Merah, O. Role of Organic Farming for Achieving Sustainability in Agriculture. Farming Syst. 2023, 1, 100005. [Google Scholar] [CrossRef]
 - Yapa, N.; Lakmali, D.; Zoysa, D.; Silva, K.S.; Manawadu, C.; Herath, B.M.; Madhushan, A.; Perera, G.; Ratnayakae, O.; Kapilan, R.; et al. Biofertilizers: An Emerging Trend in Agricultural Sustainability. Chiang Mai J. Sci. 2022, 49, 608–640. [Google Scholar] [CrossRef]
 - Nosheen, S.; Ajmal, I.; Song, Y. Microbes as Biofertilizers, A Potential Approach for Sustainable Crop Production. Sustainability 2021, 13, 1868. [Google Scholar] [CrossRef]
 - Madhushan, K.W.A.; Herath, B.M.M.D.; Karunarathna, S.C.; Yapa, P.N. Role of Arbuscular Mycorrhizal Fungi in Sustainable Crop Production and Forestry in Sri Lanka—A review. Stud. Fungi 2021, 6, 437–449. [Google Scholar] [CrossRef]
 - Schüßler, A.; Martin, H.; Cohen, D.; Fitz, M.; Wipf, D. Arbuscular Mycorrhiza: Studies on the Geosiphon Symbiosis Lead to the Characterization of the First Glomeromycotan Sugar Transporter. Plant Signal. Behav. 2007, 2, 431–434. [Google Scholar] [CrossRef]
 - Jayakody, N.; Madhushan, A.; Pelawatta, A.; Yapa, N. Effect of Biofertilizers and Organic Amendments on Germination and Seedling Growth of Common Dry Zone Forest Species in Sri Lanka: Sustainable Reforestation Practices in Sri Lanka. Turk. J. Agric.-Food Sci. Technol. 2023, 11, 287–291. [Google Scholar] [CrossRef]
 - Gehring, C.; Bennett, A. Mycorrhizal Fungal–Plant–Insect Interactions: The Importance of a Community Approach. Environ. Entomol. 2009, 38, 93–102. [Google Scholar] [CrossRef]
 - Weng, W.; Yan, J.; Zhou, M.; Yao, X.; Gao, A.; Ma, C.; Cheng, J.; Ruan, J. Roles of Arbuscular mycorrhizal Fungi as a Biocontrol Agent in the Control of Plant Diseases. Microorganisms 2022, 10, 1266. [Google Scholar] [CrossRef]
 - Ruíz-Sánchez, M.; Aroca, R.; Muñoz, Y.; Polón, R.; Ruiz-Lozano, J.M. The Arbuscular Mycorrhizal Symbiosis Enhances the Photosynthetic Efficiency and the Antioxidative Response of Rice Plants Subjected to Drought Stress. J. Plant Physiol. 2010, 167, 862–869. [Google Scholar] [CrossRef] [PubMed]
 - Panneerselvam, P.; Kumar, U.; Sugitha, T.C.K.; Parameswaran, C.; Sahoo, S.; Binodh, A.K.; Jahan, A.; Anandan, A. Arbuscular Mycorrhizal Fungi (AMF) for Sustainable Rice Production. In Advances in Soil Microbiology: Recent Trends and Future Prospects; Springer: Singapore, 2017; pp. 99–126. ISBN 9789811073793. [Google Scholar] [CrossRef]
 - Bernaola, L.; Cosme, M.; Schneider, R.W.; Stout, M. Belowground Inoculation with Arbuscular Mycorrhizal Fungi Increases Local and Systemic Susceptibility of Rice Plants to Different Pest Organisms. Front. Plant Sci. 2018, 9, 747. [Google Scholar] [CrossRef]
 - Campos-soriano, L.; García-martínez, J.; Segundo, B.S. The Arbuscular Mycorrhizal Symbiosis Promotes the Systemic Induction of Regulatory Defence-related Genes in Rice Leaves and Confers Resistance to Pathogen Infection. Mol. Plant Pathol. 2012, 13, 579–592. [Google Scholar] [CrossRef] [PubMed]
 - Rivera, A.; Gunda, T.; Hornberger, G.M. Minimizing irrigation water demand: An evaluation of shifting planting dates in Sri Lanka. Ambio 2018, 47, 466–476. [Google Scholar] [CrossRef] [PubMed]
 - Weerakoon, W.M.W.; Mutunayake, M.M.P.; Bandara, C.; Rao, A.N.; Bhandari, D.C.; Ladha, J.K. Direct-Seeded Rice Culture in Sri Lanka: Lessons from Farmers. Field Crops Res. 2011, 121, 53–63. [Google Scholar] [CrossRef]
 - Ilag, L.L.; Rosales, A.M.; Elazegui, F.A.; Mew, T.W. Changes in the Population of Infective Endomycorrhizal Fungi in A Rice-Based Cropping System. Plant Soil 1987, 103, 67–73. [Google Scholar] [CrossRef]
 - Chialva, M.; Ghignone, S.; Cozzi, P.; Lazzari, B.; Bonfante, P.; Abbruscato, P.; Lumini, E. Water Management and Phenology Influence the Root-Associated Rice Field Microbiota. FEMS Microbiol. Ecol. 2020, 96, fiaa146. [Google Scholar] [CrossRef]
 - Wangiyana, W.; Cornish, P.; Morris, E. Arbuscular Mycorrhizal Fungi Dynamics in Contrasting Cropping Systems on Vertisol and Regosol Soils of Lombok, Indonesia. Exp. Agric. 2006, 2, 427–439. [Google Scholar] [CrossRef]
 - Hajiboland, R.; Aliasgharzad, N.; Barzeghar, R. Phosphorus Mobilization and Uptake in Mycorrhizal Rice (Oryza sativa L.) Plants under Flooded and Non-Flooded Conditions. Acta Agric. Slov. 2009, 93, 153. [Google Scholar] [CrossRef]
 - Vallino, M.; Fiorilli, V.; Bonfante, P. Rice Flooding Negatively Impacts Root Branching and Arbuscular Mycorrhizal Colonization, But Not Fungal Viability. Plant Cell Environ. 2014, 37, 557–572. [Google Scholar] [CrossRef]
 - Wang, Y.; Li, T.; Li, Y.; Björn, L.O.; Rosendahl, S.; Olsson, P.A.; Li, S.; Fu, X. Community Dynamics of Arbuscular Mycorrhizal Fungi in High-Input and Intensively Irrigated Rice Cultivation Systems. Appl. Environ. Microbiol. 2015, 81, 2958–2965. [Google Scholar] [CrossRef] [PubMed]
 - Chen, X.-W.; Wu, F.-Y.; Li, H.; Chan, W.-F.; Wu, S.-C.; Wong, M.-H. Mycorrhizal Colonization Status of Lowland Rice (Oryza sativa L.) in the Southeastern Region of China. Environ. Sci. Pollut. Res. Int. 2017, 24, 5268–5276. [Google Scholar] [CrossRef]
 - Bernaola, L.; Cange, G.; Way, M.O.; Gore, J.; Hardke, J.; Stout, M. Natural colonization of Rice by Arbuscular Mycorrhizal Fungi in Different Production Areas. Rice Sci. 2018, 25, 169–174. [Google Scholar] [CrossRef]
 - Secilia, J.; Bagyaraj, D.J. Evaluation and First-Year Field Testing of Efficient Vesicular Arbuscular Mycorrhizal Fungi for Inoculation of Wetland Rice Seedlings. World J. Microbiol. Biotechnol. 1994, 10, 381–384. [Google Scholar] [CrossRef] [PubMed]
 - Chareesri, A.; De Deyn, G.B.; Sergeeva, L.; Polthanee, A.; Kuyper, T.W. Increased Arbuscular Mycorrhizal Fungal Colonization Reduces Yield Loss of Rice (Oryza sativa L.) Under Drought. Mycorrhiza 2020, 30, 315–328. [Google Scholar] [CrossRef]
 - Gewaily, S. Influence of Arbuscular Mycorrhizal (AMF) Inoculation on the Performance of Sakha 107 Rice Cultivar under Different Irrigation Intervals. Environ. Biodivers. Soil Secur. 2019, 3, 119–130. [Google Scholar] [CrossRef]
 - Klinnawee, L.; Noirungsee, N.; Nopphakat, K.; Runsaeng, P.; Chantarachot, T. Flooding Overshadows Phosphorus Availability in Controlling the Intensity of Arbuscular Mycorrhizal Colonization in Sangyod Muang Phatthalung Lowland Indica Rice. Sci. Asia 2021, 47, 202. [Google Scholar] [CrossRef]
 - Kalamulla, R.; Sandaruwan, D.; Karunarathna, S.C.; Stephenson, S.L.; Tibpromma, S.; Elgorban, A.M.; Al-Rejaie, S.; Yapa, P.N.; Suwannarach, N. Assessment of Community Dynamics of Arbuscular Mycorrhizal Fungi in the Rice (Oryza sativa L.) Rhizosphere and Potential Application as Biofertilizer. Sustainability 2022, 14, 16537. [Google Scholar] [CrossRef]
 - Paranavithana, T.M.; Marasinghe, S.; Perera, G.A.D.; Ratnayake, R.R. Effects of Crop Rotation on Enhanced Occurrence of Arbuscular Mycorrhizal Fungi and Soil Carbon Stocks of Lowland Paddy Fields in Seasonaly Dry Tropics. Paddy Water Environ. 2021, 19, 217–226. [Google Scholar] [CrossRef]
 - Watanarojanaporn, N.; Boonkerd, N.; Tittabutr, P.; Longtonglang, A.; Young, J.P.W.; Teaumroong, N. Effect of Rice Cultivation Systems on Indigenous Arbuscular Mycorrhizal Fungal Community Structure. Environ. Microbiol. 2013, 28, 316–324. [Google Scholar] [CrossRef]
 - Li, C.; Stomph, T.J.; Makowski, D.; Li, H.; Zhang, C.; Zhang, F.; van der Werf, W. The Productive Performance of Intercropping. Proc. Natl. Acad. Sci. USA 2023, 120, e2201886120. [Google Scholar] [CrossRef] [PubMed]
 - Kusnarta, I.G.M.; Mawaddah, F.A.; Silawibawa, I.P.; Wangiyana, W.; Dulur, N.W.D.; Mahardika, I.B.K. Intercropping with Peanuts and Long-Term Application of Organic Wastes Improve Mycorrhizal Development and Growth of Red Rice under Aerobic Irrigation Systems. IOP Conf. Ser. Earth Environ. Sci. 2022, 1107, 012018. [Google Scholar] [CrossRef]
 - Yang, X.; Qin, J.; Li, J.; Lai, Z.; Li, H. Upland rice intercropping with Solanum nigrum inoculated with arbuscular mycorrhizal fungi reduces grain Cd while promoting phytoremediation of Cd-contaminated soil. J. Hazard. Mater. 2021, 406, 124325. [Google Scholar] [CrossRef] [PubMed]
 - Lei, L.L.; Zhu, Q.Y.; Xu, P.X.; Jing, Y.X. The Intercropping and Arbuscular Mycorrhizal Fungus Decrease Cd Accumulation in Upland Rice and Improve Phytoremediation of Cd-Contaminated Soil by Sphagneticola calendulacea (L.) Pruski. J. Environ. Manag. 2021, 15, 113516. [Google Scholar] [CrossRef]
 - Li, Y.; Ran, W.; Zhang, R.; Sun, S.; Xu, G. Facilitated Legume Nodulation, Phosphate Uptake and Nitrogen Transfer by Arbuscular Inoculation in an Upland Rice and Mung Bean Intercropping System. Plant Soil 2009, 315, 285–296. [Google Scholar] [CrossRef]
 - Ren, L.; Lou, Y.; Zhang, N.; Zhu, X.; Hao, W.; Sun, S.; Shen, Q.; Xu, G. Role of Arbuscular Mycorrhizal Network in Carbon and Phosphorus Transfer between Plants. Biol. Fertil. Soils 2013, 49, 3–11. [Google Scholar] [CrossRef]
 - Jindapunnapat, K.; Reetz, N.D.; MacDonald, M.H.; Bhagavathy, G.; Chinnasri, B.; Soonthornchareonnon, N.; Sasnarukkit, A.; Chauhan, K.R.; Chitwood, D.J.; Meyer, S.L.F. Activity of Vetiver Extracts and Essential Oil against Meloidogyne incognita. J. Nematol. 2018, 50, 147–162. [Google Scholar] [CrossRef]
 - Lakmali, D.; Karunarathna, S.C.; Dauner, L.A.P.; Yapa, N. Potential of Vetiver (Chrysopogon zizanioides L.), Inoculated with Arbuscular Mycorrhizal Fungi, To Improve Soil Quality in Degraded Soil. Chiang Mai J. Sci. 2021, 48, 1247–1258. [Google Scholar]
 - Zhang, F.; Peng, J.; Rong, Y.; Sun, S.; Zheng, Y. Removal of Atrazine from Submerged Soil using Vetiver grass (Chrysopogon zizanioides L.). Int. J. Phytoremediat. 2023, 25, 670–678. [Google Scholar] [CrossRef]
 - Gupta, P.; Roy, S.; Mahindrakar, A.B. Treatment of Water Using Water Hyacinth, Water Lettuce and Vetiver Grass—A Review. Resour. Environ. 2012, 2, 202–215. [Google Scholar] [CrossRef]
 - Chaurasia, B.; Pandey, A.; Palni, L. Distribution, Colonization and Diversity of Arbuscular Mycorrhizal Fungi Associated with Central Himalayan Rhododendrons. For. Ecol. Manag. 2005, 207, 315–324. [Google Scholar] [CrossRef]
 - Selvakumar, G.; Kim, K.; Walitang, D.; Chanratana, M.; Kang, Y.; Chung, B.; Sa, T. Trap Culture Technique for Propagation of Arbuscular Mycorrhizal Fungi Using Different Host Plants. Hanguk Toyang Piryo Hakhoe Chi 2016, 49, 608–613. [Google Scholar] [CrossRef]
 - Phillips, J.M.; Hayman, D.S. Improved Procedures for Clearing Roots and Staining Parasitic and Vesicular-Arbuscular Mycorrhizal Fungi for Rapid Assessment of Infection. Trans. Br. Mycol. Soc. 1970, 55, 158–161. [Google Scholar] [CrossRef]
 - McGonigle, T.P.; Miller, M.H.; Evans, D.G.; Fairchild, G.L.; Swan, J.A. A New Method Which Gives an Objective Measure of Colonization of Roots by Vesicular-Arbuscular Mycorrhizal Fungi. New Phytol. 1990, 115, 495–501. [Google Scholar] [CrossRef]
 - Douds, D.D., Jr.; Millner, P.D. Biodiversity of Arbuscular Mycorrhizal Fungi in Agroecosystems. Agric. Ecosys. Environ. 1999, 74, 77–93. [Google Scholar] [CrossRef]
 - Parniske, M. Arbuscular mycorrhiza: The mother of plant root endosymbioses. Nat. Rev. Microbiol. 2008, 6, 763–775. [Google Scholar] [CrossRef] [PubMed]
 - Solaiman, M.Z.; Hirata, H. Effect of Arbuscular Mycorrhizal Fungi Inoculation of Rice Seedlings at the Nursery Stage Upon Performance in the Paddy Field and Greenhouse. Plant Soil 1997, 191, 1–12. [Google Scholar] [CrossRef]
 - Purakayastha, T.J.; Chhonkar, P.K. Influence of Vesicular-Arbuscular Mycorrhizal Fungi (Glomus etunicatum L.) on Mobilization of Zinc in Wetland Rice (Oryza sativa L.). Biol. Fertil. Soils 2001, 33, 323–327. [Google Scholar] [CrossRef]
 - Zhang, S.; Wang, L.; Ma, F.; Bloomfield, K.J.; Yang, J.; Atkin, O.K. Is Resource Allocation and Grain Yield of Rice Altered by Inoculation with Arbuscular Mycorrhizal Fungi? J. Plant Ecol. 2014, 8, 436–448. [Google Scholar] [CrossRef]
 - Oehl, F.; Laczko, E.; Bogenrieder, A.; Stahr, K.; Bösch, R.; van der Heijden, M.; Sieverding, E. Soil Type and Land Use Intensity Determine the Composition of Arbuscular Mycorrhizal Fungal Communities. Soil Biol. Biochem. 2010, 42, 724–738. [Google Scholar] [CrossRef]
 - Verbruggen, E.; van der Heijden, M.G.A.; Rillig, M.C.; Kiers, E.T. Mycorrhizal Fungal Establishment in Agricultural Soils: Factors Determining Inoculation Success. New Phytol. 2013, 197, 1104–1109. [Google Scholar] [CrossRef] [PubMed]
 - Qiao, X.; Bei, S.; Li, H.; Christie, P.; Zhang, F.; Zhang, J. Arbuscular Mycorrhizal Fungi Contribute to Over Yielding by Enhancing Crop Biomass While Suppressing Weed Biomass in Intercropping Systems. Plant Soil 2016, 406, 173–185. [Google Scholar] [CrossRef]
 - Li, M.; Hu, J.; Lin, X. The Roles and Performance of Arbuscular Mycorrhizal Fungi in Intercropping Systems. Soil Ecol. Lett. 2022, 4, 319–327. [Google Scholar] [CrossRef]
 - Santos, J.S.; Santos, J.F.S.; Lopes, L.J.D.E.O.; Mendonça, J.D.E.J.; Holanda, F.S.R.; Marino, R.H. Arbuscular Mycorrhizal Fungi and Dark Septate Endophytic Fungi on the Biomass Development of Vetiver Grass. Rev. Caatinga 2018, 31, 602–611. [Google Scholar] [CrossRef]
 - Dhillion, S.S.; Ampornpan, L.-A. The Influence of Inorganic Nutrient Fertilization on the Growth, Nutrient Composition and Vesicular-Arbuscular Mycorrhizal Colonization of Pretransplant Rice (Oryza sativa L.) Plants. Biol. Fertil. Soils 1992, 13, 85–91. [Google Scholar] [CrossRef]
 - Ruíz-Sánchez, M.; Armada, E.; Muñoz, Y.; de Salamone, I.E.G.; Aroca, R.; Ruíz-Lozano, J.M.; Azcón, R. Azospirillum and Arbuscular Mycorrhizal Colonization Enhance Rice Growth and Physiological Traits Under Well-Watered and Drought Conditions. J. Plant Physiol. 2011, 168, 1031–1037. [Google Scholar] [CrossRef]
 - Bao, X.; Wang, Y.; Olsson, P.A. Arbuscular Mycorrhiza under Water—Carbon–phosphorus Exchange between Rice and Arbuscular Mycorrhizal Fungi under Different Flooding Regimes. Soil Biol. Biochem. 2019, 129, 169–177. [Google Scholar] [CrossRef]
 - Praveen, A.; Mehrotra, S.; Singh, N. Rice Planted along with Accumulators in Arsenic Amended Plots Reduced Arsenic Uptake in Grains and Shoots. Chemosphere 2017, 184, 1327–1333. [Google Scholar] [CrossRef]
 - Ahadiyat, Y.R.; Ranamukhaarachchi, S.L. Different Tillage and Maize Grass Intercropping on Root Systems, Growth and Yield of Rainfed Maize (Zea mays L.). Adv. Agric. Bot. 2011, 3, 33–38. [Google Scholar]
 - Sarker, M.A.R.; Pramanik, M.Y.A.; Faruk, G.M.; Ali, M.Y. Effect of Green Manures and Levels of Nitrogen on Some Growth Attributes of Transplant Aman Rice. Pak. J. Biol. Sci. 2004, 7, 739–742. [Google Scholar] [CrossRef]
 




Disclaimer/Publisher’s Note: The statements, opinions and data contained in all publications are solely those of the individual author(s) and contributor(s) and not of MDPI and/or the editor(s). MDPI and/or the editor(s) disclaim responsibility for any injury to people or property resulting from any ideas, methods, instructions or products referred to in the content.  | 
© 2023 by the authors. Licensee MDPI, Basel, Switzerland. This article is an open access article distributed under the terms and conditions of the Creative Commons Attribution (CC BY) license (https://creativecommons.org/licenses/by/4.0/).
Share and Cite
Madhushan, K.W.A.; Karunarathna, S.C.; Dissanayake, D.M.D.; Priyadarshani, T.D.C.; Stephenson, S.L.; Elgorban, A.M.; Dawoud, T.M.; Priyashantha, A.K.H.; Dai, D.; Yapa, P.N.; et al. Effect of Arbuscular Mycorrhizal Fungi on Lowland Rice Growth and Yield (Oryza sativa L.) under Different Farming Practices. Agronomy 2023, 13, 2803. https://doi.org/10.3390/agronomy13112803
Madhushan KWA, Karunarathna SC, Dissanayake DMD, Priyadarshani TDC, Stephenson SL, Elgorban AM, Dawoud TM, Priyashantha AKH, Dai D, Yapa PN, et al. Effect of Arbuscular Mycorrhizal Fungi on Lowland Rice Growth and Yield (Oryza sativa L.) under Different Farming Practices. Agronomy. 2023; 13(11):2803. https://doi.org/10.3390/agronomy13112803
Chicago/Turabian StyleMadhushan, Kammala Waththe Asanka, Samantha C. Karunarathna, Dissanayake Mudiyanselage Dharmasiri Dissanayake, Tikka Devage Chamarika Priyadarshani, Steven L. Stephenson, Abdallah M. Elgorban, Turki M. Dawoud, Alviti Kankanamalage Hasith Priyashantha, Dongqing Dai, Pinnaduwage Neelamanie Yapa, and et al. 2023. "Effect of Arbuscular Mycorrhizal Fungi on Lowland Rice Growth and Yield (Oryza sativa L.) under Different Farming Practices" Agronomy 13, no. 11: 2803. https://doi.org/10.3390/agronomy13112803
APA StyleMadhushan, K. W. A., Karunarathna, S. C., Dissanayake, D. M. D., Priyadarshani, T. D. C., Stephenson, S. L., Elgorban, A. M., Dawoud, T. M., Priyashantha, A. K. H., Dai, D., Yapa, P. N., & Wang, X. (2023). Effect of Arbuscular Mycorrhizal Fungi on Lowland Rice Growth and Yield (Oryza sativa L.) under Different Farming Practices. Agronomy, 13(11), 2803. https://doi.org/10.3390/agronomy13112803
        
